Abstract
Praseodymium (Pr)-promoted MCM-41 catalyst was investigated for the catalytic decomposition of methyl mercaptan (CH3SH). Various characterization techniques, such as X-ray diffraction (XRD), N2 adsorption–desorption, temperature-programmed desorption of ammonia (NH3-TPD) and carbon dioxide (CO2-TPD), hydrogen temperature-programmed reduction (H2-TPR), and X-ray photoelectron spectrometer (XPS), were carried out to analyze the physicochemical properties of material. XPS characterization results showed that praseodymium was presented on the modified catalyst in the form of praseodymium oxide species, which can react with coke deposit to prolong the catalytic stability until 120 h. Meanwhile, the strong acid sites were proved to be the main active center over the 10% Pr/MCM-41 catalyst by NH3-TPD results during the catalytic elimination of methyl mercaptan. The possible reaction mechanism was proposed by analyzing the product distribution results. The final products were mainly small-molecule products, such as methane (CH4) and hydrogen sulfide (H2S). Dimethyl sulfide (CH3SCH3) was a reaction intermediate during the reaction. Therefore, this work contributes to the understanding of the reaction process of catalytic decomposition methyl mercaptan and the design of anti-carbon deposition catalysts.
1. Introduction
Methyl mercaptan (CH3SH) is one of the typical unconventional volatile organic compound (VOC) species, which exhibits high toxicity, volatility, and causticity [1,2]. People exposed to high concentrations of CH3SH for a long time contributes to the presentation of mental illnesses [2,3]. In addition, methyl mercaptan not only participates in a series of complex reactions in air pollution events, such as PM2.5 (Fine Particulate Matters, φ < 2.5μm) [4], ozone layer depletion, and acid rain [4,5], but also corrodes equipment and poisons the catalyst during various processes. More importantly, there are wide industrial sources for the CH3SH emission, including wood-pulping industries, waste water treatment, sanitary landfills, petroleum refining, the natural gas industry and energy-related activities [6,7,8,9]. Therefore, on account of increasingly rigorous catalytic technical standards and stringent environmental regulations, improved removal of CH3SH is imperative.
The reported methods currently used for the removal of CH3SH include alkaline treatment [10], biological degradation [11], adsorption [12,13,14] incorrect ref order, 12 detected after 9. You jumped the numbers in between., hydrodesulfurization, catalytic oxidation [15,16], and catalytic decomposition [17,18,19,20,21]. Among the above, the method of catalytic decomposition has been considered an effective option because of its low waste, lack of need of other reactants, and its ease of implementation. At present, nano-CeO2 and HZSM-5-based catalysts have attracted wide attention for the process of the catalytic decomposition of CH3SH owing to their high concentration of oxygen vacancies [18] and tunable acid–base properties [19], respectively. However, these catalysts have drawbacks in the form of poor stability and the high temperatures required for complete conversion. Huguet et al. [19] showed that poisonous CH3SH can be converted into CH4 and H2S small-molecule products at high temperature (600 °C) using pure HZSM-5 zeolite. However, the stability for CH3SH abatement over HZSM-5 catalyst was no more than 10 h. Furthermore, Lu et al. [22] reported that the rare earth (RE) elements La-modified HZSM-5 catalyst could increase basic sites (lanthanum oxy-carbonates composites) and decrease strong acid sites to improve the stability (nearly 80 h time-on-stream (TOS) test). However, the deactivation of above HZSM-5-based catalysts were due to the blockage of microporous channels by deposited coke. Compared with HZSM-5-based catalysts, the conversion of CH3SH can reach 100% at low temperature (450 °C) over nano-CeO2 [20,23] and modified Ce0.75RE0.25O2−δ (RE = Sm, Gd, Nd, and La) [17,24], but the ultrashort stability was still presented for these catalysts (about 8 h TOS test) without obvious improvement. These results suggest that the problem of deposited coke over these two types of catalysts for CH3SH decomposition has not been resolved yet, due to the fact that the reaction mechanism of the catalytic degradation of methyl mercaptan is ambiguous. As reported in the literature, praseodymium plays a vital role in removing coke during the methane reforming reaction [25,26]. Praseodymium, as an adjacent element with cerium, can exhibit good stability due to the presence of various stoichiometrically defined oxides (PrnO2n−1), like cerium oxide, which can accelerate the elimination of coke deposit [25,26,27,28]. Sierra et al. [25] added Pr into La1−xAxNiO3d perovskites as catalyst, which shows the highest catalytic activity and stability in the dry reforming of methane via the reaction between PrO2 and carbon residues gasifying the carbon deposits [26]. Abello et al. [29] indicated that a series of Pr (0–7 wt.%)-modified MgAl2O4 spinel oxide-supported Ni catalysts decreased the deactivation rate by influencing the type and amount of coke deposit. Therefore, praseodymium has been deemed a good promoter to eliminate carbon deposits for methyl mercaptan abatement.
Moreover, it has been evidenced that the catalytic performance is significantly affected by different supports. Coke deposition ultimately leads to catalyst rapid deactivation by blocking the microporous channel of HZSM-5 support [19,22,30]. Al2O3 carrier has a high content of strong acidic sites, which results in easily deposited coke on the surface of catalyst compared with HZSM-5 [31,32,33]. Among numerous support materials, mesoporous MCM-41 support has been regarded as a potential support candidate because of its large specific area, small diffusion hindrance, and uniform-sized pores [34,35,36,37,38,39,40]. As far as we know, no investigation on Pr-supported MCM-41 catalyst for catalytic decomposition of CH3SH has been conducted so far.
