Abstract
A series of fatty acid binary eutectic mixtures were prepared by using capric acid, lauric acid, myristic acid, palmitic acid, and stearic acid (CA, LA, MA, PA, and SA) as raw materials. The phase diagrams of these fatty acid binary eutectic mixtures were drawn using the Schrader equation. The thermal properties and structure were determined using differential scanning calorimetry (DSC). The thermal stability was assessed using thermogravimetric analysis (TGA) and thermal cycling tests. DSC analysis results showed that the phase change temperature of these fatty acid binary eutectic mixtures is between 17.7 °C and 57.1 °C, and the phase change latent heat is between 145.2 J/g and 193.0 J/g. The results of TGA and thermal cycle tests showed that these fatty acid binary eutectic mixtures have good thermal stability and long-term cycle thermal reliability. These results indicated that these binary eutectic mixtures of fatty acids were suitable as thermal energy storage materials for low-temperature systems.
1. Introduction
Thermal energy storage (TES) technology offers a wide range of applications in the sectors of solar energy utilization, shifting peaks and valleys of power, industrial waste heat and waste heat recycling, and heating and air conditioning of buildings, and more and more people are paying attention to it [1,2,3,4]. Chemical energy storage, sensible heat storage, and latent heat storage are the three main types of thermal energy storage [5,6,7]. Latent heat thermal energy storage has gained wide attention and application. In addition to having a high energy storage density, latent heat storage also has a small temperature change while storing energy, superior material stability, and a high level of safety [8,9,10,11]. Phase change material (PCM) is at the heart of latent thermal energy storage. The fatty acid has attracted much attention due to their favorable phase transition temperature, high phase transition latent heat, non-toxic, non-corrosive, minimal undercooling, no or minor volume change, high thermal reliability, abundant raw materials, easy to get, and other advantages [12,13]. Mainly long-chain saturated fatty acids with even-numbered carbon atoms, C10–C18, are employed as phase change energy storage materials. The general chemical formula is CnH2nO2 or CH3(CH2)nCOOH (where n is the number of carbon atoms), such as capric acid (CA), lauric acid (LA), myristic acid (MA), palmitic acid (PA), and stearic acid (SA), etc. The chemical formulas for CA, LA, MA, PA, and SA are CH3–(CH2)8–COOH, CH3–(CH2)10–COOH, CH3–(CH2)12–COOH, CH3–(CH2)14–COOH, and CH3–(CH2)16–COOH, respectively, and the main physical properties are shown in Table 1 [14,15,16,17]. It can be seen from Table 1 that although the pure fatty acid phase change material has a larger phase transition latent heat, but the phase transition temperature is relatively higher than that of low-temperature building energy-saving applications. Therefore, in order to better meet the temperature of 18–55 °C, multiple fatty acids can be mixed into a eutectic mixture according to the eutectic effect of fatty acids to reduce the phase transition temperature and expand its temperature application range, on which plenty of research has been done [18,19,20,21,22,23].
Table 1.
Physical characteristics of saturated fatty acids commonly used as PCMs.
When two kinds of fatty acids are mixed, the mixtures have different melting points according to the mixing ratio, but the melting point of the mixtures is lower than that of both fatty acids. This phenomenon is called the eutectic effect. Even if the phase transition latent heat of the single fatty acid phase change material is large, but the phase transition temperature is constant and is substantially higher than the application in the field of low-temperature energy saving. Therefore, two fatty acids can be combined in accordance with the eutectic effect to achieve the desired temperature in order to accommodate various applications.
