Abstract
The influence of the chemical composition of natural waters on triclocarban (TCC) sorption on pristine and irradiated multi-walled carbon nanotubes (MWCNTs) at different temperatures was studied. Natural waters have been characterized in terms of the concentrations of cations and anions, pH, and electric conductivity. The sorption process of TCC on MWCNTs is influenced by both the chemical composition of natural waters and the variation of the temperature. The adsorption capacity of TCC on pristine and irradiated MWCNTs in the studied natural waters increased by increasing the temperature. The increase of the concentration of monovalent cations (Na+ and K+) in natural waters determined a significant decrease of the adsorption capacity of TCC on both pristine and irradiated MWCNTs while the increase of the bivalent cations (Ca2+ and Mg2+) determined an easy increase adsorption capacity. Freundlich and Langmuir models were selected to describe the steady adsorption of the TCC on the pristine and irradiated MWCNTs.
1. Introduction
Triclocarban (TCC; 1-(4-chlorophenyl)-3-(3,4-dichlorophenyl) urea) is an antimicrobial active substance that is used in detergents, cosmetics, and some pharmaceuticals and personal care products at levels of 0.2–1.5% (w/w) [1,2]. Its use in disinfectants would be the main source of environmental contamination due to its presence in wastewater [2] from treatment plants. TCC is frequently detected in surface water, groundwater, seawater, sediment, and soil because in wastewater treatment plants it is not completely removed [3,4,5,6,7]. Concentrations of TCC in the environment are found at concentrations of parts per trillion in surface waters and parts per million for biosolids. TCC was detected in surface waters in concentrations between 0.05 and 6.75 ng/L mainly in China and the USA [1,8], corresponding to the high use of personal and domestic hygiene and cosmetic products. Maximum concentrations were detected in countries such as India and South Africa, respectively, at concentrations of 1119 and 360 ng/L [9]. Few data are available for Europe, probably due to the limitation of TCC on the market, but there are some published data for domestic wastewaters where concentrations of 0.4–50 µg/L TCC were found [10,11].
Sediments are both sources of storage for hydrophobic pollutants and sources of pollution for surface waters. High hydrophobicity, low solubility in the range of 0.11–1.6 mg/L, and high values of log Kow of 4.2, facilitate the accumulation of TCC in higher concentrations [11,12,13]. In sediments with a higher content of organic carbon, TCC is found in higher concentration because organic carbon favours the adsorption of TCC. In freshwater and biosolids, it accumulates in plants and animals due to its lipophilicity. Accumulations of TCC have been reported in algae, worms, land snails [14,15], and fish [16] and due to the application of biosolids on agricultural lands, there were detected accumulations of TCC in plants such as carrots, green peppers, tomatoes, and cucumbers [17,18].
By using hygiene products, TCC could enter the human body where it is metabolized and further detected in urine in people from the USA, more commonly in that of adults in comparison with the urine of the children [19]. TCC was also found in urine samples from China, Canada, and Greece [20,21]. TCC residues in the environment have caused adverse (serious) consequences for the entire ecosystem and food chain through the disruption of the endocrine system, bioaccumulation, toxicity, and resistance to potential antibiotics [22,23].
The main studied methods to remove TCC from the environment were adsorption, photolysis, and biodegradation. The predominant removal of TCC was in wastewater treatment plants by sludge adsorption. Photolysis facilitates poor removal of TCC from natural surface waters while TCC degradation was insignificant [24]. In adsorption processes, a contaminant adheres to the surfaces of an adsorbent, in our case multi-walled carbon nanotubes (MWCNTs), due to the electrostatic and hydrophobic interaction between the adsorbate and the adsorbent. The efficiency of removing micropollutants by adsorption on powdered activated carbon (PAC) varies between 20 and 98% [25,26,27]. The increase in the removal efficiency of micropollutants mentioned in previous research may be due to the various experimental conditions, such as the amount of micropollutants and MWCNTs, the contact time, the pH, and the type of water. The effects of environmental factors on the removal efficiency of micropollutants, such as water temperature, pH, and DOM have not been fully studied [28]. Both concentrations of micropollutants and adsorbents, as well, the contact time give the micropollutants more possibilities to attach to the surface of the MWCNTs [26,28]. The higher amount of MWCNTs can extend the adsorbable surface and increasing of the contact time can lead to the establishment of a complete equilibrium of the adsorption process. The adsorption of ionized micropollutants on the MWCNTs is influenced by the variation of pH due to electrostatic interactions. Hydrophilic compounds easily interact with water depending on pKa and pH in solution, but the adsorption of hydrophobic micropollutants is not affected by pH variation [28]. The temperature of the water where the adsorption of micropollutants takes place on the MWCNT surface significantly affects the adsorption process. Reduced water temperature can stop the diffusion of molecules, and their entry into the small surface pores of the carbon nanostructure [29] influence the intermolecular contact [30,31,32]. Natural waters contain many dissolved organic compounds (DOM) which in adsorption experiments on MWCNTs can compete with micropollutants. In some studies the incomplete removal of micropollutants by adsorption on carbon nanostructures in natural waters samples has been reported [24,26,27,33].
MWCNTs have begun to be tested as sorbents and have proven that they can be used in decontamination of soil and different types of water [34,35,36]. The large specific surface area of MWCNTs and their aromatic structure favors the coupling of π-π electrons and interaction with other aromatic structures [37,38]. By irradiating MWCNTs, functional groups containing oxygen may be attached to the surface, causing changes of the adsorption parameters for organic compounds that are present in environment waters [39]. The hydrophobicity of TCC has an important role over its adsorption on activated charcoal. The adsorption capacity can also be improved due to the π-π electrostatic interactions between the MWCNTs surface and the aromatic nucleus of the TCC [40,41].
