Investigation on the Interactive Effects between Temperature and Chemical Composition of Organic Wastes on Anaerobic Co-Digestion Performance
Abstract
:1. Introduction
2. Materials and Methods
2.1. Substrates and Inoculum
2.2. Experimental Device
2.3. Experimental Design
2.4. Analytical Methods
3. Results and Discussion
3.1. CH4 Production during AcoD Process
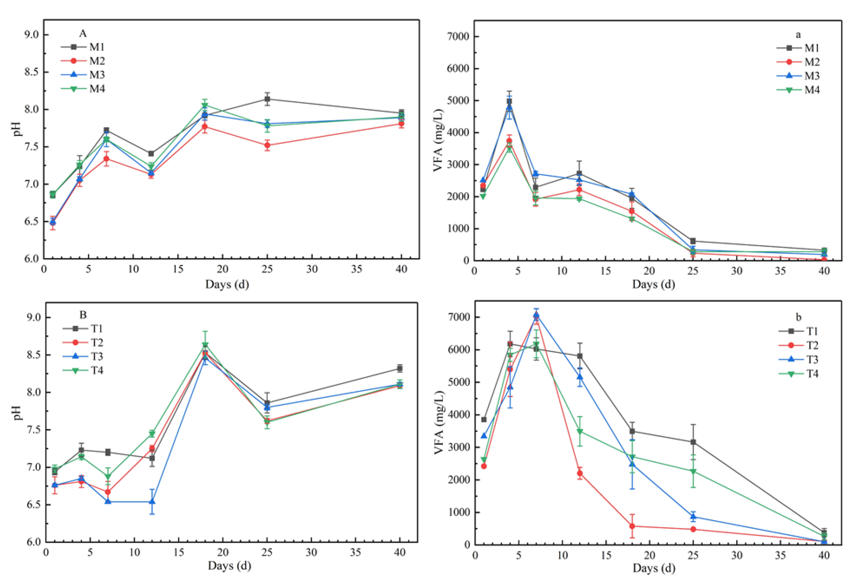
3.2. Chemical Parameters during AcoD Process
3.3. Microbial Community
4. Conclusions
Author Contributions
Funding
Institutional Review Board Statement
Informed Consent Statement
Data Availability Statement
Conflicts of Interest
Abbreviations
References
- Kang, X.; Liu, Y. Chemically enhanced primary sludge as an anaerobic co-digestion additive for biogas production from food waste. Processes 2019, 7, 709. [Google Scholar] [CrossRef] [Green Version]
- Song, J.; Wang, Y.; Zhang, S.; Song, Y.; Xue, S.; Liu, L.; Lvy, X.; Wang, X.; Yang, G. Coupling biochar with anaerobic digestion in a circular economy perspective: A promising way to promote sustainable energy, environment and agriculture development in China. Renew. Sustain. Energy Rev. 2021, 144, 110973. [Google Scholar] [CrossRef]
- Pramanik, S.K.; Suja, F.B.; Porhemmat, M.; Pramanik, B.K. Performance and kinetic model of a single-stage anaerobic digestion system operated at different successive operating stages for the treatment of food waste. Processes 2019, 7, 600. [Google Scholar] [CrossRef] [Green Version]
- Xu, F.; Li, Y.; Ge, X.; Yang, L.; Li, Y. Anaerobic digestion of food waste—Challenges and opportunities. Bioresour. Technol. 2018, 247, 1047–1058. [Google Scholar] [CrossRef] [PubMed]
- Jin, C.; Sun, S.; Yang, D.; Sheng, W.; Ma, Y.; He, W.; Li, G. Anaerobic digestion: An alternative resource treatment option for food waste in China. Sci. Total Environ. 2021, 779, 146397. [Google Scholar] [CrossRef]
- Wang, X.; Yang, G.; Li, F.; Feng, Y.; Ren, G.; Han, X. Evaluation of two statistical methods for optimizing the feeding composition in anaerobic co-digestion: Mixture design and central composite design. Bioresour. Technol. 2013, 131, 172–178. [Google Scholar] [CrossRef] [PubMed]
- Xue, S.; Wang, Y.; Lyu, X.; Zhao, N.; Song, J.; Wang, X.; Yang, G. Interactive effects of carbohydrate, lipid, protein composition and carbon/nitrogen ratio on biogas production of different food wastes. Bioresour. Technol. 2020, 312, 123566. [Google Scholar] [CrossRef]
- Chow, W.L.; Chong, S.; Lim, J.W.; Chan, Y.L.; Chong, M.F.; Tiong, T.J.; Chin, J.K.; Pan, G.-T. Anaerobic co-digestion of wastewater sludge: A review of potential co-substrates and operating factors for improved methane yield. Processes 2020, 8, 39. [Google Scholar] [CrossRef] [Green Version]
- Hagos, K.; Zong, J.; Li, D.; Liu, C. Anaerobic co-digestion process for biogas production: Progress, challenges and perspectives. Renew. Sustain. Energy Rev. 2017, 76, 1485–1496. [Google Scholar] [CrossRef]
