The 288.2 K Isothermal Evaporation Experiment of Potassium Precipitation Brine in West Taijinair Salt Lake
Abstract
1. Introduction
2. Materials and Methods
2.1. Experimental Materials
2.2. Experimental Method
3. Results and Discussion
3.1. Salting Out the Rules of Crystallization
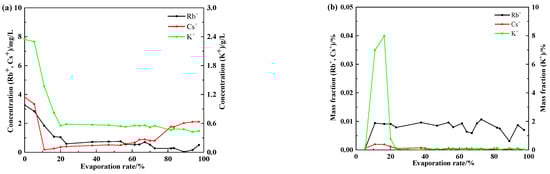
3.2. Change in Ion Content
4. Conclusions
Author Contributions
Funding
Data Availability Statement
Conflicts of Interest
References
- Zhang, S.J.; Zhang, L.; Jiang, A.; Zhang, Y.W.; Zhu, X.Y. Current Situation and Development Suggestions of Development and Utilization of Salt Lake Resources in China. Inorg. Chem. Ind. 2022, 54, 13–21. [Google Scholar] [CrossRef]
- Zhang, X.Y.; Shang, F.S.; Shi, G.C.; Tang, Q.L.; Li, W.X.; Chen, L.; Ran, G.F.; Wang, B. Distribution Characteristics of Main Ore-forming Elements in Brines of Salt Lakes and Comprehensive Evaluation of Resource Endowment for these Elements in China. J. Salt Lake Res. 2016, 24, 1–11. [Google Scholar]
- Zheng, M.P. On China’s Salt Lake. Miner. Depos. 2001, 20, 181–189. [Google Scholar]
- Yang, Y.S.; Yao, Z.H.; Zhao, Z.X.; Feng, X.; Zeng, Y.; Yu, X.D. Research Progress of Lithium-Rich Sulfate Type Salt Lake Brine Evaporation Experiment. Inorg. Chem. Ind. 2024, 56, 1–7. [Google Scholar] [CrossRef]
- Jiang, X.; Zhou, B.H.; Nie, Z. Experimental Research Progress in Evaporation of Salt Lake Brine. Inorg. Chem. Ind. 2013, 45, 1–3. [Google Scholar]
- Wang, J.M.; Nie, Z.; Fan, F.; Guo, T.F.; Han, J.H. Study on Potassium and Lithium Resource Loss in Brine of West Taijinar Salt Lake and Simulated Evaporation Process. Inorg. Chem. Ind. 2023, 55, 31. [Google Scholar] [CrossRef]
- Tang, F.M.; Xie, A.F.; Zan, C.; Song, Y.X.; Li, C.N.; Zhang, S.P. Research on Development Status and Countermeasure of Brine Resources in East-West Ginair and Yiliping Salt Lake. Ind. Miner. Process. 2022, 49, 48–51. [Google Scholar]
- Guo, A.W.; Li, J.S.; Wang, J.X.; Shao, M.F.; Li, G. Study on Natural Evaporation of Brine in West Taijinar Salt Lakes. J. Salt Lake Res. 2009, 17, 29–31. [Google Scholar]
- Zhang, Y.S.; Zheng, M.P.; Nie, Z.; Bu, L.Z. 15 °C Isothermal Evaporation Experiment on Carbonate-type Brine from Zabuye Salt Lake Tibet Southwestern China. Sea Lake Salt Chem. Ind. 2005, 34, 1–5. [Google Scholar]
- Li, L.G. Study on the Isothermal Evaporation of Uyuni Salt Lake Brine, Bolivia at 25 °C. J. Salt Lake Res. 2021, 29, 44–49. [Google Scholar]
- Zheng, M.P.; Deng, Y.J.; Nie, Z.; Bu, L.Z.; Shi, S.Y. 25 °C—Isothermal Evaporation of Autumn Brines from the Zabuye Salt Lake, Tibet, China. Acta Geol. Sin. 2007, 81, 1742–1749. [Google Scholar]
- Zeng, Y.; Lin, X.F.; Yu, X.D. Study on the Solubility of the Aqueous Quaternary System Li2SO4 + Na2SO4 + K2SO4 + H2O at 273. 15 K. J. Chem. Eng. Data 2012, 57, 3672–3676. [Google Scholar] [CrossRef]
