Abstract
In this study, brush type and polymer type stationary phases were prepared based on (S)-N-(1-phenylethyl) acrylamide, and the polymeric stationary phase demonstrated superior chiral recognition ability. The two polymeric stationary phases were synthesized by two strategies, one was the “grafting from” method, which obtained polymer CSP by initiating monomer polymerization on the surface of 3-methacrylatepropyl silica gel, and the other was “grafting to”, which fixed the copolymer of (S)-N-(1-phenylethyl) acrylamide and trimethoxysilylpropyl methacrylate on silica gel. A comparison of these two bonding modes revealed that the stationary phase produced by “grafting to” had higher chiral recognition ability. Further improvement can be achieved by the end-capping of silanol groups with trimethylchlorosilane to reduce non-enantioselective retention caused by residual silanol groups and improve the peak shape of enantiomers. Chiral separation in subcritical fluid chromatography was also studied. Similar enantioselectivity results with higher resolution were observed due to the improvement of peak shape.
1. Introduction
Over the past few decades, significant progress has been made in the research of chiral stationary phases, with hundreds of chiral stationary phases commercially available. Among them, the polymeric stationary phase has received a great deal of attention because of its excellent chiral recognition ability. According to their origin, polymeric chiral selectors can be divided into two types. One type is natural polymers such as polysaccharides [1,2,3] and proteins [4,5,6]. A large number of commercial columns based on natural polymers have been developed to date, with the ability to separate more than 95% of chiral compounds [7]. The other is synthetic chiral polymers such as polyamide [8], the vinyl polymer [9,10], polyurethane [11], and polyacetylene [12]. Synthetic polymers have gradually gained popularity due to their inherent properties, which include the diversity and flexibility of structural changes, the ability to obtain two types of stationary phases with opposite configurations, the very high sample loading capacity, and the good stability and chemical inertness of the packing derived from the covalent connection of chiral polymers and solid carriers. Initially, these chiral polymers were typically coated on silica gel or some supports for chiral separation [13,14]. However, the physically coated packing materials were easily damaged by some solvents. Covalent bonds between polymers and silica gel can be used to overcome this issue [15,16], and this has increased the stability of stationary phase.
The method of bonding chiral polymer to silica matrix has a significant impact on the chiral separation performance including enantioselectivity, retention time, and column efficiency. The two commonly used bonding methods are “grafting from” and “grafting to” [17]. The “grafting from” method initiates polymerization on the surface of porous silica particles. The operation is simple and allows for higher grafting density. The disadvantage is that the molecular weight of the polymer chain is widely distributed due to the steric hindrance inside the pores. “Grafting to” involves the immobilization of a pre-synthesized functionalized polymer on silica particles with anchoring groups. The primary benefit of this method is that the polymer can be well controlled and characterized prior to grafting, but the grafting density is lower than the former approach due to the influence of steric hindrance of the pore structure. In some cases, the stationary phase prepared by the “grafting from” method had better performance, but the results were just the opposite in some other cases. Gasparrini et al. [18] compared the (1R, 2R)-N-diacetylcyclohexdiamine polymeric CSPs prepared by “grafting to” and “grafting from” methods. The results revealed that the CSP prepared by “grafting from” had higher separation column efficiency and higher chiral recognition ability than “grafting to”. However, the CSP of poly[N-(oxazolinylphenyl) acrylamide] prepared by the “grafting to” method had higher selectivity than that prepared by the “grafting from” method [19]. It seems that the influence of different bonding methods on the stationary phase is controversial. The dependence of the performance of polymer chiral chromatographic columns on the bonding method can be attributed to the difference in the molecular weight and molecular weight distribution of the final surface bonded chiral polymers, which will also affect the mass transfer and column efficiency in the chromatographic column.
