Next Article in Journal
Chromatographic and Computational Screening of Lipophilicity and Pharmacokinetics of Newly Synthesized Betulin-1,4-quinone Hybrids
Next Article in Special Issue
Molecular Simulation of Improved Mechanical Properties and Thermal Stability of Insulation Paper Cellulose by Modification with Silane-Coupling-Agent-Grafted Nano-SiO2
Previous Article in Journal
A Bioreactor Designed for Restricting Oversize of Aerobic Granular Sludge
Previous Article in Special Issue
Ethylene Polymerization via Zirconocene Catalysts and Organoboron Activators: An Experimental and Kinetic Modeling Study
 
 
Font Type:
Arial Georgia Verdana
Font Size:
Aa Aa Aa
Line Spacing:
Column Width:
Background:
Review

A Review on the Synthesis, Characterization, and Modeling of Polymer Grafting

by
Miguel Ángel Vega-Hernández
1,
Gema Susana Cano-Díaz
1,
Eduardo Vivaldo-Lima
1,2,*,
Alberto Rosas-Aburto
1,
Martín G. Hernández-Luna
1,
Alfredo Martinez
3,
Joaquín Palacios-Alquisira
4,
Yousef Mohammadi
5 and
Alexander Penlidis
2,*
1
Departamento de Ingeniería Química, Facultad de Química, Universidad Nacional Autónoma de México, Ciudad de México 04510, Mexico
2
Department of Chemical Engineering, Institute for Polymer Research, University of Waterloo, Waterloo, ON N2L 3G1, Canada
3
Instituto de Biotecnología, Universidad Nacional Autónoma de México, Cuernavaca, Morelos 62210, Mexico
4
Departamento de Fisicoquímica, Facultad de Química, Universidad Nacional Autónoma de México, Ciudad de México 04510, Mexico
5
Petrochemical Research and Technology Company (NPC-rt), National Petrochemical Company (NPC), Tehran P.O. Box 14358-84711, Iran
*
Authors to whom correspondence should be addressed.
Processes 2021, 9(2), 375; https://doi.org/10.3390/pr9020375
Submission received: 4 December 2020 / Revised: 16 January 2021 / Accepted: 26 January 2021 / Published: 18 February 2021
(This article belongs to the Special Issue Modeling and Simulation of Polymerization Processes)

Abstract

A critical review on the synthesis, characterization, and modeling of polymer grafting is presented. Although the motivation stemmed from grafting synthetic polymers onto lignocellulosic biopolymers, a comprehensive overview is also provided on the chemical grafting, characterization, and processing of grafted materials of different types, including synthetic backbones. Although polymer grafting has been studied for many decades—and so has the modeling of polymer branching and crosslinking for that matter, thereby reaching a good level of understanding in order to describe existing branching/crosslinking systems—polymer grafting has remained behind in modeling efforts. Areas of opportunity for further study are suggested within this review.

1. Introduction

Graft copolymers consist of branches of polymer segments covalently bonded to primary polymer chains. Graft copolymers containing a single branch are known as miktoarm star copolymers. The backbone and branches can be homo- or copolymers with different chemical structures or compositions [1]. However, if the polymer molecule is a homopolymer, the reaction route to produce the branches is known as polymer branching; polymer grafting is usually considered as a chemical route to produce materials whose branches are chemically different from the backbone or primary polymer chain. The branches typically have the same chain size and are randomly distributed throughout the backbone’s length as a consequence of the synthetic route used synthesize them. However, more efficient methods that allow the synthesis of graft copolymers with equidistant and same-length branches, with which the microstructure and composition can be controlled to a remarkable level, have been developed [1]. From a surface-chemistry perspective, this definition of polymer grafting is extended to composites in which the main chain constitutes a diverse array of materials, ranging from brick and fiberglass to paper and wood [2]. Materials with improved or simply different polymer properties from mechanical, thermal, melt flow or dilute solution perspectives can be synthesized by polymer grafting [1,3,4,5,6,7]. The structure–properties relationship has been an important issue in the analysis of polymer grafting [1].
Some of the first reports on polymer grafting available in the open literature (e.g., the oldest records available through Web of Science) include the grafting of polystyrene (PSty) [8] and poly(methyl methacrylate) (PMMA) [9] onto “government rubber styrene” (GRS) [8], which is a synthetic copolymer of butadiene and styrene, or onto natural rubber [9]; grafting of PSty, poly(butyl methacrylate) (PBMA), poly(lauryl methacrylate) (PLMA), poly(methyl acrylate) (PMA), and poly(ethyl acrylate) (PEA) onto PMMA with pendant mercaptan groups [10]; grafting of polyacrylamide (PAM) onto polyacrylonitrile (PAN), or the other way around (PAN onto PAM) [11]; grafting of PMMA onto PAN [12]; grafting of PSty onto polyethylene (PE) [13]; and grafting of several polymers, such as PAN, PMMA, PSty, poly(acrylic acid) (PAA), and poly(vinylidene chloride) (PVDC), onto cellulose [14,15,16], to name a few. A more complete literature review on the chemistry of polymer grafting is summarized in Table 1.
The renewed emphasis on the use of biobased monomers and biopolymers as a viable route to decrease (synthetic) polymer waste and disposal issues has invigorated the research efforts on the development of improved materials with important contents of biopolymers (frequently as backbones); grating is part of the synthetic procedure of such materials. These trends are in the scope of some recent review papers focused on polymer grafting, which include the grafting of polymers onto cellulose [27,28], chitin/chitosan [29,30], or polysaccharides in general [2,31].
The use of lignocellulosic waste as raw material for biorefining processes aimed at producing value-added chemicals or materials (e.g., bioethanol, cellulose, xylose, or hybrid materials, to name a few) has increased significantly since the start of the present century. Biorefineries from lignocellulosic waste require multistep processes, starting with pretreatment of the biomass. In this way, the constituent biopolymers are available for subsequent reactive processes [32,33,34,35]. The synthesis of value-added materials from lignocellulosic waste biomasses by using polymer grafting onto lignocellulose itself [36] or onto its individual components (cellulose [27], hemicellulose [37], or lignin [38]) represents an important route in the concept of biorefineries.
Although a few early studies focused on the mathematical descriptions of polymer grafting under specific circumstances—such as the calculation of grafting efficiency and molecular weight development of the grafted branches onto a pre-formed polymer containing pendant mercaptan groups capable of acting as effective chain transfer agents, based on a comprehensive kinetic model including chain transfer to polymer and bimolecular polymer radical termination [39], or the theoretical calculation of molecular weight distributions of vinyl polymers grafted onto solid polymeric substrates by irradiation, also based on a kinetic description of the growing of the grafted branches [40], and a few comprehensive recent models for other specific situations (e.g., the detailed description of free-radical polymerization (FRP)-induced branching in reactive extrusion of PE [41])—are indeed available, the fact is that the cases addressed by mathematical models are by far less common than the available experimental systems. The purpose of the present review is to first offer a rather detailed summary of what is known from a polymer chemistry angle about polymer grafting, with an emphasis on what backbones and grafts are used, how active sites on backbones are generated, and how polymer branches are grown or grafted, among other process details. The second objective is to review what polymer grafting situations have been modeled, which tools have been used, and what limitations persist. By doing that, we can show areas of opportunity. Do keep in mind that the system that motivated this study was the grafting of synthetic polymers onto lignocellulosic biopolymers.