- Cui, R.Z.; Yang, L.; Wang, W.; Sang, S. Measurements and Calculations of Solid-liquid Equilibria in Quaternary System Li2SO4 − Na2SO4 − K2SO4 − H2O at 288 K. Chem. Res. Chin. Univ. 2017, 33, 460–465. [Google Scholar] [CrossRef]
- Zhao, Z.X.; Yao, Z.H.; Huang, Q.; Yu, X.D.; He, Z.Y. Phase Equilibria of Aqueous Quaternary System Li2SO4 + Na2SO4 + K2SO4 + H2O at 298.2 K. J. Salt Lake Res. 2022, 30, 41–49. [Google Scholar]
- Wang, Y.S.; Zheng, M.P.; Nie, Z.; Bu, L.Z.; Gao, F. 5 °C -Isothermal Evaporation Experiment of Autumn Brines from the Sodium Sulfate Subtype Zhabei Salt Lake in Tibet. Acta Geosci. Sin. 2011, 32, 477–482. [Google Scholar]
- Li, R.Q.; Chen, X.; Liu, C.L.; Ma, L.C. Study on Loss Mechanism of Rubidium during Potassium Crystallization from Potassium-rich Brine of Jiangling Sunken Area. Inorg. Chem. Ind. 2014, 46, 18–20, 26. [Google Scholar]
- Gao, D.D.; Li, D.D.; Fan, Y.F.; Li, W. Economically Utilization of the Rubidium Resources in Qarhan Salt Lake: From Fundamental Study to Technology Innovation. J. Salt Lake Res. 2022, 30, 1–11 + 41. [Google Scholar]
- Wang, C.; Sun, X.H.; Ding, X.J.; Zhou, Y.L.; Ma, J.H.; Liu, W.P. Research on the Enrichment Regularity of Rubidium and Cesium in Qarhan Salt Lake. Acta Petrol. Mineralogica. 2023, 42, 701–710. [Google Scholar] [CrossRef]
- Institute of Qinghai Salt Lakes of Chinese Academy of Science. Analytical Methods of Brines and Salts; Science Press: Beijing, China, 1988. [Google Scholar]
- Nie, Z.; Wu, Q.; Bu, L.; Wang, Y.; Zheng, M. Experimental Study of the Tibetan Dangxiong Co Salt Lake Brine During Isothermal Evaporation at 25 °C. Carbonates Evaporites 2020, 35, 1–9. [Google Scholar] [CrossRef]
- Li, L.G.; Zeng, Y.; Yang, J.Y.; Chen, L.W.; Gong, Z. 25 °C—Isothermal Evaporation Experiment on Winter Brine from Dongtaijinaier Salt Lake. J. Salt Chem. Ind. 2013, 42, 21–24. [Google Scholar]
- Su, Y.G.; Li, J.; Jiang, C.F. Metastable Phase Equilibrium of K+, Na+, Mg2+ // Cl−, SO42− − H2O Quinary System at 15 °C. CIESC J. 1992, 43, 549–555. [Google Scholar]
- Zhao, S.R.; Wang, Q.Y.; Zhong, Y.F.; Yu, C.M.; Bian, Q.J. Crystallography and Mineralogy, 3rd ed.; Higher Education Press: Beijing, China, 2017. [Google Scholar]





| Element | Li+ | Na+ | K+ | Mg2+ | * Rb+ | * Cs+ | Cl− | SO42− | B2O3 |
|---|---|---|---|---|---|---|---|---|---|
| content | 1.70 | 5.03 | 2.34 | 98.27 | 3.2650 | 3.8150 | 276.52 | 20.31 | 6.72 |
| No | Evaporation Rate/% | Chemical Composition of Liquid Phase (g/L) | ||||||||
|---|---|---|---|---|---|---|---|---|---|---|
| Li+ | Na+ | K+ | Mg2+ | * Rb+ | * Cs+ | Cl− | SO42− | B2O3 | ||
| L0 | 0.00 | 1.70 | 5.03 | 2.34 | 98.27 | 3.2650 | 3.8150 | 276.52 | 20.31 | 6.72 |
