Similarity and Froude Number Similitude in Kinematic and Hydrodynamic Features of Solitary Waves over Horizontal Bed
Abstract
:1. Introduction
2. Experimental Setup
2.1. Wave Flume
2.2. Deployment of Wave Gauges and HSPIV
2.3. Experimental Conditions
3. Preliminary Test
4. Description of Froude Number Similitude
5. Results and Discussions
5.1. Time Series of FSE

5.2. Wave Celerity and Length
= [(Ls)B/(Ls)A]1/2 = (Us)B/(Us)A
| Case | H0 (cm) | H0 (cm) | H0/h0 | C0 (cm/s) | t1 (s) | T1 | t2 (s) | T2 | tp (s) | Tp | λ0 (cm) | λ0/h0 |
|---|---|---|---|---|---|---|---|---|---|---|---|---|
| A | 2.90 | 8.0 | 0.363 | 103.4 | −0.502 | −5.56 | 0.502 | 5.56 | 1.004 | 11.12 | 103.8 | 12.98 |
| B | 5.80 | 16.0 | 0.363 | 146.2 | −0.710 | −5.56 | 0.710 | 5.56 | 1.420 | 11.12 | 207.7 | 12.98 |
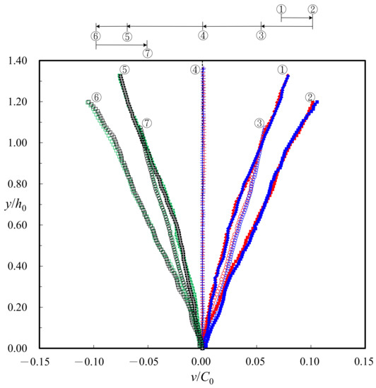
6. Velocities
6.1. Time Series of Velocities
Velocity Profiles
= (umax)B/(umax)A × [(Ls)A/(Ls)B]1/2 = (umax)B/(umax)A × (1/2)1/2 ≈ 1.0
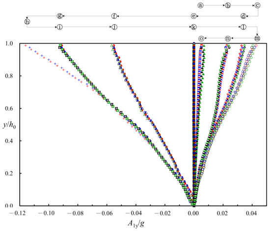
6.2. Local Accelerations
6.2.1. Times Series of Local Accelerations
6.2.2. Profiles of Local Accelerations


6.3. Convective Accelerations
7. Conclusions
- In either direction, similarity and FNS hold true for the time series of dimensionless FSEs, velocity components, and local and convective accelerations.
- The similarity and FNS are also valid for dimensionless wave celerity and wavelength, horizontal and vertical velocity profiles, and local acceleration profiles.
- All the similarities and FNSs demonstrate that gravity force is the most significant factor that dominates flow kinematics and hydrodynamics of solitary waves. The fact implies that, even for small-scale experiments with h0 ≥ 8.0 cm, viscous friction and surface tension play negligible roles in affecting FSE, flow velocity, and acceleration.
- Based on the comparisons made between velocity data obtained in this study and predicted values, Boussinesq theory is found to well predict the horizontal and vertical velocities of a water particle if the linear wave celerity is incorporated into the calculation.
- The horizontal velocity is nonuniform in the vertical direction, particularly near the free surface. This feature is contrary to the traditional uniform distribution well recognized in the past. Its time series are symmetric for −6.00 ≤ T < 6.00 (featuring an even-function shape) about T = 0, at which the maximum horizontal velocity occurs.
- As pre-passing (post-passing) of the wave crest is accompanied by ascending (descending) FSE, the vertical velocity is positive (negative). Their respective maximum of equal magnitude in the time series of vertical velocity appears at T = −1.39 and 1.39, with an odd-function distribution about T = 0. This feature is different from those with asymmetric distributions as previously reported. The vertical velocity increases linearly from zero at the bed to a temporally-varied maximum at the free surface for T ≠ 0. For T = 0, however, it is equal to zero at different heights.
