Magnetic Dipole and Thermal Radiation Impacts on Stagnation Point Flow of Micropolar Based Nanofluids over a Vertically Stretching Sheet: Finite Element Approach
Abstract
:1. Introduction
2. Mathematical Formulation (Magnetization+)
3. Numerical Procedure
4. Results and Discussion
5. Conclusions
- The velocity decelerate against the exceeding of ferromagnetic interaction parameter in both cases (opposing and assisting), while an opposite behavior is noted in micro rotation profile.
- The micro rotation and velocity enhance against the rising of microrotation concentration , injection , and buoyancy forces( parameters in assisting case, but the inverse behaviour is reported in opposing case.
- The microrotation and velocity reduce along growing of micropolar material, and suction () parameters in case of assisting, but opposite phenomena is seen in case of opposing.
- The distribution of temperature shows a rising along the growing of the Brownian motion, thermophoresis, Biot number, and radiation parameters, while the temperature declined with the elevation of Prandtl number, and rate of heat transfer is lower in assisting case.
- The tiny particles concentration distribution demonstrates a decrease along the raising of Prandtl number, and Brownian motion, while the non-dimensional concentration enhance with upgrading of radiation, Biot number, and thermophoresis parameters. Moreover, it is noted that the impact of opposing case on the non-dimensional concentration profile is high as compared to assisting case.
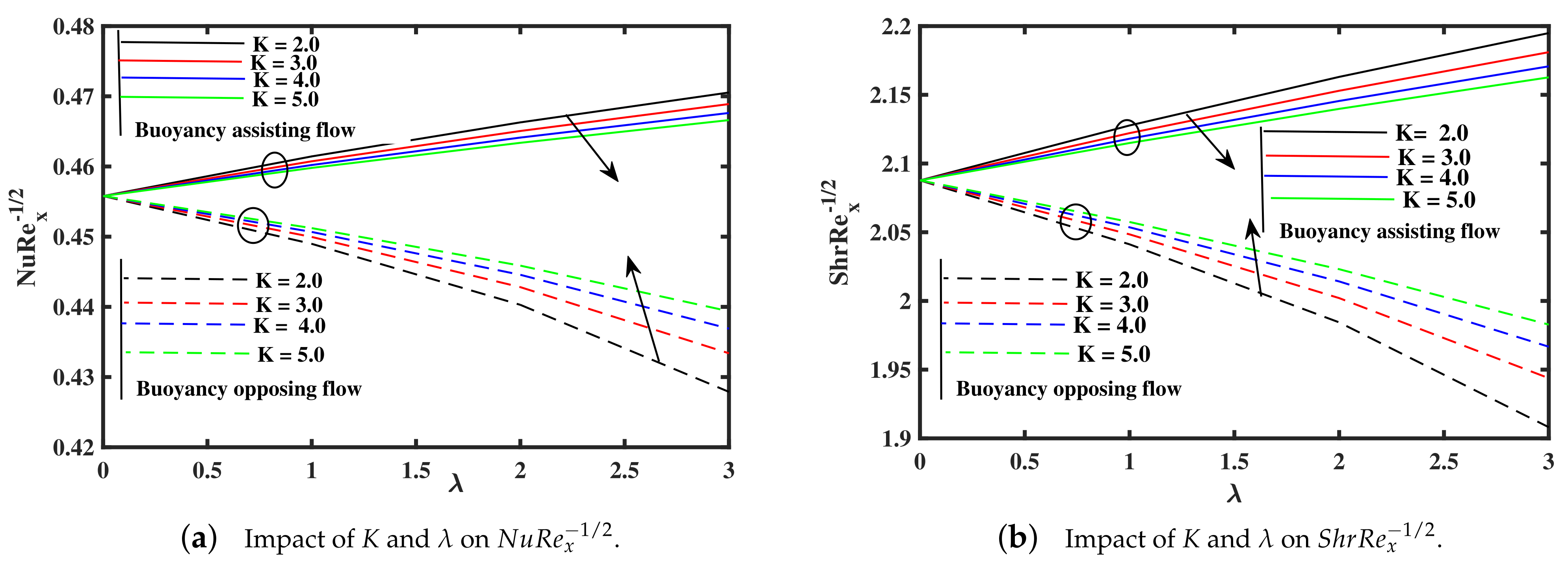
- The Sherwood and Nusselt numbers coefficient rate become smaller against higher K in assisting case, but opposing case exhibit inverse trend, and decreased by mean of rising in opposing case, but reverse phenomena is reported in assisting case.
