Synthesis, Isolation, Identification and Characterization of a Drug-Excipient Interaction Degradation Impurity in Pramipexole by HPLC, LC/MS and NMR
Abstract
1. Introduction
2. Materials and Methods
2.1. Pramipexole Extended-Release Tablet Formulation and Sample Preparation
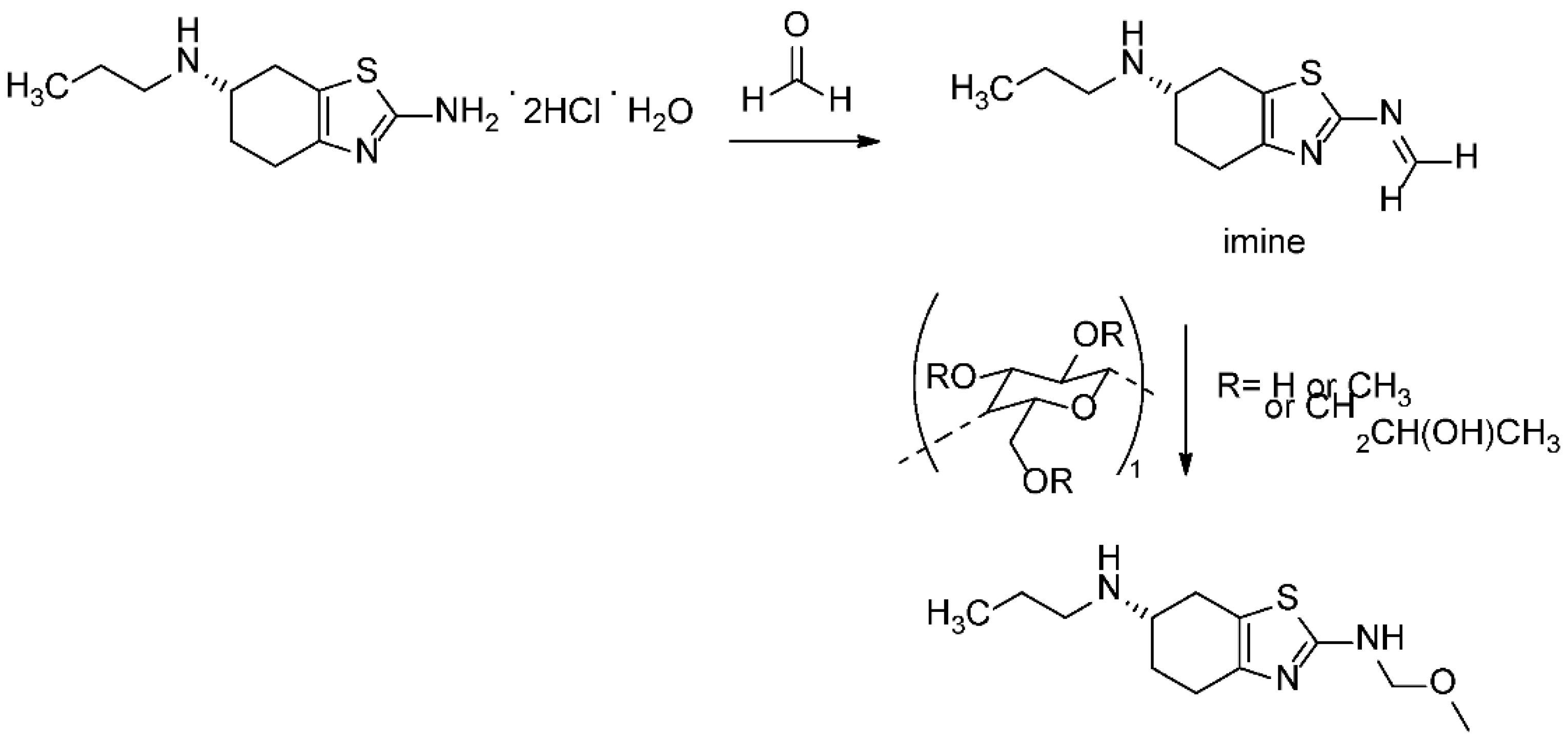
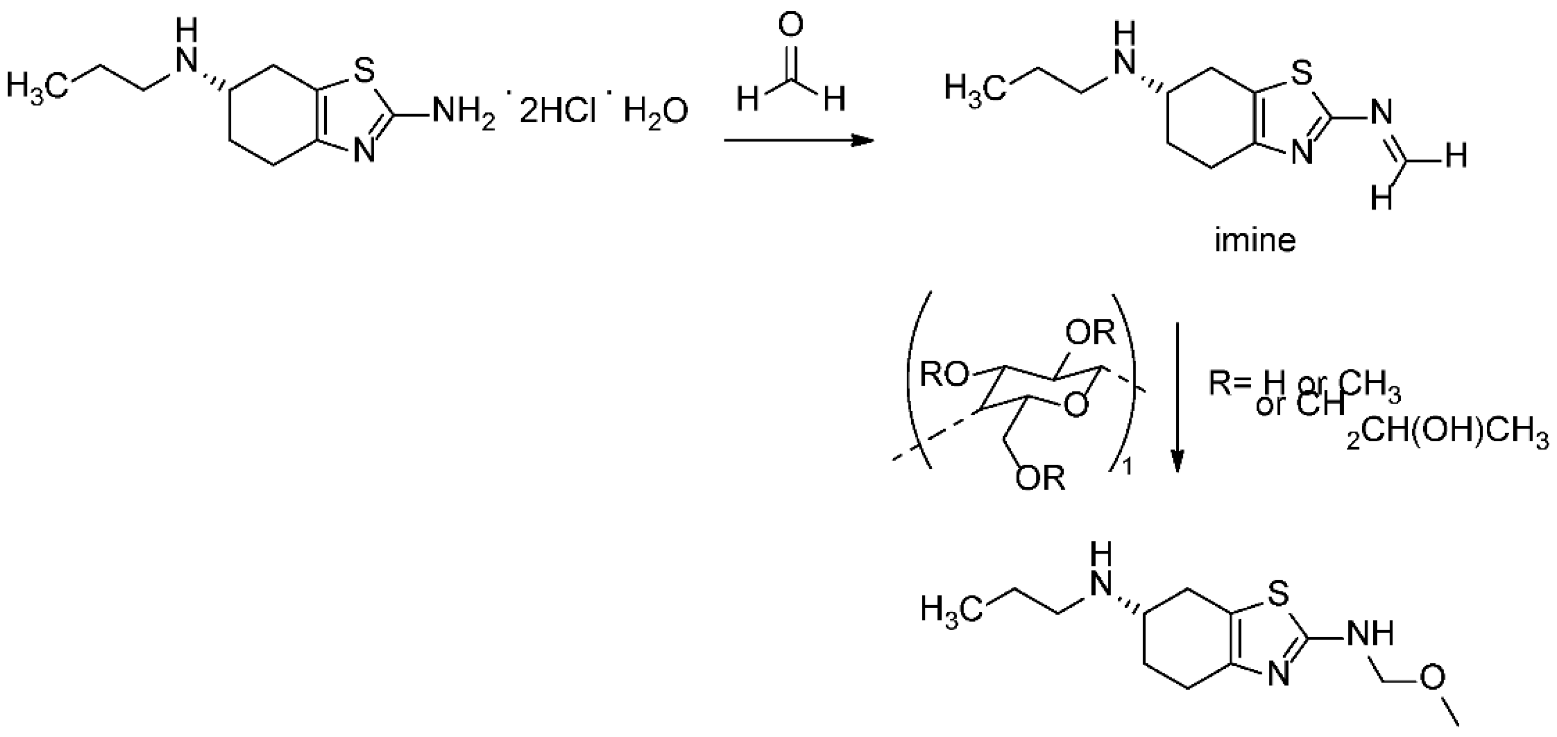
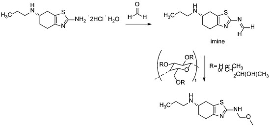
2.2. Synthesis of (S)-N2-(Methoxymethyl)-N6-Propyl-4,5,6,7-Tetrahydro-1,3-Benzothiazole-2,6-Diamine
3. Results and Discussion
3.1. Detection of the Degradation Impurity
3.2. Separation and Retrosynthesis of the Degradation Impurity (RRT 0.88) from Pramipexole API
3.3. Proposed Source and Mechanism of Formation of Pramipexole N-Methoxymethyl Degradation Impurity (RRT 0.88) in Pramipexole Tablets
3.4. Structure Elucidation of the Degradation Impurity at RRT 0.88
4. Conclusions
Supplementary Materials
Author Contributions
Funding
Data Availability Statement
Acknowledgments
Conflicts of Interest
References
- Krishna, G.V.; Kumar, S.K.; Reddy, A.M.; Rajeswari, J. A new validated stability indicating ion-pair hplc method for evaluation of impurities of pramipexole from low dose extended release formulation. Asian J. Chem. 2017, 29, 923–928. [Google Scholar] [CrossRef]
- Hu, T.; Yang, F.; Jiang, T.; Chen, W.; Zhang, J.; Li, J.; Jiang, X.; Shen, J. Synthesis of Impurities of Pramipexole Dihydrochloride. Org. Process Res. Dev. 2016, 20, 1899–1905. [Google Scholar] [CrossRef]
