Rapid Classification of Unroasted Green Coffee Beans and Spices Based on the Tentative Determination of Volatile Compounds by Solid-Phase Dynamic Extraction (SPDE) and Gas Chromatography–Mass Spectrometry (GC–MS) with Supervised Learning
Abstract
1. Introduction
2. Materials and Methods
2.1. Preparation of Green Coffee, Clove, Cinnamon, Cinnamon and Clove Mixture, and Nutmeg Fine Powders
2.2. Extraction of Volatile Compounds
2.3. Determination of Volatile Compounds: Instrumentation and Tentative Verification
2.4. Statistical Analysis
3. Results
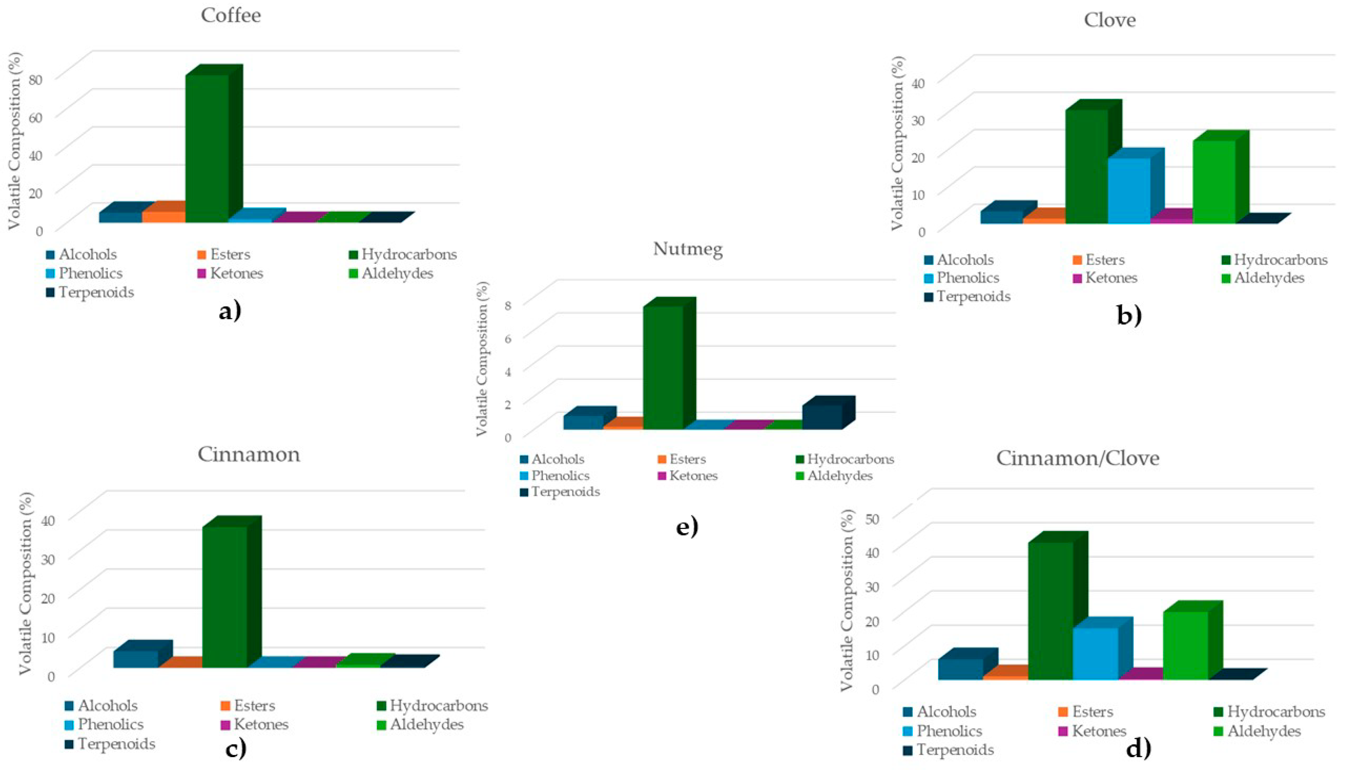
3.1. Volatile Compounds in Unroasted Green Coffee Beans and Selected Spice Powders
3.2. Classification of Unroasted Green Coffee Beans and Selected Spice Powders Using Volatile Compounds Tentatively Identified and Supervised Learning
3.2.1. MANOVA: Qualitative Criteria and Analytical Data
3.2.2. LDA: Pre-Processing of Data, Visualization of Results and Decisions
3.2.3. PLS: Exploration of Key Volatile Compounds
4. Discussion
5. Conclusions and Future Directions
Author Contributions
Funding
Data Availability Statement
Acknowledgments
Conflicts of Interest
References
- Raghavan, S. Handbook of Spices, Seasonings, and Flavorings: Forms, Functions, and Applications of Spices; CRC Press: Boca Raton, FL, USA, 2007. [Google Scholar]
- Muzolf-Panek, M.; Stuper-Szablewska, K. Comprehensive Study on the Antioxidant Capacity and Phenolic Profiles of Black Seed and Other Spices and Herbs: Effect of Solvent and Time of Extraction. J. Food Meas. Charact. 2021, 15, 4561–4574. [Google Scholar] [CrossRef]
- Velázquez, R.; Rodríguez, A.; Hernández, A.; Casquete, R.; Benito, M.J.; Martín, A. Spice and Herb Frauds: Types, Incidence, and Detection: The State of the Art. Foods 2023, 12, 3373. [Google Scholar] [CrossRef] [PubMed]
- Willis, S.; Sunkara, R.; Hester, F.; Shackelford, L.; Walker, L.T.; Verghese, M. Chemopreventive and Anti-Inflammatory Potential of Select Herbal Teas and Cinnamon in an In-Vitro Cell Model. Food Nutr. Sci. 2019, 10, 1142. [Google Scholar] [CrossRef][Green Version]
- Rao, Y.K.; Fang, S.-H.; Tzeng, Y.-M. Evaluation of the Anti-Inflammatory and Anti-Proliferation Tumoral Cells Activities of Antrodia Camphorata, Cordyceps Sinensis, and Cinnamomum Osmophloeum Bark Extracts. J. Ethnopharmacol. 2007, 114, 78–85. [Google Scholar] [CrossRef]