2. Chemistry of Polymer Grafting

The main chemical routes for polymer grafting are the following: “grafting onto” (also referred as “grafting to”), “grafting from,” and the macromonomer or macromer (or “grafting through”) method [1,2,27,28]. There are general reviews focused on the synthesis of grafted copolymers [1,2]. The ranges of backbones and grafts, backbone activating methods, graft growing (polymerization) routes, characterization techniques, quantification methods of grafting and branching molar mass distributions, and applications are so vast that reviews on specific aspects or subtopics related to these issues have been written. For instance, there are reviews focused on the grafting of polymer branches onto natural polymers [42] and biofibers [43]; grafting onto cellulose [27] or cellulose nanocrystals [28]; grafting onto chitin/chitosan [29,30]; microwave-activated grafting [31,44]; laccase-mediated grafting onto biopolymers and synthetic polymers [2]; radiation-induced RAFT-mediated graft copolymerization [45]; and polymer grafting onto inorganic nanoparticles [46] to name a few.
Herein, brief descriptions of such chemical routes are provided. In Table 1 we provide an overview of the grafted copolymer materials synthesized in the 1950–1970 period, plus some additional more recent cases, considering backbone structure, functionalization or active site generation techniques or procedures, grafted arm structure, polymer grafting technique, polymer grafting conditions, measured properties and characterization methods, and related references. The literature on polymer grafting onto cellulose, chitin/chitosan, lignocellulosic biopolymers, other polysaccharides and natural biopolymers, inorganic materials, and metallic surfaces is addressed in the subsequent sections of this review.

2.1. Types of Polymer Grafting

As stated earlier, polymer grafting can proceed by the “grafting to” technique, where a polymer molecule with a reactive end group reacts with the functional groups present in the backbone; by “grafting from,” where polymer chains are formed from initiating sites within the backbone; and by “grafting through,” where a macromolecule with a reactive end group copolymerizes with a second monomer of low molecular weight. Simplified representations of these grafting techniques are shown in Figure 1.
“Grafting to” and “grafting from” are the most common polymer grafting chemical routes. Better defined graft segments are obtained by the “grafting to” technique since the polymerization is independent of the union between the backbone and grafts. In contrast, materials of higher grafting densities can be produced by the “grafting from” route due to the lack of steric hindrance restrictions [47].
However, each polymer grafting route has its own advantages and disadvantages in terms of chemical nature, density, dispersity, and length of the grafts obtained, and the ease and efficiency of the chemical reactions involved. Interestingly, different polymer grafting routes can be combined to produce specific grafted materials [48].

2.2. Main Backbones Used in Polymer Grafting

A polymer backbone is a polymer molecule that supports polymeric side chains, called branches or grafts. Side chains can be inserted onto the backbone during the synthesis of the backbone (copolymerization situation) or as a post-production process of the backbone [49]. In the first case, polymers with homogeneous bulk properties are obtained. The second case is very attractive since it allows the modification of many polymeric materials, including natural and synthetic fibers, or inorganic and metal particles. Backbones processed by polymer modification do not usually show significant changes in bulk properties. Surface modification is often carried out following a “grafting from” technique; that is why this method is also known as surface initiated polymerization (SIP) [50]. The backbones used for polymer grafting can be synthetic polymers, biopolymers, or inorganic and metal surfaces.
Synthetic polymers are human-made polymers and include a wide variety of materials, such as polyolefins, vinyl and fluorinated polymers, nylons, etc. The applications of synthetic graft copolymers include the synthesis of antifouling membranes [51], stimuli-response materials [52], and biomedical applications [53].
Biopolymers are produced by the cells of living organisms. Polysaccharides have become important lately because of their characteristics of availability, biocompatibility, low cost, and non-toxicity, making them candidates for substitution of petroleum-based materials [47]. Polysaccharide-based graft copolymers are used as drug delivery carrier, food packaging and wastewater treatment [54]. Some of the most studied polysaccharides are cellulose [27,28], lignin [55], chitin/chitosan [29,56,57,58], starch [59], and various gums [42].
Surface functionalization of inorganic and metallic particles that allow the incorporation of polymer shells by polymer grafting has also become important, since polymer coatings alter the interfacial properties of the modified particles. Zhou et al. reviewed different applications for inorganic and metallic particles grafted with biopolymers [50]. One important inorganic surface modified by polymer grafting is silica [60].

2.3. Backbone Functionalization Methods

Several chemical modification procedures have been developed due to the wide variety of backbones of interest. Chemical modification reactions depend on the functional groups (or absence thereof) along the backbone. Two main chemical routes used to attach, grow, or graft polymer molecules onto lignin have been proposed [55]: (a) creation of new chemically active sites, and (b) functionalization of hydroxyl groups.
The introduction of functional groups into a polymer backbone increases its reactivity, making it accessible for forward polymerization or coupling reactions. Functionalization reactions are therefore required to generate the end functional pre-formed polymer or the reactive end of the macromolecule species involved in the “grafting to” and “grafting through” polymer grafting techniques, respectively. Functionalization is also required in the formation of the macromolecular species, such as macro-initiators and macro-controllers, involved in the “grafting from” polymer grafting technique [27,61]. The most important functionalization reactions involved in polymer grafting include sulfonation, esterification, etherification, amination, phosphorylation, and thiocarbonation, among others.

2.4. Backbone Activation Methods

Another way to generate grafting sites within the polymer backbone is to use polymer grafting activators, such as free-radical initiators. As shown in Figure 2, polymer grafting activators can be classified into physical, chemical, and biological. The main characteristics of these activators are highlighted in Section 2.4.1, Section 2.4.2, Section 2.4.3 and Section 2.4.4.

2.4.1. Physical Activators

High energy radiation, also referred to as ionizing radiation, includes γ-beam and electron-beam radiations. Radiation-promoted grafting may follow one of three possible routes: (a) pre-irradiation of the backbone in the presence of an inert gas to generate free radicals before placing the backbone in contact with monomers; (b) pre-irradiation of the backbone in an environment containing air or oxygen to produce hydroperoxides or diperoxides in its surface, followed by high temperature reaction with monomer; and (c) the mutual irradiation technique, where backbone and monomer are irradiated simultaneously to generate free radicals [62].
Plasma is a partially ionized gas where free electrons, ions, and radicals are mixed. Different functional groups can be introduced, or free radicals can be generated on backbones by this process, depending on the gas used. Polymer grafting reactions carried out in plasma are sometimes classified as high energy radiation reactions [63].
The absorption of UV light on the surface of the material generates free radicals that serve as nucleation sites. The surface is then placed in contact with monomer for subsequent polymerization [64].
Microwave irradiation consists of direct interaction of electromagnetic irradiation with polar molecules and ionic particles, promoting very fast non-contact internal heating, which enhances reaction rates and leads to higher yields. Singh et al. carried out a successful polymerization of acrylamide on guar gum under microwave irradiation [65]. They proposed a mechanism in which free radicals are produced within the polysaccharide backbone by the effect of microwave irradiation on the hydroxyl groups of the biopolymer [65].

2.4.2. Chemical Activators

As shown in Figure 1, chemical activators include free radical and backbone oxidant initiators. Free radical initiators are compounds that present either direct or indirect homolytic fission. The first case involves the initiator itself and the second one requires participation of another molecule from the environment [66].
Oxidant initiators react directly with functional groups from the backbone, generating activation sites. Polymer grafting of polysaccharides using oxidant initiators has been reported in the literature [66].

2.4.3. Biological Activators

Enzymes catalyze polymer modification reactions through functional groups located at chain ends, along the main chain, or at side branches, promoting highly specific non-destructive transformations on backbones, under mild reaction conditions. Successful grafting of lignin by oxidation of its phenolic structures using laccases has been reported recently [2].

2.4.4. Combined Activators

Combinations of physical and chemical activators for polymer grafting have been successfully carried out. For instance, microwave assisted polymerization (MAP) has been combined with the use of chemical activators for the production of hydrogels synthesized by crosslinking graft copolymerization, taking advantage of the short reaction times required to obtain high yields [67,68]. Enzymes are also used in combination with radical initiators for more effective grafting copolymerization processes [69,70].