- An increase in thermophoresis and material parameters, decline in Nusselt number is noted, and Sherwood number show an opposite affects along elevation of K.
- The skin friction factor rise, by mean of growing and K in assisting case, but opposing case exhibits an opposite trend. Additionally, the rate of couple stress increased against rising of and m in assisting case, but opposing case shows inverse behavior.
Author Contributions
Funding
Institutional Review Board Statement
Informed Consent Statement
Data Availability Statement
Conflicts of Interest
Nomenclature
| non-dimensional temperature | |
| curie temperature | |
| non-dimensional nanoparticles concentration | |
| Concentration at surface | |
| micro-rotation | |
| g | gravitational acceleration | 
| temperature away from the surface | |
| velocity of stretching sheet | |
| concentration away from the surface | |
| free stream | |
| skin friction | |
| Velocity components | |
| Nusselt number | |
| dynamic viscosity | |
| Sherwood number | |
| vortex viscosity, | |
| Brownian motion parameter | |
| spin gradient viscosity | |
| thermophoresis parameter | |
| Density of fluid | |
| Thermophoretic diffusion coefficient | |
| Brownian diffusion coefficient | |
| Base fluid heat capacity | |
| thermal diffusivity | |
| j | micro-inertia | 
| coefficient of thermal expansion | |
| coefficient of nanoparticle volumetric | |
| Stefan Boltzman constant | |
| b | distance | 
| pyromagnetic coefficient | |
| ferrohydrodynamic interaction variable | |
| mixed convection variable | |
| dimensionless Curie temperature | |
| Prandtl number | |
| suction/injection | |
| radiation variable | |
| Lewis number | |
| constant | |
| Eckert number | |
| C | Biot number | 
| local Renolds number | |
| K | material parameter. | 
References
- Hayat, T.; Ahmad, S.; Khan, M.I.; Alsaedi, A. Simulation of ferromagnetic nanomaterial flow of Maxwell fluid. Results Phys. 2018, 8, 34–40. [Google Scholar] [CrossRef]
- Godson, L.; Raja, B.; Lal, D.M.; Wongwises, S.E.A. Enhancement of heat transfer using nanofluids—An overview. Renew. Sustain. Energy Rev. 2010, 14, 629–641. [Google Scholar] [CrossRef]
- Ali, L.; Liu, X.; Ali, B.; Mujeed, S.; Abdal, S.; Khan, S.A. Analysis of Magnetic Properties of Nano-Particles Due to a Magnetic Dipole in Micropolar Fluid Flow over a Stretching Sheet. Coatings 2020, 10, 170. [Google Scholar] [CrossRef] [Green Version]
- Stephen, P.S. Low Viscosity Magnetic Fluid Obtained by the Colloidal Suspension of Magnetic Particles. U.S. Patent 3,215,572, 2 November 1965. [Google Scholar]
- Albrecht, T.; Bührer, C.; Fähnle, M.; Maier, K.; Platzek, D.; Reske, J. First observation of ferromagnetism and ferromagnetic domains in a liquid metal. Appl. Phys. A 1997, 65, 215–220. [Google Scholar] [CrossRef]
- Andersson, H.; Valnes, O. Flow of a heated ferrofluid over a stretching sheet in the presence of a magnetic dipole. Acta Mech. 1998, 128, 39–47. [Google Scholar] [CrossRef]
- Shliomis, M. Comment on “ferrofluids as thermal ratchets”. Phys. Rev. Lett. 2004, 92, 1–6. [Google Scholar] [CrossRef]
- Neuringer, J.L.; Rosensweig, R.E. Ferrohydrodynamics. Phys. Fluids 1964, 7, 1927–1937. [Google Scholar] [CrossRef]