In this paper, the influence of the chemical composition of natural waters on the adsorption of TCC on simple and irradiated MWCNTs was studied. Different natural surface waters at different temperatures were used to carry out the study and the waters were characterized in terms of some cations and anions content. The main objectives were: the evaluation of the adsorption capacity of TCC by pristine and irradiated MWCNTs in different natural surface waters, determination of the variation of thermodynamic sorption parameters during the sorption process, and the influence of certain parameters of natural surface waters on the sorption capacity. The novelty of this study consists of the application of pristine and weathered MWCNTs as sorbents for a hydrophobic and often encountered organic pollutants in natural waters.
2. Materials and Methods
2.1. Materials
The carbon nanostructures that were used in this study were pristine and irradiated MWCNTs. The pristine MWCNTs were purchased from Baywatch Germany and irradiation was performed in the laboratory of RWTH Aachen, Germany [42]. MWCNTs were characterized by various methods of analysis, presented in [26].
The TCC of purity > 99 % was purchased from Fluka/Sigma-Aldrich Chemical, Germany. HPLC grade acetonitrile was purchased from Merck.
For the determination of cations by inductively coupled plasma optical emission spectrometry (ICP-OES), Certipur ICP multi-element standard solutions from Merck (Germany) were used, with a concentration of 1000 mg/L, and Argon 5.0 of 99.999% purity from Linde Gaz (Romania). The ultrapure water was produced in-house using the Milli Q instrument.
In the case of determination of anions by ion chromatography, Certipur multi-anion standard solution of 1000 mg/L was used.
2.2. Characterization of Natural Surface Waters
The natural surface waters were characterized by determining the pH, electric conductivity EC, cation content (Na+, K+, Ca2+, Mg2+, Fe2+/3+, and Mn2+), and anions (HCO3- and SO42−) [43,44]. The cation content was determined by ICP-OES and the anion content by ion chromatography and the content of radionuclides were analyzed as in [45].
2.3. Chromatographic Analytical Conditions
For HPLC determinations, an Agilent 1100 Series HPLC instrument was used, equipped with an autosampler, a degasser, a binary pump, an VWD detector, and Agilent Chemstation software for data acquisition. The chromatographic parameters were: injection volume of 50 μL; 6 min analysis time; column temperature of 25 °C; column C18 (Zorbax Eclipse Plus-Agilent), 3.5 μm, 100 × 4.6 mm i.d.; flow rate of 1 mL/min, isocratic conditions 80:20 A: B (v/v), where A = acetonitrile and B = ultrapure water [46].
Before each series of chromatographic separations, the analytical column is conditioned for 30 min with acetonitrile and balanced with an acetonitrile mixture: water (80:20 v/v). The TCC monitoring is carried out at the wavelength of 265 nm using the VWD detector. Identification is achieved by comparing the retention time with the retention time (tR) of the standard solution [47].
2.4. Inductively Coupled Plasma-Optical Emission Spectrometry Method (ICP-OES)
To determine the cation content by the ICP-OES method, the Optima 2100 DV ICP-OES System (Perkin Elmer) equipment was used, with dual view optical system—axial and radial view of the plasma in a single working sequence, which works with an independent transistorized radio frequency generator at a frequency of 40 MHz. The nebulization system is equipped with a PEEK Mira Mist® nebulizer coupled to the spray chamber—Baffled Cyclonic. The spectrometer has an optical module comprising an Echelle monochromator with a CCD detector (charged coupled device), two-dimensional, the spectral range being 165–800 nm [48].
2.5. Ion Chromatography Method
To determine the anion content by the ion chromatography method, the 850 Professional IC AnCat-MCS equipment was used using the Metrohm Loop Partial Intelligent (MiPT) technique with conductivity detector, the anionic separation columns A SUP 4; self-regenerating SMARTPACK anionic suppression device with external source of ultrapure water; conductivity detector Metrohm 850 (0–15000 μS/cm); Dosino sampling and dilution processor.
2.6. Preparation of TCC Solution
The standard stock concentration of 100 mg/L TCC was prepared using acetonitrile as a solvent and stored in the refrigerator at 2–6 °C for one week. The standard working solutions were prepared daily by dilutions from the stock solution of 100 mg/L, in volumetric flasks with acetonitrile of HPLC quality [35].
There were two calibration curves on the ranges 1–100 µg/L and 10–400 µg/L that were used to quantify the TCC. The calibration curves were graphically built by representing the area of the TCC peak vs. TCC concentration in the working standards [47].
2.7. Preparation of Aqueous Suspensions of Pristine and Irradiated MWCNTs
The aqueous suspensions were prepared in a single mixing phase by adding 0.6 mg MWCNTs, which was weighed on an analytical balance, with 150 mL of natural water. To achieve dispersion, the suspensions were sonicated with the Sonics Vibra cell probe for 10 min in an ice bath. Samples of 25 mL from dispersed solution were transferred to 60 mL volume brown bottles and the corresponding volumes of the 100 mg/L TCC stock solution were added in order to obtain the desired concentrations.
2.8. The Adsorption Experiments
Adsorption experiments were performed for different TCC concentrations that were obtained by adding the corresponding volumes of 100 mg/L TCC standard stock solution in 25 mL solution containing 0.1 mg of dispersed MWCNT pristine and irradiated, prepared according to 2.7. The mixtures that were thus obtained were introduced into the incubator at 25 °C and 5 °C, respectively, on a horizontal stirrer, for 4 h. The two chosen temperatures are specific to the normal and cold seasons. Samples of 0.5 mL each were taken at intervals of 0.5, 1, 2, 3, and 4 h and filtered through polypropylene syringe filters with an RC membrane, a diameter of 15 mm, and a pore size of 0.2 µm (Phenomenex) for nanomaterial removal. Then, they were transferred to 2 mL glass ampoules (vials) and the concentration of TCC was determined using an RP-HPLC/UV method at 265 nm. In these sorption experiments, the effect of contact time and the effect of temperature at different concentrations of TCC was studied.