- Pawar, D.S.; Dole, M.N.; Sawant, S.D. Application of stability indicating high performance thin layer chromatographic method for quantitation of pramipexole in pharmaceutical dosage form. Int. J. Res. Pharm. Sci. 2013, 4, 183–186. [Google Scholar] [CrossRef]
- Biglan, K.M.; Holloway, R.G. A review of pramipexole and its clinical utility in Parkinson’s disease. Expert Opin. Pharmacother. 2002, 3, 197–210. [Google Scholar] [PubMed]
- Aiken, C.B. Pramipexole in psychiatry: A systematic review of the literature. J. Clin. Psychiatry 2007, 68, 1231–1237. [Google Scholar] [CrossRef]
- Zhao, M.; Wu, X.; Yu, Z.; Sun, Y.; Liu, Z.; Yuan, J.; Liu, H.; Jin, Y. Identification, synthesis and characterization of avanafil process impurities and determination by UPLC. RSC Adv. 2022, 12, 9256–9262. [Google Scholar] [CrossRef] [PubMed]
- Xu, H.; Wang, Y.; Wang, H.; Zheng, Z.; Meng, Z.; Xue, M.; Xu, Z. Separation and identification of an impurity from the istradefylline intermediate. RSC Adv. 2020, 10, 14493–14499. [Google Scholar] [CrossRef] [PubMed]
- Manoel, J.W.; Primieri, G.B.; Bueno, L.M.; Wingert, N.R.; Volpato, N.M.; Garcia, C.V.; Schapoval, E.E.S.; Steppe, M. The application of quality by design in the development of the liquid chromatography method to determine empagliflozin in the presence of its organic impurities. RSC Adv. 2020, 10, 7313–7320. [Google Scholar] [CrossRef] [PubMed]
- Sun, Y.; Zhang, X.; Yan, Y.; Tu, Y.; Feng, X.; Jiang, W.; Zheng, F. Identification and genotoxicity evaluation of two carbamate impurities in rasagiline. RSC Adv. 2016, 6, 106268–106274. [Google Scholar] [CrossRef]