Sari et al. investigated the thermal stability of SA, PA, MA, and LA PCMs, and the results showed that after 0, 120, 560, 850 and 1200 accelerated thermal cycles, the change of PCM melting temperature is in the range of 0.07–7.87 °C, and the change of PCM melting latent heat is in the range of −1–−27.7%, and all PCMs melting latent heat decreases irregularly with the increase of the number of thermal cycles [24]. Sari et al. also studied the long-term thermal stability of binary eutectic fatty acids, and the results showed that the phase change temperature and latent heat changed little before and after the thermal cycle, but there was no law to follow [25]. Sari et al. further studied the creation of a cheap and environmentally friendly composite PCM made of wood fiber and CA-SA and its performance on a lab scale in terms of thermoregulation [26]. Ke Huichen prepared multiple binary, ternary, quaternary, and quinary fatty acid eutectic compounds with five kinds of single fatty acids as raw materials and carried out experimental research, and the results show that these fatty acids are suitable for low-temperature TES systems [27]. Yang L et al. selected LA, MA, PA, and SA fatty acids to perform 10,000 thermal cycles for characterization, and the results showed that as the number of thermal cycles increases, the phase change temperature and phase change latent heat of PCMs both showed a downward trend, the specific heat and thermal conductivity did not change significantly, and nothing changed in the chemical structure, therefore, it is believed that these PCMs have high thermal reliability and can last a very long period [28]. Zhou et al. prepared the CA–MA binary eutectic and investigated its properties, and the results revealed that the mixture (72/28 wt%) has a suitable phase transition temperature (Tm: 18.21 °C; Tf: 17.40 °C) and high phase transition enthalpy (ΔHm: 148.5 J/g; ΔHf: 134.0 J/g), and it is an excellent PCM for TES [29]. Mailhe Clement et al. obtained a phase diagram of the PA-SA binary system containing over a hundred data sets, and the results’ reliability is evaluated by comparing them to results of DSC or from other standard methods, as well as a thermodynamic model for solid-liquid equilibria [30]. Samer Kahwaji et al. created a mathematical tool based on a thermodynamic model in Microsoft Excel to calculate the composition, Tmpt, and ΔHfus of 105 binary mixtures formed by 15 fatty acids, and the computed properties demonstrated that eutectics significantly broaden the range of uses for fatty acids as PCMs for TES by both extending the range of Tmpt and providing a wide range of new Tmpt values that are impossible to obtain from single fatty acids [31,32].
In the low-temperature TES such as building energy conservation, solar energy storage, and waste heat recovery, the temperature range is generally between 15 °C and 60 °C. However, the above pure fatty acid phase transition temperature is constant. Therefore, different phase transition temperatures can be obtained by mixing two kinds of pure fatty acids with different mass ratios according to the eutectic effect to adapt to different applications. As can be seen from the above, most of the literature only focuses on a few binary eutectic mixtures, and systematic theoretical research and experimental characterization have not been carried out. In this paper, ten fatty acid binary eutectic mixtures, capric acid–lauric acid (CA–LA), capric acid–myristic acid (CA–MA), capric acid–palmitic acid (CA–PA), capric acid–stearic acid (CA–SA), lauric acid–myristic acid (LA–MA), lauric acid–palmitic acid (LA–PA), lauric acid–stearic acid (LA–SA), myristic acid–palmitic acid (MA–PA), myristic acid–stearic acid (MA–SA), and palmitic acid–stearic acid (PA–SA), were prepared with five fatty acids of CA, LA, MA, PA, and SA, and the phase diagrams of ten fatty acid binary eutectic mixtures were calculated, and the theoretical eutectic points were calculated and deduced, and the thermal properties, structure and thermal stability of the binary eutectic mixtures were systematically studied.
2. Experiments
2.1. Materials
Capric acid (CA, ≥98.5% purity), Lauric acid (LA, ≥99% purity), Myristic acid (MA, ≥98% purity), Palmitic acid (PA, ≥98.5% purity), and stearic acid (SA, ≥98.5% purity) were supplied by Shanghai Zhunyun Chemical Co, Ltd., China.
2.2. Characterization
Differential scanning calorimeter (DSC, NETSZCH 214Polyma, Germany) is used to determine the phase transition temperature (melting and freezing, Tm and Tf) and latent heat (melting and freezing, ΔHm and ΔHf) of pure fatty acids and their eutectic mixtures. The sample is packaged in an aluminum crucible, and the mass of the sample is about 5–10 mg, cooled with liquid nitrogen. The accuracy of phase change temperature and latent heat are ±0.1% and ±4%, respectively. The temperature range is 0–80 °C, and the heating speed is 5 °C per minute based on the effect of different heating speeds on the DSC results by references [33]. To make sure the test is accurate, the average value is taken after multiple tests, and the extrapolated starting temperature on the DSC curve is set as the phase transition temperature.
The thermal stability of the samples was studied by using Thermogravimetric analysis (TGA, TA TGA5000IR, USA). In the nitrogen atmosphere, the characteristics of the samples were measured from room temperature to the set temperature at the heating rate of 10 °C/min with an error of ±0.2%. High and low temperature test chamber (LINPIN, LRHS-101-LH, Shanghai Linpin Instrument Co., Ltd., China) is used for accelerated thermal cycle test. The preset temperature is 10–60 °C, the heating rate is 2 °C/min, and the cooling rate is 2 °C/min. Fourier transform infrared spectrometer (FT–IR, Thermo Scientific Nicolet iS5, USA) was used to examine the chemical composition of the substance. After the background test, the samples were put into the test. The test resolution is 4 cm−1 and the frequency is 4000–400 cm−1 and the number of sample scans is 16. In order to reduce the error of repeated sample loading, it is generally necessary to determine multiple times and calculate the average spectrum.