The sorption capacity (mg/g) was calculated based on the Equation (1) [46]:
where:
- ➢
- q (mg/g) is the sorption capacity of TCC,
- ➢
- C0 (mg/L) and Cx (mg/L) are the initial and steady-state concentrations of TCC in solution,
- ➢
- V (L) the volume of the solution, and m (g) the mass of the adsorbent, respectively.
3. Results and Discussion
3.1. Characterization of Natural Surface Waters
A total of three natural surface waters designated A1, A2, and A3 were chosen for the adsorption experiments, characterized in terms of anion and cation content, according to the data in Table 1.
Table 1.
Characterization of natural surface waters.
3.2. TCC Adsorption Isotherms
Adsorption experiments on pristine and irradiated MWCNTs were performed in natural surface waters for different concentrations of TCC.
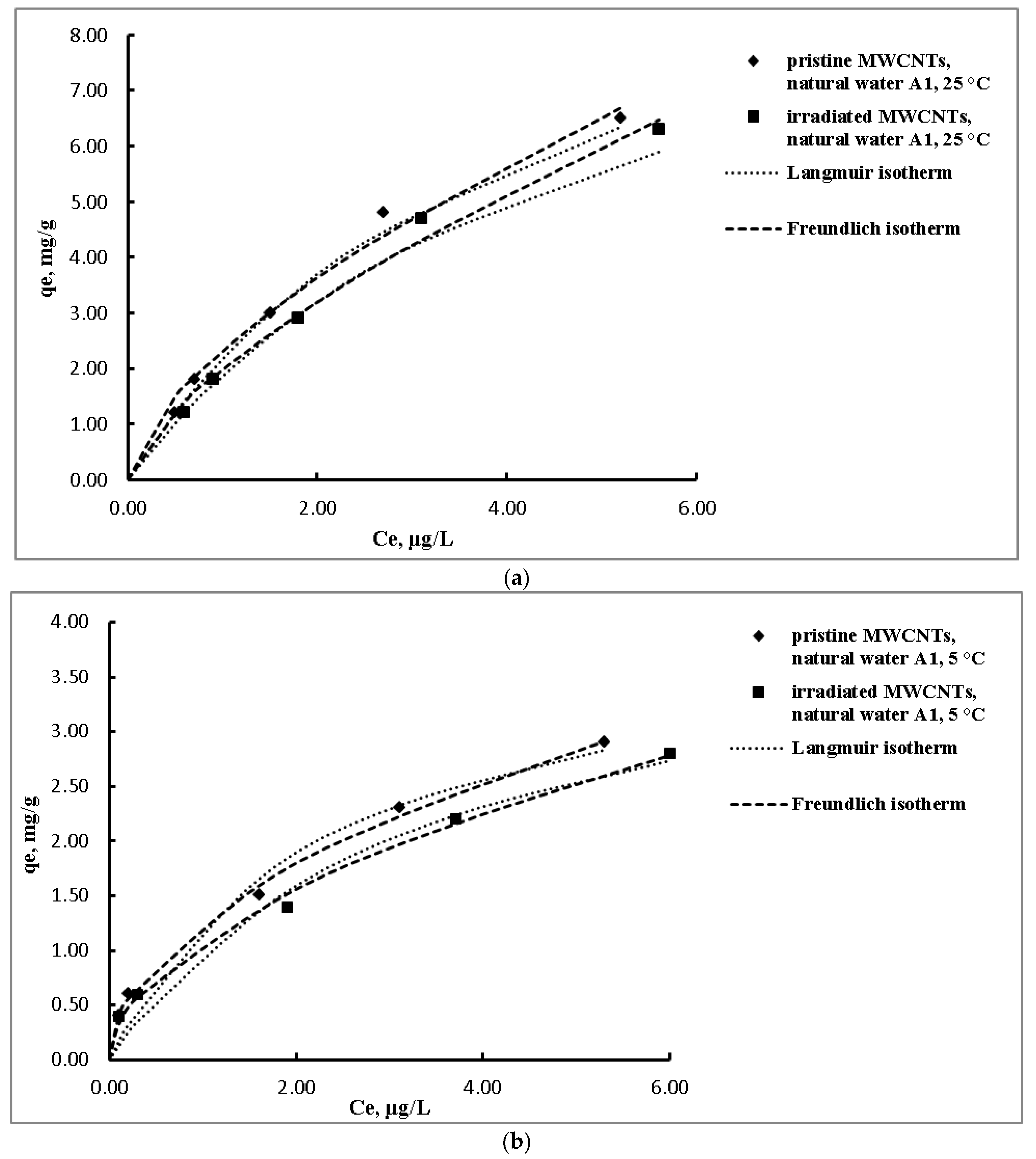
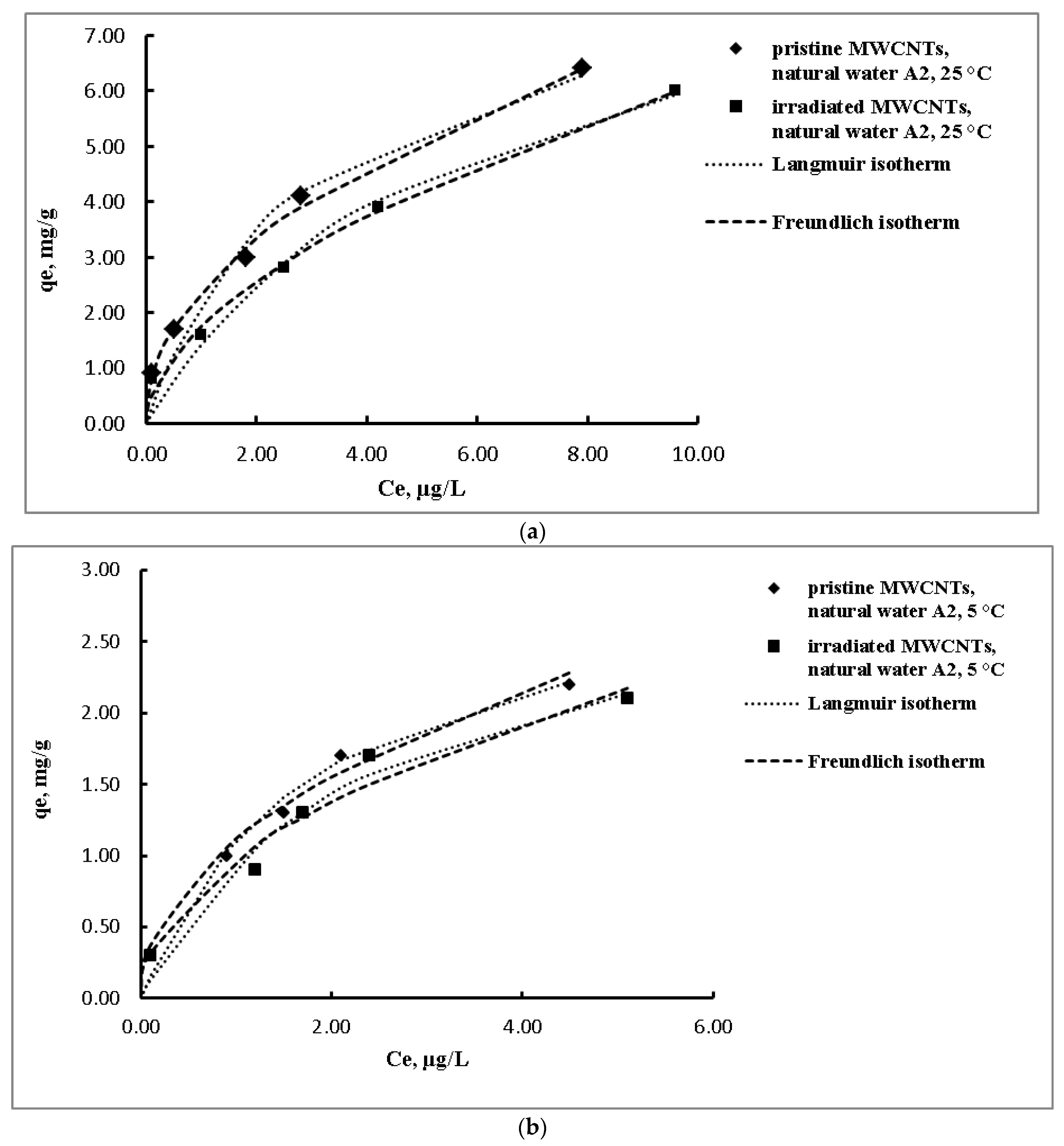
This study used Langmuir and Freundlich isotherms to describe the equilibrium [49] adsorption of TCC at the two temperatures according to Figure 1, Figure 2 and Figure 3. The values of the Freundlich and Langmuir adsorption parameters were obtained from the Equations (2) and (3) and are presented in Table 2 and Table 3.
Figure 1.
Langmuir and Freundlich non-linear adsorption isotherms in natural surface water A1 at 25 °C (a) and 5 °C (b).
Figure 2.
Langmuir and Freundlich non-linear adsorption isotherms in natural surface water A2 at 25 °C (a) and 5 °C (b).
Figure 3.
Langmuir and Freundlich non-linear adsorption isotherms in natural surface water A3 at 25 °C (a) and 5 °C (b).
Table 2.
Parameters for the adsorption of TCC on MWCTs in natural surface waters at 5 °C.
Table 3.