- Hossain, M.; Brunton, N.; Barry-Ryan, C.; Martin-Diana, A.B.; Wilkinson, M. Antioxidant Activity of Spice Extracts and Phenolics in Comparison to Synthetic Antioxidants. Rasayan J. Chem. 2008, 1, 751–756. [Google Scholar]
- Naeem, N.; Rehman, R.; Mushtaq, A.; Ghania, J.B. Nutmeg: A Review on Uses and Biological Properties. Int. J. Chem. Biochem. Sci. 2016, 9, 107–110. [Google Scholar]
- Khanam, M.; Dar, A.H.; Beg, F.; Khan, S.A.; Nayik, G.A.; Karabagias, I.K. Chapter 15: Nutmeg Essential Oil. In Essential Oils: Extraction, Characterization and Applications; Nayik, G.A., Mohammad, J.A., Eds.; Academic Press: Cambridge, MA, USA; Elsevier: Amsterdam, The Netherlands, 2023; Volume 15, pp. 391–399. [Google Scholar] [CrossRef]
- de Carvalho Couto, C.; dos Santos, D.G.; Oliveira EM, M.; Freitas-Silva, O. Global Situation of Reference Materials to Assure Coffee, Cocoa, and Tea Quality and Safety. TrAC-Trends Anal. Chem. 2021, 143, 116381. [Google Scholar] [CrossRef]
- Sualeh, A.; Tolessa, K.; Mohammed, A. Biochemical Composition of Green and Roasted Coffee Beans and Their Association with Coffee Quality from Different Districts of Southwest Ethiopia. Heliyon 2020, 6, e05812. [Google Scholar] [CrossRef] [PubMed]
- Clifford, M.N.; Kerimi, A.; Williamson, G. Bioavailability and Metabolism of Chlorogenic Acids (Acyl-Quinic Acids) in Humans. Compr. Rev. Food Sci. Food Saf. 2020, 19, 1299–1352. [Google Scholar] [CrossRef]
- Lazaridis, D.G.; Karabagias, V.K.; Karabagias, I.K.; Andritsos, N.D.; Giannakas, A.E. Physicochemical and Phytochemical Characterization of Green Coffee, Cinnamon Clove, and Nutmeg EEGO, and Aroma Evaluation of the Raw Powders. Eur. Food Res. Technol. 2023, 250, 83–96. [Google Scholar] [CrossRef]
- Karabagias, I.K. Food Authentication and Adulteration Control Based on Metrics Data of Foods and Chemometrics. Eur. Food Res. Technol. 2024, 250, 1269–1283. [Google Scholar] [CrossRef]
- García-Pérez, P.; Becchi, P.P.; Zhang, L.; Rocchetti, G.; Lucini, L. Metabolomics and Chemometrics: The Next-Generation Analytical Toolkit for the Evaluation of Food Quality and Authenticity. Trends Food Sci. Technol. 2024, 147, 104481. [Google Scholar] [CrossRef]
- Aydoğan, C. Nanoscale separations based on LC and CE for food analysis: A review. TrAC-Trends Anal. Chem. 2019, 121, 115693. [Google Scholar] [CrossRef]