On the basis of this background, a certain amount of Pr was impregnated to the MCM-41 support with large specific area and small diffusion hindrance, and the obtained Pr-modified MCM-41 sample was used for methyl mercaptan elimination. The synthesized samples were carried out by N2 adsorption–desorption, X-ray diffraction (XRD), NH3-TPD, CO2-TPD, H2-TPR, and X-ray photoelectron spectrometer (XPS) characterizations to investigate the effect of the modification of rare metal Pr on the physicochemical properties of the MCM-41 zeolite catalyst. In addition, the reaction mechanism of eliminating methyl mercaptan was investigated in detail by product distribution results, which were detected by flame ionization detector (FID) and flame photometric detector (FPD).
2. Experimental
2.1. Chemicals and Materials
Praseodymium nitrate hexahydrate, cetyltrimethylammonium bromide (CTAB), tetraethylorthosilicate (TEOS), ammonia, and other chemical reagents were obtained from Aladdin Biochemical Technology Co., Ltd, Shanghai, China. All of the above chemicals were at least analytical grade. Methyl mercaptan (5000 ppm CH3SH, N2 as balance gas) was purchased from Dalian Special Gases Co. Ltd., Dalian, China.
2.2. Catalyst Synthesis
2.2.1. The Preparation of the MCM-41 Support
Organic–inorganic hybrid mesoporous silica materials were prepared by the sol-gel method. Cetyltrimethylammonium bromide (CTAB) and tetraethylorthosilicate (TEOS) were used as template and silicon source, respectively. An ammonium solution (NH3·H2O) was applied as pH control agent. Firstly, 14 g of CTAB and 54 mL of NH3·H2O were dissolved at room temperature into 635 mL of deionized water. Subsequently, 57.6 mL of TEOS was slowly added into the mixture under continuous stirring. The obtained gel was filtered and washed with deionized water, dried at 105 °C for 24 h, and then calcined at 550 °C for 5 h to remove the template.
2.2.2. The Synthesis of Pr/MCM-41 Catalyst
The Pr/MCM-41 sample was successfully synthesized with an incipient wetness impregnation method using praseodymium nitrate hexahydrate (Pr(NO3)3·6H2O, AR, 99.95%) as the precursor and mesoporous MCM-41 molecular sieve as support. Firstly, the calculated amount of Pr(NO3)3·6H2O was dissolved in 8 mL of deionized water to obtain 10 wt% Pr. Then 2 g of the MCM-41 support was mixed with the above precursor solution with continuous stirring. Subsequently, the resulting mixture was placed in an oven and dried at 110 °C for 12 h. After that, the dried sample was calcined at 550 °C for 5 h. The obtained sample was denoted as 10% Pr/MCM-41 catalyst.
2.3. Characterization
Nitrogen adsorption–desorption isotherms were conducted on a NOVA 4200e Surface Area and Pore Size Analyzer with the assistance of the NovaWin-CFR software. The samples were degassed under high vacuum at 300 °C for 3 h before analysis and then measured at −196 °C. The Brunauer, Emmett & Teller Method (BET) was used to calculate the specific surface areas of catalyst. The pore size distribution and pore volume were obtained from the Barrett, Joyner & Halenda Method (BJH). X-ray diffraction (XRD) patterns were obtained with a Rigaku D/max-1200 diffractometer equipped with Cu Kα radiation in the range of 10° to 90° at a scanning rate of 10°/min. The surface acidity and basicity properties of catalysts were respectively characterized by the temperature-programmed desorption of ammonia (NH3-TPD) and carbon dioxide (CO2-TPD), using gas chromatography (GC) with a thermal conductivity detector (TCD). In the NH3-TPD experiments, all catalysts (100 mg) were first treated under helium (He, 30 mL/min) at 450 °C for 30 min and cooled down to 100 °C. Then, 30 mL/min of NH3 (10 vol.% NH3 in He) flow was introduced into the reactor for 1 h to saturate the acid sites of the measured samples. In order to remove the physiosorbed ammonia, the prepared sample was swept with He for 1 h. Finally, a NH3-TPD analysis was carried out at a gas flow rate of 30 mL/min in He, ranging from 100 to 800 °C (10 °C/min ramp rate). Meanwhile, CO2-TPD was analyzed with similar conditions to the NH3-TPD procedure. Additionally, the adsorption CO2 at 30 °C and the desorption was registered from 30 °C to 900 °C. The redox properties of the sample were generally performed by hydrogen temperature-programmed reduction (H2-TPR) in a fixed-bed with a quartz tube reactor. Before H2-TPR measurements, 100 mg of the catalyst was pretreated in the flow of mixture gas (10 vol.% H2/Ar, 30 mL/min) at 100 °C for 1 h to remove adsorbed water. The heating rate of H2-TPR results, ranging from 100 °C to 800 °C, was 10 °C/min in the 10 vol.% H2/Ar. A TCD detector recorded the H2 consumption during the measurement. X-ray photoelectron spectroscopy (XPS) was measured on an Escalab 250Xi spectrometer by using Al Kα anode as the excitation source. The binding energies (BE) of Pr 3d, O 1s, and Si 2p were corrected by the C 1s peak at 284.8 eV.
2.4. Catalytic Activity and Stability Measurement
The catalytic decomposition CH3SH experiment was carried out in a fixed bed microreactor under atmospheric pressure. First, 0.2 g of catalyst was sieved to sizes in the range of 40 to 60 mesh and placed into a quartz tube reactor. CH3SH as the reactive gas, with the concentration of 5000 ppm (30 mL/min), was introduced into the system. Then, 0.2 g of the 10% Pr/MCM-41 catalyst was used to evaluate the catalytic stability at 600 °C. The reactants were detected by the online gas chromatography (GC) equipped with FID and FPD detectors. The catalytic conversion of CH3SH (XCH3SH) was defined as follows:
Here, C[CH3SH]in and C[CH3SH]out represent the initial concentration of methyl mercaptan before the reaction and the remaining concentration after the reaction, respectively. The reaction rate of CH3SH was calculated as μmol of CH3SH converted per second per SBET as follows:
where 0.5% is the concentration of CH3SH, V is the gas flow rate of CH3SH, and Vm is the molar volume at one standard atmosphere. SBET is determined based on the BET method. m(catalyst) represents the quality of catalyst during the activity test.