2.5. Polymer Grafting by Free-Radical Polymerization

As stated earlier, the “grafting through” and “grafting from” techniques require a polymerization reaction to bond the polymer grafts to the backbone. Different polymerization methods have been used for polymer grafting, but the most effective ones use free radical methods (e.g., FRP, RDRP, and REX), due to their versatility to work with different chemical groups, and their tolerance to impurities. A short overview on free-radical polymerization reactions is presented in Table 2. Polymer grafting by FRP, and other reactions, is affected by several factors, including the chemical nature of the components contained in the system—backbone, monomer, initiator, and solvent—and the interactions among them. Other aspects related to polymer grafting, including temperature and the use of additives, need to be considered [67]. The synthetic routes and activators used in graft polymerization provide a variety of interesting and versatile routes for this type of polymer modification.

3. Backbones and Supports Used in Polymer Grafting

As explained earlier, grafted materials consist of side chains or arms attached to primary polymers referred to as backbones. The purpose of polymer grafting is to combine chemical, mechanical, interfacial, electrical, or other polymer properties between the constituent materials. The diversity of backbones and the ways in which side chains are attached to them through polymer grafting will be briefly overviewed in this section.

3.1. Cellulose, Lignin, and Lignocellulosic Biomasses as Backbones

Lignocellulosic biopolymers are abundant in nature. They are made of cellulose, hemicellulose, and lignin. They also contain moisture, extractive organic compounds, and ashes from inorganic compounds in lesser amounts. Each of these components has distinct characteristics. The extractive organic compounds present in lignocellulosic biopolymers are oligomers and oligosaccharides of low molecular weight, sugars, fatty acids, resins, etc. [76].
Cellulose, hemicellulose, and lignin can be modified by polymer grafting leading to new promising materials with interesting properties. However, the extractables are not useful for this purpose since they are not part of a skeleton or stiff structure that may provide support or mechanical stability. Extractables also consume reactants required for the grafting process. They are usually removed prior to the polymer grafting process, although in some studies, they remain in the system during the formation of grafted arms [77].
Polymer grafting of xylan onto lignin has been studied since the early 1960s. Early reports on the topic reported the grafting of organic polymers, such as 4-methyl-2-oxy-3-oxopent-4-ene and methyl methacrylate polymers [78,79], xylan [80], ethylbenzene, and styrene [81,82,83,84], onto lignin or lignin derivatives. The topic of polymer grafting of synthetic polymers onto lignocellulosic biopolymers has gained renewed relevance in the last two decades due to environmental and sustainability issues [27,85,86,87,88,89,90,91,92,93,94].
Cellulose can be extracted from lignocellulose and used as such or modified for other applications. Table 3 provides an overview of grafting of synthetic polymers onto cellulose and natural fibers. (See the tables of Section 6 for explanation of abbreviations and symbols.)
Lignin follows cellulose in abundance on earth, providing a primary natural source of aromatic compounds [125]. Several industrial applications have been attempted for lignin [55,125,126,127] but not all of them have succeeded due to different reasons [125,128,129,130].
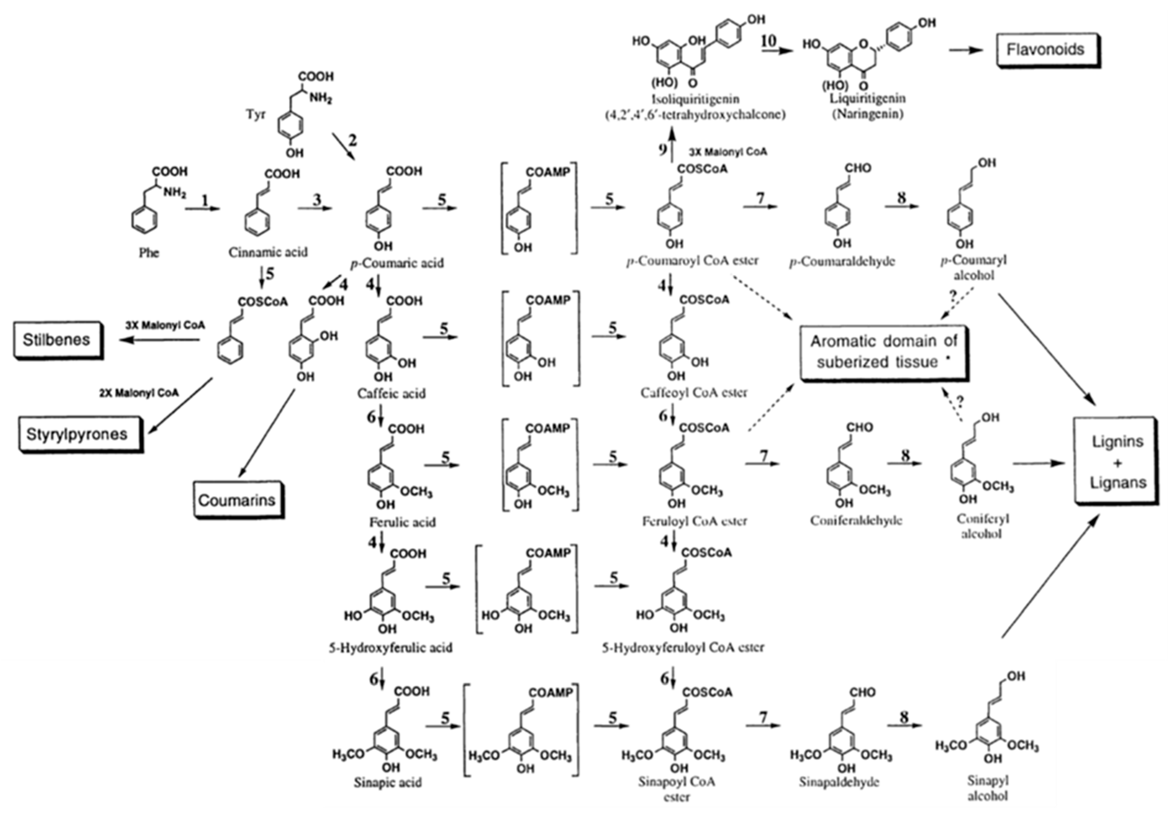
Marton [8] described fifty-four different constituents that can be found in lignin based on interpretation of experimental data from biochemical degradation, oxidation, and other ways of decomposition of different types of lignin materials. The combinations and proportions among these structures lead to different properties of lignin materials. Three decades later, Lewis and Sarkanen [130] organized these fifty-four structures into a map that they called phenylpropanoid pathway. As observed in Figure 3, lignins and lignans are monolignol derived compounds. Sharma and Kumar described lignin as a complex material consisting mostly of three single unit lignol precursors, coniferyl alcohol, p-coumaryl alcohol, and sinapyl alcohol, along with other atypical monolignol constitutive units in trace amounts [55].
The process used for lignin extraction and the final properties of the material depend on the type of biomass employed [55]. Lignin is obtained from woods, which can be hard, soft, bushes, rinds, husks, corncobs, either products or residues. A pulp is obtained from these materials. The yield of lignin extraction depends on temperature, time, dispersion media, extraction method, and the amount of lignin present in the raw material. Lignin extraction methods can be biological or enzymatic, physical, or chemical. Integrated solutions are employed at the end to remove impurities from lignin so it can be bleached [55]. The complex structure of lignin contains specific surface moieties that provide reactive sites where polymers and other species can be synthesized, bonded, or modified [55]. These moieties were recognized as hydroxyl, carboxyl, carbonyl, and methoxyl groups.
There are two main routes for grafting of polymer chains onto lignin-based biopolymers [55]: (a) synthesis of new reactive sites within lignin’s structure; and (b) modification or functionalization of lignin’s hydroxyl groups. Route (a) allows lignin to become more reactive, both at the surface, and within the bulk. Polymer modification by route (a) improves both, the properties of lignin and those of the modified materials.
In route (b), a good number of functional groups can be placed in the end groups of lignin (what is sometimes referred to as the surface of lignin). Katahira et al. [131] identified seven side chain structures in the end groups of lignin: p-coumarate, ferulate, hydroxycinnamyl alcohol, hydroxycinnamaldehyde, arylglycerol, dihydrocinnamyl alcohol, and guaiacylpropane-1,3-diol end-units, as shown in Figure 4 and Figure 5 [131]. However, it has been proposed that the phenolic hydroxyl groups shown in Figure 4, and the aliphatic hydroxyl functional groups corresponding to C-α and C-γ positions of the side molecule fragment shown in Figure 5, are the most reactive [55]. Both routes allow one to produce grafted materials, mainly polymers, and most of them come from route (b) above [85,132,133]. Further reports on lignin treatments and grafting can be found elsewhere [55,91,125,128].
The overview on grafting of synthetic polymers onto cellulose and other lignocellulosic biopolymers presented in Table 3 is further expanded in Table 4 to include other examples of lignocellulosic biomasses, and other natural biopolymers, such as polysaccharides, chitin, and chitosan. Examples of recent research reports (2020–2021) on synthesis of grafted polymers are provided in Table 5. Table 6, Table 7, Table 8, Table 9, Table 10, Table 11, Table 12 and Table 13 contain extensive information related to characterization of polymer grafting. Table 14 summarizes the literature on modeling of polymer grafting. Table 15 shows the polymerization scheme of FRP including CTP and crosslinking. Finally, Table 16, Table 17, Table 18 and Table 19 provide information on the many symbols and abbreviations used throughout the review.
Polysaccharides are abundant in nature, no matter whether in plants or animals, and are important for in vivo functions. As observed in Figure 6, there is a wide variety of polysaccharides, but the most abundant ones are cellulose and chitin. Cellulose provides structure to the cell walls of plants. Chitin, on the other side, is part of the exoskeletons of crustaceans, shellfish, and insects [169].
Chitin is an abundant but only marginally used biomass. There are several reasons why not many practical applications for chitin have been developed [169]: (a) bulky structure; (b) insolubility in water and typical organic solvents; (c) it is harmful to recover chitin, since the available procedures require the use of strong acids and bases; (d) native chitin from crustaceans, which have exoskeletons that protect animals from their predators, has fibrous structures rich in proteins and minerals; and (e) there is a need to remove mineral and protein constituents in order to isolate chitin.
Chitosan was developed to overcome the drawbacks of chitin. Chitosan is commercially attractive for production of biocompatible polymers for environmental and biomedical applications [30]. It is basically a copolymer of N-acetyl-D-glucosamine and D-glucosamine. It is obtained from the hydration of chitin. This hydration takes place in alkaline solutions in a temperature range of 80–140 °C during 10 h [170,171].
Chitosan is a cationic polysaccharide, produced by deacetylation of chitin. Deacetylation proceeds to different levels depending on the intended uses. The physical properties of chitosan, particularly solubility, depend on molecular weight and degree of deacetylation of the material [172,173,174].
Modification of chitosan leads to a diversity of derivates, with differentiated properties. As shown in Figure 1 of Deng et al. [174], different chitosan moieties are possible. Each one of them is produced from grafting or other chemical or enzymatic modification forms. They differ in antimicrobial activity. Further studies on chitin-chitosan modification are available in the literature [58,175,176,177,178].

