Review of Photochemical Activity of Dissolved Black Carbon in Aquatic Environments: Primary Influencing Factors and Mechanisms
Abstract
1. Introduction
2. Quantitative Analysis Methods for the Photochemical Activity of DBC
2.1. Qualitative Methods
2.2. Quantitative Methods
2.2.1. Total Organic Carbon Method
2.2.2. Electron-Donating Capacity Method
2.2.3. ROS Production Method
3. Influence of the Biomass Source and Biochar Pyrolysis Temperature
3.1. Biomass Source
3.2. Pyrolysis Temperature of Biochar
4. Major Aquatic Environmental Factors
5. Impact on Pollutants Photodegradation
6. Conclusions
Author Contributions
Funding
Data Availability Statement
Acknowledgments
Conflicts of Interest
References
- Bui, X.T.; Vo, T.P.T.; Ngo, H.H.; Guo, W.S.; Nguyen, T.T. Multicriteria assessment of advanced treatment technologies for micropollutants removal at large-scale applications. Sci. Total Environ. 2016, 563–564, 1050–1067. [Google Scholar] [CrossRef]
- Malik, M.; Ibrahim, S.M.; Nazir, M.A.; Tahir, A.A.; Tufail, M.K.; Shah, S.S.A.; Anum, A.; Wattoo, M.A.; Rehman, A. Engineering of a Hybrid g-C3N4/ZnO-W/Cox Heterojunction Photocatalyst for the Removal of Methylene Blue Dye. Catalysts 2023, 13, 813. [Google Scholar] [CrossRef]
- Anum, A.; Nazir, M.A.; Ibrahim, S.M.; Shah, S.S.A.; Tahir, A.A.; Malik, M.; Wattoo, M.A.; Rehman, A. Synthesis of Bi-Metallic-Sulphides/MOF-5@graphene Oxide Nanocomposites for the Removal of Hazardous Moxifloxacin. Catalysts 2023, 13, 984. [Google Scholar] [CrossRef]
- Nazir, M.A.; Najam, T.; Jabeen, S.; Wattoo, M.A.; Bashir, M.S.; Shah, S.S.A.; Rehman, A. Facile synthesis of Tri-metallic layered double hydroxides (NiZnAl-LDHs): Adsorption of Rhodamine-B and methyl orange from water. Inorg. Chem. Commun. 2022, 145, 110008. [Google Scholar] [CrossRef]
- Nazir, M.A.; Najam, T.; Shahzad, K.; Wattoo, M.A.; Hussain, T.; Tufail, M.K.; Shah, S.S.A.; Rehman, A. Heterointerface engineering of water stable ZIF-8@ZIF-67: Adsorption of rhodamine B from water. Surf. Interfaces 2022, 34, 102324. [Google Scholar] [CrossRef]
- Fu, H.; Liu, H.; Mao, J.; Chu, W.; Li, Q.; Alvarez, P.J.J.; Qu, X.; Zhu, D. Photochemistry of dissolved black carbon released from biochar: Reactive oxygen species generation and phototransformation. Environ. Sci. Technol. 2016, 50, 1218–1226. [Google Scholar] [CrossRef]
- Cornelissen, G.; Gustafsson, Ö.; Bucheli, T.D.; Jonker, M.T.O.; Koelmans, A.A.; van Noort, P.C.M. Extensive sorption of organic compounds to black carbon, coal, and kerogen in sediments and soils: Mechanisms and consequences for distribution, bioaccumulation, and biodegradation. Environ. Sci. Technol. 2005, 39, 6881–6895. [Google Scholar] [CrossRef]
- Liang, B.; Lehmann, J.; Solomon, D.; Sohi, S.; Thies, J.E.; Skjemstad, J.O.; Luizão, F.J.; Engelhard, M.H.; Neves, E.G.; Wirick, S. Stability of biomass-derived black carbon in soils. Geochim. Cosmochim. Acta 2008, 72, 6069–6078. [Google Scholar] [CrossRef]
- Masiello, C.A. New directions in black carbon organic geochemistry. Mar. Chem. 2004, 92, 201–213. [Google Scholar] [CrossRef]
- Mao, J.D.; Johnson, R.L.; Lehmann, J.; Olk, D.C.; Neves, E.G.; Thompson, M.L.; Schmidt-Rohr, K. Abundant and stable char residues in soils: Implications for soil fertility and carbon sequestration. Environ. Sci. Technol. 2012, 46, 9571–9576. [Google Scholar] [CrossRef]
- Roberts, K.G.; Gloy, B.A.; Joseph, S.; Scott, N.R.; Lehmann, J. Life cycle assessment of biochar systems: Estimating the energetic, economic, and climate change potential. Environ. Sci. Technol. 2010, 44, 827–833. [Google Scholar] [CrossRef]
- Woolf, D.; Amonette, J.E.; Street-Perrott, F.A.; Lehmann, J.; Joseph, S. Sustainable biochar to mitigate global climate change. Nat. Commun. 2010, 1, 56. [Google Scholar] [CrossRef]
- Jaffe, R.; Ding, Y.; Niggemann, J.; Vähätalo, A.V.; Stubbins, A.; Spencer, R.G.M.; Campbell, J.; Dittmar, T. Global charcoal mobilization from soils via dissolution and riverine transport to the oceans. Science 2013, 340, 345–347. [Google Scholar] [CrossRef] [PubMed]
- Wan, D.; Wang, J.; Dionysiou, D.D.; Kong, Y.; Yao, W.; Selvinsimpson, S.; Chen, Y. Photogeneration of reactive species from biochar-derived dissolved black carbon for the degradation of amine and phenolic pollutants. Environ. Sci. Technol. 2021, 55, 8866–8876. [Google Scholar] [CrossRef]