- In the horizontal direction, the temporal variation in time series (profiles) of local acceleration is characterized by an odd-function (even-function) shape about T = 0. The positive and negative maxima take place at T = −1.39 and 1.39, respectively, at distinct y/h0 values.
- In the vertical direction, an even-function shape features the temporal variation in the time series of local acceleration. The profiles with negative and positive maxima appear for T = 0 and |T| = 2.50, respectively, with virtually zero values at distinct heights for T = −1.39 and 1.39.
- In either direction, the magnitudes of positive and negative maxima in the time series of depth-averaged convective acceleration are much smaller than those of the local acceleration.
Author Contributions
Funding
Institutional Review Board Statement
Informed Consent Statement
Data Availability Statement
Acknowledgments
Conflicts of Interest
References
- Russell, J.S. On Waves; The British Association for the Advancement of Science: London, UK, 1844; pp. 311–390. [Google Scholar]
- Keulegan, G.H. Gradual damping of solitary waves. J. Res. Natl. Bur. Stand. 1948, 40, 487–498. [Google Scholar] [CrossRef]
- Liu, P.L.-F.; Lynett, P.; Fernando, H.; Jaffe, B.E.; Fritz, H.; Higman, R.; Morton, R.; Goff, J.; Synolakis, C.E. Observations by the International Tsunami Survey Team in Sri Lanka. Science 2005, 308, 1595. [Google Scholar] [CrossRef] [PubMed]
- Hsiao, S.-C.; Hsu, T.-W.; Lin, T.-C.; Chang, Y.-H. On the evolution and run-up of breaking solitary waves on a mild sloping beach. Coast. Eng. 2008, 55, 975–988. [Google Scholar] [CrossRef]
- Higuera, P.; Liu, P.L.-F.; Lin, C.; Wong, W.-Y.; Kao, M.-J. Laboratory-scale swash flows generated by a non-breaking solitary wave on a steep slope. J. Fluid Mech. 2018, 847, 186–227. [Google Scholar] [CrossRef]
- Lin, C.; Yeh, P.-H.; Kao, M.-J.; Yu, M.-H.; Hseih, S.-C.; Chang, S.-C.; Wu, T.-R.; Tsai, C.-P. Velocity fields inside near-bottom and boundary layer flow in prebreaking zone of solitary wave propagating over a 1:10 slope. J. Waterw. Port Coast. Ocean Eng. 2015, 141, 04014038. [Google Scholar] [CrossRef]
- Lin, C.; Kao, M.-J.; Tzeng, G.-W.; Wong, W.-Y.; Yang, J.; Raikar, R.V.; Wu, T.-R.; Liu, P.L.-F. Study on flow fields of boundary-layer separation and hydraulic jump during rundown motion of shoaling solitary wave. J. Earthq. Tsunami 2015, 9, 154002. [Google Scholar] [CrossRef]
- Lin, C.; Yu, S.-M.; Wong, W.-Y.; Tzeng, G.-W.; Kao, M.-J.; Yeh, P.-H.; Raikar, R.V.; Yang, J.; Tsai, C.-P. Velocity characteristics in boundary layer flow caused by solitary wave traveling over horizontal bottom. Exp. Therm. Fluid Sci. 2016, 76, 238–252. [Google Scholar] [CrossRef]
- Lin, C.; Wong, W.-Y.; Kao, M.-J.; Tsai, C.-P.; Hwung, H.-H.; Wu, Y.-T.; Raikar, R.V. Evolution of velocity field and vortex structure during run-down of solitary wave over very steep beach. Water 2018, 10, 1713. [Google Scholar] [CrossRef] [Green Version]