Previously, our group developed a “grafting to” method to immobilize the polyacrylamide stationary phase with high column efficiency [20]. A small amount of active trimethoxysilane groups were introduced into the polyacrylamide chain by the copolymerization of acrylamide and trimethoxysilylpropyl methacrylate (TMSPM). The obtained polymers were uniformly coated on the surface of the silica and then immobilized by the reaction of the introduced trimethoxysilane with silanol groups to obtain a hydrophilic column. In this paper, this method was applied to the preparation of CSP based on poly-(S)-N-(1-phenylethyl)acrylamide, which has excellent enantioselectivity to many chiral compounds [21]. The enantioseparation performance of this new CSP (CSP3) was compared with the brush type CSP of (S)-N-(1-phenylethyl) acrylamide (CSP1) and the CSP prepared by the “grafting from” method (CSP2). In addition, the enantioseparation performance was further improved by end-capping with trimethylchlorosilane. The separation under subcritical fluid chromatography (SFC) conditions was also evaluated.
2. Materials and Methods
2.1. Chemicals and Equipment
HPLC-grade spherical silica gel (5 μm particle size; 10 nm pore size; 340 m2/g surface area) was purchased from Acchrom Technologies Co. Ltd. (Taizhou, China). Other chemicals and equipment are described in the Supplementary Materials.
2.2. Preparation of Chiral Stationary Phases
The detailed synthesis and characterization of CSP1~CSP4 are described in Supplementary Materials. The capacity of chiral selectors (μ) is calculated according to the formula: μ (mmol/g) = 10 × (C1 − C0)/(M × n), where C1 and C0 refer to the nitrogen content of prepared CSPs and pure silica, C0 ≈ 0; M refers to the atom weight of nitrogen; n refers to the number of nitrogen atom contained in each immobilized chiral selector and linkage. The selector loading of CSP2~CSP4 are calculated based on the chiral monomer unit with the above-mentioned formula.
2.3. Chromatographic Measurements
For evaluation, each CSP (2.5 g) was slurried in methanol (20 mL) and packed into a 150 × 4.6 mm HPLC column with methanol (100 mL) as a propulsion solvent under a pressure of 50 MPa. The racemic analytes used for chiral separation evaluation were dissolved in HPLC-grade ethanol or isopropanol to form about a 1 mg/mL concentration. The retention factor (k) was determined by (tr − t0)/t0, where tr is the retention time of analytes and t0 is the dead time. Specifically, k values of the first and second eluting enantiomers were defined as k1 and k2, respectively. The separation factor α was calculated by k2/k1. Resolution factor (Rs) was equal to 1.18 × [(tr, 2 − tr, 1)/(W1/2, 1 + W1/2, 2)], where tr, 1 and tr, 2 were the retention times of the first and second eluting enantiomers, respectively, and W1/2 was the peak width at half height. Additionally, the resolution factor (Rs) was equal to √N/4 × (α − 1) × k1/(1 + kavg), where kavg was determined by (k1 + k2)/2. Dead time t0 was measured with 1,3,5-tri-tert-butylbenzene as the void volume marker. For HPLC, the column temperature was held constantly at 20 °C, and the flow rate was set at 0.8 mL/min. The UV detection wavelength was set at 254 or 220 nm and the injection volume was 2 μL. For SFC, the column temperature was held constantly at 40 °C, the flow rate was set at 3 mL/min, the outlet pressure was set at 2000 p.s.i, chromatograms were obtained with PDA detector at 254 or 220 nm, and the injection volume was 2 μL.
3. Results
3.1. Preparation and Characterization of CSP1~CSP4
Figure 1 shows the synthetic schemes of CSP1~CSP4. CSP1 was synthesized by attaching a monomeric selector on the 3-mercaptopropyl silica gel with radical thiolene addition reaction. CSP2 was prepared via initiating polymerization of the monomer on 3-methacrylatepropyl silica gel. CSP3 was obtained by immobilizing the copolymer selector on silica gel. CSP4 was derived from the end-capping of CSP3 with TMSCl. Elemental analysis showed that the final loading of chiral monomer units on CSP1, CSP2, CSP3, and CSP4 were 0.550, 1.057, 0.657, and 0.536 mmol/g, respectively.
Figure 1.
Synthetic scheme for the preparation of CSP1~CSP4.