- Hoelzle, R.D.; Virdis, B.; Batstone, D.J. Regulation mechanisms in mixed and pure culture microbial fermentation. Biotechnol. Bioeng. 2014, 111, 2139–2154. [Google Scholar] [CrossRef]
- Cardenas-Cleves, L.M.; Marmolejo-Rebellon, L.F.; Torres-Lozada, P. Improvement of the biochemical methane potential of food waste by means of anaerobic co-digestion with swine manure. Braz. J. Chem. Eng. 2018, 35, 1219–1229. [Google Scholar] [CrossRef]
- Hubenov, V.N.; Mihaylova, S.N.; Simeonov, S. Anaerobic co-digestion of waste fruits and vegetables and swine manure in a pilot-scale bioreactor. Bulg. Chem. Commun. 2015, 47, 788–792. [Google Scholar]
- Li, L.; Peng, X.; Wang, X.; Wu, D. Anaerobic digestion of food waste: A review focusing on process stability. Bioresour. Technol. 2018, 248, 20–28. [Google Scholar] [CrossRef] [PubMed]
- Chew, K.R.; Leong, H.Y.; Khoo, K.S.; Vo, D.-V.N.; Anjum, H.; Chang, C.-K.; Show, P.L. Effects of anaerobic digestion of food waste on biogas production and environmental impacts: A review. Environ. Chem. Lett. 2021, 19, 2921–2939. [Google Scholar] [CrossRef]
- Shi, X.; Guo, X.; Zuo, J.; Wang, J.; Zhang, M. A comparative study of thermophilic and mesophilic anaerobic co-digestion of food waste and wheat straw: Process stability and microbial community structure shifts. Waste Manag. 2018, 75, 261–269. [Google Scholar] [CrossRef]
- Lee, M.; Hidaka, T.; Hagiwara, W.; Tsuno, H. Comparative performance and microbial diversity of hyperthermophilic and thermophilic co-digestion of kitchen garbage and excess sludge. Bioresour. Technol. 2009, 100, 578–585. [Google Scholar] [CrossRef]
- Montanes, R.; Solera, R.; Perez, M. Anaerobic co-digestion of sewage sludge and sugar beet pulp lixiviation in batch reactors: Effect of temperature. Bioresour. Technol. 2015, 180, 177–184. [Google Scholar] [CrossRef]
- Gu, J.; Liu, R.; Cheng, Y.; Stanisavljevic, N.; Li, L.; Peng, X.; Wang, X. Anaerobic co-digestion of food waste and sewage sludge under mesophilic and thermophilic conditions: Focusing on synergistic effects on methane production. Bioresour. Technol. 2020, 301, 7. [Google Scholar] [CrossRef]
- Wang, X.; Lu, X.; Li, F.; Yang, G. Effects of temperature and carbon-nitrogen (c/n) ratio on the performance of anaerobic co-digestion of dairy manure, chicken manure and rice straw: Focusing on ammonia inhibition. PLoS ONE 2014, 9, e97265. [Google Scholar] [CrossRef] [Green Version]
- De Vrieze, J.; Verstraete, W. Perspectives for microbial community composition in anaerobic digestion: From abundance and activity to connectivity. Environ. Microbiol. 2016, 18, 2797–2809. [Google Scholar] [CrossRef] [PubMed]
- Li, L.; He, Q.; Ma, Y.; Wang, X.; Peng, X. A mesophilic anaerobic digester for treating food waste: Process stability and microbial community analysis using pyrosequencing. Microb. Cell Factories 2016, 15, 65. [Google Scholar] [CrossRef] [PubMed] [Green Version]