- Kim, S.; Kaplan, L.A.; Benner, R.; Hatcher, P.G. Hydrogen-deficient molecules in natural riverine water samples—Evidence for the existence of black carbon in DOM. Mar. Chem. 2004, 92, 225–234. [Google Scholar] [CrossRef]
- Hockaday, W.C.; Grannas, A.M.; Kim, S.; Hatcher, P.G. Direct molecular evidence for the degradation and mobility of black carbon in soils from ultrahigh-resolution mass spectral analysis of dissolved organic matter from a fire-impacted forest soil. Org. Geochem. 2006, 37, 501–510. [Google Scholar] [CrossRef]
- Dittmar, T.; Paeng, J. A heat-induced molecular signature in marine dissolved organic matter. Nat. Geosci. 2009, 2, 175–179. [Google Scholar] [CrossRef]
- Mannino, A.; Harvey, H.R. Black carbon in estuarine and coastal ocean dissolved organic matter. Limnol. Oceanogr. 2004, 49, 735–740. [Google Scholar] [CrossRef]
- Masiello, C.A.; Druffel, E.R.M. Black carbon in deep-sea sediments. Science 1998, 280, 1911–1913. [Google Scholar] [CrossRef]
- Zafiriou, O.C.; Joussot-Dubien, J.; Zepp, R.G.; Zika, R.G. Photochemistry of natural waters. Environ. Sci. Technol. 1984, 18, 358A–371A. [Google Scholar] [CrossRef]
- Zhou, H.; Lian, L.; Yan, S.; Song, W. Insights into the photo-induced formation of reactive intermediates from effluent organic matter: The role of chemical constituents. Water Res. 2017, 112, 120–128. [Google Scholar] [CrossRef]
- Chen, N.; Huang, Y.; Hou, X.; Ai, Z.; Zhang, L. Photochemistry of hydrochar: Reactive oxygen species generation and sulfadimidine degradation. Environ. Sci. Technol. 2017, 51, 11278–11287. [Google Scholar] [CrossRef] [PubMed]
- Fang, G.; Liu, C.; Wang, Y.; Dionysiou, D.D.; Zhou, D. Photogeneration of reactive oxygen species from biochar suspension for diethyl phthalate degradation. Appl. Catal. B 2017, 214, 34–45. [Google Scholar] [CrossRef]
- Wang, H.; Zhou, H.; Ma, J.; Nie, J.; Yan, S.; Song, W. Triplet photochemistry of dissolved black carbon and its effects on the photochemical formation of reactive oxygen species. Environ. Sci. Technol. 2020, 54, 4903–4911. [Google Scholar] [CrossRef]
- Li, M.; Bao, F.; Zhang, Y.; Sheng, H.; Chen, C.; Zhao, J. Photochemical aging of soot in the aqueous phase: Release of dissolved black carbon and the formation of 1O2. Environ. Sci. Technol. 2019, 53, 12311–12319. [Google Scholar] [CrossRef]
- Zhou, Z.; Chen, B.; Qu, X.; Fu, H.; Zhu, D. Dissolved black carbon as an efficient sensitizer in the photochemical transformation of 17β-estradiol in aqueous solution. Environ. Sci. Technol. 2018, 52, 10391–10399. [Google Scholar] [CrossRef]
- Tian, Y.; Feng, L.; Wang, C.; Liu, Y.; Zou, J.; Li, R.; Du, Z.; Zhang, L. Dissolved black carbon enhanced the aquatic photo-transformation of chlortetracycline via triplet excited-state species: The role of chemical composition. Environ. Res. 2019, 179, 108855. [Google Scholar] [CrossRef]
- Tu, Y.; Liu, H.; Li, Y.; Zhang, Z.; Lei, Y.; Zhao, Q.; Tian, S. Radical chemistry of dissolved black carbon under sunlight irradiation: Quantum yield prediction and effects on sulfadiazine photodegradation. Environ. Sci. Pollut. Res. 2022, 29, 21517–21527. [Google Scholar] [CrossRef]
- Zheng, X.; Liu, Y.; Fu, H.; Qu, X.; Yan, M.; Zhang, S.; Zhu, D. Comparing electron donating/accepting capacities (EDC/EAC) between crop residue-derived dissolved black carbon and standard humic substances. Sci. Total Environ. 2019, 673, 29–35. [Google Scholar] [CrossRef] [PubMed]
- He, P.; Xue, J.; Shao, L.; Li, G.; Lee, D. Dissolved organic matter (DOM) in recycled leachate of bioreactor landfill. Water Res. 2006, 40, 1465–1473. [Google Scholar] [CrossRef]
- Laszakovits, J.R.; Somogyi, A.; Mackay, A.A. Chemical alterations of dissolved organic matter by permanganate oxidation. Environ. Sci. Technol. 2020, 54, 3256–3266. [Google Scholar] [CrossRef]
- Fichot, C.G.; Benner, R. The spectral slope coefficient of chromophoric dissolved organic matter (S275–295) as a tracer of terrigenous dissolved organic carbon in river-influenced ocean margins. Limnol. Oceanogr. 2012, 57, 1453–1466. [Google Scholar] [CrossRef]
- Du, Z.; He, Y.; Fan, J.; Fu, H.; Zheng, S.; Xu, Z.; Qu, X.; Kong, A.; Zhu, D. Predicting apparent singlet oxygen quantum yields of dissolved black carbon and humic substances using spectroscopic indices. Chemosphere 2018, 194, 405–413. [Google Scholar] [CrossRef] [PubMed]