3. Results and Discussion
3.1. Structure of Support and Modified Pr/MCM-41 Catalyst
Nitrogen adsorption–desorption isotherms and pore size distribution of fresh MCM-41 and 10% Pr/MCM-41 catalysts are displayed in Figure 1A,B, and the related data are shown in Table 1. From Figure 1A, the isotherms of MCM-41 and 10% Pr/MCM-41 catalysts are related to a IV-type with a H1 type hysteresis loop [41,42,43], which reflects the typical mesoporous structure. The mesoporous structure of the modified Pr/MCM-41 catalyst did not notably change. From Figure 1B, after the praseodymium species was introduced, the intensity of the pore diameter centered at about 3.7 nm significantly decreased and some new pore appeared at 5 nm, indicating some praseodymium species was deposited on the external surface, and the others were introduced in the porosity, filling the pores of the MCM-41 the support. Table 1 lists the specific surface areas and pore volume of these two catalysts. The SBET and pore volume of the unmodified MCM-41 support were measured to be 1289 m2/g and 0.379 cc/cm3, respectively. After the addition of 10 wt% Pr loading, the SBET and pore volume of the 10% Pr/MCM-41 catalyst significantly decreased to 920 m2/g and 0.111 cc/cm3, respectively, which was a normal phenomenon when some additional species was introduced into the supports.
Figure 1.
The N2 adsorption–desorption isotherms (A) and pore size distribution plot (B) of the fresh MCM-41 and 10% Pr/MCM-41 catalysts.
Table 1.
Textural properties of fresh MCM-41 and 10% Pr/MCM-41 catalysts.
The structural property of catalysts was characterized by X-ray diffraction (XRD), as shown in Figure 2. The pattern consisted of a very broad peak for 10% Pr/MCM-41. Compared with the MCM-41 support, the peak intensities weakened obviously, indicating that the hexagonal mesoporous structure of MCM-41 was partly damaged after the addition of Pr. This may have been due to some Pr species entering and blocking the pores of the MCM-41 support [43]. According to the standard powder diffraction files of Pr6O11, no corresponding pattern of any bulk praseodymium species phase was observed for the supported catalysts, indicating that praseodymium species were well dispersed on the MCM-41 support [44].
Figure 2.
The detailed X-ray diffraction (XRD) profile of the fresh MCM-41 and 10% Pr/MCM-41 catalysts compared with the standard powder diffraction files of Pr6O11.
3.2. The Surface Acid–Base and Reducibility of Support and Pr/MCM-41 Catalysts
The surface acidity and basicity were performed via the NH3-TPD and CO2-TPD measurements to evaluate the 10% Pr/MCM-41 catalyst (Figure 3). As shown in Figure 3A, a small CO2 desorption peak, observed at 100 °C to 300 °C in the low-temperature region, is assigned to the adsorption of surface OH groups, which can be associated with the weak basic sites. Meanwhile, the high-temperature desorption peak at 600 °C to 850 °C, connected with coordinatively unsaturated O2 anions, is ascribed to the strong basic sites [45,46,47]. These basic sites are conducive to the adsorption of acidic methyl mercaptan molecules. Figure 3B shows the NH3-TPD profiles of the 10% Pr/MCM-41. The high-temperature desorption peak at ~700 °C is ascribed to the strong acid sites [48,49,50], which can cleave the C-S bond to remove CH3SH [23,31]. As is well known, the pure MCM-41 support did not have obvious basic and acid sites [43,51,52,53]. After the modification of Pr, the strength of the acid-base sites is significantly enhanced, which is beneficial to the adsorption and activation of acid CH3SH molecules. Figure 4 shows H2-TPR profiles of the fresh MCM-41 and 10%Pr/MCM-41 samples, which were used to investigate the redox properties of catalysts. However, no obvious peaks were detected over the catalyst due to the highly dispersed Pr6O11 species over the mesoporous MCM-41 support [28].

Figure 3.
CO2-TPD (A) and NH3-TPD (B) patterns of the 10% Pr/MCM-41 catalyst.
Figure 4.
H2-TPR profiles of MCM-41 and 10% Pr/MCM-41 catalysts.
3.3. The Surface Composition of the Support and Pr/MCM-41 Catalysts
XPS spectra were conducted to analyze the element oxidation states and chemical component of the surface species. The XPS spectra results of Pr 3d, O 1s, and Si 2p are displayed in Figure 5A–C, respectively. The binding energy position, content, and ration for each assigned peak are quantified and presented in Table 2. From Figure 5A, the peaks at 929.5 eV and 950.3 eV are attributed to the Pr 3d signal of Pr3+ species. The peaks at 933.9 eV and 954.8 eV are attributed to Pr4+ species, indicating the coexistence of Pr4+ and Pr3+ in the Pr6O11 species over the fresh 10% Pr/MCM-41 catalyst [50,54,55]. The ratio of Pr4+/Pr3+ of the 10% Pr/MCM-41 catalyst is 2.36, evidencing that the content of Pr4+ is higher than that of Pr3+ in the fresh catalyst. The O 1s spectra of the unmodified MCM-41 were only deconvoluted into a high intensity peak at 533.0 eV, which was ascribed to the oxygen species in the MCM-41 support (Figure 5B). As displayed in Figure 5C, an intense peak of MCM-41 at 103.8 eV, presented in the Si 2p XPS spectra, can be assigned to the Si-O-Si from the SiO2 phase [31]. Furthermore, the O 1s and Si 2p spectra of the 10% Pr/MCM-41 were also tested for comparison. The positions of the O and Si species both shift to the lower binding energy after the addition of Pr, indicating that there is an interaction between praseodymium and silica.
Figure 5.
Pr 3d (A), O 1s (B), and Si 2p (C) X-ray photoelectron spectrometer (XPS) spectra of MCM-41 and 10% Pr/MCM-41 catalysts.