3.2. Polymer Backbones

Polymer backbones are the most common substrates for grafting modification. Several techniques can be used to create many possible combinations. Most of these developments are focused on property improvement for industrial applications. They include synthesis of adhesives; reinforcement of mechanical properties; improvement of chemical resistance; synthesis of electro, optical, thermo responsive polymers; health care applications; and self-healing polymers, among others [179].
Polymer grafting techniques have been reported since the late 1950s [8,9,11]. Polymers based on acrylamide and acrylonitrile using polymer grafting techniques are included in the early reports. However, the huge increase in research related to synthesis of materials with controlled microstructures using polymer grafting techniques has been possible due to the advances in reversible deactivation radical polymerization (RDRP) techniques over the last three decades [180,181,182,183,184]. The main RDRP routes are nitroxide mediated polymerization (NMP) [185], reversible addition fragmentation transfer polymerization (RAFT) [180,186,187], and atom transfer radical polymerization (ATRP) [71,188], although there are other polymer synthesis techniques, such as ring-opening polymerization (ROP) [181] and click chemistry, among others, that can be used. Another important aspect in polymer grafting is the solvent used for the reaction, particularly when grafting proceeds as a heterogenous process. As observed in Table 19, solvents such as supercritical fluids, mainly supercritical carbon dioxide, water, DMF, or combinations of solvents are typically used for polymer grafting. These techniques have improved our skills to produce molecularly well-defined, chain-end tethered polymer brush films. The assets of RDRP have substantially impacted the synthesis and properties of surface-grafted polymers. Although vinyl monomers are widely use in graft polymerization for backbones or side-arms, other monomers coming from natural sources are increasingly being used. That is the case, for instance, of ɛ-caprolactone, lactic acid [189], L-lactide, and butyrolactone. It is also observed in Table 19 that other nontraditional monomers such as acrylamide (AM), N-isopropylacrylamide (NIPAAM), and acrylates and methyl acrylates, such as methyl methacrylate (MMA) and acrylic acid (AA), are being increasingly used in polymer grafting applications.
To get a glimpse of the focus of research papers that involve polymer grafting as the chemical route for polymer modification, Table 5 summarizes journal reports on polymer grafting from the current period (2020–2021). As expected, an increasing trend toward the improvement of natural biopolymers using synthetic polymer arms is observable.

4. Characterization Techniques Used for Polymer Grafted Materials

The characterization of polymer grafted materials requires the use of a variety of methods due to the many possible combinations of backbones and polymer grafts [59]. The characterization methods can be classified as direct or indirect.
Direct methods are those used to identify changes in the chemical structure of grafted materials, such as the bonds between backbone and grafts. These methods include proton and carbon magnetic nuclear resonance, 1H-NMR, and 13C-NMR, respectively.
Indirect methods are based on differences in properties between the starting and grafted materials, relating these changes to the modified structures. Microscopy and thermal analysis are examples of indirect methods. A summary of the main characterization methods used for grafted materials is presented in Table 6.
The relevant information contained in selected articles is also gathered in this review to show how the characterization techniques were used to provide evidence of polymer grafting onto the corresponding backbones. Table 7, Table 8, Table 9, Table 10, Table 11 and Table 12 summarize the use of thermal, spectroscopic, imaging and microscopy, rheological, chromatographical, and mechanical characterization techniques, respectively, in the analysis of polymer grafted materials. Finally, a summary of biological, functional, and composition characterization techniques used for grafted materials is provided in Table 13.

5. Modeling of Polymer Grafting

5.1. Literature review on Modeling of Polymer Grafting

An overview of the literature on the modeling of polymer grafting is summarized in Table 14. The backbones considered, the functionalization methods, the polymer chains grafted, and summary comments on the modeling approaches used to carry out the simulations are included in the table.