2.3. Preparation of the Acid Binary Eutectic Mixtures
Using CA, LA, MA, PA, and SA as raw materials, the binary eutectic mixtures of fatty acids were prepared by melt mixing and ultrasonic oscillation. Two solid fatty acid mixtures with a certain mass ratio are put into a beaker, and the weight error of the sample was controlled within 0.1 mg. Then the beaker was placed in a vacuum drying oven at 80 °C for 2 h at a constant temperature. After all of the fatty acids had dissolved, the magnetic stirrer with constant temperature heating was used to stir for 30 min at 500 rpm to make them fully fused. After that, the beaker was put into an ultrasonic water bath with a 60 °C temperature setting, and the ultrasonic vibration time was set to about 2 min to make sure the fatty acids were always molten and fully fused. Finally, after cooling and solidification, the binary eutectic mixture of fatty acids was obtained.
3. Results and Discussion
3.1. Phase Diagram of Fatty Acid Binary Eutectic Mixtures
The phase transition temperature and latent heat are two important thermal performance parameters of PCMs. The phase transition temperature and latent heat determine the use scene and thermal storage capabilities of the PCM, respectively. The DSC curves for CA, LA, MA, PA, and SA are shown in Figure 1. It is evident that the phase change point of a pure fatty acid keeps constant, and the lowest phase change temperature is higher than 30 °C. Therefore, it is required to create eutectic mixtures by mixing multiple pure fatty acids with different phase transition temperatures, where the phase transition points of eutectic mixtures are lower than that of any component.
Figure 1.
DSC curves of five pure fatty acids.
When two kinds of fatty acids are mixed in a certain proportion, there will be the lowest melting point, which is called the low eutectic point. Figure 2 shows a simple A–B binary phase diagram with a low eutectic point. The lines aE and bE are the liquidus, which respectively represents the equilibrium between the solid phases A and B and the corresponding liquid phases at different temperatures. Point a is the melting point of solid phase A, point b is the melting point of solid phase B, and point E is the intersection point of two liquids, which is the equilibrium point of the coexistence of the liquid phase (the composition is point E) with solid phase A and solid phase B. The equilibrium point is called the eutectic point, and the solid mixture precipitated at this point is called the eutectic mixture.
Figure 2.
Phase diagram of a binary eutectic mixture system.
The law of thermodynamics and the theory of phase equilibrium are useful resources for forecasting the chemical makeup and thermal characteristics of eutectic mixtures. The Schroder equation can be obtained by substituting melting point temperature for three-phase point temperature, as shown in Equation (1) [14,34,35,36].
where: xi is the mole fraction of the ith component, ; is the melting latent heat of the ith component, J/mol; R is the gas constant, which is 8.315 J/(mol·K); Tmi is the melting point of the ith component, K; T is the melting point of the mixture, K.
For a binary fatty acid eutectic system with components A and B, Formula (1) can be written as the following Formula (2).
where: ΔHmA and ΔHmB are the melting latent heat of component A and component B, respectively, J/mol; TmA, TmB, and Tm are the melting temperature of component A and component B and their mixtures, respectively, K; xA and xB are the mole fraction of the component A and component B, xA + xB =1.
The Formula (3) for calculating the melting point of the eutectic mixture can be obtained by simplifying Formula (2).
The melting latent heat (ΔHm, J/mol) of the binary fatty acid eutectic system with components A and B can be obtained according to the phase equilibrium and minimum eutectic theory, as shown in the following Formula (4) [37].