Table 2.
Physical parameters and chemical and surface compositions of Pr, O, and Si in fresh MCM-41 and 10% Pr/MCM-41 catalysts.
3.4. CH3SH Reaction Rate and Stability of Catalyst
The evaluation of the reaction rate and stability for CH3SH decomposition is summarized in Figure 6A,B, respectively. The reaction rates of CH3SH over MCM-41 and 10% Pr/MCM-41 catalysts are displayed in Figure 6A. It can be found that the reaction rate increases with an increase in the temperature over these two catalysts. The reaction rate of MCM-41 is 0.0001 and 0.0009 (μmol·s−1·m−2) at 400 °C and 450 °C, respectively. However, the reaction rate of the 10% Pr/MCM-41 is 0.0054 and 0.0199 (μmol·s−1·m−2) at 400 °C and 450 °C, respectively. Thus, the reaction rate of the 10% Pr/MCM-41 is nearly 54 and 22 times that of MCM-41 catalyst at 400 °C and 450 °C, indicating that MCM-41 has almost no activity in this temperature range. At 600 °C, almost a complete CH3SH conversion was achieved over the 10% Pr/MCM-41 catalyst. From Figure 6B, the variation of CH3SH conversion as the reaction time progressed on the 10% Pr/MCM-41 catalyst at 600 °C was investigated. Excellent stability can be observed in that the 10% Pr/MCM-41 maintains 100% of CH3SH conversion even after 120 h time-on-stream test. The reason why the catalyst has an ultralong stability is because the praseodymium oxide species can react with carbon residues to gasify the carbon deposits on the surface of the 10% Pr/MCM-41 catalyst.
Figure 6.
(A) Reaction rate of CH3SH at 400 °C and 450 °C over MCM-41 and 10% Pr/MCM-41 catalysts. (B) Conversion of CH3SH as a function of time at 600 °C on spent 10% Pr/MCM-41 catalyst.
3.5. Product Distribution
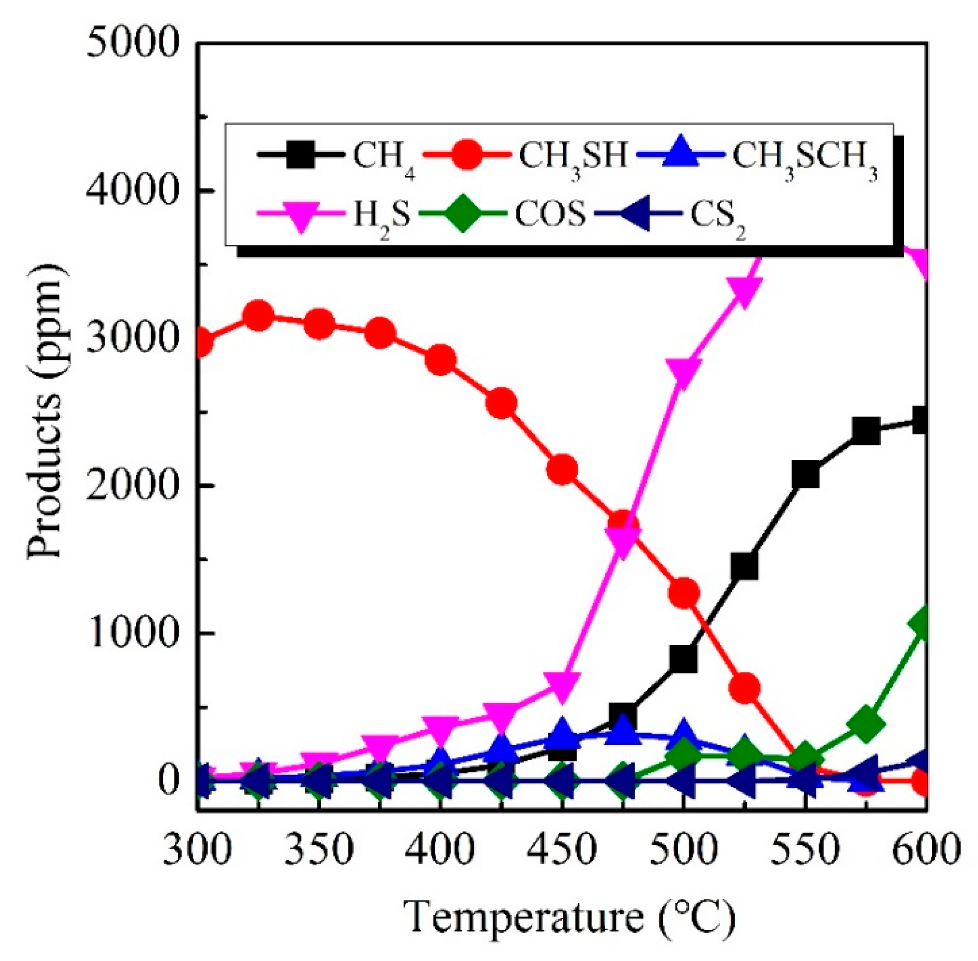
Reaction products distribution results of the 10% Pr/MCM-41 catalyst are shown in Figure 7. Apparently, the catalytic performance for eliminating CH3SH is influenced by the reaction temperature from 300 °C to 600 °C. Below 475 °C, CH3SH firstly decomposed and formed a small amount of dimethyl sulfide (CH3SCH3, DMS) and hydrogen (H2), and the reaction equation was 2CH3SH → CH3SCH3 + H2. Then, the concentration of CH3SCH3 gradually decreased with the rising temperature, indicating that there was an intermediate species during the reaction. From 475 °C to 600 °C, CH3SCH3 was further decomposed into small molecular products such as methane (CH4) and hydrogen sulfide (H2S), and the reaction equation is CH3SCH3 → CH4 + H2S. At the high temperature of 600 °C, a certain concentration (~1000 ppm) of COS was detected by FPD. Meanwhile, a small amount of other sulfur and carbon species, such as CS2, C2H4 and C2H6, were detected in the reaction (detailed results are not shown in Figure 7).