CSP3 was prepared by using (S)-N-(1-phenylethyl) acrylamide and TMSPM as monomers with the initial ratio of 95/5 (mol/mol). The introduction of TMSPM into the polymer was to provide the reaction site for the next step of immobilization reaction. The ratio of these two monomers in the polymer was determined to be about 24:1 by 1H-NMR spectroscopy. The SEM images of CSP2 and CSP3 are shown in Figure 2. Both stationary phases had smooth surfaces, which indicates that the polymers were well-distributed in the silica particles.
Figure 2.
SEM images of CSP2 (A) and CSP3 (B).
The molecular weight of the polymers in CSP2 and CSP3 was determined by gel permeation chromatography (GPC). The polymer in CSP2 was obtained by the treatment of the CSP2 silica matrix with hydrogen fluoride. GPC results showed that the polymer had a polymerization degree with Mn = 51,272 and Mw/Mn = 3.43. The molecular weight of the polymer before immobilizing to CSP3 was Mn = 7090 with Mw/Mn = 1.66. Obviously, the chiral polymer in CSP3 had a smaller molecular weight than that in CSP2, but with a much narrower molecular weight distribution. In the surface grafting process, due to the uncontrollability of polymerization caused by the “grafting from” strategy, a polymer with a larger molecular weight will always appear closed to the external surface than that inside the pores due to the steric hindrance.
The N2 adsorption–desorption analysis of silica particles of CSP2 and CSP3 revealed typical type IV isotherms (Figure 3A). The measured BET (Brunauer–Emmett–Teller) surface areas for these materials were 340 m2/g, 165 m2/g, 213 m2/g, respectively. The corresponding BJH (Barrett–Joyner–Halenda) average pore diameters of the materials were 9.17 nm, 7.10 nm, and 7.85 nm, and the pore volume was 0.91 cm3/g, 0.35 cm3/g, and 0.55 cm3/g, respectively. These values agreed with the loading amount of the polymer in the CSPs. CSP2 showed a desorption step at p/p0~0.75, which was lower than those on CSP3. The hysteresis phenomenon seems to be related to an “inkbottle” or “bottleneck” effect [22,23]. It may cause a large extent of pore blockage in CSP2, which usually results in poor mass transfer and low chromatographic efficiency. Therefore, Van Deemter plots obtained on the columns packed with CSP2 and CSP3 for two achiral aromatic solutes (nitrobenzene, methyl benzoate) at a series of flow rates are studied and shown in Figure 3B. As the flow rate increased, the column packed with CSP2 showed a more rapid increase in the plate height when compared with the column packed with CSP3.
Figure 3.
(A) N2 adsorption/desorption isotherms of silica, CSP2, and CSP3 and (B) Van Deemter plots of CSP2 and CSP3.
3.2. Chromatographic Separation Results
A set of 28 selected enantiomers with various structures (TR-1~TR-28) was used to evaluate these four CSPs. The separation results are summarized in Table 1. All data were obtained under identical chromatographic conditions.
Table 1.
HPLC resolution of analytes on CSP1~CSP4 and their SFC resolution on CSP4.
Comparison of the separation results on CSP1 with those on CSP2 and CSP3 shows remarkable differences in enantioselectivity (Figure 4A,B). CSP1 shows very low chiral recognition capability. Only three analytes were resolved with two samples at baseline (Rs ≥1.50). CSP2 displayed much higher chiral recognition ability than CSP1, on which 14 analytes were resolved. However, due to the poor peak shapes and low column efficiency, none of these analytes could be separated at the baseline. CSP3 showed even better chiral recognition performance than CSP2. Twenty-six analytes were resolved with 11 samples at the baseline. Such remarkable differences in the chiral recognition capability for CSP1 when compared with CSP2 and CSP3 indicate that the cooperation of the chiral side chains arranged on the polymer of CSP2 and CSP3 could play an important role in the chiral recognition.
Figure 4.
Chromatograms of TR-5 (A), TR-9 (B) on CSP1, CSP2, CSP3 and chromatograms of TR-8 (C), TR-24 (D) on CSP3, CSP4.