5.2. Modeling of Polymer Branching and Crosslinking

As observed in Table 14, most reports on the modeling of polymer grafting are related to cases where grafting involves free-radical growth of the grafts, and the generation of active sites proceeds through chain transfer to polymer reactions. In that sense, the growth of polymer grafts resembles the formation and growth of branches in polymer branching. The difference would be that the branches and primary polymer chains contain the same monomers, whereas grafts and backbones contain different monomers in polymer grafting. There are several papers focused on the modeling of polymer branching [262,263,264,265,266,267,268]. In some cases, as in the grafting of monochlorotriazinyl-β-cyclodextrin onto cellulose, the activation mechanism is not specified, and the modeling approach is fully empirical (neural network modeling) [237,238,239].
In general terms, the polymerization scheme of FRP including chain transfer to polymer (CTP) is given by the reactions shown in Table 15. The specific mathematical expressions containing CTP terms are given by Equations (1)–(7). I, R, and M in Table 15 are initiator, primary free radical, and monomer molecules, respectively; Pn and Dm denote live and dead polymer molecules, respectively, of sizes n and m. ki, kp, ktd, and ktrp (also denoted as kfp in Equations (8) and (9)) denote initiation, propagation, termination by disproportionation, and chain transfer to polymer kinetic rate constants, respectively.
Polymer branching can be modeled using a bivariate distribution of chain length and number of branches resulting from polymerizations involving branched polymers [269]. Pn, b in Table 15 accounts for a bivariate distribution of live polymer of length n and number of branches b. The moment equations shown below consider only the kinetic steps of propagation and chain transfer to polymer, for illustrative purposes. For a batch reactor, the application of the mass action law considering only these two kinetic steps results in Equation (1) [269]. It should be noticed that in the transfer to polymer reaction there are as many possible sites of reaction as monomeric units in the dead polymer chain participating in the reaction.
d P n , b d t = k p ( P n , b M + P n 1 , b M )   k trp P n , b ( m = 1 c = 0 m D m , c )   + k trp n D n , b 1 h = 1 e = 0 P h , c + .
n = 1, …, ∞; b = 0, …, ∞
The bivariate moments for active and inactive polymer are defined respectively as shown in Equations (2) and (3). Number and weight-averaged molecular weights, and the average number of branches, are given by Equations (4)–(6) [269].
μ G , H = n = 1 b = 0 n G b H P n , b
λ G , H = n = 1 b = 0 n G b H D n , b
M n = μ 1 , 0 + λ 1 , 0 μ 0 , 0 + λ 0 , 0 W m
M w = μ 2 , 0 + λ 2 , 0 μ 1 , 0 + λ 1 , 0 W m
B n = μ 0 , 1 + λ 0 , 1 μ 0 , 0 + λ 0 , 0
The moment equations for live polymer are given by Equation (7) [269].
. d μ G , H d t . . k p M μ G , H + k p M R = 0 G ( G R ) μ G R , H k t r p μ G , H λ 1 , 0 + k t r p μ 0 , 0 K = 0 H ( H K ) λ G + 1 , H +
Another approach with which to address the modeling of polymer branching in FRP is to use the concept of branching density, denoted as ρ, which is given by the ratio of the number of branching points to that of monomeric units, and it can be estimated using Equation (8), which when solved leads to Equation (9) [270]. kfp and kp in Equations (8) and (9) are chain transfer to polymer and propagation kinetic rate constants, respectively, and x is monomer conversion.
d ( x ρ ) d x = k f p x k p ( 1 x )
β = k f p k p [ 1 + l n ( 1 x ) x ]
CTP and terminal double bond (TDB) polymerization produce tri-functional (long) branches, in addition to increasing the weight-averaged molecular weight and broadening the MWD. A reaction “similar” to TDB polymerization is the polymerization with internal (pendant) double bonds (double bonds “internal” in dead polymer chains, appearing therein due to (co)polymerization of di-functional (divinyl) monomers (e.g., butadiene). Internal double bond (IDB) polymerization produces tetra-functional (long) branches and leads eventually to the formation of crosslinked polymer (gel). Both molecular weight averages increase due to IDB polymerization and the MWD broadens considerably [43]. Crosslinking can be considered as interconnected branching, and in that sense, its growth by CTP and its modeling in terms of a crosslink density, denoted as ρa, can also be taken as a useful basis for the modeling of polymer grating by CTP and propagation through the intermediate free radicals. Balance equations for polymer radicals of size r (R*r) and ρa for a case of copolymerization with crosslinking of vinyl/divinyl monomers, using the pseudo-kinetic rate constants method, are given by Equations (10) and (11), respectively, where Ps is a dead polymer of size r; Q1 is first-order moment for the dead polymer; and kcp and kcs are primary and secondary cyclization rate constants, respectively [271].
1 V d ( V [ R r * ] ) dt = k p [ M ]   [ R r 1 * ] + k f   p r   [ P r ]   [ R * ] + k p * s = 1 r 1 s   [ R r s * ]   [ P s ] ( k p * )   [ M ]   [ R r * ]   ( k td + k tc )   [ R * ]   [ R r * ] ( k p * + k fp )   Q 1 [ R r * ]
d [ x ρ a ¯ ] dt = k p * [ F 2 ¯ ( 1 k cp ) ρ a ¯ ( 1 + k cs ) ]   x k p ( 1 x ) dx dt  

5.3. Main Modeling Equations for Polymer Grafting

Grafting efficiency (ε) and number average molecular weights for the different polymer populations (WIH, WSH, WII, WIS, and WSS) for the grafting of vinyl polymers onto pre-formed polymer with highly active chain transfer sites of (pendant mercaptan groups) are given by Equations (12)–(17) [39]. Subscripts IH and SH in the molecular weights shown in Equations (12)–(17) account for primary chains formed by chain transfer or by disproportionation termination (without distinguishing between terminally saturated and unsaturated chains) of polymer radicals starting with I and S fragments, respectively. Subscripts II, IS, and SS, on the other hand, account for primary chains produced by combination of the appropriate pair of polymer radicals starting with I and S fragments, respectively. r in Equations (12)–(18) is the ratio of propagation to termination kinetic rate constants, namely, r = kp/2kt.
ε = W S H + W S S + W I S W S H + W S S + W I S + W I H + W I I
W I H = m [ M ] 0 0 { y 0 y 0 + ( 1 ) C S ( 1 r ) y 0 2 [ y 0 + ( 1 ) C S ] 2 } d
W S H = m [ M ] 0 0 { ( 1 ) C S y 0 + ( 1 ) C S ( 1 r ) y 0 ( 1 ) C S [ y 0 + ( 1 ) C S ] 2 } d
W I I = m [ M ] 0 0 { ( 1 r ) y 0 3 [ y 0 + ( 1 ) C S ] 3 } d
W I S = 2 m [ M ] 0 0 { ( 1 r ) y 0 2 ( 1 ) C S [ y 0 + ( 1 ) C S ] 3 } d
W S S = m [ M ] 0 0 { ( 1 r ) y 0 ( 1 ) 2 C S [ y 0 + ( 1 ) C S ] 3 } d
An example of calculation of the mole fraction chain length distribution (number distribution) (nx) for the case of polymer grafting of vinyl polymers onto solid polymeric substrates, considering no chain transfer and incomplete conversion, is shown in Equation (18) [40].
n x , 1 = [ R 0 ] r [ M ] 0 { 1 ( [ M ] [ M ] 0 ) 1 / r } { 1 + [ R 0 ] ( 1 r ) x r [ M ] 0 } r 2 1 r
When addressing the modeling of polymer grafting of vinyl polymer onto polyolefins in extruders by CTP, Hamielec et al. [231] proposed a polymerization scheme and the corresponding kinetic equations where the prepolymer molecule bears abstractable hydrogens on its backbone and a second compound, denoted as additive (A), is bound to the prepolymer backbone via reaction with a free radical. The backbone radical then transfers its radical center to the active molecules. The radical is finally terminated with other radicals. Proper kinetic equations were written down for the participating species, and a degree of grafting, g, which is the average of number of grafted molecules per monomer unit on the prepolymer backbone, was defined as shown in Equation (19), where Q1 is the concentration of monomer units on prepolymer backbones which remains constant during branching, Ka,3 is the kinetic coefficient for the grafting (additive addition) reaction, and R03 designates a primary radical with radical center on backbone R0. Further mathematical treatment by the authors leads to Equation (20) for calculation of the full chain length distribution of the polymer population, w(r,s), where w0(r) is the initial chain length distribution of the prepolymer [231].
d g d t = K a , 3 R 0 , 3 A Q 1
w ( r , s ) = ( 1 + s r ) w 0 ( r ) ( 1 + g ) s ! ( g r ) s e g r
As stated above in Table 14, Gianoglio Pantano et al. [245] developed a very detailed model for grafting of PSty onto PE. Among the concentrations of species calculated by the model, the concentration of poly(ethylene-g-styrene) is calculated using Equation (21), and the concentration of grafted PS, denoted as Gr, is obtained from Equation (22). G(t) is a matrix array of “infinite” size whose elements contain the molar concentrations of the individual species with degree of polymerization indicated by its subscripts. VG is a vector that contains the corresponding reaction rate terms, I1,0 is a bivariate moment of order 1 for PS and order 0 for PE, which represents the mass of PS grafted onto PE, and MPS1 is the molar mass of PS.
d G ( t ) d t = V G ;   G ( 0 ) = 0
G r = 100 I 1 , 0 M 1 P S ( t = 0 )
Very detailed simulation studies for the grafting of vinyl polymers onto PE using kMC were presented by Hernández-Ortiz et al. [41,259,260,261]. Some of the key reactions considered in this study are shown in Figure 7 and the modeling strategy is summarized in Figure 8 [259].