Parameters for the adsorption of TCC on MWCTs in natural surface waters at 25 °C.
The non-linear equation of the Freundlich model is [50,51,52]:
where:
- ➢
- qe [mg/g] is the sorption capacity of the sorbent at equilibrium,
- ➢
- Ce [mg/L is adsorbate concentration at equilibrium,
- ➢
- KF [(mg/g)/(mg/L)1/n] is Freundlich affinity coefficient
The non-linear equation of the Langmuir model is [50,52]:
where:
- ➢
- qe [mg/g] is the sorption capacity of the sorbent at equilibrium,
- ➢
- qm [mg/g] is the maximum adsorption capacity of the sorbent,
- ➢
- Ce [mg/L} is adsorbate concentration at equilibrium,
- ➢
- KL [L/mg] is the Langmuir equilibrium constant
On pristine MWCNTs, it is possible to have three adsorption zones, the interstitial channel, the external surface, and the grooves [53]. The external surfaces usually have the most important absorption sites [54], so that both the Langmuir and Freundlich models are well suited to the studied experimental models.
3.3. Influence of Cations on the Adsorption Capacity of TCC on MWCNTs
The absorption process of TCC on MWCNTs is influenced in a complex way by both the chemical composition of natural waters and the temperature variation. The equilibrium adsorption capacities of the tested sorbents for the two temperatures of 25 and 5 °C are shown in Table 4 and Figure 4.
Table 4.
Influence of Na+, K+, Ca2+, and Mg2+ cations on TCC adsorption on MWCNTs at 5 °C and 25 °C.
Figure 4.
Equilibrium adsorption capacities of TCC on MWCNTs in natural surface waters A1, A2, and A3 at the two temperatures 5 °C and 25 °C; Conditions: Ci = 100–400 μg/L TCC, m = 0.1 mg MWCNTs, pHA1 = 7.67; pHA2 = 7.33; pHA3 = 8.21; contact time 4 h.