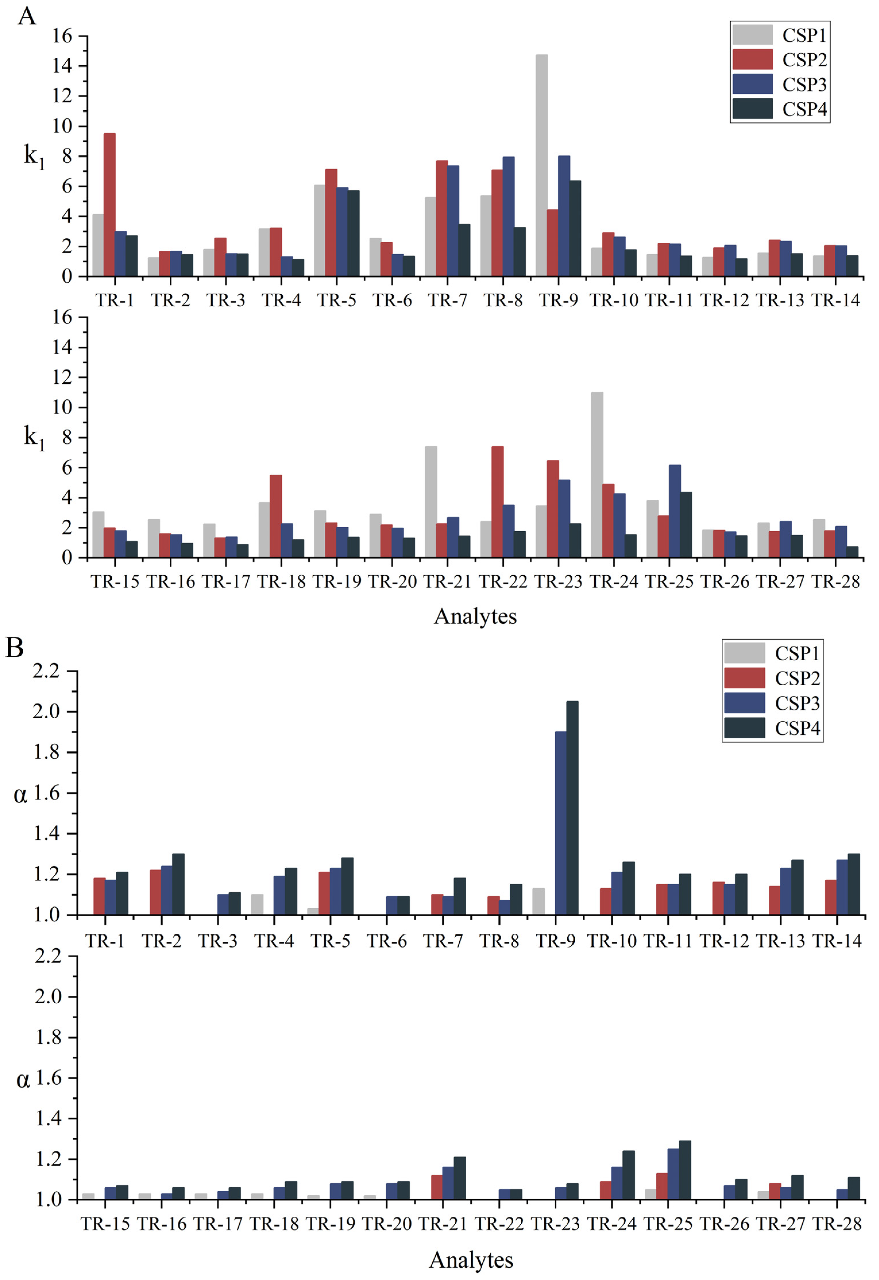
Generally, the retention of analytes on CSP2 was stronger than those on CSP3, which may be due to the higher loading of the chiral selector on the stationary phase. However, the high chiral selector loading on CSP2 did not result in high enantioselectivity when compared with CSP3 (Figure 5). In the resolution of some analytes such as TR-3, TR-4, TR-6, TR-9, TR-15~TR-20, TR-22, TR-23, TR-26, and TR-28, CSP2 showed lower or even no chiral recognition than CSP3. Especially, TR-3, TR-4, and TR-9, not resolved at all on CSP2, were separated quite well on CSP3. Furthermore, the resolution factors obtained on CSP2 were all smaller than those on CSP3. For instance, TR-9 was separated on CSP3 with a resolution factor of 6.19. These results indicate that a small amount of copolymerized TMSPM in the polymer does not reduce the chiral selectivity. Taking the separation (α) and resolution (Rs) factors into account, CSP3 is superior to CSP2. This should be attributed to the narrower molecular weight distribution of the chiral polymer immobilized on CSP3, which makes the chromatographic column have better mass transfer.