6. Nomenclature, Symbols, Abbreviations, and Chemical Structures

As mentioned earlier, symbols and abbreviations used in this contribution are defined and summarized in Table 16, Table 17, Table 18 and Table 19.

7. Conclusions

Polymer grafting is a useful route for the synthesis of materials with interesting mechanical, thermal, dilute solution, and melt properties, and the ability to be compatible with otherwise incompatible mixtures. Systematic studies on polymer chemistry and characterization, and even modeling studies of polymer grafting started in about the 1950s. The interest in the grafting of natural biopolymers has escalated in the last 20 or so years due to environmental and sustainability issues.
Most of the studies on modeling of polymer grafting have focused on insertion of active sites on the backbone by CTP and growth of grafts by FRP or variants of FRP, such as RDRP. The monomers of major use for polymer grafting purposes are acrylic monomers (MMA, NIPAAM, AM, AA, BA), styrene (STY) and vinyl ethers [140,184]. When fine control of grafted structures is not required, polymer grafting by FRP may be enough. However, when precise control of polymer grafts (size and separation) is required, RDRP techniques, such as NMP, ATRP, and RAFT, are more adequate. RDRP polymer grafting techniques usually proceed by the “grafting-from” route [140,180,184]. One disadvantage of RDRP techniques is that they require longer reaction times. For instance, polymer grafting by RAFT polymerization lasts from 8 to 48 h, plus the time required to prepare the related microcontrollers, which in many cases includes an esterification step through Steglich or anhydride procedures. Polymer grafting by ATRP takes from 24 h to several days.
Polymer grafting by ROP procedures using L-lactide (L-LA) and ε-caprolactone (CL) for the synthesis of poly(l-lactic acid) and poly(ε-caprolactone) polymer grafts is gaining importance [181,182,189]. Other monomers used are 2-ethyl-2-oxazoline, to produce PEOX, and ethylene glycol, to produce PEG. These reactions are commonly conducted at temperatures higher than 80 °C, which complicates solvent selection, when using metal catalysts such as Sn (Oct)2. Solvents should dissolve monomer and polymer, perform adequately at the selected temperatures, and show “green” characteristics. DMF, DMSO, p-dioxane, and toluene are some of the solvents most commonly used for polymer grafting by ROP. However, the recent advent of metal-free and organocatalyzed ROP has facilitated the polymerization at room temperature. For example, poly(lactide) materials can be made by ROP of L-LA at ambient conditions in the presence of 1,5,7-triazabicyclo[4.4.0]dec-5-ene (TBD) and 1,8-diazabicyclo[5.4.0]undec-7-ene (DBU) [272].
Polymer grafting is also important in the synthesis of “dendrigraft copolymers.” A large variety of heterogeneous dendrigraft copolymer architectures with core-shell and core-shell-corona morphologies can be produced, at significantly lower costs than for conventional dendrimer syntheses [18].
As observed in Table 14, the modeling of polymer grafting has focused on CTP or site formation by irradiation with FRP chemistry, in conventional flasks, stirred-tank reactors, or extruders. Other chemical routes have been addressed using semi-empirical approaches only. Therefore, there is still much to do in and contribute to this area.

Author Contributions

E.V.-L. and A.P. conceived the original idea (with discussions with A.R.-A., J.P.-A., M.G.H.-L., and A.M.). E.V.-L., M.G.H.-L., and A.M. assured funding acquisition through a project where experimental and theoretical work on polymer grafting of biopolymers from lignocellulosic biomasses has been carried out and provided background and motivation for this contribution. M.Á.V.-H., G.S.C.-D., A.R.-A., and E.V.-L. carried out critical literature reviews on different topics of the review. M.Á.V.-H., A.R.-A., and E.V.-L. wrote the original draft of the paper; E.V.-L., A.M., A.P., and Y.M. read and corrected different versions of the manuscript and provided extra references and discussion points. All authors have read and agreed to the published version of the manuscript.

Funding

This research was funded by: (a) Consejo Nacional de Ciencia y Tecnología (CONACYT, México), PhD scholarships granted to M.A.V.-H. and G.S.C.-D.; (b) DGAPA-UNAM, Projects PAPIIT IG100718, IV100119, TA100818, and TA102120, granted to E.V.-L.—the first two—and to A.R.-A.—the last two; and PASPA sabbatical support to E.V.-L. while at the University of Waterloo, in Ontario, Canada; (c) Facultad de Química, UNAM, research funds granted to E.V.-L. (PAIP 5000-9078) and A.R.-A. (PAIP 5000-9167); (d) NSERC funding to A.P.; and (e) the Department of Chemical Engineering, University of Waterloo, Canada, partial sabbatical support to E.V.-L. with research funds from A.P. No funding was received for APC.

Institutional Review Board Statement

Not applicable.

Informed Consent Statement

Not applicable.

Data Availability Statement

Data sharing is not applicable to this article.

Conflicts of Interest

The authors declare no conflict of interest. The funders had no role in the design of the study; in the collection, analyses, or interpretation of data; in the writing of the manuscript, or in the decision to publish the results.