Figure 7.
The product distribution in the 10% Pr/MCM-41 catalyst for methyl mercaptan abatement.
3.6. Possible Reaction Mechanism and Active Sites for the Conversion of CH3SH over the 10% Pr/MCM-41 Catalyst
It has been reported that redox and strong acid sites play an important role for eliminating CH3SH. He et al. [20,23] observed that microwave-assisted rapid synthesized nano-CeO2 can completely decompose CH3SH at low temperature (450 °C) due to the relatively higher redox from the abundant active oxygen species. This indicates that strong redox properties can improve the catalytic activity at low temperature. The 10% Pr/MCM-41 catalyst completely decomposes CH3SH at high temperature (600 °C) due to the poor redox. Thus, the main active sites of the 10% Pr/MCM-41 catalyst can only be strong acid sites, which can cleave the C-S bond to improve the catalytic activity.
The possible reaction mechanism for eliminating CH3SH is proposed as follows, as shown in Figure 8. At first, the acid CH3SH molecule is absorbed by the basic sites of the surface of the 10% Pr/MCM-41 catalyst. Then the absorbed reactants migrate to the active centers, such as strong acid sites. After that, the S-H bond of CH3SH firstly dissociates to CH3S and H with the 10%Pr/MCM-41 catalyst (CH3SCH3, H2). Subsequently, CH3S can decompose to CH3 and S via the breakage of the C-S bound by the strong acid sites. The formation of CH3 and S can be hydrogenated to CH4 and H2S. Finally, the gas products desorb easily from the surface of the catalysts.
Figure 8.
Schematic reaction mechanism for catalytically eliminating methyl mercaptan over 10% Pr/MCM-41 catalyst.
4. Conclusions
In this work, a Pr modified MCM-41 sample presented longer-term stability and maintained 100% of the CH3SH conversion for 120 h. The effect of the 10% Pr/MCM-41 catalyst on CH3SH catalytic decomposition was studied by a series of characterization techniques. As proved by XRD and N2 adsorption–desorption results, the 10% Pr/MCM-41 sample was successfully synthesized and praseodymium oxide species were highly dispersed over the MCM-41 support. H2-TPR profiles hardly showed any obvious reduction peak, indicating that the 10% Pr/MCM-41 catalyst possesses poor redox performance. Meanwhile, CO2-TPD and NH3-TPD results suggested that 10%Pr/MCM-41 catalyst with strong basic/acid sites promoted the adsorption and the break of C-S bonds of acid methyl mercaptan molecules. Thus, the main active sites of the 10% Pr/MCM-41 catalyst for CH3SH catalytic decomposition were the strong acid sites. In addition, the products distribution was employed to clarify the reaction mechanism. In consideration of the poor catalytic activity of the 10% Pr/MCM-41 catalyst at low temperature, the regulation of the redox performance of the catalyst in the elimination of sulfur-containing volatile organic compounds (VOCs) is the focus in the future research.
Author Contributions
Conceptualization: J.L. and Y.L.; Data curation: X.C., J.L. and Y.L.; Formal analysis: X.C., W.Z. and D.H.; Investigation: X.C. and Y.Z.; Methodology: Y.Z. and R.T.; Software: X.C. and R.T.; Supervision: J.L., W.Z., D.H. and Y.L.; Validation: R.T. and W.Z.; Visualization: W.Z. and D.H.; Writing–original draft: X.C.; Writing—review and editing: J.L. and Y.L. All authors have read and agreed to the published version of the manuscript.
Funding
This research work was supported by the National Natural Science Foundation of China (Grant Nos. 21966018, 42030712, 21667016, and 21666013), and Science Research Fund Project of Yunnan Provincial Department of Education (Grant No. 2020J0060).
Institutional Review Board Statement
Not applicable.
Informed Consent Statement
Not applicable.
Data Availability Statement
All data used to support the findings of this study are included within the article.
Conflicts of Interest
The authors declare no conflict of interest.
References
- Deshmukh, S.; Jana, A.; Bhattacharyya, N.; Bandyopadhyay, R.; Pandey, R.A. Quantitative determination of pulp and paper industry emissions and associated odor intensity in methyl mercaptan equivalent using electronic nose. Atmos. Environ. 2014, 82, 401–409. [Google Scholar] [CrossRef]
- Lee, S.-W.; Daud, W.M.A.W.; Lee, M.-G. Adsorption characteristics of methyl mercaptan, dimethyl disulfide, and trimethylamine on coconut-based activated carbons modified with acid and base. J. Ind. Eng. Chem. 2010, 16, 973–977. [Google Scholar] [CrossRef]
- Darif, B.; Ojala, S.; Pirault-Roy, L.; Bensitel, M.; Brahmi, R.; Keiski, R.L. Study on the catalytic oxidation of DMDS over Pt-Cu catalysts supported on Al2O3, AlSi20 and SiO2. Appl. Catal. B 2016, 181, 24–33. [Google Scholar] [CrossRef]