The adsorption capacity values of TCC on pristine and irradiated MWCNTs show the following variations: an increase for pristine MWCNTs compared with irradiated MWCNTs and a decrease by decreasing the adsorption temperature. It can be seen that the low surface water temperature of 5 °C significantly affects the adsorption. This decrease in sorption capacities may be due to both the reduction in the diffusion of TCC molecules into the surface pores of MWCNTs [29] and the decrease in TCC solubility by decreasing temperature [47]. The decrease of sorption capacities on irradiated MWCNTs compared to pristine MWCNTs may be due to the hydrophobicity of TCC which is rejected by oxygen-containing functional groups on the surface of irradiated MWCNTs [55].
Based on the composition of the natural waters that were used in the adsorption experiments (Table 4), the influence of Na+, K+, Ca2+, and Mg2+ cations on the adsorption capacity of TCC on simple and irradiated MWCNTs was analyzed (Figure 5).

Figure 5.
Influence of chemical ionic species (cations) present in tested waters on the adsorption capacity of TCC on MWCNTs at 5 °C and 25 °C: (a) Na+, (b) K+, (c) Ca2+, and (d) Mg2+; Conditions: Ci = 100–400 μg/L TCC, m = 0.1 mg MWCNTs, pHA1 = 7.67; pHA2 = 7.33; pHA3 = 8.21; contact time 4 h.
The sorption capacity decreases by increasing concentrations of monovalent cations (Na+ and K+), compared with divalent cations (Ca2+ and Mg2+), at temperatures of 5 °C and 25 °C. When natural water has an average content of Na+ and Ca2+ (natural water A3), it is observed that the TCC sorption on MWCNTs is the best, and the highest sorption capacity is obtained. The greatest influence on the sorption capacity was the increase of the concentration of the monovalent cations Na+ and K+ which determine its decrease (natural water A2). A significant influence on the process of TCC adsorption on MWCNTs in natural surface water plays a role in the solubility of TCC. A study of the influence of water chemical composition on TCC solubility, previously published by us, shows that TCC solubility varies in relation to the chemical composition of surface water and environmental parameters. The solubility of TCC has a significant decrease by increasing the concentration of bivalent cations compared to the increase of the concentrations of monovalent cations. Seasonal temperature variation, between 5 and 40 °C, affects the solubility of TCC by increasing it with the temperature [47].
A scheme of the proposed sorption mechanism is based on the predominant electrostatic interactions of π-π type between the aromatic nucleus of TCC and the surface of MWCNTs [40] and is presented in Figure 6. The literature shows that π-π interactions could occur between MWCNTS surfaces and molecules containing C=C double bonds and benzene rings and, therefore, π-π electrostatic interactions contribute to the adsorption of TCC on MWCNTs. The chlorine (-Cl) that TCC contains in benzene rings as an electron donor-acceptor, make the appearance of a donor-acceptor interaction between TCC and MWCNTs possible [56]. In the case of irradiated MWCNTs, the decrease in sorption capacity could be due to functional groups that contain oxygen on their surface and reject the hydrophobic TCC molecule. However, there may be some van der Waal interactions between the oxygen-carrying groups on the surface of the MWCNTs and the benzene ring in the TCC molecule [57,58]. An important role in adsorption is also played by the hydrophobicity of the aromatic compound TCC.
Figure 6.
Proposed mechanism for the adsorption of TCC on MWCNTs.
4. Conclusions
In this study, pristine and irradiated MWCNTs were evaluated as sorbents for TCC in different natural surface waters at different temperatures. The natural waters were characterized in terms of the chemical composition, especially the content of cations and anions. The adsorption capacity of TCC on pristine and irradiated MWCNTs in the studied natural surface waters varies as follows: it increases by increasing the temperature for natural surface waters and it is higher in pristine MWCNTs in comparison with irradiated MWCNTs.
The chemical composition of the natural water samples influences the sorption process in a complex way. The increase of the concentration of monovalent cations (Na+ and K+) in natural water determines the decrease of the adsorption capacity of TCC on both pristine MWCNTs and irradiated ones. The increase of the concentrations of bivalent cations Ca2+ and Mg2+ does not have a significant influence on the sorption capacity. An important role on the process of TCC adsorption on MWCNTs in natural surface waters is also played by the solubility of TCC, as already shown by us in previous studies. The Langmuir model is better suited to describe the process of TCC sorption on both types of nanostructures studied, this aspect can be explained on the basis that adsorption occurs in monolayers. From the proposed mechanism of sorption, it can be noticed that the sorption process is also influenced by the chemical features of the TCC molecule and by the type of MWCNTs.
Author Contributions
Conceptualization, G.R.I. and A.C.I.; methodology, G.R.I., A.C.I. and O.O.; formal analysis, G.R.I. and L.C.; data curation, G.R.I. and A.C.I.; writing—original draft preparation, G.R.I.; writing—review and editing, A.C.I. and I.I. All authors have read and agreed to the published version of the manuscript.
Funding
The research developed by G.R.I. and L.C. received partially financial support by the Ministry of Research, Innovation and Digitalization, Nucleu Program, Project PN.19.23.01.01 Integrated platform for smart valorization of the biomass- Smart-Bi, Nucleu Programme ChemEmergent.
Institutional Review Board Statement
This research received no external funding.
Informed Consent Statement
Not applicable.
Data Availability Statement
Not applicable.
Conflicts of Interest
The authors declare no conflict of interest.
References
- Halden, R.U.; Paull, D.H. Co-occurrence of triclocarban and triclosan in US water resources. Environ. Sci. Technol. 2005, 39, 1420–1426. [Google Scholar] [CrossRef] [PubMed]
- Données Technico-Économiques sur les Substances Chimiques en France: Triclocarban; INERIS: 2016; 32p. Available online: http://www.ineris.fr/substances/fr/ (accessed on 10 May 2019).