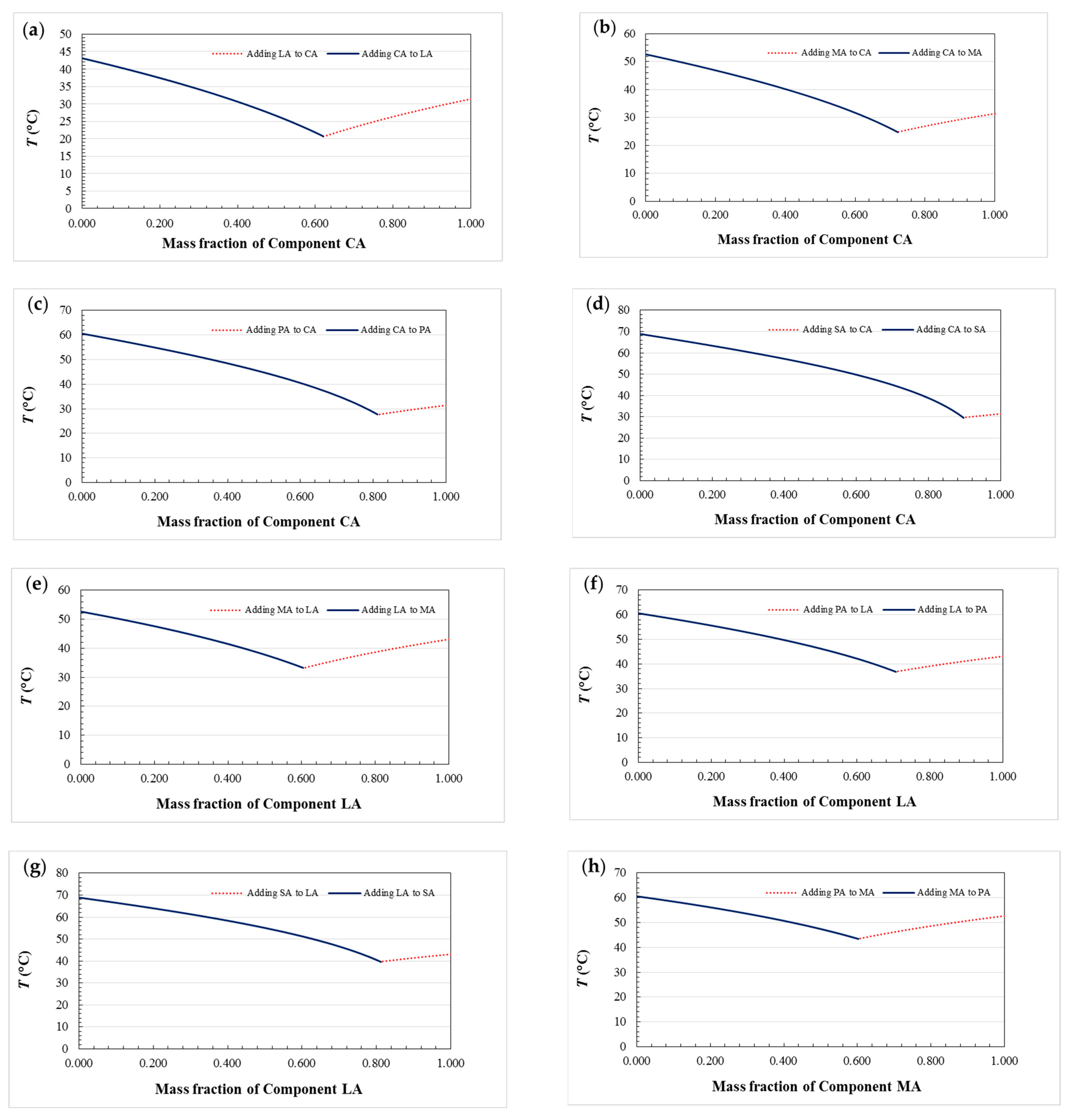
According to Formulas (3) and (4), it is possible to build the eutectic phase diagram and identify the eutectic points of binary eutectic mixes of fatty acids. The phase diagrams of ten fatty acid binary eutectic mixtures are shown in Figure 3, and the data are shown in Table 2. The phase change points of these fatty acid binary eutectic mixtures are between 20–60 °C, which is the suitable temperature for the construction environment. Therefore, in the area of building energy conservation, the fatty acid binary eutectic combinations provide a wide range of application possibilities.

Figure 3.
Phase diagram of ten fatty acid binary eutectic mixtures (a) CA–LA, (b) CA–MA, (c) CA–PA, (d) CA–SA, (e) LA–MA, (f) LA–PA, (g) LA–SA, (h) MA–PA, (i) MA–SA, (j) PA–SA.
Table 2.
Theoretical eutectic point of ten fatty acid binary eutectic mixtures.