- Zhang, R.; Khalizov, A.; Wang, L.; Hu, M.; Xu, W. Nucleation and growth of nanoparticles in the atmosphere. Chem. Rev. 2012, 112, 1957–2011. [Google Scholar] [CrossRef]
- Guo, S.; Hu, M.; Zamora, M.L.; Peng, J.; Shang, D.; Zheng, J.; Du, Z.; Wu, Z.; Shao, M.; Zeng, L.; et al. Elucidating severe urban haze formation in China. Proc. Natl. Acad. Sci. USA 2014, 111, 17373–17378. [Google Scholar] [CrossRef]
- Son, Y.-S.; Kim, J.-C. Decomposition of sulfur compounds by radiolysis: I. Influential factors. Chem. Eng. J. 2015, 262, 217–223. [Google Scholar] [CrossRef]
- Hudson, N.; Ayoko, G.A.; Dunlop, M.; Duperouzel, D.; Burrell, D.; Bell, K.; Gallagher, E.; Nicholas, P.; Heinrich, N. Comparison of odour emission rates measured from various sources using two sampling devices. Bioresour. Technol. 2009, 100, 118–124. [Google Scholar] [CrossRef] [PubMed]
- Capelli, L.; Sironi, S.; Del Rosso, R.; Centola, P. Predicting odour emissions from wastewater treatment plants by means of odour emission factors. Water Res. 2009, 43, 1977–1985. [Google Scholar] [CrossRef]
- Fang, J.J.; Yang, N.; Cen, D.Y.; Shao, L.M.; He, P.J. Odor compounds from different sources of landfill: Characterization and source identification. Waste Manag. 2012, 32, 1401–1410. [Google Scholar] [CrossRef]
- Lu, N.; Yu, H.T.; Su, Y.; Wu, Y. Water absorption and photocatalytic activity of TiO2 in a scrubber system for odor control at varying pH. Sep. Purif. Technol. 2012, 90, 196–203. [Google Scholar] [CrossRef]
- Montebello, A.M.; Fernández, M.; Almenglo, F.; Ramírez, M.; Cantero, D.; Baeza, M.; Gabriel, D. Simultaneous methylmercaptan and hydrogen sulfide removal in the desulfurization of biogas in aerobic and anoxic biotrickling filters. Chem. Eng. J. 2012, 200–202, 237–246. [Google Scholar] [CrossRef]
- Zhao, S.; Yi, H.; Tang, X.; Gao, F.; Zhang, B.; Wang, Z.; Zuo, Y. Methyl mercaptan removal from gas streams using metal-modified activated carbon. J. Clean. Prod. 2015, 87, 856–861. [Google Scholar] [CrossRef]
- Papurello, D.; Schuhfried, E.; Lanzini, A.; Romano, A.; Cappellin, L.; Märk, T.D.; Silvestri, S.; Biasioli, F. Influence of co-vapors on biogas filtration for fuel cells monitored with PTR-MS (Proton Transfer Reaction-Mass Spectrometry). Fuel Process. Technol. 2014, 118, 133–140. [Google Scholar] [CrossRef]
- Papurello, D.; Schuhfried, E.; Lanzini, A.; Romano, A.; Cappellin, L.; Märk, T.D.; Silvestri, S.; Santarelli, M.; Biasioli, F. Proton transfer reaction-mass spectrometry as a rapid inline tool for filter efficiency of activated charcoal in support of the development of Solid Oxide Fuel Cells fueled with biogas. Fuel Process. Technol. 2015, 130, 78–86. [Google Scholar] [CrossRef]
- Jiang, D.E.; Zhao, B.; Xie, Y.; Pan, G.; Ran, G.; Min, E. Structure and basicity of Al2O3-supported MgO and its application to mercaptan oxidation. Appl. Catal. A 2001, 219, 69–78. [Google Scholar] [CrossRef]
- Kastner, J.R.; Das, K.C.; Buquoi, Q.; Melear, N.D. Low Temperature Catalytic Oxidation of Hydrogen Sulfide and Methanethiol Using Wood and Coal Fly Ash. Environ. Sci. Technol. 2003, 37, 2568–2574. [Google Scholar] [CrossRef] [PubMed]
- He, D.; Chen, D.; Hao, H.; Yu, J.; Liu, J.; Lu, J.; Liu, F.; Wan, G.; He, S.; Luo, Y. Structural/surface characterization and catalytic evaluation of rare-earth (Y, Sm and La) doped ceria composite oxides for CH3SH catalytic decomposition. Appl. Surf. Sci. 2016, 390, 959–967. [Google Scholar] [CrossRef]
- Laosiripojana, N.; Assabumrungrat, S. Conversion of poisonous methanethiol to hydrogen-rich gas by chemisorption/reforming over nano-scale CeO2: The use of CeO2 as catalyst coating material. Appl. Catal. B 2011, 102, 267–275. [Google Scholar] [CrossRef]
- Hulea, V.; Huguet, E.; Cammarano, C.; Lacarriere, A.; Durand, R.; Leroi, C.; Cadours, R.; Coq, B. Conversion of methyl mercaptan and methanol to hydrocarbons over solid acid catalysts—A comparative study. Appl. Catal. B 2014, 144, 547–553. [Google Scholar] [CrossRef]
- He, D.; Hao, H.; Chen, D.; Lu, J.; Zhong, L.; Chen, R.; Liu, F.; Wan, G.; He, S.; Luo, Y. Rapid synthesis of nano-scale CeO2 by microwave-assisted sol–gel method and its application for CH3SH catalytic decomposition. J. Environ. Chem. Eng. 2016, 4, 311–318. [Google Scholar] [CrossRef]
- Cao, X.; He, D.; Lu, J.; Zhao, Y.; Mei, Y.; Han, C.; Luo, Y. The negative effect of P addition of La/HZSM-5 on the catalytic performance in methyl mercaptan abatement. Appl. Surf. Sci. 2019, 494, 1083–1090. [Google Scholar] [CrossRef]
