Synergistic Dual Catalytic System and Kinetics for the Alcoholysis of Poly(Lactic Acid)
Abstract
1. Introduction
2. Materials and Methods
2.1. Materials
2.2. Apparatus and Procedure
2.3. GC and NMR
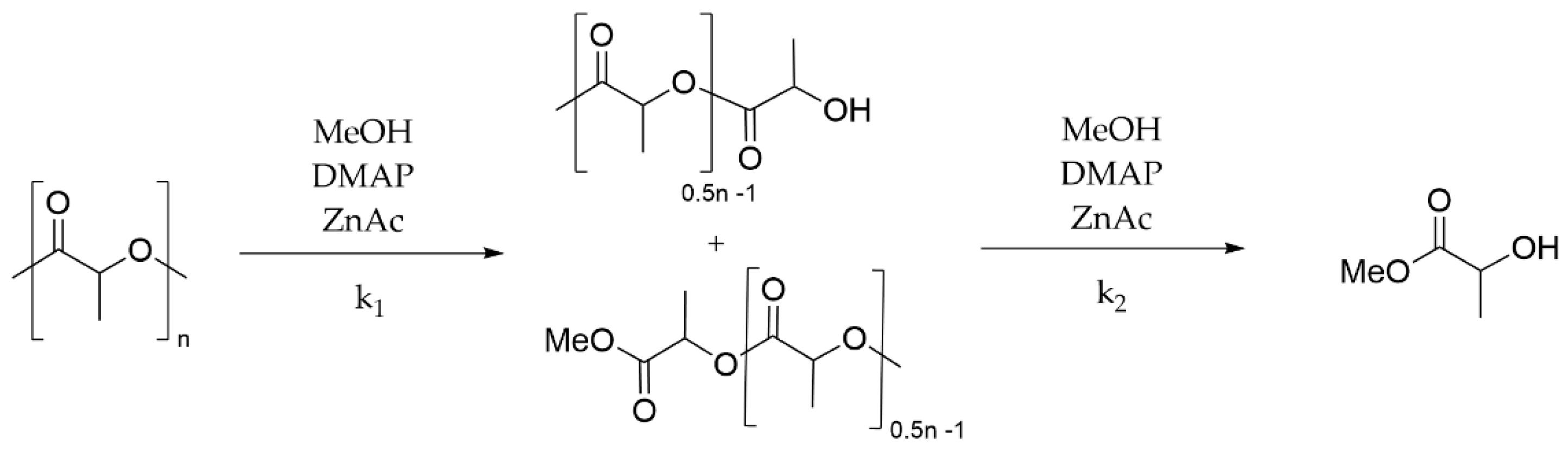
2.4. Kinetic Modelling
3. Results
3.1. Mixed Catalyst Methanolysis
3.2. Rate of Production of Alkyl Lactate
3.3. Conversion, Selectivity, and Yield of Methyl Lactate during PLA Methanolysis
3.4. Arrhenius Temperature-Dependent Parameters
4. Discussion
5. Conclusions
Author Contributions
Funding
Institutional Review Board Statement
Informed Consent Statement
Data Availability Statement
Acknowledgments
Conflicts of Interest
References
- World Economic Forum. The New Plastics Economy Rethinking the Future of Plastics; World Economic Forum: Colony, Switzerland, 2016; pp. 1–36. [Google Scholar]
- Geyer, R. Production, Use, and Fate of Synthetic Polymers; Elsevier BV: Amsterdam, The Netherlands, 2020; pp. 13–32. ISBN 9780128178805. [Google Scholar]
- Geyer, R.; Jambeck, J.R.; Law, K.L. Production, use, and fate of all plastics ever made. Sci. Adv. 2017, 3, e1700782. [Google Scholar] [CrossRef] [PubMed]
- Hahladakis, J.N.; Iacovidou, E. Closing the loop on plastic packaging materials: What is quality and how does it affect their circularity? Sci. Total Environ. 2018, 630, 1394–1400. [Google Scholar] [CrossRef] [PubMed]
- Liu, Z.; Adams, M.; Cote, R.P.; Chen, Q.; Wu, R.; Wen, Z.; Liu, W.; Dong, L. How does circular economy respond to greenhouse gas emissions reduction: An analysis of Chinese plastic recycling industries. Renew. Sustain. Energy Rev. 2018, 91, 1162–1169. [Google Scholar] [CrossRef]
- Dilkes-Hoffman, L.S.; Pratt, S.; Lant, P.A.; Laycock, B. The Role of Biodegradable Plastic in Solving Plastic Solid Waste Accumulation. In Plastics to Energy; Elsevier BV: Amsterdam, The Netherlands, 2019; pp. 469–505. ISBN 9780128131404. [Google Scholar]