| L1 | 5.35 | 1.76 | 4.21 | 2.30 | 103.68 | 2.8450 | 3.3450 | 290.14 | 20.57 | 6.83 |
| L2 | 10.94 | 1.85 | 2.46 | 1.37 | 114.38 | 1.8400 | 0.1800 | 315.84 | 22.31 | 7.35 |
| L3 | 16.35 | 1.96 | 1.90 | 0.82 | 114.47 | 1.0825 | 0.2550 | 330.72 | 23.18 | 7.94 |
| L4 | 20.01 | 2.05 | 1.51 | 0.55 | 115.57 | 1.0475 | 0.3625 | 336.17 | 24.5 | 8.09 |
| L5 | 23.27 | 2.16 | 1.54 | 0.58 | 114.90 | 0.5900 | 0.4025 | 334.31 | 25.34 | 8.58 |
| L6 | 37.71 | 2.45 | 1.57 | 0.57 | 114.93 | 0.7150 | 0.4675 | 333.35 | 27.48 | 9.49 |
| L7 | 46.87 | 2.77 | 1.52 | 0.56 | 115.26 | 0.7425 | 0.5150 | 332.39 | 33.38 | 10.73 |
| L8 | 53.55 | 3.00 | 1.58 | 0.54 | 116.50 | 0.7525 | 0.4900 | 336.22 | 35.01 | 11.89 |
| L9 | 56.30 | 3.14 | 1.61 | 0.53 | 115.96 | 0.5525 | 0.5875 | 335.84 | 35.44 | 12.20 |
| L10 | 61.39 | 3.35 | 1.60 | 0.56 | 116.25 | 0.5275 | 0.6675 | 332.78 | 38.82 | 12.94 |
| L11 | 64.07 | 3.54 | 1.57 | 0.55 | 116.97 | 0.5400 | 0.875 | 333.92 | 42.73 | 13.51 |
| L12 | 67.05 | 3.62 | 1.63 | 0.56 | 116.03 | 0.7075 | 0.8900 | 331.06 | 42.62 | 14.39 |
| L13 | 69.99 | 3.94 | 1.65 | 0.52 | 116.66 | 0.5250 | 0.8025 | 332.20 | 44.59 | 15.63 |
| L14 | 72.59 | 4.17 | 1.63 | 0.55 | 116.72 | 0.2750 | 0.8000 | 332.20 | 47.69 | 15.77 |
| L15 | 81.72 | 5.11 | 1.62 | 0.46 | 114.33 | 0.2725 | 1.7750 | 331.06 | 46.45 | 20.11 |
| L16 | 83.26 | 5.16 | 1.59 | 0.49 | 113.66 | 0.2925 | 1.7575 | 328.76 | 46.18 | 20.22 |
| L17 | 88.80 | 5.31 | 1.63 | 0.48 | 112.24 | 0.0300 | 2.0225 | 327.62 | 43.27 | 25.59 |
| L18 | 93.70 | 5.31 | 1.56 | 0.42 | 113.17 | 0.1575 | 2.1025 | 328.37 | 45.51 | 34.64 |
| L19 | 95.55 | 5.49 | 1.59 | 0.44 | 114.11 | 0.2250 | 2.0600 | 330.82 | 46.79 | 42.62 |
| L20 | 97.32 | 5.15 | 1.64 | 0.44 | 113.03 | 0.5075 | 2.1100 | 326.41 | 47.40 | 50.78 |
| No | Evaporation Rate/% | Solid Phase Chemical Components (%) | ||||||||
|---|---|---|---|---|---|---|---|---|---|---|
| Li+ | Na+ | K+ | Mg2+ | Rb+ | Cs+ | Cl− | SO42− | B2O3 | ||
| S1 | 5.35 | 0.02 | 32.28 | 0.09 | 1.48 | 0.0006 | 0.0006 | 54.26 | 0.62 | 0.09 |
| S2 | 10.94 | 0.02 | 13.86 | 6.99 | 5.61 | 0.0094 | 0.0020 | 64.73 | 0.11 | 0.07 |
| S3 | 16.35 | 0.02 | 9.34 | 7.98 | 6.31 | 0.0091 | 0.0019 | 33.58 | 1.46 | 0.08 |
| S4 | 20.01 | 0.02 | 1.29 | 0.77 | 10.64 | 0.0091 | 0.0012 | 27.36 | 0.15 | 0.08 |
| S5 | 23.27 | 0.04 | 0.14 | 0.05 | 10.84 | 0.0079 | 0.0005 | 32.57 | 0.57 | 0.12 |
| S6 | 37.71 | 0.03 | 0.09 | 0.02 | 10.79 | 0.0096 | 0.0008 | 32.83 | 0.75 | 0.11 |
| S7 | 46.87 | 0.02 | 0.17 | 0.08 | 10.85 | 0.0085 | 0.0002 | 32.00 | 0.44 | 0.08 |
| S8 | 53.55 | 0.04 | 0.06 | 0.03 | 10.74 | 0.0096 | 0.0006 | 33.05 | 0.73 | 0.12 |
| S9 | 56.30 | 0.04 | 0.12 | 0.06 | 10.74 | 0.0080 | 0.0005 | 32.98 | 0.17 | 0.13 |
| S10 | 61.39 | 0.05 | 0.15 | 0.03 | 10.68 | 0.0093 | 0.0003 | 32.64 | 1.36 | 0.16 |