Figure 5.
Comparison of k1 (A), α (B), and Rs (C) of 28 analytes on CSP1–CSP4.
The chiral separation performance was further improved by the end-capping of the residual silanol group. As shown in Table 1, the retention factors (k1) on end-capped CSP4 were generally smaller than those on CSP3. However, the separation factors (α) obtained on CSP4 were somewhat larger than those on CSP3. All of these results can be attributed to the reduction in the residual silanol groups, which contributes to the reduction in the non-enantioselective retention of the enantiomers. Overall, the end-capping of the particles improves the separation of analytes with better peak symmetry and higher separation factors (Figure 4C,D).
SFC with CSPs has been applied extensively in the analysis and preparation of chiral compounds due to the advantages such as high flow rates, fast mass transfer, and high efficiency [24]. Therefore, the separations on CSP4 with SFC were investigated as well. The chromatographic results are summarized in Table 1. Most separations were achieved within 5 min, and all 25 analytes (TR-1~TR-25) were separated with 14 baseline separations. The comparison of the separations on SFC with those on HPLC revealed that those analytes resolved with normal phase HPLC were also resolved well with SFC, the enantioselectivities with SFC were similar to those with HPLC, and the resolution factors with SFC were higher than those with HPLC (Figure 6).
Figure 6.
Comparison of the SFC resolution of TR-14 (A) and TR-25 (B) with their HPLC resolution on CSP4.
3.3. The Effect of Temperature on Separations
Numerous investigations have demonstrated that temperature significantly affects the chiral separation process. The material’s thermal stability of the material is the focus of the investigation, particularly for the polymer stationary phase. The TGA and DSC results of CSP3 revealed that it had excellent thermal stability up to 300 °C, as shown in the Supplementary Materials (Figure S7).
Further research was conducted on the impact of column temperature on chiral separation. Using TR-1 and TR-5 as examples, the selectivity (α) and retention factors (k) of TR-1 and TR-5 on CSP3 were studied at various temperatures (Figure 7).
Figure 7.
The effect of temperature on lnk (A) and lnα (B) of TR-1 and TR-5 on CSP3.
The k and α of TR-1 and TR-5 on CSP3 dropped as the temperature rose. Figure 7 demonstrates that the van’t Hoff equation was satisfied since both lnk and lnα had linear relationships with 1/T. This demonstrates that the configuration of the stationary phase’s chiral polymer stays constant and the chiral recognition process scarcely alters when the column temperature is between 25 °C and 50 °C (298.15–323.15 K).
4. Concluding Remarks
The polymeric stationary phase performed much better chiral recognition ability than the brush type stationary phase since the cooperation of the chiral side chains arranged on the polymer of CSPs played a vital role in the chiral recognition process. More significantly, due to the narrower molecular weight distribution, the “grafting to” method yielded higher enantioselectivity and column efficiency when compared with the “grafting from” method. End-capping improved the separation factors and peak shapes by reducing the non-enantioselective retention caused by residue silanol groups. SFC separations were discovered to be similar to the HPLC separations. However, the former had a higher resolution, sharper peak shapes, and shorter analysis time.
Supplementary Materials
The following supporting information can be downloaded at: https://www.mdpi.com/article/10.3390/separations10010011/s1, Figure S1: Synthetic scheme for the preparation of CSP1~CSP4; Figures S2–S4: 1HNMR spectra; Figures S5–S6: Chromatograms of GPC; Figure S7: The TGA and DSC results of CSP3; Table S1: GPC results of the copolymer selector of CSP3 and of the polymer of CSP2.