- Lin, C.; Wong, W.-Y.; Raikar, R.V.; Hwung, H.-H.; Tsai, C.-P. Characteristics of accelerations and pressure gradient during run-down of solitary wave over very steep beach—A case study. Water 2019, 11, 523. [Google Scholar] [CrossRef] [Green Version]
- Lin, C.; Kao, M.-J.; Wong, W.-Y.; Shao, Y.-P.; Hu, C.-F.; Yuan, J.-M.; Raikar, R.V. Effect of leading waves on velocity distribution of undular bore traveling over sloping bottom. Eur. J. Mech. B Fluids 2019, 73, 75–99. [Google Scholar] [CrossRef]
- Lin, C.; Kao, M.-J.; Yuan, J.-M.; Ralkar, R.V.; Wong, W.-Y.; Yang, J.; Yang, R.-Y. Features of the flow velocity and pressure gradient of an undular bore on a horizontal bed. Phys. Fluids 2020, 32, 043603. [Google Scholar]
- Lin, C.; Kao, M.-J.; Yuan, J.-M.; Raikar, R.V.; Hsieh, S.-C.; Chuang, P.-Y.; Syu, J.-M.; Pan, W.-C. Similarities in the free-surface elevations and horizontal velocities of undular bores propagating over a horizontal bed. Phys. Fluids 2020, 32, 063605. [Google Scholar] [CrossRef]
- Lin, C.; Kao, M.-J.; Raikar, R.V.; Yuan, J.-M.; Yang, J.; Chuang, P.-Y.; Syu, J.-M.; Pan, W.-C. Novel similarities in the free-surface profiles and velocities of solitary waves traveling over a very steep beach. Phys. Fluids 2020, 32, 083601. [Google Scholar] [CrossRef]
- Lin, C.; Kao, M.-J.; Yang, J.; Raikar, R.V.; Yuan, J.-M.; Hsieh, S.-C. Particle acceleration and pressure gradient in a solitary wave traveling over a horizontal bed. AIP Adv. 2020, 10, 115210. [Google Scholar] [CrossRef]
- Boussinesq, J. Theorie des ondes et des remous qui se propagent le long d’un canal rectangulaire horizontal, en communiquant au liquide contenu dans ce canal de vitesses sensiblement parreilles de la surface au fond. J. Math. Pures Appl. 1872, 17, 55–108. [Google Scholar]
- McCowan, J. On the solitary waves. Philos. Mag. 1891, 32, 45–58. [Google Scholar] [CrossRef] [Green Version]
- Munk, W.H. The solitary wave theory and its applications to surf problems. Annu. N. Y. Acad. Sci. 1949, 51, 376–424. [Google Scholar] [CrossRef]
- Grimshaw, R. The solitary waves in water of variable depth (part 2). J. Fluid Mech. 1971, 46, 611–622. [Google Scholar] [CrossRef]
- Fenton, J. A ninth-order solution for the solitary waves. J. Fluid Mech. 1971, 53, 257–271. [Google Scholar] [CrossRef]
- Synolakis, C.E. The runup of solitary waves. J. Fluid Mech. 1987, 185, 523–545. [Google Scholar] [CrossRef]
- Liu, P.L.-F.; Park, Y.S.; Cowen, E.A. Boundary layer flow and bed shear stress under a solitary wave. J. Fluid Mech. 2007, 574, 449–463. [Google Scholar] [CrossRef]
- Gavrilyuk, S.; Liapidevskii, V.; Chesnokov, A. Spilling breakers in shallow depth-applications to Favre waves and to the shoaling and breaking of solitary waves. J. Fluid Mech. 2016, 808, 441–468. [Google Scholar] [CrossRef]
- Lee, J.J.; Skjelbreia, J.E.; Raichlen, F. Measurement of velocities in solitary waves. J. Waterw. Port Coast. Ocean Eng. 1982, 109, 200–218. [Google Scholar] [CrossRef]
- Hall, J.V.; Watts, J.W. Laboratory Investigation of Vertical Rise of Solitary Waves on Impermeable Beaches; Technical Memorandum No. 33, Beach Erosion Board; US Army Corps of Engineers: Vicksburg, MS, USA, 1953.