- Helms, J.R.; Stubbins, A.; Ritchie, J.D.; Minor, E.C.; Kieber, D.J.; Mopper, K. Absorption spectral slopes and slope ratios as indicators of molecular weight, source, and photobleaching of chromophoric dissolved organic matter. Limnol. Oceanogr. 2008, 53, 955–969. [Google Scholar] [CrossRef]
- Zhou, C.; Xie, Q.; Wang, J.; Chen, X.; Niu, J.; Chen, J. Effects of dissolved organic matter derived from freshwater and seawater on photodegradation of three antiviral drugs. Environ. Pollut. 2020, 258, 113700. [Google Scholar] [CrossRef]
- Coble, P.G. Characterization of marine and terrestrial DOM in seawater using excitation-emission matrix spectroscopy. Mar. Chem. 1996, 51, 325–346. [Google Scholar] [CrossRef]
- Coble, P.G.; Green, S.A.; Blough, N.V.; Gagosian, R.B. Characterization of dissolved organic matter in the Black Sea by fluorescence spectroscopy. Nature 1990, 348, 432–435. [Google Scholar] [CrossRef]
- Coble, P.G.; Schultz, C.A.; Mopper, K. Fluorescence contouring analysis of doc intercalibration experiment samples—A comparison of techniques. Mar. Chem. 1993, 41, 173–178. [Google Scholar] [CrossRef]
- Peng, N.; Wang, K.; Tu, N.; Liu, Y.; Li, Z. Fluorescence regional integration combined with parallel factor analysis to quantify fluorescencent spectra for dissolved organic matter released from manure biochars. RSC Adv. 2020, 10, 31502–31510. [Google Scholar] [CrossRef]
- Ahmad, S.R.; Reynolds, D.M. Monitoring of water quality using fluorescence technique: Prospect of on-line process control. Water Res. 1999, 33, 2069–2074. [Google Scholar] [CrossRef]
- Determann, S.; Reuter, R.; Wagner, P.; Willkomm, R. Fluorescence matter in the eastern Atlantic Ocean. Part 1: Method of measurement and near-surface distribution. Deep-Sea Res. Part I Oceanogr. Res. Pap. 1994, 41, 659–675. [Google Scholar] [CrossRef]
- Mounier, S.; Braucher, R.; Benaim, J.Y. Differentiation of organic matter’s properties of the Rio Negro basin by cross-flow ultra-filtration and UV-spectrofluorescence. Water Res. 1999, 33, 2363–2373. [Google Scholar] [CrossRef]
- Ismaili, M.M.; Belin, C.; Lamotte, M.; Texier, H. Distribution and characterisation by fluorescence of the dissolved organic matter within the central Channel waters. Oceanol. Acta 1998, 21, 645–654. [Google Scholar] [CrossRef]
- Reynolds, D.M.; Ahmad, S.R. Rapid and direct determination of wastewater BOD values using a fluorescence technique. Water Res. 1997, 31, 2012–2018. [Google Scholar] [CrossRef]
- Artinger, R.; Buckau, G.; Geyer, S.; Fritz, P.; Wolf, M.; Kim, J.I. Characterization of groundwater humic substances: Influence of sedimentary organic carbon. Appl. Geochem. 2000, 15, 97–116. [Google Scholar] [CrossRef]
- Miano, T.; Sposito, G.; Martin, J.P. Fluorescence spectroscopy of model humic acid-type polymers. Geoderma 1990, 47, 349–359. [Google Scholar] [CrossRef]
- Ding, L.; Luo, Y.; Yu, X.; Ouyang, Z.; Liu, P.; Guo, X. Insight into interactions of polystyrene microplastics with different types and compositions of dissolved organic matter. Sci. Total Environ. 2022, 824, 153883. [Google Scholar] [CrossRef]
- Gui, X.; Liu, C.; Li, F.; Wang, J. Effect of pyrolysis temperature on the composition of DOM in manure-derived biochar. Ecotoxicol. Environ. Saf. 2020, 197, 110597. [Google Scholar] [CrossRef]
- Guo, X.; He, X.; Li, C.; Li, N. The binding properties of copper and lead onto compost-derived DOM using Fourier-transform infrared, UV-vis and fluorescence spectra combined with two-dimensional correlation analysis. J. Hazard. Mater. 2019, 365, 457–466. [Google Scholar] [CrossRef]
- Li, J.; Yip, C.M. Super-resolved FT-IR spectroscopy: Strategies, challenges, and opportunities for membrane biophysics. Biochim. Biophys. Acta BBA Biomembr. 2013, 1828, 2272–2282. [Google Scholar] [CrossRef]
- Smidt, E.; Meissl, K. The applicability of Fourier transform infrared (FT-IR) spectroscopy in waste management. Waste Manag. 2007, 27, 268–276. [Google Scholar] [CrossRef] [PubMed]
- Soobhany, N.; Gunasee, S.; Rago, Y.P.; Joyram, H.; Raghoo, P.; Mohee, R.; Garg, V.K. Spectroscopic, thermogravimetric and structural characterization analyses for comparing Municipal Solid Waste composts and vermicomposts stability and maturity. Bioresour. Technol. 2017, 236, 11–19. [Google Scholar] [CrossRef]
- Yang, X.; Zhang, S.; Liu, L.; Ju, M. Study on the long-term effects of DOM on the adsorption of BPS by biochar. Chemosphere 2020, 242, 125165. [Google Scholar] [CrossRef] [PubMed]