- Malenović, A.; Jančić-Stojanović, B.; Vemić, A.; Ivanović, D.; Medenica, M. Validation of a Column Liquid Chromatographic Method for the Analysis of Pramipexole and Its Five Impurities. J. AOAC Int. 2010, 93, 1102–1112. [Google Scholar] [CrossRef]
- Jančić, B.; Medenica, M.; Ivanović, D.; Malenović, A. Experimental design in chromatographic analysis of pramipexole and its impurities. Acta Chim. Slov. 2007, 54, 49–54. [Google Scholar]
- Jančić, B.; Medenica, M.; Ivanović, D.; Malenović, A. Chromatographic determination of dissociation constants of pramipexole and its impurities. Chromatographia 2007, 65, 633–635. [Google Scholar] [CrossRef]
- Vemić, A.; Rakić, T.; Malenović, A.; Medenica, M. Chaotropic salts in liquid chromatographic method development for the determination of pramipexole and its impurities following quality-by-design principles. J. Pharm. Biomed. Anal. 2015, 102, 314–320. [Google Scholar] [CrossRef]
- Łaszcz, M.; Trzcińska, K.; Kubiszewski, M.; Kosmacińska, B.; Glice, M. Stability studies and structural characterization of pramipexole. J. Pharm. Biomed. Anal. 2010, 53, 1033–1036. [Google Scholar] [CrossRef] [PubMed]
- Schmidt, A.H.; Stanic, M.; Molnár, I. In silico robustness testing of a compendial HPLC purity method by using of a multidimensional design space build by chromatography modeling—Case study pramipexole. J. Pharm. Biomed. Anal. 2014, 91, 97–107. [Google Scholar] [CrossRef]
- International Council on Harmonisation of Technical Requirements for Registration Pharmaceuticals Human Use.