The Schrader formula is simply a rough approximation because fatty acids vary in purity and chemical composition. Experiments are needed to verify the mass ratio of two fatty acids in the binary system. A series of fatty acids binary eutectic mixes were created with various mass ratios near the theoretical calculation eutectic point. DSC was used to measure these mixtures’ phase transition temperatures, and the mass ratio of the eutectic melting point was determined by comparing these phase transition temperatures. The results are shown in Table 3. From the comparison between the theoretical values and the experimental values in Table 3, it can be seen that the theoretical values of the mass ratio are very close to the experimental values, and the maximum error is 13.59%, which appears in the CA–SA binary system. This shows that the Schrader formula is indeed applicable to the calculation of the eutectic point of the binary eutectic mixture. Two possible causes of the inaccuracy are that the pure fatty acids include contaminants and that there were experimental errors made throughout the test procedure.
Table 3.
Comparison of the eutectic mass ratios of ten binary eutectic mixes between theoretical and experimental values.
3.2. DSC Analysis of Fatty Acids Binary Eutectic Mixture
Figure 4 shows the DSC curves of ten fatty acids binary eutectic mixtures prepared, Table 4 shows the thermal performance characteristics, and the comparison with the theoretical values is shown in Table 5. The figure and table above show that the phase transition temperature range of these fatty acid binary eutectic mixtures is 17.7–57.1 °C, and the minimum and maximum melting enthalpy values are 145.2 J/g and 193.0 J/kg, respectively. These findings demonstrate that these fatty acid binary eutectic mixtures considerably expand the temperature range of fatty acid PCMs, and can be employed for low-temperature TES applications. It can also be seen from the comparison of theoretical calculation results with experimental data in Table 5, the maximum difference of the phase transition temperature is 6.23 °C, which appears in the CA–SA binary system, and the maximum difference in latent heat is 28.1 J/g, which appears in the LA–MA binary system. The reason as mentioned above lies in that there may be impurities in the pure fatty acid and experimental errors.
Figure 4.
DSC curves of ten fatty acid binary eutectic mixtures.
Table 4.
Experimental thermal performance parameters of ten fatty acid binary eutectic mixtures.
Table 5.
Comparison of the theoretical and experimental values of thermal performance parameters of ten binary eutectic mixtures.
3.3. Thermal Stability Analysis of Fatty Acids Binary Eutectic Mixture
Thermal stability includes thermal decomposition stability and thermal cycle reliability.
3.3.1. Thermal Decomposition Stability
Thermal decomposition stability refers to the high temperature resistance of PCMs, which can decide whether or not there is an obvious mass loss in the temperature range at which PCMs are employed. The thermal decomposition stability of fatty acid PCMs is usually studied by thermogravimetric analysis. Table 6 shows the TGA test results of these eutectic mixtures. Taking LA–MA eutectic mixture as an example, the TGA curves of the LA–MA are shown in Figure 5, and it can be seen that the LA-MA eutectic mixture starts to evaporate slowly at a temperature of about 140.1 °C, and epitaxial initiation temperature is about 198.1 °C, and the predominant weight loss zone is between 140 and 250 °C. The volatilization of samples is what causes the weight loss. When the temperature is 232.2 °C, the weight loss rate is maximum. The temperature is 259.2 °C when the weight loss rate is close to 99.5%. According to the above analysis, although LA–MA phase change material can be used for low-temperature TES systems such as building energy conservation, it cannot be used for medium-high temperature phase change TES systems.
Table 6.
Thermal stability parameters of ten fatty acid binary eutectic mixtures.
Figure 5.
TGA curves of the binary eutectic mixtures LA-MA.
3.3.2. Thermal Cycle Reliability
The ability of PCMs to store energy after multiple heat storage and release procedures is referred to as thermal cycle reliability. It is a crucial element for determining the service life of PCMs, and an accelerated thermal cycling test is frequently used to verify the thermal cycle reliability of PCMs. Table 7 shows the Tm and △Hm values of these eutectic mixtures before and after 1000 thermal cycling. Taking LA–MA PCMs as an example, the LA-MA PCMs DSC curves before and after cycling as well as the variations in thermal performance characteristics with the number of thermal cycles are shown in Figure 6. Based on Figure 6, Tm values changed by −0.70 °C and −0.70 °C after 500 and 1000 thermal cycles, respectively, while Tf values changed by −1.50 °C and −0.70 °C, respectively. The value of Tm and Tf changes very little as the heat cycling number rises. After 200 and 1000 thermal cycling, ΔHm values changed by −7.4% and −4.7%, and ΔHf values changed by −8.9% and −7.2%, respectively, this is acceptable.
Table 7.
Tm and ΔHm values of ten binary eutectic mixtures before and after 1000 thermal cycling.
Figure 6.
LA–MA PCMs DSC curves before and after thermal cycling.