- Bailey, R. Lesser known applications of ferrofluids. J. Magn. Magn. Mater. 1983, 39, 178–182. [Google Scholar] [CrossRef]
- Mehmood, Z.; Mehmood, R.; Iqbal, Z. Numerical investigation of micropolar Casson fluid over a stretching sheet with internal heating. Commun. Theor. Phys. 2017, 67, 443. [Google Scholar] [CrossRef]
- Eringen, A.C. Theory of micropolar fluids. J. Math. Mech. 1966, 16, 1–18. [Google Scholar] [CrossRef]
- Izadi, M.; Sheremet, M.A.; Mehryan, S.; Pop, I.; Öztop, H.F.; Abu-Hamdeh, N. MHD thermogravitational convection and thermal radiation of a micropolar nanoliquid in a porous chamber. Int. Commun. Heat Mass Transf. 2020, 110, 104409. [Google Scholar] [CrossRef]
- Izadi, M.; Mohammadi, S.A.; Mehryan, S.; Yang, T.; Sheremet, M.A. Thermogravitational convection of magnetic micropolar nanofluid with coupling between energy and angular momentum equations. Int. J. Heat Mass Transf. 2019, 145, 118748. [Google Scholar] [CrossRef]
- Hassanien, I.; Gorla, R. Heat transfer to a micropolar fluid from a non-isothermal stretching sheet with suction and blowing. Acta Mech. 1990, 84, 191–199. [Google Scholar] [CrossRef]
- Turkyilmazoglu, M. Flow of a micropolar fluid due to a porous stretching sheet and heat transfer. Int. J. Non-Linear Mech. 2016, 83, 59–64. [Google Scholar] [CrossRef]
- Abdal, S.; Ali, B.; Younas, S.; Ali, L.; Mariam, A. Thermo-Diffusion and Multislip Effects on MHD Mixed Convection Unsteady Flow of Micropolar Nanofluid over a Shrinking/Stretching Sheet with Radiation in the Presence of Heat Source. Symmetry 2020, 12, 49. [Google Scholar] [CrossRef] [Green Version]
- Seth, G.; Bhattacharyya, A.; Kumar, R.; Chamkha, A. Entropy generation in hydromagnetic nanofluid flow over a non-linear stretching sheet with Navier’s velocity slip and convective heat transfer. Phys. Fluids 2018, 30, 122003. [Google Scholar] [CrossRef]
- Seth, G.; Bhattacharyya, A.; Mishra, M. Study of partial slip mechanism on free convection flow of viscoelastic fluid past a nonlinearly stretching surface. Comput. Therm. Sci. 2018, 11, 107–119. [Google Scholar] [CrossRef]
- Crane, L.J. Flow past a stretching plate. Z. Angew. Math. Phys. ZAMP 1970, 21, 645–647. [Google Scholar] [CrossRef]
- Faraz, F.; Imran, S.M.; Ali, B.; Haider, S. Thermo-diffusion and multi-slip effect on an axisymmetric Casson flow over a unsteady radially stretching sheet in the presence of chemical reaction. Processes 2019, 7, 851. [Google Scholar] [CrossRef] [Green Version]
- Gupta, P.; Gupta, A. Heat and mass transfer on a stretching sheet with suction or blowing. Can. J. Chem. Eng. 1977, 55, 744–746. [Google Scholar] [CrossRef]
- Ashraf, M.; Bashir, S. Numerical simulation of MHD stagnation point flow and heat transfer of a micropolar fluid towards a heated shrinking sheet. Int. J. Numer. Methods Fluids 2012, 69, 384–398. [Google Scholar] [CrossRef]
- Gupta, D.; Kumar, L.; Bég, O.A.; Singh, B. Finite element analysis of melting effects on MHD stagnation-point non-Newtonian flow and heat transfer from a stretching/shrinking sheet. AIP Conf. Proc. 2019, 2061, 020024. [Google Scholar] [CrossRef]