- Li, F.; Zhang, L.; Li, X.; Xie, Y.; Wang, Y.; Wang, J. Biomass co-pyrolysis with calcium dihydrogen phosphate improving carbon fixation of biochar. Trans. Chin. Soc. Agric. Eng. 2016, 32, 201–205. [Google Scholar]
- Li, W.; Zhang, F.; Ye, Q.; Wu, D.; Wang, L.; Yu, Y.; Deng, B.; Du, J. Composition and copper binding properties of aquatic fulvic acids in eutrophic Taihu Lake, China. Chemosphere 2017, 172, 496–504. [Google Scholar] [CrossRef]
- Wang, L.; Shen, Q.; Yu, G.; Ran, W.; Xu, Y. Fate of biopolymers during rapeseed meal and wheat bran composting as studied by two-dimensional correlation spectroscopy in combination with multiple fluorescence labeling techniques. Bioresour. Technol. 2012, 105, 88–94. [Google Scholar] [CrossRef]
- Chen, W.; Habibul, N.; Liu, X.; Sheng, G.; Yu, H. FTIR and Synchronous Fluorescence Heterospectral Two-Dimensional Correlation Analyses on the Binding Characteristics of Copper onto Dissolved Organic Matter. Environ. Sci. Technol. 2015, 49, 2052–2058. [Google Scholar] [CrossRef]
- Xue, S.; Zhao, Q.; Wei, L.; Ren, N. Behavior and characteristics of dissolved organic matter during column studies of soil aquifer treatment. Water Res. 2009, 43, 499–507. [Google Scholar] [CrossRef]
- Chun, Y.; Sheng, G.; Chiou, C.T.; Xing, B. Compositions and sorptive properties of crop residue-derived chars. Environ. Sci. Technol. 2004, 38, 4649–4655. [Google Scholar] [CrossRef]
- Zhang, X.; Liu, Y.; Liu, Q.; Chu, C.; Shi, M.; Ma, X.; Li, X.; Zheng, H.; Li, F. Dissolved black carbon enhanced the photodegradation of tetracycline in aqueous solution. Environ. Chem. 2023, 42, 2064–2075. [Google Scholar]
- Tomczyk, A.; Sokołowska, Z.; Boguta, P. Biochar physicochemical properties: Pyrolysis temperature and feedstock kind effects. Rev. Environ. Sci. Biotechnol. 2020, 19, 191–215. [Google Scholar] [CrossRef]
- Myers-Pigg, A.N.; Louchouarn, P.; Amon, R.M.W.; Prokushkin, A.; Pierce, K.; Rubtsov, A. Labile pyrogenic dissolved organic carbon in major Siberian Arctic rivers: Implications for wildfire-stream metabolic linkages. Geophys. Res. Lett. 2015, 42, 377–385. [Google Scholar] [CrossRef]
- Norwood, M.J.; Louchouarn, P.; Kuo, L.; Harvey, O.R. Characterization and biodegradation of water-soluble biomarkers and organic carbon extracted from low temperature chars. Org. Geochem. 2013, 56, 111–119. [Google Scholar] [CrossRef]
- Gustafsson, Ö.; Haghseta, F.; Chan, C.; MacFarlane, J.; Gschwend, P.M. Quantification of the dilute sedimentary soot phase: Implications for PAH speciation and bioavailability. Environ. Sci. Technol. 1997, 31, 203–209. [Google Scholar] [CrossRef]
- Gustafsson, Ö.; Bucheli, T.D.; Kukulska, Z.; Andersson, M.; Largeau, C.; Rouzaud, J.; Reddy, C.M.; Eglinton, T.I. Evaluation of a protocol for the quantification of black carbon in sediments. Glob. Biogeochem. Cycles 2001, 15, 881–890. [Google Scholar] [CrossRef]
- Wang, X.; Xu, C.; Druffel, E.M.; Xue, Y.; Qi, Y. Two black carbon pools transported by the Changjiang and Huanghe Rivers in China. Glob. Biogeochem. Cycles 2016, 30, 1778–1790. [Google Scholar] [CrossRef]
- Hammes, K.; Schmidt, M.W.I.; Smernik, R.J.; Currie, L.A.; Ball, W.P.; Nguyen, T.H.; Louchouarn, P.; Houel, S.; Gustafsson, Ö.; Elmquist, M.; et al. Comparison of quantification methods to measure fire-derived (black/elemental) carbon in soils and sediments using reference materials from soil, water, sediment and the atmosphere. Glob. Biogeochem. Cycles 2007, 21. [Google Scholar] [CrossRef]
- Sleighter, R.L.; Hatcher, P.G. The application of electrospray ionization coupled to ultrahigh resolution mass spectrometry for the molecular characterization of natural organic matter. J. Mass Spectrom. 2007, 42, 559–574. [Google Scholar] [CrossRef]
- Aeschbacher, M.; Graf, C.; Schwarzenbach, R.P.; Sander, M. Antioxidant Properties of Humic Substances. Environ. Sci. Technol. 2012, 46, 4916–4925. [Google Scholar] [CrossRef]
- Aeschbacher, M.; Sander, M.; Schwarzenbach, R.P. Novel Electrochemical Approach to Assess the Redox Properties of Humic Substances. Environ. Sci. Technol. 2010, 44, 87–93. [Google Scholar] [CrossRef]
- Dalrymple, R.M.; Carfagno, A.K.; Sharpless, C.M. Correlations between Dissolved Organic Matter Optical Properties and Quantum Yields of Singlet Oxygen and Hydrogen Peroxide. Environ. Sci. Technol. 2010, 44, 5824–5829. [Google Scholar] [CrossRef] [PubMed]