The samples of LA–MA PCMs eutectic mixtures were measured by FTIR to judge whether the composition of the mixture has changed before and after thermal cycling, and the infrared spectrum is shown in Figure 7. Compare the spectra in Figure 7a,b, it is found that the peaks of the two spectra are in the same frequency band and match each other, and the characteristic peaks have not changed, indicating that there is no change in the composition of LA–MA PCMs eutectic mixtures before and after thermal cycling. As a result, after thermal cycling, the mixtures do not experience any chemical deterioration.
Figure 7.
FT–IR spectra of ten fatty acid binary eutectic mixtures before and after 1000 thermal cycling (a) before thermal cycling, (b) after thermal cycling.
4. Conclusions
Ten fatty acid binary eutectic mixtures were prepared by using five pure fatty acids as raw materials, and the phase diagrams and the thermal properties of the binary eutectic mixtures were systematically studied.
- (1)
- The theoretical eutectic points of ten fatty acid binary eutectic mixtures are calculated, and the phase diagrams of ten fatty acids binary eutectic compounds are drawn. There are some differences compared with the experimental values, which may be caused by impurities in the pure fatty acid used and experimental errors.
- (2)
- The phase change temperature of these fatty acid binary eutectic mixtures is between 17.7 °C and 57.1 °C, and the phase change latent heat is between 145.2 J/g and 193.0 J/g, which has the suitable temperature and larger phase change latent heat.
- (3)
- The fatty acid binary eutectic mixtures have good thermal stability in the temperature range below 100 °C, the change of phase transition temperature and latent heat with the number of thermal cycles is small, and they have good long-term cycle thermal reliability.
These fatty acid binary eutectic mixtures can be used in low-temperature TES systems such as building energy conservation, solar energy storage, and waste heat recovery.
Author Contributions
Conceptualization, D.Z. and Y.L.; methodology, D.Z. and S.X.; validation, D.Z. and S.X.; formal analysis, D.Z. and S.X.; data curation, D.Z. and S.X.; writing—original draft preparation, D.Z. and X.X.; writing—review and editing, D.Z. and X.X.; funding acquisition, D.Z. and Y.L. All authors have read and agreed to the published version of the manuscript.
Funding
This research was funded by the Natural Science Foundation of Hunan Provincial (Grant NO. 2022JJ50237, Grant NO. 2022JJ50025) and the Research and Innovation Fund for Postgraduates of Hunan Provincial Education Department (Grant NO. CX20211279).
Data Availability Statement
Not applicable.
Conflicts of Interest
The authors declare no conflict of interest.
References
- Liu, C.; Song, Y.; Xu, Z.; Zhao, J.; Rao, Z. Highly efficient thermal energy storage enabled by a hierarchical structured hypercrosslinked polymer/expanded graphite composite. Int. J. Heat Mass Transf. 2019, 148, 119068. [Google Scholar] [CrossRef]
- Souayfane, F.; Fardoun, F.; Biwole, P.H. Phase change materials (PCM) for cooling applications in buildings: A review. Energy Build. 2016, 129, 396–431. [Google Scholar] [CrossRef]
- Da Cunha, J.P.; Eames, P. Thermal energy storage for low and medium temperature applications using phase change materials—A review. Appl. Energy 2016, 177, 227–238. [Google Scholar] [CrossRef]
- Jamekhorshid, A.; Sadrameli, S.M.; Farid, M. A review of microencapsulation methods of phase change materials (PCMs) as a thermal energy storage (TES) medium. Renew. Sustain. Energy Rev. 2014, 31, 531–542. [Google Scholar] [CrossRef]
- Yuan, Y.; Yuan, Y.; Zhang, N.; Du, Y.; Cao, X. Preparation and thermal characterization of capric–myristic–palmitic acid/expanded graphite composite as phase change material for energy storage. Mater. Lett. 2014, 125, 154–157. [Google Scholar] [CrossRef]