- Kirkegaard, R.H.; McIlroy, S.J.; Kristensen, J.M.; Nierychlo, M.; Karst, S.M.; Dueholm, M.S.; Albertsen, M.; Nielsen, P.H. The impact of immigration on microbial community composition in full-scale anaerobic digesters. Sci. Rep. 2017, 7, 9343. [Google Scholar] [CrossRef] [PubMed]
- Zhou, J.; Zhang, H.; Liu, J.; Gong, L.; Yang, X.; Zuo, T.; Wang, J.; You, W.; Jia, Q.; Wang, L. Effects of Fe3O4 nanoparticles on anaerobic digestion enzymes and microbial community of sludge. Environ. Technol. 2021, in press. [Google Scholar] [CrossRef]
- Rabii, A.; Aldin, S.; Dahman, Y.; Elbeshbishy, E. A review on anaerobic co-digestion with a focus on the microbial populations and the effect of multi-stage digester configuration. Energies 2019, 12, 1106. [Google Scholar] [CrossRef] [Green Version]
- Wang, P.; Wang, H.; Qiu, Y.; Ren, L. Microbial characteristics in anaerobic digestion process of food waste for methane production-A review. Bioresour. Technol. 2018, 248, 29–36. [Google Scholar] [CrossRef]
- Mainardis, M.; Cabbai, V.; Zannier, G.; Visintini, D.; Goi, D. Characterization and bmp tests of liquid substrates for high-rate anaerobic digestion. Chem. Biochem. Eng. Q. 2017, 31, 509–518. [Google Scholar] [CrossRef]
- Mainardis, M.; Flaibani, S.; Mazzolini, F.; Peressotti, A. Techno-economic analysis of anaerobic digestion implementation in small Italian breweries and evaluation of biochar and granular activated carbon addition effect on methane yield. J. Environ. Chem. Eng. 2019, 7, 103184. [Google Scholar] [CrossRef]
- Alibardi, L.; Cossu, R. Composition variability of the organic fraction of municipal solid waste and effects on hydrogen and methane production potentials. Waste Manag. 2015, 36, 147–155. [Google Scholar] [CrossRef] [PubMed]
- Angelidaki, I.; Sanders, W. Assessment of the anaerobic biodegradability of macropollutants. Rev. Environ. Sci. Biotechnol. 2004, 3, 117–129. [Google Scholar] [CrossRef]
- Sun, Y.F.; Wang, D.; Yan, J.; Quiao, W.; Wang, W.; Zhu, T. Effects of lipid concentration on anaerobic co-digestion of municipal biomass wastes. Waste Manag. 2014, 34, 1025–1034. [Google Scholar] [CrossRef]
- Xue, S.R.; Zhao, N.; Song, J.H.; Wang, X. Interactive effects of chemical composition of food waste during anaerobic co-digestion under thermophilic temperature. Sustainability 2019, 11, 2933. [Google Scholar] [CrossRef] [Green Version]
- Loganath, R.; Senophiyah-Mary, J. Critical review on the necessity of bioelectricity generation from slaughterhouse industry waste and wastewater using different anaerobic digestion reactors. Renew. Sustain. Energy Rev. 2020, 134, 110360. [Google Scholar] [CrossRef]
- Sanjaya, E.H.; Cheng, H.; Li, Y.Y. Mesophilic methane fermentation performance and ammonia inhibition of fish processing wastewater treatment using a self-agitated anaerobic baffled reactor. Bioresour. Technol. 2020, 313, 123644. [Google Scholar] [CrossRef] [PubMed]