- Sharma, B.M.; Becanova, J.; Scheringer, M.; Sharma, A.; Bharat, G.K.; Whitehead, P.G.; Klanova, J.; Nizzetto, L. Health and ecological risk assessment of emerging contaminants (pharmaceuticals, personal care products, and artificial sweeteners) in surface and groundwater (drinking water) in the Ganges River Basin, India. Sci. Total Environ. 2019, 646, 1459–1467. [Google Scholar] [CrossRef]
- Zhao, J.L.; Ying, G.G.; Liu, Y.S.; Chen, F.; Yang, J.F.; Wang, L. Occurrence and risks of triclosan and triclocarban in the Pearl River system, South China: From source to the receiving environment. J. Hazard. Mater. 2010, 179, 215–222. [Google Scholar] [CrossRef]
- Brumovský, M.; Bečanová, J.; Kohoutek, J.; Borghini, M.; Nizzetto, L. Contaminants of emerging concern in the open sea waters of the Western Mediterranean. Environ. Pollut. 2017, 229, 976–983. [Google Scholar] [CrossRef] [PubMed]
- Souchier, M.; Benali-Raclot, D.; Benanou, D.; Boireau, V.; Gomez, E.; Casellas, C.; Chiron, S. Screening triclocarban and its transformation products in river sediment using liquid chromatography and high resolution mass spectrometry. Sci. Total Environ. 2015, 502, 199–205. [Google Scholar] [CrossRef] [PubMed]
- Healy, M.G.; Fenton, O.; Cormican, M.; Peyton, D.P.; Ordsmith, N.; Kimber, K.; Morrison, L. Antimicrobial compounds (triclosan and triclocarban) in sewage sludges, and their presence in runoff following land application. Ecotox. Environ. Safe. 2017, 142, 448–453. [Google Scholar] [CrossRef]
- Lv, M.; Sun, Q.; Xu, H.; Lin, L.; Chen, M.; Yu, C.P. Occurrence and fate of triclosan and triclocarban in a subtropical river and its estuary. Mar. Pollut. Bull. 2014, 88, 383–388. [Google Scholar] [CrossRef] [PubMed]
- Lehutso, R.F.; Daso, A.P.; Okonkwo, J.O. Occurrence and environmental levels of triclosan and triclocarban in selected wastewater treatment plants in Gauteng Province, South Africa. Emerg. Contam. 2017, 3, 107–114. [Google Scholar] [CrossRef]
- Halden, R.U.; Paull, D.H. Analysis of triclocarban in aquatic samples by liquid chromatography electrospray ionization mass spectrometry. Environ. Sci. Technol. 2004, 38, 4849–4855. [Google Scholar] [CrossRef]
- Snyder, E.H.; O’Connor, G.A.; McAvoy, D.C. Measured physicochemical characteristics and biosolids-borne concentrations of the antimicrobial Triclocarban (TCC). Sci. Total Environ. 2010, 408, 2667–2673. [Google Scholar] [CrossRef]
- Snyder, E.H.; O’Connor, G.A. Risk assessment of land-applied biosolids-borne triclocarban (TCC). Sci. Total Environ. 2013, 442, 437–444. [Google Scholar] [CrossRef] [PubMed]
- Loftsson, T.; Össurardóttir, Í.B.; Thorsteinsson, T.; Duan, M.; Másson, M. Cyclodextrin solubilization of the antibacterial agents triclosan and triclocarban: Effect of ionization and polymers. J. Incl. Phenom. Macrocycl. Chem. 2005, 52, 109–117. [Google Scholar] [CrossRef]
- Higgins, C.P.; Paesani, Z.J.; Chalew, T.E.; Halden, R.U. Bioaccumulation of triclocarban in Lumbriculus variegatus. Environ. Toxicol. Chem. 2009, 28, 2580–2586. [Google Scholar] [CrossRef] [PubMed]
- Macherius, A.; Lapen, D.R.; Reemtsma, T.; Rombke, J.; Topp, E.; Coors, A. Triclocarban, triclosan and its transformation product methyl triclosan in native earthworm species four years after a commercial-scale biosolids application. Sci. Total Environ. 2014, 472, 235–238. [Google Scholar] [CrossRef]
- Vimalkumar, K.; Arun, E.; Krishna-Kumar, S.; Poopal, R.K.; Nikhil, N.P.; Subramanian, A.; Babu-Rajendran, R. Occurrence of triclocarban and benzotriazole ultraviolet stabilizers in water, sediment, and fish from Indian rivers. Sci. Total Environ. 2018, 625, 1351–1360. [Google Scholar] [CrossRef]
- Sherburne, J.J.; Anaya, A.M.; Fernie, K.J.; Forbey, J.S.; Furlong, E.T.; Kolpin, D.W.; Dufty, A.M.; Kinney, C.A. Occurrence of Triclocarban and Triclosan in an Agro-ecosystem Following Application of Biosolids. Environ. Sci. Technol. 2016, 50, 13206–13214. [Google Scholar] [CrossRef]
- Prosser, R.S.; Lissemore, L.; Topp, E.; Sibley, P.K. Bioaccumulation of triclosan and triclocarban in plants grown in soils amended with municipal dewatered biosolids. Environ. Toxicol. Chem. 2014, 33, 975–984. [Google Scholar] [CrossRef]
- Ye, X.; Wong, L.-Y.; Dwivedi, P.; Zhou, X.; Jia, T.; Calafat, A.M. Urinary concentrations of the antibacterial agent triclocarban in United States residents: 2013–2014 National Health and Nutrition Examination Survey. Environ. Sci. Technol. 2016, 50, 13548–13554. [Google Scholar] [CrossRef]
- Yin, J.; Wei, L.; Shi, Y.; Zhang, J.; Wu, Q.; Shao, B. Chinese population exposure to triclosan and triclocarban as measured via human urine and nails. Environ. Geochem. Health 2016, 38, 1125–1135. [Google Scholar] [CrossRef]