- Fei, H.; Wang, L.; He, Q.; Du, W.; Gu, Q.; Pan, Y. Preparation and Properties of a Composite Phase Change Energy Storage Gypsum Board Based on Capric Acid-Paraffin/Expanded Graphite. ACS Omega 2021, 6, 6144–6152. [Google Scholar] [CrossRef]
- Liu, C.; Yuan, Y.; Zhang, N.; Cao, X.; Yang, X. A novel PCM of lauric–myristic–stearic acid/expanded graphite composite for thermal energy storage. Mate. Lett. 2014, 120, 43–46. [Google Scholar] [CrossRef]
- Horibe, A.; Jang, H.; Haruki, N.; Sano, Y.; Kanbara, H.; Takahashi, K. Melting and solidification heat transfer characteristics of phase change material in a latent heat storage vessel: Effect of perforated partition plate. Int. J. Heat Mass Transf. 2015, 82, 259–266. [Google Scholar] [CrossRef]
- Liu, F.; Zhu, J.; Liu, J.; Ma, B.; Zhou, W.; Li, R. Preparation and properties of capric-stearic acid/White Carbon Black composite for thermal storage in building envelope. Energy Build. 2018, 158, 1781–1789. [Google Scholar] [CrossRef]
- Elarem, R.; Alqahtani, T.; Mellouli, S.; Aich, W.; Ben Khedher, N.; Kolsi, L.; Jemni, A. Numerical study of an Evacuated Tube Solar Collector incorporating a Nano-PCM as a latent heat storage system. Case Stud. Therm. Eng. 2021, 24, 100859. [Google Scholar] [CrossRef]
- Aydin, D.; Casey, S.P.; Riffat, S. The latest advancements on thermochemical heat storage systems. Renew. Sustain. Energy Rev. 2015, 41, 356–367. [Google Scholar] [CrossRef]
- Sun, N.; Xiao, Z. Synthesis and Performances of Phase Change Materials Microcapsules with a Polymer/BN/TiO2 Hybrid Shell for Thermal Energy Storage. Energy Fuel 2017, 31, 10186–10195. [Google Scholar] [CrossRef]
- Nirwan, A.; Kumar, R.; Mondal, B.; Kumar, J.; Bera, A.; Kumar, R. Thermal performance assessment of lauric acid and palmitic acid based multi-transformation phase change material and exfoliated graphite composites. Energy Sources Part A Recovery Util. Environ. Eff. 2020, 9, 1–13. [Google Scholar] [CrossRef]
- Nazir, H.; Batool, M.; Ali, M.; Kannan, A.M. Fatty acids based eutectic phase change system for thermal energy storage applications. Appl. Therm. Eng. 2018, 142, 466–475. [Google Scholar] [CrossRef]
- Pielichowska, K.; Pielichowski, K. Phase change materials for thermal energy storage. Prog. Mater Sci. 2014, 65, 67–123. [Google Scholar] [CrossRef]
- Kenisarin, M.M. Thermophysical properties of some organic phase change materials for latent heat storage. A review. Sol. Energy 2014, 107, 553–575. [Google Scholar] [CrossRef]
- Zhou, D.; Yuan, J.; Zhou, Y.; Liu, Y. Preparation and Properties of Capric–Myristic Acid/Expanded Graphite Composite Phase Change Materials for Latent Heat Thermal Energy Storage. Energies 2020, 13, 2462. [Google Scholar] [CrossRef]
- Kant, K.; Shukla, A.; Sharma, A. Ternary mixture of fatty acids as phase change materials for thermal energy storage applications. Energy Rep. 2016, 2, 274–279. [Google Scholar] [CrossRef]
- Jaksic, J.; Ostojic, S.; Micic, D.; Tokic Vujosevic, Z.; Milovanovic, J.; Karkalic, R.E.; O’Connor, K.T.; Kenny, S.; Casey, W.; Nikodinovic-Runic, J.; et al. Thermal properties of 3-hydroxy fatty acids and their binary mixtures as phase change energy storage materials. Int. J. Energy Res. 2019, 44, 1294–1302. [Google Scholar] [CrossRef]
- Majó, M.; Sánchez, R.; Barcelona, P.; García, J.; Fernández, A.I.; Barreneche, C. Degradation of Fatty Acid Phase-Change Materials (PCM): New Approach for Its Characterization. Molecules 2021, 26, 982. [Google Scholar] [CrossRef]
- Jebasingh, E.B.; Arasu, V.A. Characterisation and stability analysis of eutectic fatty acid as a low cost cold energy storage phase change material. J. Energy Storage 2020, 31, 101708. [Google Scholar] [CrossRef]
- Kahwaji, S.; Johnson, M.B.; Kheirabadi, A.C.; Groulx, D.; White, M.A. Fatty acids and related phase change materials for reliable thermal energy storage at moderate temperatures. Sol. Energy Mater. Sol. Cells 2017, 167, 109–120. [Google Scholar] [CrossRef]