- Ghasemi, S.; Hatami, M. Solar radiation effects on MHD stagnation point flow and heat transfer of a nanofluid over a stretching sheet. Case Stud. Therm. Eng. 2021, 25, 100898. [Google Scholar] [CrossRef]
- Zainal, N.A.; Nazar, R.; Naganthran, K.; Pop, I. Unsteady EMHD stagnation point flow over a stretching/shrinking sheet in a hybrid Al2O3-Cu/H2O nanofluid. Int. Commun. Heat Mass Transf. 2021, 123, 105205. [Google Scholar] [CrossRef]
- Chiam, T.C. Stagnation-point flow towards a stretching plate. J. Phys. Soc. Jpn. 1994, 63, 2443–2444. [Google Scholar] [CrossRef]
- Amjad, M.; Zehra, I.; Nadeem, S.; Abbas, N. Thermal analysis of Casson micropolar nanofluid flow over a permeable curved stretching surface under the stagnation region. J. Therm. Anal. Calorim. 2021, 143, 2485–2497. [Google Scholar] [CrossRef]
- Izadi, M.; Pour, S.H.; Yasuri, A.K.; Chamkha, A.J. Mixed convection of a nanofluid in a three-dimensional channel. J. Therm. Anal. Calorim. 2019, 136, 2461–2475. [Google Scholar] [CrossRef]
- Izadi, M.; Oztop, H.F.; Sheremet, M.A.; Mehryan, S.; Abu-Hamdeh, N. Coupled FHD–MHD free convection of a hybrid nanoliquid in an inversed T-shaped enclosure occupied by partitioned porous media. Numer. Heat Transf. Part A Appl. 2019, 76, 479–498. [Google Scholar] [CrossRef]
- Ali, B.; Naqvi, R.A.; Ali, L.; Abdal, S.; Hussain, S. A comparative description on time-dependent rotating magnetic transport of a water base liquid H2O with hybrid nano-materials Al2O3-Cu and Al2O3-TiO2 over an extending sheet using Buongiorno model: Finite element approach. Chin. J. Phys. 2021, 70, 125–139. [Google Scholar] [CrossRef]
- Ali, B.; Nie, Y.; Hussain, S.; Habib, D.; Abdal, S. Insight into the dynamics of fluid conveying tiny particles over a rotating surface subject to Cattaneo–Christov heat transfer, Coriolis force, and Arrhenius activation energy. Comput. Math. Appl. 2021, 93, 130–143. [Google Scholar] [CrossRef]
- Choi, S.U.; Eastman, J.A. Enhancing Thermal Conductivity of Fluids with Nanoparticles; Technical Report; Argonne National Lab.: Lemont, IL, USA, 1995. [Google Scholar]
- Izadi, M.; Javanahram, M.; Zadeh, S.M.H.; Jing, D. Hydrodynamic and heat transfer properties of magnetic fluid in porous medium considering nanoparticle shapes and magnetic field-dependent viscosity. Chin. J. Chem. Eng. 2020, 28, 329–339. [Google Scholar] [CrossRef]
- Izadi, M.; Shahmardan, M.; Rashidi, A. Study on thermal and hydrodynamic indexes of a nanofluid flow in a micro heat sink. Transp. Phenom Nano Micro Scales 2013, 1, 53–63. [Google Scholar]
- Bachok, N.; Ishak, A.; Pop, I. Unsteady boundary-layer flow and heat transfer of a nanofluid over a permeable stretching/shrinking sheet. Int. J. Heat Mass Transf. 2012, 55, 2102–2109. [Google Scholar] [CrossRef]
- Wen, D.; Lin, G.; Vafaei, S.; Zhang, K. Review of nanofluids for heat transfer applications. Particuology 2009, 7, 141–150. [Google Scholar] [CrossRef]
- Ur Rasheed, H.; Saleem, S.; Islam, S.; Khan, Z.; Khan, W.; Firdous, H.; Tariq, A. Effects of Joule Heating and Viscous Dissipation on Magnetohydrodynamic Boundary Layer Flow of Jeffrey Nanofluid over a Vertically Stretching Cylinder. Coatings 2021, 11, 353. [Google Scholar] [CrossRef]