- United State Pharmacopiea 1st Suppl. 2020, DocID: GUID-8F1C63DC-DE51-4104-9869-4D463A4E0B84_4.
- Ji, Z.; Zhou, F.; Wei, S. Synthesis and herbicidal activities of benzothiazole N,O-acetals. Bioorg. Med. Chem. Lett. 2015, 25, 4065–4068. [Google Scholar] [CrossRef] [PubMed]
- Lavudu, P.; Rani, A.P.; Sekaran, C.B.; Kumar, K.S.; Ramesh, A. Determination of pramipexole dihydrochloride in tablet dosage forms by visible spectrophotometric method using acetyl acetone-formaldehyde reagent. Chem. Sci. J. 2012, 2012, CSJ-49. [Google Scholar]
- Vibhute, S.D.; Agarwal, S.; Joshi, Y. Stable formulations of pramipexole hydrochloride. WO 2012/140604, 2012. [Google Scholar]








| Structure | Ph. Eur. Name * | USP Name ** |
|---|---|---|
![]() | Impurity A | Pramipexole related compound A |
![]() | Impurity B | N-Propylpramipexole |
![]() | Impurity C | Pramipexole dimer |
![]() | Impurity D | Pramipexole propionamide |
![]() | Impurity E | N/A |
Disclaimer/Publisher’s Note: The statements, opinions and data contained in all publications are solely those of the individual author(s) and contributor(s) and not of MDPI and/or the editor(s). MDPI and/or the editor(s) disclaim responsibility for any injury to people or property resulting from any ideas, methods, instructions or products referred to in the content. |
© 2022 by the authors. Licensee MDPI, Basel, Switzerland. This article is an open access article distributed under the terms and conditions of the Creative Commons Attribution (CC BY) license (https://creativecommons.org/licenses/by/4.0/).
Share and Cite
Al-Rifai, N.; Alshishani, A.; Saad, B.; Rasras, A.; Zahra, J.; Madieh, S.; Darras, F. Synthesis, Isolation, Identification and Characterization of a Drug-Excipient Interaction Degradation Impurity in Pramipexole by HPLC, LC/MS and NMR. Separations 2023, 10, 7. https://doi.org/10.3390/separations10010007
Al-Rifai N, Alshishani A, Saad B, Rasras A, Zahra J, Madieh S, Darras F. Synthesis, Isolation, Identification and Characterization of a Drug-Excipient Interaction Degradation Impurity in Pramipexole by HPLC, LC/MS and NMR. Separations. 2023; 10(1):7. https://doi.org/10.3390/separations10010007
Chicago/Turabian StyleAl-Rifai, Nafisah, Anas Alshishani, Bahruddin Saad, Anas Rasras, Jalal Zahra, Shadi Madieh, and Fouad Darras. 2023. "Synthesis, Isolation, Identification and Characterization of a Drug-Excipient Interaction Degradation Impurity in Pramipexole by HPLC, LC/MS and NMR" Separations 10, no. 1: 7. https://doi.org/10.3390/separations10010007
APA StyleAl-Rifai, N., Alshishani, A., Saad, B., Rasras, A., Zahra, J., Madieh, S., & Darras, F. (2023). Synthesis, Isolation, Identification and Characterization of a Drug-Excipient Interaction Degradation Impurity in Pramipexole by HPLC, LC/MS and NMR. Separations, 10(1), 7. https://doi.org/10.3390/separations10010007