- Saeki, H.; Hanayasu, S.; Ozaki, A.; Takagi, K. The shoaling and run-up height of the solitary wave. Coast. Eng. Jpn. 1971, 14, 25–42. [Google Scholar] [CrossRef]
- Zelt, J.A. The run-up of nonbreaking and breaking solitary waves. Coast. Eng. 1991, 15, 205–246. [Google Scholar] [CrossRef]
- Briggs, M.J.; Synolakis, C.E.; Harkins, G.S.; Hughes, S.T. Large scale three-dimensional laboratory measurements of tsunami inundation. In Tsunami: Progress in Prediction, Disaster Prevention and Warning; Kluwer Academic Publishers: Dordrecht, The Netherlands, 1995; pp. 129–149. [Google Scholar]
- Jensen, A.; Pedersen, G.K.; Wood, D.J. An experimental study of wave run-up at a steep beach. J. Fluid Mech. 2003, 486, 161–188. [Google Scholar] [CrossRef] [Green Version]
- Fuchs, H.; Hager, W.H. Scale effects of impulse wave run-up and run-over. J. Waterw. Port Coast. Ocean Eng. 2012, 138, 303–311. [Google Scholar] [CrossRef]
- Pedersen, G.; Lindstrom, E.; Bertelsen, A.F.; Jensen, A.; Laskovski, D. Runup and boundary layers on sloping beaches. Phys. Fluids 2013, 25, 012102. [Google Scholar] [CrossRef]
- Salevik, G.; Jensen, A.; Pedersen, G. Runup of solitary waves on a straight and a composite beach. Coast. Eng. 2013, 77, 40–48. [Google Scholar] [CrossRef]
- Smith, L.; Jensen, A.; Pedersen, G. Investigation of breaking and non-breaking solitary waves and measurements of swash zone dynamics on a 5° beach. Coast. Eng. 2017, 120, 38–46. [Google Scholar] [CrossRef] [Green Version]
- Watanabe, Y.; Horii, M. Transitional velocity and shear distributions in a runup wave. Coast. Eng. 2012, 68, I_56–I_60. (In Japanese) [Google Scholar]
- Goring, D.G. Tsunami: The Propagation of Long Waves onto a Shelf; Technical Report No. KH-R-38; W.M. Keck Laboratory of Hydraulics and Water Resources, California Institute of Technology: Pasadena, CA, USA, 1978. [Google Scholar]
- Adrain, R.J.; Westerweel, J. Particle Image Velocimetry; Cambridge University Press: New York, NY, USA, 2011. [Google Scholar]
- Cowen, E.A.; Monismith, S.G. A hybrid digital particle tracking velocimetry technique. Exp. Fluids 1997, 22, 199–211. [Google Scholar] [CrossRef]
- Chang, K.-A.; Liu, P.L.-F. Pseudo turbulence in PIV breaking wave measurements. Exp. Fluids 2000, 29, 331–338. [Google Scholar] [CrossRef]
- Dean, R.G.; Dalrymple, R.A. Water Wave Mechanics for Engineers and Scientists; World Scientific Publishing Co. Pte. Ltd.: Hackensack, NJ, USA, 1991. [Google Scholar]
- Daily, J.W.; Harleman, D.R.F. Fluid Dynamics; Addison-Wesley Publishing Company, Inc.: Boston, MA, USA, 1966. [Google Scholar]
- Munson, B.R.; Young, D.L.; Okiishi, T.H. Fundamentals of Fluid Mechanics; John Wiley & Sons, Inc.: Hoboken, NJ, USA, 2006. [Google Scholar]
- Hwung, H.-H.; Wu, Y.-T.; Lin, C. Tsunami propagation and related new approach of mitigation. In Proceedings of the 8th Taiwan-Japan Joint Seminar on Natural Hazard Mitigation, Kyoto, Japan, 7 December 2015. [Google Scholar]