- Aydoğan, C. Critical review of new advances in food and plant proteomics analyses by nano-LC/MS towards advanced foodomics. TrAC-Trends Anal. Chem. 2024, 176, 117759. [Google Scholar] [CrossRef]
- Karabagias, I.K. Advances of Spectrometric Techniques in Food Analysis and Food Authentication Implemented with Chemometrics. Foods 2020, 9, 1550. [Google Scholar] [CrossRef] [PubMed]
- Ballin, N.Z.; Sørensen, A.T. Coumarin Content in Cinnamon Containing Food Products on the Danish Market. Food Control 2014, 38, 198–203. [Google Scholar] [CrossRef]
- Kuballa, T.; Brunner, T.S.; Thongpanchang, T.; Walch, S.G.; Lachenmeier, D.W. Application of NMR for Authentication of Honey, Beer and Spices. Curr. Opin. Food Sci. 2018, 19, 57–62. [Google Scholar] [CrossRef]
- Borém, F.M.; de Abreu, G.F.; Ferreira, A.G.; da Silva Santos, M.; da Conceição Alves, T.; de Carvalho Alves, A.P. 1H NMR Spectroscopy Applied to Identify Chemical Aging Markers in Green Coffee (Coffea arabica L.). Food Chem. 2023, 405, 134667. [Google Scholar] [CrossRef] [PubMed]
- Qiu, S.; Guo, S.; Yang, Q.; Xie, Y.; Tang, S.; Zhang, A. Innovation in Identifying Metabolites from Complex Metabolome—Highlights of Recent Analytical Platforms and Protocols. Front. Chem. 2023, 11, 1129717. [Google Scholar] [CrossRef] [PubMed]
- Graham, K. The treatment of missing survey data. Surv. Methodol. 1986, 12, 1–16. [Google Scholar]
- Castro-Vázquez, L.; Díaz-Maroto, M.C.; Pérez-Coello, M.S. Aroma Composition and New Chemical Markers of Spanish Citrus Honeys. Food Chem. 2007, 103, 601–606. [Google Scholar] [CrossRef]
- Field, A. Discovering Statistics Using SPSS, 3rd ed.; Sage Publications Ltd.: London, UK, 2009. [Google Scholar]
- Lee, L.C.; Liong, C.-Y.; Jemain, A.A. Partial Least Squares-Discriminant Analysis (PLS-DA) for Classification of High-Dimensional (HD) Data: A Review of Contemporary Practice Strategies and Knowledge Gaps. Analyst 2018, 143, 3526–3539. [Google Scholar] [CrossRef]
- Galindo-Prieto, B.; Eriksson, L.; Trygg, J. Variable influence on projection (VIP) for OPLS models and its applicability in multivariate time series analysis. Chemometr. Intell. Lab Syst. 2015, 146, 297–304. [Google Scholar] [CrossRef]
- The Good Scents Company. Available online: https://www.thegoodscentscompany.com/ (accessed on 14 July 2024).