- Kaur, R.; Anastasio, C. Light absorption and the photoformation of hydroxyl radical and singlet oxygen in fog waters. Atmos. Environ. 2017, 164, 387–397. [Google Scholar] [CrossRef]
- Appiani, E.; Ossola, R.; Latch, D.E.; Erickson, P.R.; McNeill, K. Aqueous singlet oxygen reaction kinetics of furfuryl alcohol: Effect of temperature, pH, and salt content. Environ. Sci. Process. Impacts 2017, 19, 507–516. [Google Scholar] [CrossRef] [PubMed]
- Haag, W.R.; Hoigne’, J.; Gassman, E.; Braun, A.M. Singlet oxygen in surface waters—Part I: Furfuryl alcohol as a trapping agent. Chemosphere 1984, 13, 631–640. [Google Scholar] [CrossRef]
- Halladja, S.; Ter Halle, A.; Aguer, J.; Boulkamh, A.; Richard, C. Inhihition of humic substances mediated photooxygenation of furfuryl alcohol by 2,4,6-trimethylphenol. Evidence for reactivity of the phenol with humic triplet excited states. Environ. Sci. Technol. 2007, 41, 6066–6073. [Google Scholar] [CrossRef]
- Grebel, J.E.; Pignatello, J.J.; Mitch, W.A. Impact of halide ions on natural organic matter-sensitized photolysis of 17β-estradiol in saline waters. Environ. Sci. Technol. 2012, 46, 7128–7134. [Google Scholar] [CrossRef]
- Parker, K.M.; Pignatello, J.J.; Mitch, W.A. Influence of ionic strength on triplet-state natural organic matter loss by energy transfer and electron transfer pathways. Environ. Sci. Technol. 2013, 47, 10987–10994. [Google Scholar] [CrossRef]
- Tu, Y.; Tang, W.; Li, Y.; Pu, J.; Liao, J.; Wu, W.; Tian, S. Insights into the implication of halogen ions on the photoactivity of dissolved black carbon for the degradation of pharmaceutically active compounds. Sep. Purif. 2022, 300, 121765. [Google Scholar] [CrossRef]
- Tu, Y.; Li, C.; Shi, F.; Li, Y.; Zhang, Z.; Liu, H.; Tian, S. Enhancive and inhibitory effects of copper complexation on triplet dissolved black carbon-sensitized photodegradation of organic micropollutants. Chemosphere 2022, 307, 135968. [Google Scholar] [CrossRef]
- Grebel, J.E.; Pignatello, J.J.; Mitch, W.A. Sorbic acid as a quantitative probe for the formation, scavenging and steady-state concentrations of the triplet-excited state of organic compounds. Water Res. 2011, 45, 6535–6544. [Google Scholar] [CrossRef]
- Zhou, H.; Yan, S.; Ma, J.; Lian, L.; Song, W. Development of novel chemical probes for examining triplet natural organic matter under solar illumination. Environ. Sci. Technol. 2017, 51, 11066–11074. [Google Scholar] [CrossRef] [PubMed]
- Bader, H.; Sturzenegger, V.; Hoigné, J. Photometric method for the determination of low concentrations of hydrogen peroxide by the peroxidase catalyzed oxidation of N,N-diethyl-p-phenylenediamine (DPD). Water Res. 1988, 22, 1109–1115. [Google Scholar] [CrossRef]
- Liu, H.; Zhang, Z.; Tu, Y.; Li, Y.; Lei, Y.; Tian, S. Dual roles of Cu2+ complexation with dissolved organic matter on the photodegradation of trace organic pollutants: Triplet- and ·OH-induced reactions. Sci. Total Environ. 2022, 815, 152934. [Google Scholar] [CrossRef] [PubMed]
- Zhou, S.; Liao, Z.; Zhang, B.; Hou, R.; Wang, Y.; Zhou, S.; Zhang, Y.; Ren, Z.J.; Yuan, Y. Photochemical behavior of microbial extracellular polymeric substances in the aquatic environment. Environ. Sci. Technol. 2021, 55, 15090–15099. [Google Scholar] [CrossRef]
- Kuhn, H.J.; Braslavsky, S.E.; Schmidt, R. Chemical actinometry IUPAC technical report. Pure Appl. Chem. 2004, 76, 2105–2146. [Google Scholar] [CrossRef]
- Laszakovits, J.R.; Berg, S.M.; Anderson, B.G.; O’Brien, J.E.; Wammer, K.H.; Sharplessp, C. p-Nitroanisole/Pyridine and p-Nitroacetophenone/Pyridine actinometers revisited: Quantum yield in comparison to ferrioxalate. Environ. Sci. Technol. Lett. 2017, 4, 11–14. [Google Scholar] [CrossRef]
- Xing, J.; Xu, G.; Li, G. Analysis of the complexation behaviors of Cu(II) with DOM from sludge-based biochars and agricultural soil: Effect of pyrolysis temperature. Chemosphere 2020, 250, 126184. [Google Scholar] [CrossRef]
- Rajapaksha, A.U.; Ok, Y.S.; El-Naggar, A.; Kim, H.; Song, F.; Kang, S.; Tsang, Y.F. Dissolved organic matter characterization of biochars produced from different feedstock materials. J. Environ. 2019, 233, 393–399. [Google Scholar] [CrossRef]
- Tang, J.; Li, X.; Luo, Y.; Li, G.; Khan, S. Spectroscopic characterization of dissolved organic matter derived from different biochars and their polycylic aromatic hydrocarbons (PAHs) binding affinity. Chemosphere 2016, 152, 399–406. [Google Scholar] [CrossRef]