- Asimakopoulos, A.G.; Thomaidis, N.S.; Kannan, K. Widespread occurrence of bisphenol A diglycidyl ethers, p-hydroxybenzoic acid esters (parabens), benzophenone type-UV filters, triclosan, and triclocarban in human urine from Athens, Greece. Sci. Total Environ. 2014, 470–471, 1243–1249. [Google Scholar] [CrossRef]
- Halden, R.U. On the Need and Speed of Regulating Triclosan and Triclocarban in the United States Environ. Sci. Technol. 2014, 48, 3603–3611. [Google Scholar] [CrossRef] [PubMed]
- Yun, H.; Liang, B.; Kong, D.; Li, X.; Wang, A. Fate, risk and removal of triclocarban: A critical review. J. Hazard. Mater. 2020, 387, 121944. [Google Scholar] [CrossRef]
- Lozano, N.; Rice, C.P.; Ramirez, M.; Torrents, A. Fate of triclocarban in agricultural soils after biosolid applications. Environ. Sci. Pollut. Res. Int. 2018, 25, 222–232. [Google Scholar] [CrossRef]
- Adams, C.; Wang, Y.; Loftin, K.; Meyer, M. Removal of antibiotics from surface and distilled water in conventional water treatment processes. J. Environ. Eng. 2002, 128, 253–260. [Google Scholar] [CrossRef]
- Westerhoff, P.; Yoon, Y.; Snyder, S.; Wert, E. Fate of endocrine-disruptor, pharmaceutical, and personal care product chemicals during simulated drinking water treatment processes. Environ. Sci. Technol. 2005, 39, 6649–6663. [Google Scholar] [CrossRef] [PubMed]
- Snyder, S.A.; Adham, S.; Redding, A.M.; Cannon, F.S.; DeCarolis, J.; Oppenheimer, J.; Wert, E.C.; Yoon, Y. Role of membranes and activated carbon in the removal of endocrine disruptors and pharmaceuticals. Desalination 2007, 202, 156–181. [Google Scholar] [CrossRef]
- Nam, S.-W.; Choi, D.-J.; Kim, S.-K.; Her, N.; Zoh, K.-D. Adsorption characteristics of selected hydrophilic and hydrophobic micropollutants in water using activated carbon. J. Hazard. Mater. 2014, 270, 144–152. [Google Scholar] [CrossRef]
- Schreiber, B.; Schmalz, V.; Brinkmann, T.; Worch, E. The effect of water temperature on the adsorption equilibrium of dissolved organic matter and atrazine on granular activated carbon. Environ. Sci. Technol. 2007, 41, 6448–6453. [Google Scholar] [CrossRef]
- Chang, S.; Waite, T.D.; Schäfer, A.I.; Fane, A.G. Adsorption of trace steroid estrogens to hydrophobic hollow fibre membranes. Desalination 2002, 146, 381–386. [Google Scholar] [CrossRef]
- Kimura, K.; Amy, G.; Drewes, J.; Watanabe, Y. Adsorption of hydrophobic compounds onto NF/RO membranes: An artifact leading to overestimation of rejection. J. Membr. Sci. 2003, 221, 89–101. [Google Scholar] [CrossRef]
- Wang, X.Q.; Thibodeaux, L.J.; Valsaraj, K.T.; Reible, D.D. Efficiency of capping contaminated bed sediments in situ. 1. Laboratory-scale experiments on diffusion-adsorption in the capping layer. Environ. Sci. Technol. 1991, 25, 1578–1584. [Google Scholar] [CrossRef]
- Yu, K.; Yi, S.; Li, B.; Guo, F.; Peng, X.; Wang, Z.; Wu, Y.; Alvarez-Cohen, L.; Zhang, T. An integrated meta-omics approach reveals substrates involved in synergistic interactions in a bisphenol A (BPA)-degrading microbial community. Microbiome 2019, 7, 16. [Google Scholar] [CrossRef] [PubMed]
- Ali, I. New generation adsorbents for water treatment. Chem. Rev. 2012, 112, 5073–5091. [Google Scholar] [CrossRef] [PubMed]
- Wang, S.; Sun, H.; Ang, H.-M.; Tadé, M.O. Adsorptive remediation of environmental pollutants using novel graphene-based nanomaterials. Chem. Eng. J. 2013, 226, 336–347. [Google Scholar] [CrossRef]
- Ion, A.C.; Ion, I.; Culetu, A.; Gherase, D. Carbon-Based Nanomaterials. Environmental Applications; Academiei Romane: Bucharest, Romania; Volume 19, 2012; pp. 31–57. [Google Scholar]
- Shi, B.; Zhuang, X.; Yan, X.; Lu, J.; Tang, H. Adsorption of atrazine by natural organic matter and surfactant dispersed carbon nanotubes. J. Environ. Sci. 2010, 22, 1195–1202. [Google Scholar] [CrossRef] [PubMed]
- Zhao, H.; Liu, X.; Cao, Z.; Zhan, Y.; Shi, X.; Yang, Y.; Zhou, J.; Xu, J. Adsorption behavior and mechanism of chloramphenicols, sulfonamides, and non-antibiotic pharmaceuticals on multi-walled carbon nanotubes. J. Hazard. Mater. 2016, 310, 235–245. [Google Scholar] [CrossRef]
- Ding, H.; Li, X.; Wang, J.; Zhang, X.; Chen, C. Adsorption of chlorophenols from aqueous solutions by pristine and surface functionalized single-walled carbon nanotubes. J. Environ. Sci. 2016, 43, 187–198. [Google Scholar] [CrossRef]
- Ion, I.; Senin, R.M.; Ivan, G.R.; Doncea, S.M.; Henning, M.P.; Politowski, I.; Ion, A.C. Adsorption of Triclocarban on Pristine and Irradiated MWCNTs in Aqueous Solutions. Rev. Chim. Buchar. 2019, 70, 2835–2842. [Google Scholar] [CrossRef]