- Eriksen, M.K.; Christiansen, J.D.; Daugaard, A.E.; Astrup, T.F. Closing the loop for PET, PE and PP waste from households: Influence of material properties and product design for plastic recycling. Waste Manag. 2019, 96, 75–85. [Google Scholar] [CrossRef]
- Ragaert, K.; Delva, L.; van Geem, K. Mechanical and chemical recycling of solid plastic waste. Waste Manag. 2017, 69, 24–58. [Google Scholar] [CrossRef]
- Sudhakar, M.; Trishul, A.; Doble, M.; Kumar, K.S.; Jahan, S.S.; Inbakandan, D.; Viduthalai, R.; Umadevi, V.; Murthy, P.S.; Venkatesan, R. Biofouling and biodegradation of polyolefins in ocean waters. Polym. Degrad. Stab. 2007, 92, 1743–1752. [Google Scholar] [CrossRef]
- Zhang, C.; Chen, X.; Wang, J.; Tan, L. Toxic effects of microplastic on marine microalgae Skeletonema costatum: Interactions between microplastic and algae. Environ. Pollut. 2017, 220, 1282–1288. [Google Scholar] [CrossRef]
- Sekerci, Y.; Petrovskii, S. Global Warming Can Lead to Depletion of Oxygen by Disrupting Phytoplankton Photosynthesis: A Mathematical Modelling Approach. Geosciences 2018, 8, 201. [Google Scholar] [CrossRef]
- Confente, I.; Scarpi, D.; Russo, I. Marketing a new generation of bio-plastics products for a circular economy: The role of green self-identity, self-congruity, and perceived value. J. Bus. Res. 2020, 112, 431–439. [Google Scholar] [CrossRef]
- Haider, T.P.; Völker, C.; Kramm, J.; Landfester, K.; Wurm, F.R. Plastics of the Future? The Impact of Biodegradable Polymers on the Environment and on Society. Angew. Chem. Int. Ed. 2019, 58, 50–62. [Google Scholar] [CrossRef] [PubMed]
- European Bioplastics. Bioplastics Facts and Figures; European Bioplastics: Berlin, Germany, 2019. [Google Scholar]
- Parker, K.; Garancher, J.-P.; Shah, S.; Fernyhough, A. Expanded polylactic acid—An eco-friendly alternative to polystyrene foam. J. Cell. Plast. 2011, 47, 233–243. [Google Scholar] [CrossRef]
- California Department of Resources Recycling and Recovery. PLA and PHA Biodegradation in the Marine Environment; Department of Resources Recycling and Recovery: Sacramento, CA, USA, 2012; p. 1.