- Alberta Energy Regulator. Hydrocarbon Odour Management Protocol for Upstream Oil and Gas Point Source Venting and Fugitive Emissions. 2014. Available online: https://static.aer.ca/prd/documents/directives/D060_OdourManagementProtocol.pdf (accessed on 14 July 2024).
- Pua, A.; Goh, R.M.V.; Huang, Y.; Tang, V.C.Y.; Ee, K.-H.; Cornuz, M.; Liu, S.Q.; Lassabliere, B.; Yu, B. Recent Advances in Analytical Strategies for Coffee Volatile Studies: Opportunities and Challenges. Food Chem. 2022, 388, 132971. [Google Scholar] [CrossRef] [PubMed]
- Ribeiro, J.S.; Augusto, F.; Salva, T.J.G.; Thomaziello, R.A.; Ferreira, M.M.C. Prediction of Sensory Properties of Brazilian Arabica Roasted Coffees by Headspace Solid Phase Microextraction-Gas Chromatography and Partial Least Squares. Anal. Chim. Acta 2009, 634, 172–179. [Google Scholar] [CrossRef] [PubMed]
- Kiani, S.; Yazdanpanah, H.; Feizy, J. Geographical Origin Differentiation and Quality Determination of Saffron Using a Portable Hyperspectral Imaging System. Infrared Phys. Technol. 2023, 131, 104634. [Google Scholar] [CrossRef]
- Jeleń, H.H. Sample preparation for the study of flavor compounds in food. In Handbook of Sample Preparation; Pawliszyn, J., Lord, H.L., Eds.; John Wiley & Sons: Hoboken, NJ, USA, 2010; Volume 15, pp. 267–284. [Google Scholar] [CrossRef]
- Haro-González, J.N.; Castillo-Herrera, G.A.; Martínez-Velázquez, M.; Espinosa-Andrews, H. Clove Essential Oil (Syzygium aromaticum L. Myrtaceae): Extraction, Chemical Composition, Food Applications, and Essential Bioactivity for Human Health. Molecules 2021, 26, 6387. [Google Scholar] [CrossRef] [PubMed]
- Izcara, S.; Perestrelo, R.; Morante-Zarcero, S.; Sierra, I.; Câmara, J.S. Spices Volatilomic Fingerprinting—A Comprehensive Approach to Explore Its Authentication and Bioactive Properties. Molecules 2022, 27, 6403. [Google Scholar] [CrossRef] [PubMed]
- El-Sayed, A.M. The Pherobase: Database of Pheromones and Semiochemicals. 2024. Available online: https://www.pherobase.com (accessed on 2 September 2024).
- Yuan, G.-G.; Zhao, L.-C.; Du, Y.; Yu, H.; Shi, X.-B.; Chen, W.-C.; Chen, G. Repellence or Attraction: Secondary Metabolites in Pepper Mediate Attraction and Defense against Spodoptera litura. Pest. Manag. Sci. 2022, 78, 4859–4870. [Google Scholar] [CrossRef] [PubMed]
- Arn, H.; Acree, T.E. Flavornet: A Database of Aroma Compounds Based on Odor Potency in Natural Products; Developments in Food Science; Contis, E.T., Ho, C.-T., Mussinan, C.J., Parliment, T.H., Shahidi, F., Spanier, A.M., Eds.; Elsevier: Amsterdam, The Netherlands, 1998; Volume 40, p. 27. [Google Scholar] [CrossRef]
- The Good Scents Company. Flavor and Fragrance Information Catalog. 2009. Available online: http://www.thegoodscentscompany.com/allprod.html (accessed on 19 October 2024).