- Ali, B.; Pattnaik, P.; Naqvi, R.A.; Waqas, H.; Hussain, S. Brownian motion and thermophoresis effects on bioconvection of rotating Maxwell nanofluid over a Riga plate with Arrhenius activation energy and Cattaneo-Christov heat flux theory. Therm. Sci. Eng. Prog. 2021, 23, 100863. [Google Scholar] [CrossRef]
- Sadiq, K.; Jarad, F.; Siddique, I.; Ali, B. Soret and Radiation Effects on Mixture of Ethylene Glycol-Water (50%-50%) Based Maxwell Nanofluid Flow in an Upright Channel. Complexity 2021, 2021, 5927070. [Google Scholar] [CrossRef]
- Ali, B.; Hussain, S.; Shafique, M.; Habib, D.; Rasool, G. Analyzing the interaction of hybrid base liquid C2H6O2-H2O with hybrid nano-material Ag-MoS2 for unsteady rotational flow referred to an elongated surface using modified Buongiorno’s model: FEM simulation. Math. Comput. Simul. 2021, 190, 57–74. [Google Scholar] [CrossRef]
- Ray, A.K.; Vasu, B.; Bég, O.A.; Gorla, R.S.; Murthy, P. Homotopy semi-numerical modeling of non-Newtonian nanofluid transport external to multiple geometries using a revised Buongiorno Model. Inventions 2019, 4, 54. [Google Scholar] [CrossRef] [Green Version]
- Ali, L.; Liu, X.; Ali, B.; Mujeed, S.; Abdal, S.; Mutahir, A. The Impact of Nanoparticles Due to Applied Magnetic Dipole in Micropolar Fluid Flow Using the Finite Element Method. Symmetry 2020, 12, 520. [Google Scholar] [CrossRef] [Green Version]
- Majeed, A.; Zeeshan, A.; Hayat, T. Analysis of magnetic properties of nanoparticles due to applied magnetic dipole in aqueous medium with momentum slip condition. Neural Comput. Appl. 2019, 31, 189–197. [Google Scholar] [CrossRef]
- Khan, S.A.; Nie, Y.; Ali, B. Stratification and Buoyancy Effect of Heat Transportation in Magnetohydrodynamics Micropolar Fluid Flow Passing over a Porous Shrinking Sheet Using the Finite Element Method. J. Nanofluids 2019, 8, 1640–1647. [Google Scholar] [CrossRef]
- Khan, S.A.; Nie, Y.; Ali, B. Multiple slip effects on MHD unsteady viscoelastic nano-fluid flow over a permeable stretching sheet with radiation using the finite element method. SN Appl. Sci. 2020, 2, 1–14. [Google Scholar] [CrossRef] [Green Version]
- Hayat, T.; Ahmad, S.; Khan, M.I.; Alsaedi, A. Exploring magnetic dipole contribution on radiative flow of ferromagnetic Williamson fluid. Results Phys. 2018, 8, 545–551. [Google Scholar] [CrossRef]
- Ali, B.; Siddique, I.; Khan, I.; Masood, B.; Hussain, S. Magnetic dipole and thermal radiation effects on hybrid base micropolar CNTs flow over a stretching sheet: Finite element method approach. Results Phys. 2021, 25, 104145. [Google Scholar] [CrossRef]
- Majeed, A.; Zeeshan, A.; Ellahi, R. Unsteady ferromagnetic liquid flow and heat transfer analysis over a stretching sheet with the effect of dipole and prescribed heat flux. J. Mol. Liq. 2016, 223, 528–533. [Google Scholar] [CrossRef]
- Abdal, S.; Hussain, S.; Ahmad, F.; Ali, B. Hydromagnetic Stagnation Point Flow OF Micropolar Fluids Due To A Porous Stretching Surface With Radiation And Viscous Dissipation. Sci. Int. 2015, 27, 3965–3971. [Google Scholar]