- Tokiwa, Y.; Calabia, B.P. Biodegradability and Biodegradation of Polyesters. J. Polym. Environ. 2007, 15, 259–267. [Google Scholar] [CrossRef]
- Shogren, R.L.; Doane, W.M.; Garlotta, D.; Lawton, J.W.; Willett, J.L. Biodegradation of starch/polylactic acid/poly(hydroxyester-ether) composite bars in soil. Polym. Degrad. Stab. 2003, 79, 405–411. [Google Scholar] [CrossRef]
- Nampoothiri, K.M.; Nair, N.R.; John, R.P. An overview of the recent developments in polylactide (PLA) research. Bioresour. Technol. 2010, 101, 8493–8501. [Google Scholar] [CrossRef]
- Niaounakis, M. Recycling of biopolymers—The patent perspective. Eur. Polym. J. 2019, 114, 464–475. [Google Scholar] [CrossRef]
- Lamberti, F.M.; Román-Ramírez, L.A.; Wood, J. Recycling of Bioplastics: Routes and Benefits. J. Polym. Environ. 2020, 28, 2551–2571. [Google Scholar] [CrossRef]
- Lamberti, F.M.; Romaán-Ramírez, L.; Mckeown, P.; Jones, M.; Wood, J. Kinetics of Alkyl Lactate Formation from the Alcoholysis of Poly(Lactic Acid). Processes 2020, 8, 738. [Google Scholar] [CrossRef]
- Román-Ramírez, L.A.; McKeown, P.; Jones, M.D.; Wood, J. Kinetics of Methyl Lactate Formation from the Transesterification of Polylactic Acid Catalyzed by Zn(II) Complexes. ACS Omega 2020, 5, 5556–5564. [Google Scholar] [CrossRef] [PubMed]
- Román-Ramírez, L.A.; McKeown, P.; Jones, M.D.; Wood, J. Poly(lactic acid) Degradation into Methyl Lactate Catalyzed by a Well-Defined Zn(II) Complex. ACS Catal. 2019, 9, 409–416. [Google Scholar] [CrossRef]
- Calvo-Flores, F.G.; Monteagudo-Arrebola, M.J.; Dobado, J.A.; Isac-García, J. Green and Bio-Based Solvents. Top. Curr. Chem. 2018, 376, 1–40. [Google Scholar] [CrossRef] [PubMed]
- Biddy, M.J.; Scarlata, C.J.; Kinchin, C.M. Chemicals from Biomass: A Market Assessment of Bioproducts with Near-Term Potential; NREL: Golden, CO, USA, 2016. [CrossRef]
- De Clercq, R.; Dusselier, M.; Poleunis, C.; Debecker, D.P.; Giebeler, L.; Oswald, S.; Makshina, E.; Sels, B.F. Titania-Silica Catalysts for Lactide Production from Renewable Alkyl Lactates: Structure–Activity Relations. ACS Catal. 2018, 8, 8130–8139. [Google Scholar] [CrossRef]
- De Clercq, R.; Dusselier, M.; Makshina, E.; Sels, B.F. Catalytic Gas-Phase Production of Lactide from Renewable Alkyl Lactates. Angew. Chem. Int. Ed. 2018, 57, 3074–3078. [Google Scholar] [CrossRef] [PubMed]
- McKeown, P.; McCormick, S.N.; Mahon, M.F.; Jones, M.D. Highly active Mg(ii) and Zn(ii) complexes for the ring opening polymerisation of lactide. Polym. Chem. 2018, 9, 5339–5347. [Google Scholar] [CrossRef]
- Alberti, C.; Enthaler, S. Depolymerization of End-of-Life Poly(lactide) to Lactide via Zinc-Catalysis. ChemistrySelect 2020, 5, 14759–14763. [Google Scholar] [CrossRef]