- Heiden, A.C.; Kobel, K.; Komenda, M.; Koppmann, R.; Shao, M.; Wildt, J. Toluene Emissions from Plants. Geophys. Res. Lett. 1999, 26, 1283–1286. [Google Scholar] [CrossRef]
- Belitz, H.-D.; Grosch, W.; Schieberle, P. Food Chemistry, 4th ed.; Springer: Berlin/Heidelberg, Germany, 2009; ISBN 9783540699330. [Google Scholar]
- Murley, T.; Chambers, E., IV. The Influence of Colorants, Flavorants and Product Identity on Perceptions of Naturalness. Foods 2019, 8, 317. [Google Scholar] [CrossRef] [PubMed]
- Maquet, A.; Lievens, A.; Paracchini, V.; Kaklamanos, G.; Beatriz, M.; Garlant, L.; Papoci, S.; Pietretti, D.; Ždiniakova, T.; Breidbach, A.; et al. Results of an EU Wide Coordinated Control Plan to Establish the Prevalence of Fraudulent Practices in the Marketing of Herbs and Spices; EUR 30877 EN; Publications Office of the European Union: Luxembourg, 2021. [Google Scholar] [CrossRef]
- Ferreira, T.; Farah, A.; Oliveira, T.C.; Lima, I.S.; Vitório, F.; Oliveira, E.M.M. Using Real-Time PCR as a Tool for Monitoring the Authenticity of Commercial Coffees. Food Chem. 2016, 199, 433–438. [Google Scholar] [CrossRef]
- Gottstein, V.; Lachenmeier, D.W.; Kuballa, T.; Bunzel, M. 1H NMR-Based Approach to Determine the Geographical Origin and Cultivation Method of Roasted Coffee. Food Chem. 2024, 433, 137278. [Google Scholar] [CrossRef] [PubMed]
- Liu, H.-I.; Zeng, Y.-t.; Zhao, X.; Tong, H.-r. Improved Geographical Origin Discrimination for Tea Using ICP-MS and ICP-OES Techniques in Combination with Chemometric Approach. J. Sci. Food Agric. 2020, 100, 3507–3516. [Google Scholar] [CrossRef]
- Pages-Rebull, J.; Pérez-Ràfols, C.; Serrano, N.; del Valle, M.; Díaz-Cruz, J.M. Classification and Authentication of Spices and Aromatic Herbs by Means of HPLC-UV and Chemometrics. Food Biosci. 2023, 52, 102401. [Google Scholar] [CrossRef]
- de Matos, R.C.; de Souza, T.J.T.; Scopel, M. Chemometrics as a Tool for Quality Control of Commercial Samples of Equisetum Teas in Brazil. Rev. Bras. Farmacogn. 2024, 34, 758–766. [Google Scholar] [CrossRef]
- Xu, Y.; Zhang, J.; Wang, Y. Recent Trends of Multi-Source and Non-Destructive Information for Quality Authentication of Herbs and Spices. Food Chem. 2023, 398, 133939. [Google Scholar] [CrossRef]








| RT * | Volatile Compounds | Dominant Mass to Charge Ratio (m/z) | Unroasted Green Coffee Beans (%± SD) | Clove (%±SD) | Cinnamon (%±SD) | Cinnamon and Clove Mixure (%±SD) | Nutmeg (%±SD) | MF * | Odor Descripion |
|---|---|---|---|---|---|---|---|---|---|
| Alcohols | |||||||||
| 1.06 | methanol | 31, 32 | 5.19 ± 0.33 | 3.35 ± 0.11 | 4.19 ± 0.39 | 6.00 ± 0.04 | 0.83 ± 0.20 | CH4O | Light alcoholic [12] |