- Wei, S.; Zhu, M.; Fan, X.; Song, J.; Peng, P.; Li, K.; Jia, W.; Song, H. Influence of pyrolysis temperature and feedstock on carbon fractions of biochar produced from pyrolysis of rice straw, pine wood, pig manure and sewage sludge. Chemosphere 2019, 218, 624–631. [Google Scholar] [CrossRef]
- Wei, S.; Zhu, M.; Song, J.; Peng, P. Comprehensive characterization of biochars produced from three major crop straws of China. Bioresources 2017, 12, 3316–3330. [Google Scholar] [CrossRef]
- Xiao, X.; Chen, B. A direct observation of the fine aromatic clusters and molecular structures of biochars. Environ. Sci. Technol. 2017, 51, 5473–5482. [Google Scholar] [CrossRef] [PubMed]
- Wei, J.; Tu, C.; Yuan, G.; Bi, D.; Wang, H.; Zhang, L.; Theng, B.K.G. Pyrolysis Temperature-dependent changes in the characteristics of biochar-borne dissolved organic matter and its copper binding properties. Bull. Environ. Contam. Toxicol. 2019, 103, 169–174. [Google Scholar] [CrossRef] [PubMed]
- Mcknight, D.M.; Boyer, E.W.; Westerhoff, P.K.; Doran, P. Spectrofluorometric characterization of dissolved organic matter for indication of precursor organic material and aromaticity. Limnol. Oceanogr. 2001, 46, 38–48. [Google Scholar] [CrossRef]
- Sharpless, C.M. Lifetimes of triplet dissolved natural organic matter (DOM) and the effect of NaBH4 reduction on singlet oxygen quantum yields: Implications for DOM photophysics. Environ. Sci. Technol. 2012, 46, 4466–4473. [Google Scholar] [CrossRef] [PubMed]
- Xu, F.; Wei, C.; Zeng, Q.; Li, X.; Alvarez, P.J.J.; Li, Q.; Qu, X.; Zhu, D. Aggregation behavior of dissolved black carbon: Implications for vertical mass flux and fractionation in aquatic systems. Environ. Sci. Technol. 2017, 51, 13723–13732. [Google Scholar] [CrossRef] [PubMed]
- Balmer, B.; Ylitalo, G.; Watwood, S.; Quigley, B.; Bolton, J.; Mullin, K.; Rosel, P.; Rowles, T.; Speakman, T.; Wilcox, L.; et al. Comparison of persistent organic pollutants (POPs) between small cetaceans in coastal and estuarine waters of the northern Gulf of Mexico. Mar. Pollut. Bull. 2019, 145, 239–247. [Google Scholar] [CrossRef]
- Sánchez-Avila, J.; Vicente, J.; Echavarri-Erasun, B.; Porte, C.; Tauler, R.; Lacorte, S. Sources, fluxes and risk of organic micropollutants to the Cantabrian Sea (Spain). Mar. Pollut. Bull. 2013, 72, 119–132. [Google Scholar] [CrossRef]
- Zhao, Q.; Fang, Q.; Liu, H.; Li, Y.; Cui, H.; Zhang, B.; Tian, S. Halide-specific enhancement of photodegradation for sulfadiazine in estuarine waters: Roles of halogen radicals and main water constituents. Water Res. 2019, 160, 209–216. [Google Scholar] [CrossRef]
- Zhou, C.; Chen, J.; Xie, H.; Zhang, Y.; Li, Y.; Wang, Y.; Xie, Q.; Zhang, S. Modeling photodegradation kinetics of organic micropollutants in water bodies: A case of the Yellow River estuary. J. Hazard. Mater. 2018, 349, 60–67. [Google Scholar] [CrossRef]
- Mack, J.; Bolton, J.R. Photochemistry of nitrite and nitrate in aqueous solution: A review. J. Photochem. Photobiol. A 1999, 128, 1–13. [Google Scholar] [CrossRef]
- Ou, Q.; Xu, Y.; He, Q.; Wu, Z.; Ma, J.; Huangfu, X. Deposition behavior of dissolved black carbon on representative surfaces: Role of molecular conformation. J. Environ. Chem. Eng. 2021, 9, 105921. [Google Scholar] [CrossRef]
- Liu, H.; Ge, Q.; Xu, F.; Qu, X.; Fu, H.; Sun, J. Dissolved black carbon induces fast photo-reduction of silver ions under simulated sunlight. Sci. Total Environ. 2021, 775, 145897. [Google Scholar] [CrossRef]
- Li, C.; Che, X.; Bai, Y.; Shi, X.; Su, R. Indirect Photodegradation of Sulfamethoxazole in Water. Environ. Sci. 2019, 40, 8. [Google Scholar]
- Dong, X.; Ma, L.; Gress, J.; Harris, W.; Li, Y. Enhanced Cr(VI) reduction and As(III) oxidation in ice phase: Important role of dissolved organic matter from biochar. J. Hazard. Mater. 2014, 267, 62–70. [Google Scholar] [CrossRef]
- Lu, Q.; Liu, Y.; Li, B.; Feng, L.; Du, Z.; Zhang, L. Reaction kinetics of dissolved black carbon with hydroxyl radical, sulfate radical and reactive chlorine radicals. Sci. Total Environ. 2022, 828, 153984. [Google Scholar] [CrossRef]
- Luo, L.; Chen, Z.; Lv, J.; Cheng, Y.; Wu, T.; Huang, R. Molecular understanding of dissolved black carbon sorption in soil-water environment. Water Res. 2019, 154, 210–216. [Google Scholar] [CrossRef]