Author Contributions
Conceptualization, Y.M., X.C. and Y.K.; Methodology, Y.M., X.C. and Y.K.; Validation, G.L. and J.Z.; Formal analysis, G.L. and J.Z.; Investigation, G.L. and J.Z.; Writing—original draft, G.L.; Writing—review & editing, Y.M.; Visualization, Y.M., J.Z. and X.C.; Supervision, G.L., Y.M. and Y.K. All authors have read and agreed to the published version of the manuscript.
Funding
This research received no external funding.
Data Availability Statement
Not applicable.
Conflicts of Interest
The authors declare no conflict of interest.
References
- Bajtai, A.; Nemeti, G.; Le, T.M.; Szakonyi, Z.; Peter, A.; Ilisz, I. Enantiomeric separation of newly synthesized amino, thio, and oxy derivatives of monoterpene lactones, amides, and ester applying polysaccharide-based chiral stationary phases in normal-phase mode. J. Chromatogr. A 2022, 1672, 463050. [Google Scholar] [CrossRef] [PubMed]
- Geryk, R.; Kalikova, K.; Vozka, J.; Plecita, D.; Schmid, M.G.; Tesarova, E. Enantioselective potential of chiral stationary phases based on immobilized polysaccharides in reversed phase mode. J. Chromatogr. A 2014, 1363, 155–161. [Google Scholar] [CrossRef] [PubMed]
- Shen, J.; Ikai, T.; Okamoto, Y. Synthesis and chiral recognition of novel amylose derivatives containing regioselectively benzoate and phenylcarbamate groups. J. Chromatogr. A 2010, 1217, 1041–1047. [Google Scholar] [CrossRef] [PubMed]
- Bi, C.; Zheng, X.; Azaria, S.; Beeram, S.; Li, Z.; Hage, D.S. Chromatographic Studies of Protein-Based Chiral Separations. Separations 2016, 3, 27. [Google Scholar] [CrossRef] [PubMed]
- Haginaka, J.; Yamashita, T.; Tsujino, H.; Arisawa, M. Revisiting Chiral Recognition Mechanism on Chicken Alpha 1-Acid Glycoprotein: Location of Chiral Binding Sites and Insight into Chiral Binding Mechanism. Separations 2021, 8, 73. [Google Scholar] [CrossRef]
- Xu, S.J.; Wang, Y.Y.; Tang, Y.X.; Ji, Y.B. A protein-based mixed selector chiral monolithic stationary phase in capillary electrochromatography. New J. Chem. 2018, 42, 13520–13528. [Google Scholar] [CrossRef]
- Okamoto, Y. Chiral Polymers for Resolution of Enantiomers. J. Polym. Sci. Part A Polym. Chem. 2009, 47, 1731–1739. [Google Scholar] [CrossRef]
- Doi, Y.; Kiniwa, H.; Nishikaji, T. Chromatographic optical resolution of hydantoins by poly(N5-benzyl-L-glutamine) covalently bound to polystyrene resin. J. Chromatogr. A 1987, 396, 395–398. [Google Scholar] [CrossRef]
- Blaschke, G.; Donow, F. Trennwirkung optisch aktiven Poly[N-((S)-1-phenyläthyl)acrylamids] in Abhängigkeit vom Polymerisationsverfahren. Chem. Ber. 1975, 108, 1188–1197. [Google Scholar] [CrossRef]
- Okamoto, Y.; Honda, S.; Okamoto, I.; Yuki, H. Novel packing material for optical resolution: (+)-poly(triphenylmethyl methacrylate) coated on macroporous silica gel. J. Am. Chem. Soc. 1981, 103, 6971–6973. [Google Scholar] [CrossRef]
- Kobayashi, T.; Kakimoto, M.; Imai, Y. Chiral Recognition Abilities of New Optically Active Polyurethanes Derived from Chiral 1,3-Diols and Diisocyanates. Polym. J. 1993, 25, 969–975. [Google Scholar] [CrossRef]
- Yashima, E.; Huang, S.; Okamoto, Y. An Optically Active Stereoregular Polyphenylacetylene Derivative as a Novel Chiral Stationary Phase for HPLC. J. Chem. Soc. Chem. Commun. 1994, 7, 1811–1812. [Google Scholar] [CrossRef]