| 5.32 | 9-hexadecen-1-ol | 28, 70, 96 | 0.13 ± 0.06 | ni | 0.07 ± 0.01 | 0.05 ± 0.00 | ni | C16H32O | - |
| Esters | |||||||||
| 1.89 | methyl acetate | 28, 43, 74 | ni | 0.28 ± 0.02 | ni | 0.27 ± 0.06 | ni | C3H6O2 | Sweet and fruity [12] |
| 3.42 | ethyl acetate | 29, 43, 61, 70 | 5.73 ± 0.00 | 0.20 ± 0.02 | ni | 0.06 ± 0.01 | 0.18 ± 0.17 | C4H8O2 | Sweet and fruity [12] |
| 12.66 | methyl salicylate | 92, 120, 152 | ni | 0.90 ± 0.13 | ni | 0.73 ± 0.04 | ni | C8H8O3 | Sweet, fruity, rooty, beer-like [12] |
| Hydrocarbons | |||||||||
| 0.68 | ethylene | 28, 40 | 49.78 ± 0.02 | 27.96 ± 1.52 | 35.72 ± 1.91 | 40.02 ± 0.39 | 7.43 ± 0.70 | C2H4 | Fruity, pineapple, pungent, varnish [27] |
| 2.45 | 3-methylpentane | 29, 41, 57, 86 | 25.40 ± 0.03 | ni | ni | 0.13 ± 0.03 | ni | C6H14 | Oil-like, gasoline-like, asphalt-like [28] |
| 8.13 | toluene | 28, 32, 65, 92 | 0.73 ± 0.36 | 0.84 ± 0.25 | ni | ni | ni | C7H8 | Sweet, pungent, paint thinners-like [27] |
| 8.71 | 2-chloro-2-nitropropane | 28, 45, 77 | 0.71 ± 0.02 | 0.37 ± 0.06 | 0.27 ± 0.05 | 0.06 ± 0.00 | ni | C3H6ClNO2 | Oil-like, gasoline-like, asphalt-like [28] |
| 10.94 | decane | 28, 43, 57, 71, 85 | 0.94 ± 0.05 | 1.26 ± 0.16 | ni | ni | ni | C10H22 | Oil-like, gasoline-like, asphalt-like [28] |
| Phenolics | |||||||||
| 6.07 | 4-(2-aminopropyl)-phenol | 28, 32 | 0.02 ± 0.00 | 0.01 ± 0.01 | ni | 0.01 ± 0.01 | ni | C9H13NO | - |
| 13.77 | eugenol | 77, 103, 149, 164 | 1.19 ± 0.09 | 17.5 ± 0.38 | ni | 14.03 ± 0.15 | ni | C10H12O2 | Clove, pungent and spicy [12] |
| 15.22 | 2-Methoxy-4-(1-propenyl)-phenol acetate | 103, 149, 164 | 0.69 ± 0.18 | ni | ni | 1.13 ± 0.38 | ni | C12H14O3 | Weak rose-carnation [27] |
| Ketones | |||||||||
| 11.90 | 2-nonanone | 43, 58, 71 | ni | 1.26 ± 0.86 | ni | 0.25 ± 0.01 | ni | C9H18O | Sweet, earthy, rose and tea-like, fishy [27] |
| Aldehydes | |||||||||
| 14.14 | vitamin A aldehyde | 41, 69, 133, 161 | 0.09 ± 0.006 | 22.19 ± 0.17 | 0.82 ± 0.11 | 19.85 ± 0.93 | 0.01 ± 0.01 | C20H28O | - |
| Terpenoids | |||||||||
| 12.51 | 4-methyl-1-(1-methylethyl) 3-cyclohexen-1-ol | 28, 71, 93 | ni | ni | 0.49 ± 0.13 | ni | 1.46 ± 0.41 | C10H18O | Musty [12,27] |
| MANOVA Indices | Interval Values | F-Value | df | p |
|---|---|---|---|---|
| Pillai’s Trace | 3.965 | 50.566 | 36 | 0.000 |
| Wilks’ Lambda | 0.000 | 241,753.506 | 36 | 0.000 |
| Volatile Compounds | Discriminant Functions | |||
|---|---|---|---|---|
| 1 | 2 | 3 | 4 | |
| ethylene | 0.002 | 0.265 * | −0.077 | 0.073 |
| methyl acetate | 0.000 | 0.054 | −0.578 * | −0.028 |