- Wenk, J.; Eustis, S.N.; Mcneill, K.; Canonica, S. Quenching of excited triplet states by dissolved natural organic matter. Environ. Sci. Technol. 2013, 47, 12802–12810. [Google Scholar] [CrossRef]
- Kelly, M.M.; Arnold, W.A. Direct and indirect photolysis of the phytoestrogens genistein and daidzein. Environ. Sci. Technol. 2012, 46, 5396–5403. [Google Scholar] [CrossRef]
- Wei, X.; Chen, J.; Xie, Q.; Zhang, S.; Li, Y.; Zhang, Y.; Xie, H. Photochemical behavior of antibiotics impacted by complexation effects of concomitant metals: A case for ciprofloxacin and Cu(II). Environ. Sci. Process. Impacts 2015, 17, 1220–1227. [Google Scholar] [CrossRef]
- Xie, Q.; Chen, J.; Zhao, H.; Qiao, X.; Cai, X.; Li, X. Different photolysis kinetics and photooxidation reactivities of neutral and anionic hydroxylated polybrominated diphenyl ethers. Chemosphere 2013, 90, 188–194. [Google Scholar] [CrossRef] [PubMed]
- Mcneill, K.; Canonica, S. Triplet state dissolved organic matter in aquatic photochemistry: Reaction mechanisms, substrate scope, and photophysical properties. Environ. Sci. Process. Impacts 2016, 18, 1381–1399. [Google Scholar] [CrossRef] [PubMed]
- Chen, Y.; Sun, K.; Wang, Z.; Zhang, E.; Yang, Y.; Xing, B. Analytical methods, molecular structures and biogeochemical behaviors of dissolved black carbon. Carbon Res. 2022, 1, 23. [Google Scholar] [CrossRef]
- Zhang, P.; Shao, Y.; Xu, X.; Huang, P.; Sun, H. Phototransformation of biochar-derived dissolved organic matter and the effects on photodegradation of imidacloprid in aqueous solution under ultraviolet light. Sci. Total Environ. 2020, 724, 137913. [Google Scholar] [CrossRef]







| Spectral Parameters | Calculation Method and Characteristics Meaning |
|---|---|
| SUVA254 | the ratio of absorbance at 254 nm to the concentration of dissolved organic carbon; characterizing the molecular weight and aromaticity of DBC |
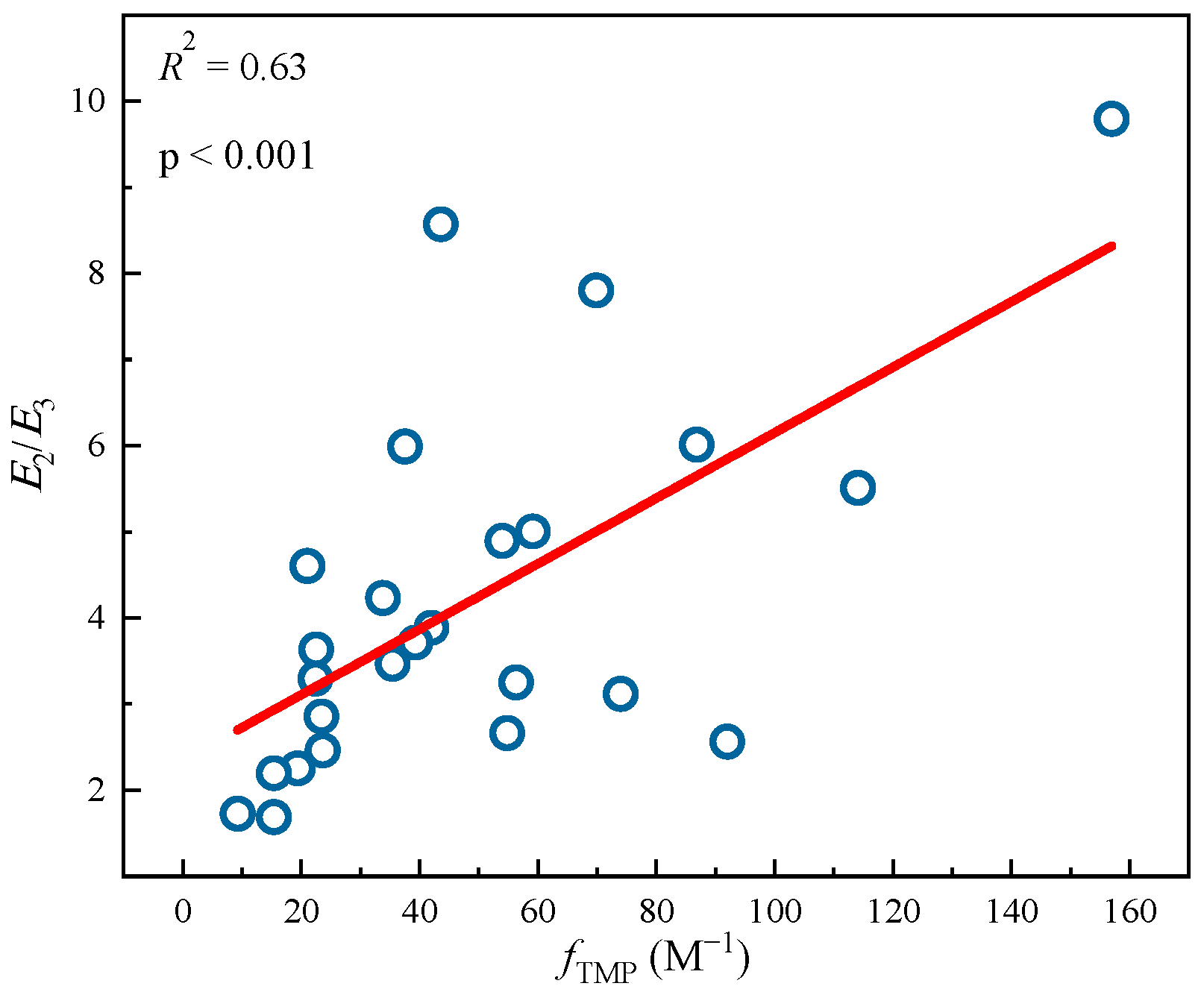
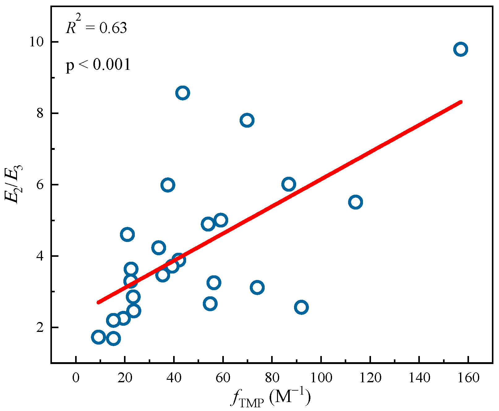
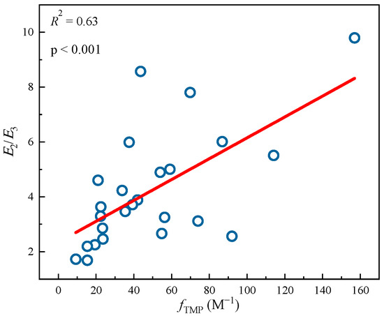
| E2/E3 | absorbance ratio at 254 nm and 365 nm; inversely proportional to the molecular weight of DBC and related to the internal Electron transfer capability of DBC |
| E4/E6 | absorbance ratio at 465 nm and 665 nm; negative correlation with DBC aromatic cluster structure |
| S275–295 | linear regression of logarithmic transformation data at 275 nm to 295 nm; characterize the damage degree of DOM molecular structure |
| S350–400 | linear regression of logarithmic transformation data at 350 nm to 400 nm; reflecting the aliphatic content of DBC |
| SR | the ratio of S275–295 to S350–400; inversely proportional to the molecular weight of DBC and positively related to the degree of photobleaching of DBC |
| Wavelength (cm−1) | Characteristics of Peaks |
|---|---|
| 3500–3200 | Tensile vibration of ─OH in alcohols, phenols, or soluble proteins |
| 3000–2850 | Anti-symmetric stretching of aliphatic ─CH2 alkanes, aromatic CH, and C─CH3 |
| 1800–1600 | Tensile Vibration of C═O in Carboxylic Acids and Ketones |
| 1600–1540 | The stretching of aromatic group C═C or N─H of amide I, or the deformation vibration of C─N, C═N of amide II |
| 1420 | O─H deformation of carboxyl groups |
| 1380 | OH deformation of phenolic hydroxyl groups within molecules, or C─O deformation of carboxylic acid groups |
| 1250–1000 | Tensile vibration of C─O, C─O─P, or ─OH of polysaccharides, alcohols, carboxylic acids, and lipids |
| Biomass Sources | Properties of DBC |
|---|---|
| 300 °C-Soybean straw DBC | H/C = 0.74 O/C = 0.27 C(%) = 68.81 O(%) = 24.99 pH = 7.27 Specific surface area = 5.61 m2 g−1 DOC = 140.0 |
| 700 °C-Soybean straw DBC | H/C = 0.74 O/C = 0.27 C(%) = 81.98 O(%) = 15.45 pH = 11.32 Specific surface area = 420.30 m2 g−1 DOC = 64.4 |
| 300 °C-Garlic stem DBC | H/C = 0.74 O/C = 0.27 C(%) = 58.94 O(%) = 34.57 Specific surface area = 1.49 m2 g−1 DOC = 658.7 |
| 700 °C-Garlic stem DBC | H/C = 0.28 O/C = 0.38 C(%) = 63.88 O(%) = 32.6 Specific surface area = 201.72 m2 g−1 DOC = 35.4 |
| 700 °C-Purple perilla DBC | H/C = 0.15 O/C = 0.16 C(%) = 71.83 O(%) = 15.27 pH = 10.62 Specific surface area = 473.39 m2 g−1 DOC = 219.0 |
| 500 °C-Pine sawdust DBC | H/C = 0.36 O/C = 0.07 C(%) = 89.22 O(%) = 7.9 pH = 9.96 Specific surface area = 324.61 m2 g−1 DOC = 11.3 |
| 400 °C-Oak DBC | H/C = 0.16 O/C = 0.08 C(%) = 88.71 O(%) = 9.72 pH = 10.17 Specific surface area = 207.76 m2 g−1 DOC = 14.6 |