- Ali, B.; Yu, X.; Sadiq, M.T.; Rehman, A.U.; Ali, L. A Finite Element Simulation of the Active and Passive Controls of the MHD Effect on an Axisymmetric Nanofluid Flow with Thermo-Diffusion over a Radially Stretched Sheet. Processes 2020, 8, 207. [Google Scholar] [CrossRef] [Green Version]
- Jyothi, K.; Reddy, P.S.; Reddy, M.S. Carreau nanofluid heat and mass transfer flow through wedge with slip conditions and nonlinear thermal radiation. J. Braz. Soc. Mech. Sci. Eng. 2019, 41, 1–15. [Google Scholar] [CrossRef]
- Reddy, J.N. Solutions Manual for an Introduction to the Finite Element Method; McGraw-Hill: New York, NY, USA, 1993; p. 41. [Google Scholar]
- Ali, B.; Naqvi, R.A.; Nie, Y.; Khan, S.A.; Sadiq, M.T.; Rehman, A.U.; Abdal, S. Variable Viscosity Effects on Unsteady MHD an Axisymmetric Nanofluid Flow over a Stretching Surface with Thermo-Diffusion: FEM Approach. Symmetry 2020, 12, 234. [Google Scholar] [CrossRef] [Green Version]
- Ali, L.; Liu, X.; Ali, B.; Mujeed, S.; Abdal, S. Finite Element Simulation of Multi-Slip Effects on Unsteady MHD Bioconvective Micropolar nanofluid Flow over a Sheet with Solutal and Thermal Convective Boundary Conditions. Coatings 2019, 9, 842. [Google Scholar] [CrossRef]
- Ali, B.; Nie, Y.; Khan, S.A.; Sadiq, M.T.; Tariq, M. Finite element simulation of multiple slip effects on MHD unsteady maxwell nanofluid flow over a permeable stretching sheet with radiation and thermo-diffusion in the presence of chemical reaction. Processes 2019, 7, 628. [Google Scholar] [CrossRef] [Green Version]
- Ishak, A.; Nazar, R.; Pop, I. Mixed convection boundary layers in the stagnation-point flow toward a stretching vertical sheet. Meccanica 2006, 41, 509–518. [Google Scholar] [CrossRef] [Green Version]
- Mahapatra, T.R.; Gupta, A. Heat transfer in stagnation-point flow towards a stretching sheet. Heat Mass Transf. 2002, 38, 517–521. [Google Scholar] [CrossRef]
- Khan, Z.H.; Khan, W.A.; Qasim, M.; Shah, I.A. MHD stagnation point ferrofluid flow and heat transfer toward a stretching sheet. IEEE Trans. Nanotechnol. 2013, 13, 35–40. [Google Scholar] [CrossRef]
- Nazar, R.; Amin, N.; Filip, D.; Pop, I. Unsteady boundary layer flow in the region of the stagnation point on a stretching sheet. Int. J. Eng. Sci. 2004, 42, 1241–1253. [Google Scholar] [CrossRef] [Green Version]
- Qasim, M.; Khan, I.; Shafie, S. Heat transfer in a micropolar fluid over a stretching sheet with Newtonian heating. PLoS ONE 2013, 8, e59393. [Google Scholar] [CrossRef] [Green Version]
- Tripathy, R.; Dash, G.; Mishra, S.; Hoque, M.M. Numerical analysis of hydromagnetic micropolar fluid along a stretching sheet embedded in porous medium with non-uniform heat source and chemical reaction. Eng. Sci. Technol. Int. J. 2016, 19, 1573–1581. [Google Scholar] [CrossRef] [Green Version]














| n | |||||
|---|---|---|---|---|---|
| 40 | 1.746747 | 1.028292 | 0.002454 | 0.036199 | 0.017874 | 
| 60 | 1.746657 | 1.028291 | 0.002451 | 0.036194 | 0.017859 | 
| 100 | 1.746611 | 1.028289 | 0.002453 | 0.036191 | 0.017855 | 
| 130 | 1.746598 | 1.028289 | 0.002453 | 0.036191 | 0.017855 | 
| 200 | 1.746592 | 1.028289 | 0.002453 | 0.036190 | 0.017854 | 