| S11 | 64.07 | 0.06 | 0.06 | 0.02 | 10.61 | 0.0064 | 0.0005 | 32.42 | 1.99 | 0.21 |
| S12 | 67.05 | 0.04 | 0.24 | 0.09 | 10.76 | 0.0059 | 0.0005 | 33.28 | 0.81 | 0.13 |
| S13 | 69.99 | 0.05 | 0.11 | 0.06 | 10.88 | 0.0093 | 0.0004 | 32.95 | 2.31 | 0.16 |
| S14 | 72.59 | 0.05 | 0.15 | 0.02 | 10.85 | 0.0107 | 0.0004 | 38.15 | 4.95 | 0.17 |
| S15 | 81.72 | 0.06 | 0.18 | 0.14 | 10.52 | 0.0078 | 0.0001 | 28.79 | 8.94 | 0.12 |
| S16 | 83.26 | 0.10 | 0.12 | 0.03 | 10.62 | 0.0075 | 0.0001 | 31.02 | 5.06 | 0.27 |
| S17 | 88.80 | 0.77 | 0.17 | 0.13 | 9.99 | 0.0031 | 0.0002 | 29.95 | 4.83 | 0.29 |
| S18 | 93.70 | 0.74 | 0.14 | 0.06 | 10.19 | 0.0087 | 0.0005 | 31.54 | 4.19 | 0.23 |
| S19 | 95.55 | 0.18 | 0.15 | 0.07 | 10.57 | 0.0060 | 0.0002 | 33.01 | 4.16 | 0.35 |
| S20 | 97.32 | 0.63 | 0.12 | 0.04 | 9.97 | 0.0070 | 0.0001 | 30.66 | 15.25 | 0.60 |
| Evaporation Rate /% | NaCl | MgSO4·7H2O | MgSO4·6H2O | KCl·MgCl2·6H2O | MgCl2·6H2O | H3BO3 | Li2SO4·H2O |
|---|---|---|---|---|---|---|---|
| 5.35 | √ | √ | √ | √ | |||
| 20.01 | √ | √ | √ | ||||
| 23.27 | √ | √ | |||||
| 64.07 | √ | √ | √ | ||||
| 67.05 | √ | √ | |||||
| 88.80 | √ | √ | √ | √ |
Disclaimer/Publisher’s Note: The statements, opinions and data contained in all publications are solely those of the individual author(s) and contributor(s) and not of MDPI and/or the editor(s). MDPI and/or the editor(s) disclaim responsibility for any injury to people or property resulting from any ideas, methods, instructions or products referred to in the content. |
© 2024 by the authors. Licensee MDPI, Basel, Switzerland. This article is an open access article distributed under the terms and conditions of the Creative Commons Attribution (CC BY) license (https://creativecommons.org/licenses/by/4.0/).
Share and Cite
Yang, Y.; Wu, X.; Yu, X.; Qin, J.; Su, J.; Quan, C.; Xu, P. The 288.2 K Isothermal Evaporation Experiment of Potassium Precipitation Brine in West Taijinair Salt Lake. Separations 2024, 11, 348. https://doi.org/10.3390/separations11120348
Yang Y, Wu X, Yu X, Qin J, Su J, Quan C, Xu P. The 288.2 K Isothermal Evaporation Experiment of Potassium Precipitation Brine in West Taijinair Salt Lake. Separations. 2024; 11(12):348. https://doi.org/10.3390/separations11120348
Chicago/Turabian StyleYang, Yousheng, Xiaowang Wu, Xudong Yu, Jiazheng Qin, Jianjun Su, Caixiong Quan, and Pan Xu. 2024. "The 288.2 K Isothermal Evaporation Experiment of Potassium Precipitation Brine in West Taijinair Salt Lake" Separations 11, no. 12: 348. https://doi.org/10.3390/separations11120348
APA StyleYang, Y., Wu, X., Yu, X., Qin, J., Su, J., Quan, C., & Xu, P. (2024). The 288.2 K Isothermal Evaporation Experiment of Potassium Precipitation Brine in West Taijinair Salt Lake. Separations, 11(12), 348. https://doi.org/10.3390/separations11120348