References

  1. Hadjichristidis, N.; Pitsikalis, M.; Iatrou, H.; Driva, P.; Chatzichris, M.; Sakellariou, G.; Lohse, D. Graft copolymers. In Encyclopedia of Polymer Science and Technology, 2nd ed.; Matyjaszewski, K., Ed.; John Wiley & Sons: Hoboken, NJ, USA, 2010; pp. 1–38. ISBN 978-047-144-026-0. [Google Scholar]
  2. Slagman, S.; Zuilhof, H.; Franssen, M.C.R. Laccase-Mediated Grafting on Biopolymers and Synthetic Polymers: A Critical Review. ChemBioChem 2017, 19, 288–311. [Google Scholar] [CrossRef]
  3. Stannett, V.T. Block and graft copolymerization. In Journal of Polymer Science: Polymer Letters, 1st ed.; Ceresa, R.J., Ed.; John Wiley & Sons: Hoboken, NJ, USA, 1973; Volume 1, pp. 669–670. [Google Scholar] [CrossRef]
  4. Meier, D.J. Theory of block copolymers. I. Domain formation in A-B block copolymers. J. Polym. Sci. C Polym. Symp. 1969, 26, 81–98. [Google Scholar] [CrossRef]
  5. Helfand, E.; Block Copolymer Theory. III. Statistical Mechanics of the Microdomain Structure. Macromolecules 1975, 8, 552–556. [Google Scholar] [CrossRef]
  6. Helfand, E.; Wasserman, Z.R. Block Copolymer Theory. 4. Narrow Interphase Approximation. Macromolecules 1976, 9, 879–888. [Google Scholar] [CrossRef]
  7. Helfand, E. Block copolymers, polymer-polymer interfaces, and the theory of inhomogeneous polymers. Acc. Chem. Res. 1975, 8, 295–299. [Google Scholar] [CrossRef]
  8. Blanchette, J.A.; Nielsen, L.E. Characterization of graft polymers. J. Polym. Sci. 1956, 20, 317–326. [Google Scholar] [CrossRef]
  9. Merret, F.M. Graft polymers with preset molecular configurations. J. Polym. Sci. 1957, 24, 467–477. [Google Scholar] [CrossRef]
  10. Gluckman, M.S.; Kampf, M.J.; O’brien, L.J.; Fox, T.G.; Graham, R.K. Graft copolymers from polymers having pendant mercaptan groups. II. Synthesis and characterization. J. Polym. Sci. 1959, 37, 411–423. [Google Scholar] [CrossRef]
  11. Miller, M.L. Block and graft polymers I. Graft polymers from acrylamide and acrylonitrile. Can. J. Chem. 1957, 36, 303–308. [Google Scholar] [CrossRef]
  12. Beevers, R.B.; White, E.F.T.; Brown, L. Physical properties of vinyl polymers. Part 3.—X-ray scattering in block, random and graft methyl methacrylate + acrylonitrile copolymers. Trans. Faraday Soc. 1960, 56, 1535–1541. [Google Scholar] [CrossRef]
  13. Oster, G.; Oster, G.K.; Moroson, H. Ultraviolet induced crosslinking and grafting of solid high polymers. J. Polym. Sci. 1959, XXXIV, 671–684. [Google Scholar] [CrossRef]
  14. Kobayashi, Y. Gamma-ray–induced graft copolymerization of styrene onto cellulose and some chemical properties of the grafted polymer. J. Polym. Sci. 1961, 51, 359–372. [Google Scholar] [CrossRef]
  15. Bridgeford, D.J. Catalytic Deposition and Grafting of Olefin Polymers into Cellulosic Materials. Ind. Eng. Chem. Prod. Res. Dev. 1962, 1, 45–52. [Google Scholar] [CrossRef]
  16. Huang, R.Y.-M.; Immergut, B.; Immergut, E.H.; Rapson, W.H. Grafting vinyl polymers onto cellulose by high energy radiation. I. High energy radiation-induced graft copolymerization of styrene onto cellulose. J. Polym. Sci. A Gen. Pap. 1963, 1, 1257–1270. [Google Scholar] [CrossRef]
  17. McManus, N.; Zhu, S.-H.; Tzoganakis, C.; Penlidis, A. Grafting of ethylene-ethyl acrylate-maleic anhydride terpolymer with amino-terminated polydimethylsiloxane during reactive processing. J. Appl. Polym. Sci. 2006, 101, 4230–4237. [Google Scholar] [CrossRef]
  18. Cadena, L.-E.; Gauthier, M. Phase-segregated dendrigraft copolymer architectures. Polymers 2010, 2, 596–622. [Google Scholar] [CrossRef]
  19. Aridi, T.; Gauthier, M. Chapter 6. Arborescent polymers with a mesoscopic scale. In Complex Macromolecular Architectures: Synthesis, Characterization, and Self-Assembly, 1st ed.; Hadjichristidis, N., Hirao, A., Tezuka, Y., Du Prez, F., Eds.; John Wiley & Sons: Hoboken, NJ, USA, 2011; pp. 169–194. ISBN 978-047-082-514-3. [Google Scholar]
  20. Moingeon, F.; Wu, Y.; Cadena-Sánchez, L.; Gauthier, M. Synthesis of arborescent styrene homopolymers and copolymers from epoxidized substrates. J. Polym. Sci. A Polym. Chem. 2012, 50, 1819–1826. [Google Scholar] [CrossRef]
  21. Whitton, G.; Gauthier, M. Arborescent polypeptides from γ-benzyl l -glutamic acid. J. Polym. Sci. A Polym. Chem. 2013, 51, 5270–5279. [Google Scholar] [CrossRef]
  22. Aridi, T.; Gauthier, M. Synthesis of arborescent polymers by click grafting. Mater. Res. Soc. Symp. Proc. 2014, 1613, 23–31. [Google Scholar] [CrossRef]
  23. Dockendorff, J.; Gauthier, M. Synthesis of arborescent polystyrene-g-[poly(2-vinylpyridine)-b- polystyrene] core-shell-corona copolymers. J. Polym. Sci. A Polym. Chem. 2014, 52, 1075–1085. [Google Scholar] [CrossRef]
  24. Whitton, G.; Gauthier, M. Arborescent micelles: Dendritic poly(γ-benzyl l -glutamate) cores grafted with hydrophilic chain segments. J. Polym. Sci. A Polym. Chem. 2016, 54, 1197–1209. [Google Scholar] [CrossRef]
  25. Gauthier, M.; Whitton, G. Arborescent unimolecular micelles: Poly(γ-benzyl L-glutamate) core grafted with a hydrophilic shell by copper(I)-catalyzed azide-alkyne cycloaddition coupling. Polymers 2017, 9, 540. [Google Scholar] [CrossRef]
  26. Gauthier, M.; Aridi, T. Synthesis of arborescent polystyrene by “click” grafting. J. Polym. Sci. A Polym. Chem. 2019, 57, 1730–1740. [Google Scholar] [CrossRef]
  27. Roy, D.; Semsarilar, M.; Guthrie, J.T.; Perrier, S. Cellulose modification by polymer grafting: A review. Chem. Soc. Rev. 2009, 38, 2046–2064. [Google Scholar] [CrossRef] [PubMed]
  28. Wohlhauser, S.; Delepierre, G.; Labet, M.; Morandi, G.; Thielemans, W.; Weder, C.; Zoppe, J.O. Grafting Polymers from Cellulose Nanocrystals: Synthesis, Properties, and Applications. Macromolecules 2018, 51, 6157–6189. [Google Scholar] [CrossRef]
  29. Jenkins, D.W.; Hudson, S.M. Review of vinyl graft copolymerization featuring recent advances toward controlled radical-based reactions and illustrated with chitin/chitosan trunk polymers. Chem. Rev. 2001, 101, 3245–3274. [Google Scholar] [CrossRef] [PubMed]
  30. Thakur, V.K.; Thakur, M.K. Recent Advances in Graft Copolymerization and Applications of Chitosan: A Review. ACS Sustain. Chem. Eng. 2014, 2, 2637–2652. [Google Scholar] [CrossRef]
  31. Kaur, L.; Gupta, G.D. A review on microwave assisted grafting of polymers. Int. J. Pharm. Sci. Res. 2017, 8, 422–426. [Google Scholar] [CrossRef]
  32. Brodin, M.; Vallejos, M.; Opedal, M.T.; Area, M.C.; Chinga-Carrasco, G. Lignocellulosics as sustainable resources for production of bioplastics—A review. J. Clean. Prod. 2017, 162, 646–664. [Google Scholar] [CrossRef]
  33. Niphadkar, S.; Bagade, P.; Ahmed, S. Bioethanol production: Insight into past, present and future perspectives. Biofuels 2018, 9, 229–238. [Google Scholar] [CrossRef]
  34. Banerjee, J.; Singh, R.; Vijayaraghavan, R.; MacFarlane, D.; Patti, A.F.; Arora, A. Bioactives from fruit processing wastes: Green approaches to valuable chemicals. Food Chem. 2017, 225, 10–22. [Google Scholar] [CrossRef]
  35. Neuling, U.; Kaltschmitt, M. Review of Biofuel Production—Feedstock, Processes and Markets. J. Oil Palm Res. 2019, 29, 137–167. [Google Scholar] [CrossRef]