| 300 | 1.746588 | 1.028289 | 0.002453 | 0.036190 | 0.017854 | 
| 400 | 1.746587 | 1.028289 | 0.002453 | 0.036190 | 0.017854 | 
| R | Ref. [56] | Ref. [57] | Ref. [58] | Ref. [59] | FEM (Current Outcomes) | 
|---|---|---|---|---|---|
| 0.1 | −0.9694 | −0.9694 | −0.96938 | −0.9694 | −0.969384 | 
| 0.2 | −0.9181 | −0.9181 | −0.91810 | −0.9181 | −0.918104 | 
| 0.5 | −0.6673 | −0.6673 | −0.66726 | −0.6673 | −0.667262 | 
| 2.0 | 2.0175 | 2.0175 | 2.01750 | 2.0176 | 2.017506 | 
| 3.0 | 4.7294 | 4.7293 | 4.72928 | 4.7296 | 4.729308 | 
| K | R | Ref. [57] | Ref. [60] | Ref. [61] | FEM (Our Results) | |
|---|---|---|---|---|---|---|
| 0.0 | 0.0 | - | −1.000000 | −1.000172 | −1.000006 | −0.7602798 | 
| 1.0 | - | - | −1.367872 | −1.367902 | −1.367994 | −0.8217714 | 
| 2.0 | - | - | −1.621225 | −1.621938 | −1.621573 | −0.8495453 | 
| 4.0 | - | - | −2.004133 | −2.007341 | −2.005420 | −0.8781049 | 
| 0.0 | 0.1 | −0.777 | - | - | −0.969384 | −0.7767970 | 
| - | 0.2 | −0.797 | - | - | −0.918104 | −0.7971178 | 
| - | 0.5 | −0.863 | - | - | −0.667262 | −0.8647908 | 
| - | 2.0 | −1.171 | - | - | 2.0175063 | −1.1781084 | 
| - | 3.0 | −1.341 | - | - | 4.7293083 | −1.3519641 | 
| Nt | Ref. [60] | FEM (Our Results) | ||
|---|---|---|---|---|
| 0.1 | 0.9524 | 2.1294 | 0.952363 | 2.129370 | 
| 0.2 | 0.6932 | 2.2740 | 0.693164 | 2.273999 | 
| 0.3 | 0.5201 | 2.5286 | 0.520071 | 2.528613 | 
| 0.4 | 0.4026 | 2.7952 | 0.402574 | 2.795141 | 
| 0.5 | 0.3211 | 3.0351 | 0.321051 | 3.035102 | 
| Publisher’s Note: MDPI stays neutral with regard to jurisdictional claims in published maps and institutional affiliations. | 
© 2021 by the authors. Licensee MDPI, Basel, Switzerland. This article is an open access article distributed under the terms and conditions of the Creative Commons Attribution (CC BY) license (https://creativecommons.org/licenses/by/4.0/).
Share and Cite
Khan, S.A.; Ali, B.; Eze, C.; Lau, K.T.; Ali, L.; Chen, J.; Zhao, J. Magnetic Dipole and Thermal Radiation Impacts on Stagnation Point Flow of Micropolar Based Nanofluids over a Vertically Stretching Sheet: Finite Element Approach. Processes 2021, 9, 1089. https://doi.org/10.3390/pr9071089
Khan SA, Ali B, Eze C, Lau KT, Ali L, Chen J, Zhao J. Magnetic Dipole and Thermal Radiation Impacts on Stagnation Point Flow of Micropolar Based Nanofluids over a Vertically Stretching Sheet: Finite Element Approach. Processes. 2021; 9(7):1089. https://doi.org/10.3390/pr9071089
Chicago/Turabian StyleKhan, Shahid Ali, Bagh Ali, Chiak Eze, Kwun Ting Lau, Liaqat Ali, Jingtan Chen, and Jiyun Zhao. 2021. "Magnetic Dipole and Thermal Radiation Impacts on Stagnation Point Flow of Micropolar Based Nanofluids over a Vertically Stretching Sheet: Finite Element Approach" Processes 9, no. 7: 1089. https://doi.org/10.3390/pr9071089
APA StyleKhan, S. A., Ali, B., Eze, C., Lau, K. T., Ali, L., Chen, J., & Zhao, J. (2021). Magnetic Dipole and Thermal Radiation Impacts on Stagnation Point Flow of Micropolar Based Nanofluids over a Vertically Stretching Sheet: Finite Element Approach. Processes, 9(7), 1089. https://doi.org/10.3390/pr9071089
 
         
                                                




 
       