- Ion, A.C.; Ivan, G.R.; Ion, I. Treatment Techniques for Organic Micropollutants Removal from Waters; Academiei Romane: Bucharest, Romania, 2020; Volume 28, pp. 118–133. [Google Scholar]
- Senin, R.M.; Ion, I.; Oprea, O.; Stoica, R.; Ganea, R.; Ion, A.C. Sorption of Bisphenol A in Aqueous Solutions on Irradiated and as-Grown Multiwalled Carbon Nanotubes. Rev. Chim. 2018, 69, 1233–1239. [Google Scholar] [CrossRef]
- Ion, I.; Culetu, A.; Costa, J.; Luca, C.; Ion, A.C. Polyvinyl chloride-based membranes of 3,7,11-tris (2-pyridylmethyl)-3,7,11,17-tetraazabicyclo[11.3.1]heptadeca-1(17),13,15-triene as a Pb(II)-selective sensor. Desalination 2010, 259, 38–43. [Google Scholar] [CrossRef]
- Ion, A.C.; Ion, I.; Antonisse, M.M.G.; Snelink-Rüuel, B.H.M.; Reinhoudt, D.N. Characteristics of fluoride-selective electrode with uranyl salophen receptors in aqueous solutions. Russ. J. Gen. Chem. 2001, 71, 159–161. [Google Scholar] [CrossRef]
- Calin, M.R.; Radulescu, I.; Ion, A.C.; Sirbu, F. Radiochemical investigations on natural mineral waters from Bucovina region, Romania. Rom. J. Phys. 2016, 61, 1051–1066. [Google Scholar]
- Ion, I.; Ivan, G.R.; Senin, R.M.; Doncea, S.M.; Capra, L.; Modrogan, C.; Oprea, O.; Stinga, G.; Orbulet, O.; Ion, A.C. Adsorption of triclocarban (TCC) onto fullerene C60 in simulated environmental aqueous conditions. Sep. Sci. Technol. 2019, 54, 2759–2772. [Google Scholar] [CrossRef]
- Ivan, G.R.; Capra, L.; Ion, I.; Ion, A.C. Effects of pH, temperature, ionic strength and organic matter on triclocarban solubility. J. Environ. Eng. Landsc. Manag. 2021, 29, 244–250. [Google Scholar] [CrossRef]
- Capra, L.; Manolache, M.; Ion, I.; Ion, A.C. Validation of a method for determination of antimony in drinking water by ICP-OES. Univ. Politeh. Buchar. Sci. Bull. Ser. B—Chem. Mater. Sci. 2016, 78, 103–112. Available online: https://www.scientificbulletin.upb.ro/SeriaB (accessed on 20 April 2020).
- Gotovac, S.; Hattori, Y.; Noguchi, D.; Miyamoto, J.; Kanamaru, M.; Utsumi, S.; Kanoh, H.; Kaneko, K. Phenanthrene adsorption from solution on single wall carbon nanotubes. J. Phys. Chem. B 2006, 110, 16219–16224. [Google Scholar] [CrossRef]
- Hamdaoui, O.; Naffrechoux, E. Modeling of adsorption isotherms of phenol and chlorophenols onto granular activated carbon: Part I. Two-parameter models and equations allowing determination of thermodynamic parameters. J. Hazard. Mater. 2007, 147, 381–394. [Google Scholar] [CrossRef]
- Ayawei, N.; Ebelegi, A.N.; Wankasi, D. Modelling and interpretation of adsorption isotherms. J. Chem. 2017, 2017, 3039817. [Google Scholar] [CrossRef]
- Ion, I.; Bogdan, D.; Mincu, M.M.; Ion, A.C. Modified exfoliated carbon nanoplatelets as sorbents for ammonium from natural mineral waters. Molecules 2021, 26, 3541. [Google Scholar] [CrossRef]
- Ren, X.; Chen, C.; Nagatsu, M.; Wang, X. Carbon nanotubes as adsorbents in environmental pollution management: A review. Chem. Eng. J. 2011, 170, 395–410. [Google Scholar] [CrossRef]
- Pan, B.; Xing, B. Adsorption mechanisms of organic chemicals on carbon nanotubes. Environ. Sci. Technol. 2008, 42, 9005–9013. [Google Scholar] [CrossRef] [PubMed]
- Sheng, G.D.; Shao, D.D.; Ren, X.M.; Wang, X.Q.; Li, J.X.; Chen, Y.X.; Wang, X.K. Kinetics and thermodynamics of adsorption of ionizable aromatic compounds from aqueous solutions by as-prepared and oxidized multiwalled carbon nanotubes. J. Hazard. Mater. 2010, 178, 505–516. [Google Scholar] [CrossRef] [PubMed]
- Ma, X.; Anand, D.; Zhang, X.; Talapatra, S. Adsorption and desorption of chlorinated compounds from pristine and thermally treated multiwalled carbon nanotubes. J. Phys. Chem. C 2011, 115, 4552–4557. [Google Scholar] [CrossRef]
- Anjum, H.; Johari, K.; Gnanasundaram, N.; Ganesapillai, M.; Arunagiri, A.; Regupathi, I.; Thanabalan, M. A review on adsorptive removal of oil pollutants (BTEX) from wastewater using carbon nanotubes. J. Mol. Liq. 2019, 277, 1005–1025. [Google Scholar] [CrossRef]
- El-Sayed, M.E.A. Nanoadsorbents for water and wastewater remediation. Sci. Total Environ. 2020, 739, 139903. [Google Scholar] [CrossRef]
Disclaimer/Publisher’s Note: The statements, opinions and data contained in all publications are solely those of the individual author(s) and contributor(s) and not of MDPI and/or the editor(s). MDPI and/or the editor(s) disclaim responsibility for any injury to people or property resulting from any ideas, methods, instructions or products referred to in the content. |
© 2023 by the authors. Licensee MDPI, Basel, Switzerland. This article is an open access article distributed under the terms and conditions of the Creative Commons Attribution (CC BY) license (https://creativecommons.org/licenses/by/4.0/).