- Sánchez, A.C.; Collinson, S.R. The selective recycling of mixed plastic waste of polylactic acid and polyethylene terephthalate by control of process conditions. Eur. Polym. J. 2011, 47, 1970–1976. [Google Scholar] [CrossRef]
- Wang, C.-S.; Sun, Y.-M.; Hu, L.-C. Poly(ethylene naphthalate) formation 1. transesterification of dimethylnaphthalate with ethylene glycol. J. Polym. Res. 1994, 1, 131–139. [Google Scholar] [CrossRef]
- Aiemsa-Art, C.; Phanwiroj, P.; Potiyaraj, P. Thermal and Morphological Properties of Polyurethane Foams Prepared from Microwave-assisted Glycolyzed Products of PET Bottles Wastes. Energy Procedia 2011, 9, 428–434. [Google Scholar] [CrossRef][Green Version]
- Sherwood, J. Closed-Loop Recycling of Polymers Using Solvents: Remaking plastics for a circular economy. Johns. Matthey Technol. Rev. 2019, 64, 4–15. [Google Scholar] [CrossRef]
- Alberti, C.; Damps, N.; Meißner, R.R.R.; Enthaler, S. Depolymerization of End-of-Life Poly(lactide) via 4-Dimethylaminopyridine-Catalyzed Methanolysis. ChemistrySelect 2019, 4, 6845–6848. [Google Scholar] [CrossRef]
- Alberti, C.; Scheliga, F.; Enthaler, S. Depolymerization of End-of-Life Poly(bisphenol A carbonate) via Transesterification with Acetic Anhydride as Depolymerization Reagent. ChemistrySelect 2019, 4, 2639–2643. [Google Scholar] [CrossRef]
- Otera, J. Transesterification. Chem. Rev. 1993, 93, 1449–1470. [Google Scholar] [CrossRef]
- Zhong, C.; Shi, X. When Organocatalysis Meets Transition-Metal Catalysis. Eur. J. Org. Chem. 2010, 16, 2999–3025. [Google Scholar] [CrossRef]
- Bin Kim, U.; Jung, D.J.; Jeon, H.J.; Rathwell, K.; Lee, S.-G. Synergistic Dual Transition Metal Catalysis. Chem. Rev. 2020, 120, 13382–13433. [Google Scholar] [CrossRef]
- Romiti, F.; del Pozo, J.; Paioti, P.H.S.; Gonsales, S.A.; Li, X.; Hartrampf, F.W.W.; Hoveyda, A.H. Different Strategies for Designing Dual-Catalytic Enantioselective Processes: From Fully Cooperative to Non-cooperative Systems. J. Am. Chem. Soc. 2019, 141, 17952–17961. [Google Scholar] [CrossRef] [PubMed]
- Petrus, R.; Bykowski, D.; Sobota, P. Solvothermal Alcoholysis Routes for Recycling Polylactide Waste as Lactic Acid Esters. ACS Catal. 2016, 6, 5222–5235. [Google Scholar] [CrossRef]
- Liu, F.; Guo, J.; Zhao, P.; Gu, Y.; Gao, J.; Liu, M. Facile synthesis of DBU-based protic ionic liquid for efficient alcoholysis of waste poly(lactic acid) to lactate esters. Polym. Degrad. Stab. 2019, 167, 124–129. [Google Scholar] [CrossRef]
- Jehanno, C.; Pérez-Madrigal, M.M.; Demarteau, J.; Sardon, H.; Dove, A.P. Organocatalysis for depolymerisation. Polym. Chem. 2019, 10, 172–186. [Google Scholar] [CrossRef]
- Xu, S.; Held, I.; Kempf, B.; Mayr, H.; Steglich, W.; Zipse, H. The DMAP-Catalyzed Acetylation of Alcohols—A Mechanistic Study (DMAP=4-(Dimethylamino)pyridine). Chem. A Eur. J. 2005, 11, 4751–4757. [Google Scholar] [CrossRef] [PubMed]