- Kant, K.; Shukla, A.; Sharma, A. Performance evaluation of fatty acids as phase change material for thermal energy storage. J. Energy Storage 2016, 6, 153–162. [Google Scholar] [CrossRef]
- Sarı, A. Thermal reliability test of some fatty acids as PCMs used for solar thermal latent heat storage applications. Energy Convers. Manag. 2003, 44, 2277–2287. [Google Scholar] [CrossRef]
- Sarı, A. Eutectic mixtures of some fatty acids for low temperature solar heating applications: Thermal properties and thermal reliability. Appl. Therm. Eng. 2005, 25, 2100–2107. [Google Scholar] [CrossRef]
- Sarı, A.; Hekimoğlu, G.; Tyagi, V.V. Low cost and eco-friendly wood fiber-based composite phase change material: Development, characterization and lab-scale thermoregulation performance for thermal energy storage. Energy 2020, 195, 116983. [Google Scholar] [CrossRef]
- Ke, H. Phase diagrams, eutectic mass ratios and thermal energy storage properties of multiple fatty acid eutectics as novel solid-liquid phase change materials for storage and retrieval of thermal energy. Appl. Therm. Eng. 2017, 113, 1319–1331. [Google Scholar] [CrossRef]
- Yang, L.; Cao, X.; Zhang, N.; Xiang, B.; Zhang, Z.; Qian, B. Thermal reliability of typical fatty acids as phase change materials based on 10,000 accelerated thermal cycles. Sustain. Cities Soc. 2019, 46, 101380. [Google Scholar] [CrossRef]
- Zhou, D.; Zhou, Y.; Liu, Y.; Luo, X.; Yuan, J. Preparation and Performance of Capric-Myristic Acid Binary Eutectic Mixtures for Latent Heat Thermal Energy Storages. J. Nanomater. 2019, 2019, 2094767. [Google Scholar] [CrossRef]
- Mailhé, C.; Duquesne, M.; Palomo del Barrio, E.; Azaiez, M.; Achchaq, F. Phase Diagrams of Fatty Acids as Biosourced Phase Change Materials for Thermal Energy Storage. Appl. Sci. 2019, 9, 1067. [Google Scholar] [CrossRef]
- Kahwaji, S.; White, M.A. Prediction of the properties of eutectic fatty acid phase change materials. Thermochim. Acta 2018, 660, 94–100. [Google Scholar] [CrossRef]
- Kahwaji, S.; White, M.A. Data supporting the prediction of the properties of eutectic organic phase change materials. Data Brief 2018, 17, 724–730. [Google Scholar] [CrossRef] [PubMed]
- Singh, R.P.; Kaushik, S.C.; Rakshit, D. Performance evaluation of charging process in a cascade latent heat storage system (C-LHSS) based on heat flux DSC results. Int. J. Therm. Sci. 2020, 151, 106274. [Google Scholar] [CrossRef]
- Cai, Y.; Ke, H.; Lin, L.; Fei, X.; Wei, Q.; Song, L.; Hu, Y.; Fong, H. Preparation, morphology and thermal properties of electrospun fatty acid eutectics/polyethylene terephthalate form-stable phase change ultrafine composite fibers for thermal energy storage. Energy Convers. Manag. 2012, 64, 245–255. [Google Scholar] [CrossRef]
- Yuan, Y.; Tao, W.; Cao, X.; Bai, L. Theoretic Prediction of Melting Temperature and Latent Heat for a Fatty Acid Eutectic Mixture. J. Chem. Eng. Data 2011, 56, 2889–2891. [Google Scholar] [CrossRef]
- Huang, X.; Alva, G.; Liu, L.; Fang, G. Preparation, characterization and thermal properties of fatty acid eutectics/bentonite/expanded graphite composites as novel form–stable thermal energy storage materials. Sol. Energy Mater. Sol. Cells 2017, 166, 157–166. [Google Scholar] [CrossRef]
- Zhang, Y.; Su, Y.; Ge, X. Prediction of the Melting Temperature and the Fusion Heat of (Quasi-) Eutectic PCM. J. China Univ. Sci. Technol. 1995, 25, 474–478. (In Chinese) [Google Scholar]
Disclaimer/Publisher’s Note: The statements, opinions and data contained in all publications are solely those of the individual author(s) and contributor(s) and not of MDPI and/or the editor(s). MDPI and/or the editor(s) disclaim responsibility for any injury to people or property resulting from any ideas, methods, instructions or products referred to in the content. |
© 2023 by the authors. Licensee MDPI, Basel, Switzerland. This article is an open access article distributed under the terms and conditions of the Creative Commons Attribution (CC BY) license (https://creativecommons.org/licenses/by/4.0/).