| DBC Sample | pH | [DBC] (mgC L−1) | SUVA254 (L mgC−1 m−1) | E2/E3 | S275–295 | S350–400 | SR |
|---|---|---|---|---|---|---|---|
| 200 °C-Wheat Straw DBC | 7.0 | 10 | 3.0725 | 3.1152 | 0.0105 | 0.0144 | 0.73 |
| 300 °C-Wheat Straw DBC | 7.0 | 10 | 2.2055 | 6.0100 | 0.0250 | 0.0227 | 1.10 |
| 400 °C-Wheat Straw DBC | 7.0 | 10 | 1.2681 | 5.5078 | 0.0200 | 0.0116 | 1.73 |
| 500 °C-Wheat Straw DBC | 7.0 | 10 | 0.3128 | 5.0017 | 0.0190 | 0.0190 | 1.00 |
| 600 °C-Wheat Straw DBC | 7.0 | 10 | 0.2659 | 4.6014 | 0.0132 | 0.0069 | 1.93 |
| 200 °C-Rice Straw DBC | 7.0 | 10 | 2.6586 | 3.2939 | 0.0093 | 0.0120 | 0.78 |
| 300 °C-Rice Straw DBC | 7.0 | 10 | 1.9114 | 3.8854 | 0.0144 | 0.0096 | 1.50 |
| 400 °C-Rice Straw DBC | 7.0 | 10 | 2.0496 | 2.6603 | 0.0148 | 0.0102 | 1.46 |
| 500 °C-Rice Straw DBC | 7.0 | 10 | 0.6379 | 2.2522 | 0.0066 | 0.0047 | 1.42 |
| 600 °C-Rice Straw DBC | 7.0 | 10 | 0.2072 | 2.1957 | 0.0114 | 0.0065 | 1.76 |
| 200 °C-Bamboo DBC | 7.0 | 10 | 2.0625 | 3.7124 | 0.0141 | 0.0160 | 0.89 |
| 300 °C-Bamboo DBC | 7.0 | 10 | 1.6811 | 8.5700 | 0.0175 | 0.0169 | 1.04 |
| 400 °C-Bamboo DBC | 7.0 | 10 | 0.8866 | 2.5600 | 0.0100 | 0.0061 | 1.63 |
| 500 °C-Bamboo DBC | 7.0 | 10 | 0.2049 | 4.2300 | 0.0099 | 0.0077 | 1.30 |
| 600 °C-Bamboo DBC | 7.0 | 10 | 0.0898 | 3.6337 | 0.0060 | 0.0038 | 1.61 |
| 200 °C-Corn Straw DBC | 7.0 | 10 | 3.0169 | 3.4655 | 0.0099 | 0.0158 | 0.63 |
| 300 °C-Corn Straw DBC | 7.0 | 10 | 2.3915 | 7.8008 | 0.0200 | 0.0364 | 0.55 |
| 400 °C-Corn Straw DBC | 7.0 | 10 | 2.0143 | 9.7900 | 0.0250 | 0.0240 | 1.04 |
| 500 °C-Corn Straw DBC | 7.0 | 10 | 0.2256 | 2.4606 | 0.0053 | 0.0052 | 1.02 |
| 600 °C-Corn Straw DBC | 7.0 | 10 | 0.0690 | 1.7249 | 0.0048 | 0.0015 | 2.28 |
| 200 °C-Pine Needle DBC | 7.0 | 10 | 2.4268 | 5.9860 | 0.0119 | 0.0118 | 1.02 |
| 300 °C-Pine Needle DBC | 7.0 | 10 | 1.4991 | 4.8913 | 0.0138 | 0.0115 | 1.21 |
| 400 °C-Pine Needle DBC | 7.0 | 10 | 0.9878 | 3.2500 | 0.0098 | 0.0065 | 1.51 |
| 500 °C-Pine Needle DBC | 7.0 | 10 | 0.5643 | 2.8553 | 0.0067 | 0.0048 | 1.41 |
| 600 °C-Pine Needle DBC | 7.0 | 10 | 0.3090 | 1.6854 | 0.0061 | 0.0020 | 2.14 1 |
| Organic Micropollutants | Main ROS from DBC for Degrading | Pseudo-First-Order Reaction Rate Constant for Organic Micropollutants (s−1) |
|---|---|---|
| Atenolol | 3DBC* | 2.47 × 10−5 [14] |
| Diphenhydramine | 3.20 × 10−5 [14] | |
| Propyl 4-Hydroxybenzoic acid | 0.53 × 10−5 [14] | |
| 17β-estradiol | 3DBC* and 1O2 | (4.1~6.9) × 10−5 [26,78] |
| Chlortetracycline | 3DBC* | 49.83 × 10−5 [27] |
| Sulfadiazine | 3DBC* and 1O2 | 5.33 × 10−5 [28] |
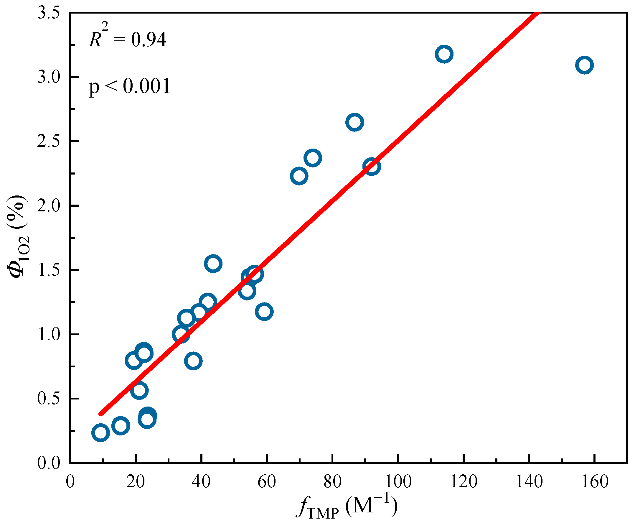
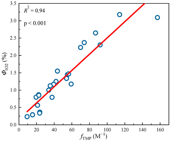
| TMP | 3DBC* | 1.58~27.70 × 10−5 [28] |
| Carbamazepine | 3DBC* | 0.125 × 10−5 [78] |
Disclaimer/Publisher’s Note: The statements, opinions and data contained in all publications are solely those of the individual author(s) and contributor(s) and not of MDPI and/or the editor(s). MDPI and/or the editor(s) disclaim responsibility for any injury to people or property resulting from any ideas, methods, instructions or products referred to in the content. |
© 2023 by the authors. Licensee MDPI, Basel, Switzerland. This article is an open access article distributed under the terms and conditions of the Creative Commons Attribution (CC BY) license (https://creativecommons.org/licenses/by/4.0/).
Share and Cite
Liu, H.; Tu, Y.; Tang, W.; Wu, W.; Li, Y. Review of Photochemical Activity of Dissolved Black Carbon in Aquatic Environments: Primary Influencing Factors and Mechanisms. Separations 2023, 10, 408. https://doi.org/10.3390/separations10070408
Liu H, Tu Y, Tang W, Wu W, Li Y. Review of Photochemical Activity of Dissolved Black Carbon in Aquatic Environments: Primary Influencing Factors and Mechanisms. Separations. 2023; 10(7):408. https://doi.org/10.3390/separations10070408
Chicago/Turabian StyleLiu, Huaying, Yina Tu, Wei Tang, Weilin Wu, and Yingjie Li. 2023. "Review of Photochemical Activity of Dissolved Black Carbon in Aquatic Environments: Primary Influencing Factors and Mechanisms" Separations 10, no. 7: 408. https://doi.org/10.3390/separations10070408
APA StyleLiu, H., Tu, Y., Tang, W., Wu, W., & Li, Y. (2023). Review of Photochemical Activity of Dissolved Black Carbon in Aquatic Environments: Primary Influencing Factors and Mechanisms. Separations, 10(7), 408. https://doi.org/10.3390/separations10070408