- Thomas, C.; Bibal, B. Hydrogen-bonding organocatalysts for ring-opening polymerization. Green Chem. 2014, 16, 1687–1699. [Google Scholar] [CrossRef]
- Reinoso, D.M.; Ferreira, M.L.; Tonetto, G.M. Study of the reaction mechanism of the transesterification of triglycerides catalyzed by zinc carboxylates. J. Mol. Catal. A Chem. 2013, 377, 29–41. [Google Scholar] [CrossRef]
- Reinoso, D.M.; Damiani, D.E.; Tonetto, G.M. Zinc carboxylic salts used as catalyst in the biodiesel synthesis by esterification and transesterification: Study of the stability in the reaction medium. Appl. Catal. A Gen. 2012, 449, 88–95. [Google Scholar] [CrossRef]
- Ishioka, T.; Murata, A.; Kitagawa, Y.; Nakamura, K.T. Zinc(II) Acetate Dihydrate. Acta Crystallogr. Sect. C Cryst. Struct. Commun. 1997, 53, 1029–1031. [Google Scholar] [CrossRef]
- Pereira, C.S.M.; Silva, V.M.T.M.; Rodrigues, A.E. Ethyl lactate as a solvent: Properties, applications and production processes—A review. Green Chem. 2011, 13, 2658–2671. [Google Scholar] [CrossRef]
- Dorosz, U.; Barteczko, N.; Latos, P.; Erfurt, K.; Pankalla, E.; Chrobok, A. Highly Efficient Biphasic System for the Synthesis of Alkyl Lactates in the Presence of Acidic Ionic Liquids. Catalysts 2020, 10, 37. [Google Scholar] [CrossRef]
- Nava, R.; Halachev, T.; Rodríguez, R.; Castaño, V. Immobilized zinc acetate complex on the surface of silica–alumina gel modified by succinic acid: An efficient catalyst for the esterification of DMT. Microporous Mesoporous Mater. 2005, 78, 91–96. [Google Scholar] [CrossRef]
- Shaikh, I.R. Organocatalysis: Key Trends in Green Synthetic Chemistry, Challenges, Scope towards Heterogenization, and Importance from Research and Industrial Point of View. J. Catal. 2014, 2014, 1–35. [Google Scholar] [CrossRef]







| Catalyst (Total 0.1 g, 5 wt %) | Final Time (min) | Final MeLa Conversion (%) | Time Taken to Reach 86% MeLa Conversion (min) | Initial Rate of Production of MeLa (g mL−1 min−1) | |
|---|---|---|---|---|---|
| DMAP | ZnAc | ||||
| 0.1 | 0 | 300 | 86 | 300 | 2.45 × 10−4 |
| 0.075 | 0.025 | 80 | 94 | 63 | 8.20 × 10−4 |
| 0.05 | 0.05 | 80 | 97 | 57 | 8.50 × 10−4 |
| 0.025 | 0.075 | 120 | 99 | 59 | 8.38 × 10−4 |
| 0 | 0.1 | 180 | 89 | 168 | 5.53 × 10−4 |
| Stirring Speed (rpm) | Final Time (min) | Final MeLa Conversion (%) | Time Taken to Reach 86% MeLa Conversion (min) | Initial Rate of Production of MeLa (g mL−1 min−1) |
|---|---|---|---|---|
| 0 | 120 | 93 | 92 | 7.15 × 10−4 |
| 200 | 180 | 87 | 175 | 4.95 × 10−4 |
| 300 | 120 | 99 | 59 | 8.38 × 10−4 |
| 400 | 120 | 95 | 96 | 6.27 × 10−4 |
| 700 | 90 | 93 | 78 | 7.30 × 10−4 |
| Alcohol | Temperature (°C) | Final Time (min) | Final AL Conversion (%) | Initial Rate of Production of AL (g mL−1 min−1) |
|---|---|---|---|---|
| MeOH | 130 | 80 | 97 | 8.10 × 10−4 |
| MeOH | 130 | 120 | 99 | 7.37 × 10−4 |
| MeOH | 120 | 140 | 99 | 5.27 × 10−4 |