- Sumer, B.M.; Jensen, P.M.; Sørensen, L.B.; Fredsøe, J.; Liu, P.L.-F.; Carstensen, S. Coherent structures in wave boundary layers. Part 2. Solitary motion. J. Fluid Mech. 2010, 646, 207–231. [Google Scholar] [CrossRef]











| FOV | Size (cm × cm) | Range (cm × cm) | Pixel Resolution | Framing Rate | Case |
|---|---|---|---|---|---|
| FOVA | 16.80 × 16.80 | −8.40 ≤ x ≤ 8.40 | 1152 × 1152 | 500 | A |
| FOVB | 26.30 × 30.80 | −13.15 ≤ x ≤ 13.15 | 1152 × 1352 | 500 | B |
| S0 | H0 (cm) | h0 (cm) | H0/h0 | C0′ (cm/s) | C0 (cm/s) | C0′/C0 | |
|---|---|---|---|---|---|---|---|
| Present study | 0 | 2.90 (Case A) | 8.0 | 0.363 | 102.0 | 103.4 | 0.986 |
| 5.80 (Case B) | 16.0 | 0.363 | 144.0 | 146.2 | 0.985 | ||
| Lin et al. [6] | 1:10 | 1.33 | 10.0 | 0.133 | 104.9 | 105.4 | 0.995 |
| 1.23 | 7.0 | 0.176 | 90.1 | 89.9 | 1.003 | ||
| 1.48 | 7.0 | 0.211 | 90.9 | 91.2 | 0.997 | ||
| 2.10 | 8.02 | 0.262 | 98.1 | 99.6 | 0.985 | ||
| 1.93 | 7.02 | 0.275 | 93.5 | 93.7 | 0.998 | ||
| 2.87 | 8.0 | 0.359 | 102.0 | 103.3 | 0.988 | ||
| 2.69 | 7.0 | 0.384 | 99.0 | 97.7 | 1.013 | ||
| Lin et al. [7] | 1:5 | 2.90 | 8.0 | 0.363 | 102.0 | 103.4 | 0.986 |
| Lin et al. [9] | 2.90 | 8.0 | 0.363 | 102.0 | 103.4 | 0.986 | |
| 1:3 | 2.10 | 8.0 | 0.263 | 98.2 | 99.5 | 0.987 | |
| 2.74 | 16.0 | 0.171 | 134.1 | 135.6 | 0.988 | ||
| Lin et al. [10] | 1:3 | 2.90 | 8.0 | 0.363 | 102.2 | 103.4 | 0.988 |
| Hwung et al. [42] | 1:20 | 5.60 | 14.0 | 0.400 | 140.6 | 138.7 | 1.014 |
Publisher’s Note: MDPI stays neutral with regard to jurisdictional claims in published maps and institutional affiliations. |
© 2021 by the authors. Licensee MDPI, Basel, Switzerland. This article is an open access article distributed under the terms and conditions of the Creative Commons Attribution (CC BY) license (https://creativecommons.org/licenses/by/4.0/).
Share and Cite
Lin, C.; Kao, M.-J.; Yang, J.; Raikar, R.V.; Yuan, J.-M.; Hsieh, S.-C. Similarity and Froude Number Similitude in Kinematic and Hydrodynamic Features of Solitary Waves over Horizontal Bed. Processes 2021, 9, 1420. https://doi.org/10.3390/pr9081420
Lin C, Kao M-J, Yang J, Raikar RV, Yuan J-M, Hsieh S-C. Similarity and Froude Number Similitude in Kinematic and Hydrodynamic Features of Solitary Waves over Horizontal Bed. Processes. 2021; 9(8):1420. https://doi.org/10.3390/pr9081420
Chicago/Turabian StyleLin, Chang, Ming-Jer Kao, James Yang, Rajkumar Venkatesh Raikar, Juan-Ming Yuan, and Shih-Chun Hsieh. 2021. "Similarity and Froude Number Similitude in Kinematic and Hydrodynamic Features of Solitary Waves over Horizontal Bed" Processes 9, no. 8: 1420. https://doi.org/10.3390/pr9081420
APA StyleLin, C., Kao, M.-J., Yang, J., Raikar, R. V., Yuan, J.-M., & Hsieh, S.-C. (2021). Similarity and Froude Number Similitude in Kinematic and Hydrodynamic Features of Solitary Waves over Horizontal Bed. Processes, 9(8), 1420. https://doi.org/10.3390/pr9081420