- Sung, S.; Liu, T. Ammonia inhibition on thermophilic anaerobic digestion. Chemosphere 2003, 53, 43–52. [Google Scholar] [CrossRef]
- Peng, X.; Zhang, S.; Li, L.; Zhao, X. Long-term high-solids anaerobic digestion of food waste: Effects of ammonia on process performance and microbial community. Bioresour. Technol. 2018, 262, 148–158. [Google Scholar] [CrossRef]
- Ros, M.; Filho, J.d.S.O.; Perez Murcia, M.D.; Dolores, M.; Bustamante, M.A.; Moral, R.; Coll, M.D.; Lopez, S.-T.; Ana, B.; Pascual, J.A. Mesophilic anaerobic digestion of pig slurry and fruit and vegetable waste: Dissection of the microbial community structure. J. Clean. Prod. 2017, 156, 757–765. [Google Scholar] [CrossRef]
- Carballa, M.; Regueiro, L.; Lema, J.M. Microbial management of anaerobic digestion: Exploiting the microbiome-functionality nexus. Curr. Opin. Biotechnol. 2015, 33, 103–111. [Google Scholar] [CrossRef]
- Amha, Y.M.; Sinha, P.; Lagman, J.; Gregori, M. Elucidating microbial community adaptation to anaerobic co-digestion of fats, oils, and grease and food waste. Water Res. 2017, 123, 277–289. [Google Scholar] [CrossRef]
- Mu, H.; Zhao, C.; Zhao, Y.; Li, Y.; Hua, D.; Zhang, X.; Xu, H. Enhanced methane production by semi-continuous mesophilic co-digestion of potato waste and cabbage waste: Performance and microbial characteristics analysis. Bioresour. Technol. 2017, 236, 68–76. [Google Scholar] [CrossRef]
- Yuan, H.P.; Chen, Y.; Dai, X.H.; Zhu, N. Kinetics and microbial community analysis of sludge anaerobic digestion based on micro-direct current treatment under different initial ph values. Energy 2016, 116, 677–686. [Google Scholar] [CrossRef]
- Ao, T.; Xie, Z.; Zhou, P.; Liu, X.; Wan, L.; Li, D. Comparison of microbial community structures between mesophilic and thermophilic anaerobic digestion of vegetable waste. Bioprocess. Biosyst. Eng. 2021, 44, 1201–1214. [Google Scholar] [CrossRef]
- Chen, H.; Huang, R.; Wu, J.; Zhang, W.; Han, Y.; Xiao, B.; Wang, D.; Zhou, Y.; Liu, B.; Yu, G. Biohythane production and microbial characteristics of two alternating mesophilic and thermophilic two-stage anaerobic co-digesters fed with rice straw and pig manure. Bioresour. Technol. 2021, 320, 124303. [Google Scholar] [CrossRef] [PubMed]
- Liu, R.; Gong, H.; Xu, Y.; Cai, C.; Hua, Y.; Li, L.; Dai, L.; Dai, X. The transition temperature (42 °C) from mesophilic to thermophilic micro-organisms enhances biomethane potential of corn stover. Sci. Total Environ. 2021, 759, 143549. [Google Scholar] [CrossRef]





| Parameters | CR | WP | PO | Inoculum |
|---|---|---|---|---|
| TS (%) | 42.81 ± 0.72 | 27.20 ± 0.49 | 99.96 ± 0.01 | 4.48 ± 0.34 |
| VS (%) | 97.63 ± 1.09 | 95.23 ± 0.53 | 99.85 ± 0.12 | 2.21 ± 0.15 |
| TN (% VS) | 1.10 ± 0.63 | 7.14 ± 0.66 | - | - |
| TOC (% VS) | 46.80 ± 0.19 | 53.22 ± 1.65 | 60.71 ± 1.15 | - |
| Carbohydrate (% VS) | 92.24 ± 0.18 | 1.43 ± 1.14 | - | - |
| Protein (% VS) | 7.13 ± 1.02 | 46.00 ± 0.95 | - | - |
| Lipid (% VS) | 0.72 ± 0.99 | 46.62 ± 1.3 | 100 | - |