| MeOH | 120 | 120 | 96 | 6.30 × 10−4 |
| MeOH | 110 | 180 | 96 | 4.45 × 10−4 |
| MeOH | 110 | 240 | 90 | 4.18 × 10−4 |
| MeOH | 100 | 420 | 83 | 2.43 × 10−4 |
| MeOH | 100 | 420 | 81 | 2.43 × 10−4 |
| EtOH | 130 | 180 | 99 | 5.15 × 10−4 |
| EtOH | 130 | 180 | 99 | 4.93 × 10−4 |
| EtOH | 120 | 240 | 99 | 4.50 × 10−4 |
| EtOH | 120 | 240 | 99 | 4.58 × 10−4 |
| EtOH | 110 | 420 | 78 | 1.81 × 10−4 |
| Experiment Number | Temperature (°C) | XInt (%) | SMeLa (%) | YMeLa (%) | Average XInt (%) | Average SMeLa (%) | Average YMeLa (%) |
|---|---|---|---|---|---|---|---|
| 1 | 130 | 100 | 72 | 72 | 99.5 | 70.0 | 69.5 |
| 2 | 130 | 99 | 68 | 67 | |||
| 3 | 120 | 93 | 55 | 51 | 95.0 | 56.5 | 53.5 |
| 4 | 120 | 97 | 58 | 56 | |||
| 5 | 110 | 90 | 50 | 45 | 90.0 | 47.3 | 42.7 |
| 6 | 110 | 87 | 44 | 38 | |||
| 7 | 110 | 93 | 48 | 45 | |||
| 8 | 100 | 70 | 36 | 25 | 79.0 | 40.0 | 32.0 |
| 9 | 100 | 90 | 48 | 43 | |||
| 10 | 100 | 77 | 36 | 28 |
| Experiment Number | Temperature (°C) | k1 (min−1) | k2 (min−1) |
|---|---|---|---|
| 1 | 130 | 0.0858 ± 0.0078 | 0.0274 ± 0.0017 |
| 2 | 130 | 0.0445 ± 0.0020 | 0.0275 ± 0.0007 |
| 3 | 120 | 0.0717 ± 0.0137 | 0.0175 ± 0.0024 |
| 4 | 120 | 0.0378 ± 0.0013 | 0.0203 ± 0.0005 |
| 5 | 110 | 0.0289 ± 0.0028 | 0.0143 ± 0.0010 |
| 6 | 110 | 0.0224 ± 0.0013 | 0.0111 ± 0.0004 |
| 7 | 110 | 0.0217 ± 0.0021 | 0.0122 ± 0.0010 |
| 8 | 100 | 0.0114 ± 0.0015 | 0.0079 ± 0.0008 |
| 9 | 100 | 0.0152 ± 0.0017 | 0.0103 ± 0.0006 |
| 10 | 100 | 0.0138 ± 0.0016 | 0.0070 ± 0.0005 |
| Catalysts | Temperature (°C) | Ea1 (kJ mol−1) | Ea2 (kJ mol−1) |
|---|---|---|---|
| 0.5 g ZnAc + 0.5 g DMAP | 100–130 | 73.00 ± 13.57 | 40.16 ± 8.41 |
Publisher’s Note: MDPI stays neutral with regard to jurisdictional claims in published maps and institutional affiliations. |
© 2021 by the authors. Licensee MDPI, Basel, Switzerland. This article is an open access article distributed under the terms and conditions of the Creative Commons Attribution (CC BY) license (https://creativecommons.org/licenses/by/4.0/).
Share and Cite
Lamberti, F.M.; Ingram, A.; Wood, J. Synergistic Dual Catalytic System and Kinetics for the Alcoholysis of Poly(Lactic Acid). Processes 2021, 9, 921. https://doi.org/10.3390/pr9060921
Lamberti FM, Ingram A, Wood J. Synergistic Dual Catalytic System and Kinetics for the Alcoholysis of Poly(Lactic Acid). Processes. 2021; 9(6):921. https://doi.org/10.3390/pr9060921
Chicago/Turabian StyleLamberti, Fabio M., Andy Ingram, and Joseph Wood. 2021. "Synergistic Dual Catalytic System and Kinetics for the Alcoholysis of Poly(Lactic Acid)" Processes 9, no. 6: 921. https://doi.org/10.3390/pr9060921
APA StyleLamberti, F. M., Ingram, A., & Wood, J. (2021). Synergistic Dual Catalytic System and Kinetics for the Alcoholysis of Poly(Lactic Acid). Processes, 9(6), 921. https://doi.org/10.3390/pr9060921