- Lu, J.; Hao, H.; Zhang, L.; Xu, Z.; Zhong, L.; Zhao, Y.; He, D.; Liu, J.; Chen, D.; Pu, H.; et al. The investigation of the role of basic lanthanum (La) species on the improvement of catalytic activity and stability of HZSM-5 material for eliminating methanethiol (CH3SH). Appl. Catal. B 2018, 237, 185–197. [Google Scholar] [CrossRef]
- He, D.; Wan, G.; Hao, H.; Chen, D.; Lu, J.; Zhang, L.; Liu, F.; Zhong, L.; He, S.; Luo, Y. Microwave-assisted rapid synthesis of CeO2 nanoparticles and its desulfurization processes for CH3SH catalytic decomposition. Chem. Eng. J. 2016, 289, 161–169. [Google Scholar] [CrossRef]
- He, D.; Chen, D.; Hao, H.; Yu, J.; Liu, J.; Lu, J.; Wan, G.; He, S.; Li, K.; Luo, Y. Enhanced activity and stability of Sm-doped HZSM-5 zeolite catalysts for catalytic methyl mercaptan (CH3SH) decomposition. Chem. Eng. J. 2017, 317, 60–69. [Google Scholar] [CrossRef]
- Gallego, G.S.; Marín, J.G.; Batiot-Dupeyrat, C.; Barrault, J.; Mondragón, F. Influence of Pr and Ce in dry methane reforming catalysts produced from La1−xAxNiO3−δ perovskites. Appl. Catal. A 2009, 369, 97–103. [Google Scholar] [CrossRef]
- Wang, Y.; Peng, J.; Zhou, C.; Lim, Z.Y.; Wu, C.; Ye, S.; Wang, W.G. Effect of Pr addition on the properties of Ni/Al2O3 catalysts with an application in the autothermal reforming of methane. Int. J. Hydrog. Energy 2014, 39, 778–787. [Google Scholar] [CrossRef]
- Muñoz, M.; Moreno, S.; Molina, R. Synthesis of Ce and Pr-promoted Ni and Co catalysts from hydrotalcite type precursors by reconstruction method. Int. J. Hydrog. Energy 2012, 37, 18827–18842. [Google Scholar] [CrossRef]
- Lu, J.; Lei, Y.; Wan, G.; Mei, Z.; Yu, J.; Zhao, Y.; He, S.; Luo, Y. Weakening the metal-support strong interaction to enhance catalytic performances of alumina supported Ni-based catalysts for producing hydrogen. Appl. Catal. B 2020, 263, 118177. [Google Scholar] [CrossRef]
- Barroso, M.N.; Galetti, A.E.; Abello, M.C. Ni catalysts supported over MgAl2O4 modified with Pr for hydrogen production from ethanol steam reforming. Appl. Catal. A 2011, 394, 124–131. [Google Scholar] [CrossRef]
- Liu, J.; He, D.; Chen, D.; Hao, H.; Yu, J.; Lu, J.; Liu, F.; Liu, P.; Zhao, Y.; Luo, Y. Promotional effects of rare-earth (La, Ce and Pr) modification over HZSM-5 for methyl mercaptan catalytic decomposition. J. Taiwan Inst. Chem. Eng. 2017, 80, 262–268. [Google Scholar] [CrossRef]
- Zhao, Y.; Chen, D.; Liu, J.; He, D.; Cao, X.; Han, C.; Lu, J.; Luo, Y. Tuning the metal-support interaction on chromium-based catalysts for catalytically eliminate methyl mercaptan: Anchored active chromium species through surface hydroxyl groups. Chem. Eng. J. 2020, 389, 124384. [Google Scholar] [CrossRef]
- Zhao, Y.; He, D.; Chen, D.; Lu, J.; Yu, J.; Liu, J.; Cao, X.; Han, C.; Luo, Y. Investigating the Support Effect for Catalytic Elimination of Methyl Mercaptan: Role of Hydroxyl Groups over Cr-based Catalysts. Catal. Lett. 2020, 150, 2763–2773. [Google Scholar] [CrossRef]
- Lu, J.; Liu, J.; Zhao, Y.; He, D.; Han, C.; He, S.; Luo, Y. The identification of active chromium species to enhance catalytic behaviors of alumina-based catalysts for sulfur-containing VOC abatement. J. Hazard. Mater. 2020, 384, 121289. [Google Scholar] [CrossRef] [PubMed]
- He, D.; Zhang, L.; Zhao, Y.; Mei, Y.; Chen, D.; He, S.; Luo, Y. Recycling Spent Cr Adsorbents as Catalyst for Eliminating Methylmercaptan. Environ. Sci. Technol. 2018, 52, 3669–3675. [Google Scholar] [CrossRef] [PubMed]
- Zhao, Y.; Lu, J.; Chen, D.; Zhang, L.; He, S.; Han, C.; He, D.; Luo, Y. Probing the nature of active chromium species and promotional effects of potassium in Cr/MCM-41 catalysts for methyl mercaptan abatement. New J. Chem. 2019, 43, 12814–12822. [Google Scholar] [CrossRef]
- Bing, J.; Li, L.; Lan, B.; Liao, G.; Zeng, J.; Zhang, Q.; Li, X. Synthesis of cerium-doped MCM-41 for ozonation of p-chlorobenzoic acid in aqueous solution. Appl. Catal. B 2012, 115–116, 16–24. [Google Scholar] [CrossRef]
- Ruiz, J.A.C.; Fraga, M.A.; Pastore, H.O. Methane combustion over Pd supported on MCM-41. Appl. Catal. B 2007, 76, 115–122. [Google Scholar] [CrossRef]
- Asghari, S.; Haghighi, M.; Taghavinezhad, P. Plasma-enhanced dispersion of Cr2O3 over ceria-doped MCM-41 nanostructured catalyst used in CO2 oxidative dehydrogenation of ethane to ethylene. Microporous Mesoporous Mater. 2019, 279, 165–177. [Google Scholar] [CrossRef]
- Brezoiu, A.-M.; Deaconu, M.; Nicu, I.; Vasile, E.; Mitran, R.-A.; Matei, C.; Berger, D. Heteroatom modified MCM-41-silica carriers for Lomefloxacin delivery systems. Microporous Mesoporous Mater. 2019, 275, 214–222. [Google Scholar] [CrossRef]