| Ash (% TS) | 2.40 ± 0.11 | 4.71 ± 0.07 | 0.19 ± 0.05 | 97.83 ± 0.19 |
| 35 °C | 55 °C | Carbohydrate (% VS) | Lipid (% VS) | Protein (% VS) | C/N |
|---|---|---|---|---|---|
| M1 | T1 | 20 | 50 | 30 | 11.51 |
| M2 | T2 | 40 | 50 | 10 | 33.18 |
| M3 | T3 | 40 | 40 | 20 | 16.33 |
| M4 | T4 | 20 | 60 | 20 | 17.64 |
| Sample | AMP (mL/g VS) | TMP (mL/g VS) | GR (%) |
|---|---|---|---|
| M1 | 552.02 ± 61.09 | 738.8 | 74.72 ± 8.27 |
| M2 | 387.50 ± 55.43 | 722.6 | 53.63 ± 7.67 |
| M3 | 277.60 ± 26.71 | 670.8 | 41.38 ± 3.98 |
| M4 | 339.74 ± 47.11 | 790.6 | 42.97 ± 5.96 |
| T1 | 329.81 ± 26.12 | 738.8 | 44.64 ± 3.54 |
| T2 | 485.45 ± 47.44 | 722.6 | 67.18 ± 6.57 |
| T3 | 377.12 ± 18.98 | 670.8 | 56.22 ± 2.83 |
| T4 | 257.47 ± 41.80 | 790.6 | 32.57 ± 5.29 |
| Sample | M1 | M2 | M3 | M4 | T1 | T2 | T3 | T4 | |
|---|---|---|---|---|---|---|---|---|---|
| Bacterial | OTUs | 331 | 347 | 353 | 331 | 344 | 321 | 327 | 330 |
| Simpson | 0.97 | 0.97 | 0.97 | 0.97 | 0.96 | 0.98 | 0.96 | 0.96 | |
| Shannon | 6.84 | 6.69 | 6.72 | 6.62 | 6.19 | 6.78 | 6.32 | 6.27 | |
| Archaeal | OTUs | 310 | 251 | 309 | 279 | 331 | 363 | 310 | 354 |
| Simpson | 0.91 | 0.87 | 0.83 | 0.87 | 0.79 | 0.97 | 0.77 | 0.86 | |
| Shannon | 5.32 | 4.69 | 4.49 | 4.62 | 4.29 | 6.73 | 3.80 | 4.87 | |
Publisher’s Note: MDPI stays neutral with regard to jurisdictional claims in published maps and institutional affiliations. |
© 2021 by the authors. Licensee MDPI, Basel, Switzerland. This article is an open access article distributed under the terms and conditions of the Creative Commons Attribution (CC BY) license (https://creativecommons.org/licenses/by/4.0/).
Share and Cite
Zhang, S.; Wang, Y.; Song, J.; Sheng, C.; Shang, Z.; Wang, R.; Wang, X.; Yang, G.; Feng, Y.; Ren, G. Investigation on the Interactive Effects between Temperature and Chemical Composition of Organic Wastes on Anaerobic Co-Digestion Performance. Processes 2021, 9, 1682. https://doi.org/10.3390/pr9091682
Zhang S, Wang Y, Song J, Sheng C, Shang Z, Wang R, Wang X, Yang G, Feng Y, Ren G. Investigation on the Interactive Effects between Temperature and Chemical Composition of Organic Wastes on Anaerobic Co-Digestion Performance. Processes. 2021; 9(9):1682. https://doi.org/10.3390/pr9091682
Chicago/Turabian StyleZhang, Siqi, Ying Wang, Jinghui Song, Chenjing Sheng, Zezhou Shang, Rui Wang, Xiaojiao Wang, Gaihe Yang, Yongzhong Feng, and Guangxin Ren. 2021. "Investigation on the Interactive Effects between Temperature and Chemical Composition of Organic Wastes on Anaerobic Co-Digestion Performance" Processes 9, no. 9: 1682. https://doi.org/10.3390/pr9091682
APA StyleZhang, S., Wang, Y., Song, J., Sheng, C., Shang, Z., Wang, R., Wang, X., Yang, G., Feng, Y., & Ren, G. (2021). Investigation on the Interactive Effects between Temperature and Chemical Composition of Organic Wastes on Anaerobic Co-Digestion Performance. Processes, 9(9), 1682. https://doi.org/10.3390/pr9091682