- Blaschke, G.; Donow, F. Polymere 1-Phenyläthylamin-Derivate als optisch aktive Adsorbentien. Chem. Ber. 1975, 108, 2792–2798. [Google Scholar] [CrossRef]
- Yuki, H.; Okamoto, Y.; Okamoto, I. Resolution of racemic compounds by optically active poly(triphenylmethyl methacrylate). J. Am. Chem. Soc. 1980, 102, 6356–6358. [Google Scholar] [CrossRef]
- Cavazzini, A.; Pasti, L.; Massi, A.; Marchetti, N.; Dondi, F. Recent applications in chiral high performance liquid chromatography: A review. Anal. Chim. Acta 2011, 706, 205–222. [Google Scholar] [CrossRef]
- Yamamoto, C.; Okamoto, Y. Optically active polymers for chiral separation. Bull. Chem. Soc. Jpn. 2004, 77, 227–257. [Google Scholar] [CrossRef]
- Yang, J.H.; Choi, S.H. Comparison study of a chiral stationary phase based on cellulose derivatives prepared by "grafting from" and "grafting to" methods. J. Appl. Polym. Sci. 2013, 127, 4122–4128. [Google Scholar] [CrossRef]
- Gasparrini, F.; Misiti, D.; Rompietti, R.; Villani, C. New hybrid polymeric liquid chromatography chiral stationary phase prepared by surface-initiated polymerization. J. Chromatogr. A 2005, 1064, 25–38. [Google Scholar] [CrossRef] [PubMed]
- Tian, Y.; Lu, W.; Che, Y.; Shen, L.B.; Jiang, L.M.; Shen, Z.Q. Synthesis and Characterization of Macroporous Silica Modified with Optically Active Poly N-(oxazolinylphenyl)acrylamide Derivatives for Potential Application as Chiral Stationary Phases. J. Appl. Polym. Sci. 2010, 115, 999–1007. [Google Scholar] [CrossRef]
- Cai, J.F.; Cheng, L.P.; Zhao, J.C.; Fu, Q.; Jin, Y.; Ke, Y.X.; Liang, X.M. A polyacrylamide-based silica stationary phase for the separation of carbohydrates using alcohols as the weak eluent in hydrophilic interaction liquid chromatography. J. Chromatogr. A 2017, 1524, 153–159. [Google Scholar] [CrossRef]
- Blaschke, G.; Broker, W.; Fraenkel, W. Enantiorneric Resolution by HPLC on Silica-Gel-Bound, Optically Active Polyarnides. Angew. Chem. Int. Ed. Engl. 1986, 25, 830–831. [Google Scholar] [CrossRef]
- Katz, S.M. Permanent Hysteresis in Physical Adsorption. A Theoretical Discussion. J. Phys. Chem. 1949, 53, 1166–1186. [Google Scholar] [CrossRef]
- McBain, J.W. An Explanation of Hysteresis in the Hydration and Dehydration of Gels. J. Am. Chem. Soc. 1935, 57, 699–700. [Google Scholar] [CrossRef]
- Liu, Y.; Berthod, A.; Mitchell, C.R.; Xiao, T.L.; Zhang, B.; Armstrong, D.W. Super/subcritical fluid chromatography chiral separations with macrocyclic glycopeptide stationary phases. J. Chromatogr. A 2002, 978, 185–204. [Google Scholar] [CrossRef] [PubMed]
Disclaimer/Publisher’s Note: The statements, opinions and data contained in all publications are solely those of the individual author(s) and contributor(s) and not of MDPI and/or the editor(s). MDPI and/or the editor(s) disclaim responsibility for any injury to people or property resulting from any ideas, methods, instructions or products referred to in the content. |
© 2022 by the authors. Licensee MDPI, Basel, Switzerland. This article is an open access article distributed under the terms and conditions of the Creative Commons Attribution (CC BY) license (https://creativecommons.org/licenses/by/4.0/).



