- Zhang, X.; Zhu, Z.; Sun, X.; Yang, J.; Gao, H.; Huang, Y.; Luo, X.; Liang, Z.; Tontiwachwuthikul, P. Reducing Energy Penalty of CO2 Capture Using Fe Promoted SO42−/ZrO2/MCM-41 Catalyst. Environ. Sci. Technol. 2019, 53, 6094–6102. [Google Scholar] [CrossRef] [PubMed]
- Kato, Y.; Nitta, S.; Shimazu, S.; Kurashina, M.; Katoh, M.; Ninomiya, W.; Sugiyama, S. Effect of Introduction of Trace Amount of Chromium Species in Improving Catalytic Performance of MCM-48 in Oxidative Dehydrogenation of Isobutane. J. Chem. Eng. Jpn. 2019, 52, 99–105. [Google Scholar] [CrossRef]
- Qin, Q.; Xu, Y. Enhanced nitrobenzene adsorption in aqueous solution by surface silylated MCM-41. Microporous Mesoporous Mater. 2016, 232, 143–150. [Google Scholar] [CrossRef]
- Ma, T.; Yun, Z.; Xu, W.; Chen, L.; Li, L.; Ding, J.; Shao, R. Pd-H3PW12O40/Zr-MCM-41: An efficient catalyst for the sustainable dehydration of glycerol to acrolein. Chem. Eng. J. 2016, 294, 343–352. [Google Scholar] [CrossRef]
- Li, S.H.; Sun, X.D.; Wang, Y.Z.; Wang, Z.P.; Gu, W.B.; Wang, W.M.; Yao, H.M.; Wang, Y.; Zhu, J.H. Creating an Optimal Microenvironment within Mesoporous Silica MCM-41 for Capture of Tobacco-Specific Nitrosamines in Solution. ACS Appl. Mater. Interfaces 2017, 9, 26805–26817. [Google Scholar] [CrossRef]
- Du, X.; Zhang, D.; Shi, L.; Gao, R.; Zhang, J. Coke- and sintering-resistant monolithic catalysts derived from in situ supported hydrotalcite-like films on Al wires for dry reforming of methane. Nanoscale 2013, 5, 2659–2663. [Google Scholar] [CrossRef] [PubMed]
- Gao, P.; Li, F.; Zhan, H.; Zhao, N.; Xiao, F.; Wei, W.; Zhong, L.; Wang, H.; Sun, Y. Influence of Zr on the performance of Cu/Zn/Al/Zr catalysts via hydrotalcite-like precursors for CO2 hydrogenation to methanol. J. Catal. 2013, 298, 51–60. [Google Scholar] [CrossRef]
- Koo, K.Y.; Roh, H.S.; Jung, U.H.; Seo, D.J.; Seo, Y.S.; Yoon, W.L. Combined H2O and CO2 reforming of CH4 over nano-sized Ni/MgO-Al2O3 catalysts for synthesis gas production for gas to liquid (GTL): Effect of Mg/Al mixed ratio on coke formation. Catal. Today 2009, 146, 166–171. [Google Scholar] [CrossRef]
- Rutkowska, M.; Macina, D.; Mirocha-Kubień, N.; Piwowarska, Z.; Chmielarz, L. Hierarchically structured ZSM-5 obtained by desilication as new catalyst for DME synthesis from methanol. Appl. Catal. B 2015, 174–175, 336–343. [Google Scholar] [CrossRef]
- Groen, J.C.; Peffer, L.A.; Moulijn, J.A.; Perez-Ramirez, J. Mechanism of hierarchical porosity development in MFI zeolites by desilication: The role of aluminium as a pore-directing agent. Chemistry 2005, 11, 4983–4994. [Google Scholar] [CrossRef]
- Wolfframm, D.; Ratzke, M.; Kappa, M.; Montenegro, M.J.; Döbeli, M.; Lippert, T.; Reif, J. Pulsed laser deposition of thin PrxOy films on Si(100). Mater. Sci. Eng. B 2004, 109, 24–29. [Google Scholar] [CrossRef]
- Ding, J.-F.; Ma, T.-L.; Yan, C.-X.; Shao, R.; Xu, W.; Guan, R.-F.; Song, X.-Y.; Wang, P.-F. Dehydration of Castor Oil over a NaHSO4/MCM-41 Catalyst Prepared by Supercritical Impregnation. Chem. Eng. Technol. 2018, 41, 2186–2195. [Google Scholar] [CrossRef]
- Wu, M.; Zhao, Q.-Q.; Li, J.; Su, X.-L.; Wu, H.-Y.; Guan, X.-X.; Zheng, X.-C. Tungstophosphoric acid-based mesoporous materials anchored to MCM-41: Characterization and catalytic performance in esterification of levulinic acid with ethanol. J. Porous Mater. 2016, 23, 1329–1338. [Google Scholar] [CrossRef]
- Brasil, H.; Carvalho, A.L.G.d.; Costa, F.F.; Nascimento, L.A.S.d.; Mhadmhan, S.; Pineda, A.; Luque, R.; Valença, G.P. Preparation of novel mesoporous Ca/P MCM-41-based materials for mechanochemical diphenyl sulfide oxidation. Microporous Mesoporous Mater. 2020, 297, 110017. [Google Scholar] [CrossRef]
- Zhang, Y.; Deng, J.; Zhang, H.; Liu, Y.; Dai, H. Three-dimensionally ordered macroporous Pr6O11 and Tb4O7 with mesoporous walls: Preparation, characterization, and catalytic activity for CO oxidation. Catal. Today 2015, 245, 28–36. [Google Scholar] [CrossRef]
- Gamba, O.; Moreno, S.; Molina, R. Catalytic performance of Ni–Pr supported on delaminated clay in the dry reforming of methane. Int. J. Hydrog. Energy 2011, 36, 1540–1550. [Google Scholar] [CrossRef]
Publisher’s Note: MDPI stays neutral with regard to jurisdictional claims in published maps and institutional affiliations. |
© 2021 by the authors. Licensee MDPI, Basel, Switzerland. This article is an open access article distributed under the terms and conditions of the Creative Commons Attribution (CC BY) license (http://creativecommons.org/licenses/by/4.0/).