| 9-hexadecen-1-ol | 0.002 | 0.161 | 0.570 * | −0.358 |
| 3-methylpentane | 0.128 * | 0.100 | 0.274 * | 0.187 |
| ethyl acetate | 0.023 | −0.003 | −0.321 | 0.602 * |
| methanol | 0.001 | 0.177 | −0.146 | −0.384 * |
| toluene | 0.000 | −0.002 | −0.160 | 0.339 * |
Disclaimer/Publisher’s Note: The statements, opinions and data contained in all publications are solely those of the individual author(s) and contributor(s) and not of MDPI and/or the editor(s). MDPI and/or the editor(s) disclaim responsibility for any injury to people or property resulting from any ideas, methods, instructions or products referred to in the content. |
© 2024 by the authors. Licensee MDPI, Basel, Switzerland. This article is an open access article distributed under the terms and conditions of the Creative Commons Attribution (CC BY) license (https://creativecommons.org/licenses/by/4.0/).
Share and Cite
Lazaridis, D.G.; Kokkosi, E.K.; Mylonaki, E.N.; Karabagias, V.K.; Andritsos, N.D.; Karabagias, I.K. Rapid Classification of Unroasted Green Coffee Beans and Spices Based on the Tentative Determination of Volatile Compounds by Solid-Phase Dynamic Extraction (SPDE) and Gas Chromatography–Mass Spectrometry (GC–MS) with Supervised Learning. Separations 2024, 11, 351. https://doi.org/10.3390/separations11120351
Lazaridis DG, Kokkosi EK, Mylonaki EN, Karabagias VK, Andritsos ND, Karabagias IK. Rapid Classification of Unroasted Green Coffee Beans and Spices Based on the Tentative Determination of Volatile Compounds by Solid-Phase Dynamic Extraction (SPDE) and Gas Chromatography–Mass Spectrometry (GC–MS) with Supervised Learning. Separations. 2024; 11(12):351. https://doi.org/10.3390/separations11120351
Chicago/Turabian StyleLazaridis, Dimitrios G., Evelyna K. Kokkosi, Emmanouela N. Mylonaki, Vassilios K. Karabagias, Nikolaos D. Andritsos, and Ioannis K. Karabagias. 2024. "Rapid Classification of Unroasted Green Coffee Beans and Spices Based on the Tentative Determination of Volatile Compounds by Solid-Phase Dynamic Extraction (SPDE) and Gas Chromatography–Mass Spectrometry (GC–MS) with Supervised Learning" Separations 11, no. 12: 351. https://doi.org/10.3390/separations11120351
APA StyleLazaridis, D. G., Kokkosi, E. K., Mylonaki, E. N., Karabagias, V. K., Andritsos, N. D., & Karabagias, I. K. (2024). Rapid Classification of Unroasted Green Coffee Beans and Spices Based on the Tentative Determination of Volatile Compounds by Solid-Phase Dynamic Extraction (SPDE) and Gas Chromatography–Mass Spectrometry (GC–MS) with Supervised Learning. Separations, 11(12), 351. https://doi.org/10.3390/separations11120351