  36. Vega-Hernández, M.Á.; Rosas-Aburto, A.; Vivaldo-Lima, E.; Vázquez-Torres, H.; Cano-Díaz, G.S.; Pérez-Salinas, P.; Hernández-Luna, M.G.; Alcaraz-Cienfuegos, J.; Zolotukhin, M.G. Development of polystyrene composites based on blue agave bagasse by in situ RAFT polymerization. J. Appl. Polym. Sci. 2019, 136, 47089. [Google Scholar] [CrossRef]
  37. Farhat, W.; Venditti, R.; Ayoub, A.; Prochazka, F.; Fernández-de-Alba, C.; Mignard, N.; Taha, M.; Becquart, F. Towards thermoplastic hemicellulose: Chemistry and characteristics of poly-(ε-caprolactone) grafting onto hemicellulose backbones. Mater. Des. 2018, 153, 298–307. [Google Scholar] [CrossRef]
  38. Sun, Y.; Ma, Z.; Xu, X.; Liu, X.; Liu, L.; Huang, G.; Liu, L.; Wang, H.; Song, P. Grafting Lignin with Bioderived Polyacrylates for Low-Cost, Ductile, and Fully Biobased Poly(lactic acid) Composites. ACS Sustain. Chem. Eng. 2020, 8, 2267–2276. [Google Scholar] [CrossRef]
  39. Fox, T.G.; Gluckman, M.S.; Gornick, F.; Graham, R.K.; Gratch, S. Graft copolymers from polymers having pendant mercaptan groups. I. Kinetic considerations. J. Polym. Sci. 1959, XXXVII, 397–409. [Google Scholar] [CrossRef]
  40. Zimmerman, J. Molecular weight distributions of vinyl polymers grafted to a solid polymeric substrate by irradiation (theoretical). J. Polym. Sci. 1960, XLIV, 107–116. [Google Scholar] [CrossRef]
  41. Hernández-Ortiz, J.C.; Van Steenberge, P.H.M.; Duchateau, J.N.E.; Toloza, C.; Schreurs, F.; Reyniers, M.-F.; Marin, G.B.; D’hooge, D.R. A two-phase stochastic model to describe mass transport and kinetics during reactive processing of polyolefins. Chem. Eng. J. 2019, 377, 119980. [Google Scholar] [CrossRef]
  42. Gandhi, A.; Verma, S.; Imam, S.S.; Vyas, M. A review on techniques for grafting of natural polymers and their applications. Plant Arch 2019, 19, 972–978. [Google Scholar]
  43. Wei, L.; McDonald, A.G. A Review on Grafting of Biofibers for Biocomposites. Materials 2016, 9, 303. [Google Scholar] [CrossRef]
  44. De Jesús Muñoz Prieto, E.; Rivas, B.; Sánchez, J. Natural polymer grafted with syntethic monomer by microwave for water treatment—A review. Cienc. Desarro. 2012, 4, 219–240. [Google Scholar] [CrossRef]
  45. Barsbay, M.; Güven, O. A short review of radiation-induced raft-mediated graft copolymerization: A powerful combination for modifying the surface properties of polymers in a controlled manner. Radiat. Phys. Chem. 2009, 78, 1054–1059. [Google Scholar] [CrossRef]
  46. Francis, R.; Joy, N.; Aparna, E.P.; Vijayan, R. Polymer Grafted Inorganic Nanoparticles, Preparation, Properties, and Applications: A Review. Polym. Rev. 2014, 54, 268–347. [Google Scholar] [CrossRef]
  47. Garcia-Valdez, O.; Champagne, P.; Cunningham, M.F. Graft modification of natural polysaccharides via reversible deactivation radical polymerization. Prog. Polym. Sci. 2018, 76, 151–173. [Google Scholar] [CrossRef]
  48. Sun, H.; Yang, L.; Thompson, M.P.; Schara, S.; Cao, W.; Choi, W.C.; Hu, Z.; Zang, N.; Tan, W.; Gianneschi, N.C. Recent Advances in Amphiphilic Polymer–Oligonucleotide Nanomaterials via Living/Controlled Polymerization Technologies. Bioconjugate Chem. 2019, 30, 1889–1904. [Google Scholar] [CrossRef] [PubMed]
  49. Chung, T.C. Synthesis of functional polyolefin copolymers with graft and block structures. Prog. Polym. Sci. 2002, 27, 39–85. [Google Scholar] [CrossRef]
  50. Zhou, T.; Zhu, Y.; Li, X.; Liu, X.; Yeung, K.W.K.; Wu, S.; Wang, X.; Cui, Z.; Yang, X.; Chu, P.K. Surface functionalization of biomaterials by radical polymerization. Prog. Mater. Sci. 2016, 83, 191–235. [Google Scholar] [CrossRef]
  51. Ayyavoo, J.; Nguyen, T.P.N.; Jun, B.-M.; Kim, I.-C.; Kwon, Y.N. Protection of polymeric membranes with antifouling surfacing via surface modifications. Colloids Surf. A Physicochem. Eng. Asp. 2016, 506, 190–201. [Google Scholar] [CrossRef]
  52. Weber, C.; Hoogenboom, R.; Schubert, U.S. Temperature responsive bio-compatible polymers based on poly(ethylene oxide) and poly(2-oxazoline)s. Prog. Polym. Sci. 2012, 37, 686–714. [Google Scholar] [CrossRef]
  53. Sun, H.; Choi, W.; Zang, N.; Battistella, C.; Thompson, M.P.; Cao, W.; Zhou, X.; Forman, C.; Gianneschi, N.C. Bioactive Peptide Brush Polymers via Photoinduced Reversible-Deactivation Radical Polymerization. Angew. Chem. Int. Ed. 2019, 58, 17359–17364. [Google Scholar] [CrossRef]
  54. Kumar, R.; Sharma, R.K.; Singh, A.P. Grafted cellulose: A bio-based polymer for durable applications. Polym. Bull. 2018, 75, 2213–2242. [Google Scholar] [CrossRef]
  55. Sharma, S.; Kumar, A. Lignin. Biosynthesis and Transformation for Industrial Applications; Springer Series on Polymer and Composite Materials; Springer Nature: Cham, Switzerland, 2020; pp. 1–252. ISBN 978-303-040-663-9. [Google Scholar]
  56. Mourya, V.K.; Inamdar, N.N. Chitosan-modifications and applications. React. Funct. Polym. 2008, 68, 1013–1051. [Google Scholar] [CrossRef]
  57. Argüelles-Monal, W.M.; Lizardi-Mendoza, J.; Fernández-Quiroz, D.; Recillas-Mota, M.T.; Montiel-Herrera, M. Chitosan Derivatives: Inducing new functionalities with a controlled molecular architecture for innovative materials. Polymers 2018, 10, 342. [Google Scholar] [CrossRef]
  58. Kurita, K. Controlled functionalization of the polysaccharide chitin. Prog. Polym. Sci. 2001, 26, 1921–1971. [Google Scholar] [CrossRef]
  59. Lele, V.V.; Kumari, S.; Niju, H. Syntheses, characterization and applications of graft copolymers of sago starch. Starch 2018, 70, 1700133. [Google Scholar] [CrossRef]
  60. Radhakrishnan, B.; Ranjan, R.; Brittain, W.J. Surface initiated polymerization from silica nanoparticles. Soft Matter 2006, 2, 386–396. [Google Scholar] [CrossRef] [PubMed]
  61. Foster, J.C.; Radzinsky, S.C.; Matson, J.B. Graft polymer synthesis by RAFT transfer-to. J. Polym. Sci. A Polym. Chem. 2017, 55, 2865–2876. [Google Scholar] [CrossRef]
  62. Bhattacharya, A. Radiation and industrial polymers. Prog. Polym. Sci. 2000, 25, 371–401. [Google Scholar] [CrossRef]
  63. Desmet, T.; Morent, R.; De Geyter, N.; Leys, C.; Schacht, E.; Dubruel, P. Nonthermal plasma technology as a versatile strategy for polymeric biomaterials surface modification: A review. Biomacromolecules 2009, 10, 2351–2378. [Google Scholar] [CrossRef]
  64. Ngo, T.H.A.; Tran, D.T.; Dinh, C.H. Surface photochemical graft polymerization of acrylic acid onto polyamide thin film composite membranes. J. Appl. Polym. Sci. 2017, 134, 44418. [Google Scholar] [CrossRef]
  65. Singh, V.; Tiwari, A.; Tripathi, D.N.; Sanghi, R. Microwave assisted synthesis of guar-g-polyacrylamide. Carbohydr. Polym. 2004, 58, 1–6. [Google Scholar] [CrossRef]
  66. Bhattacharya, A.; Misra, B.N. Grafting: A versatile means to modify polymers technics, factors and applications. Prog. Polym. Sci. 2004, 29, 767–814. [Google Scholar] [CrossRef]
  67. Sosnik, A.; Gotelli, G.; Abraham, G.A. Microwave-assisted polymer synthesis (MAPS) as a tool in biomaterials science: How new and how powerful. Prog. Polym. Sci. 2011, 36, 1050–1078. [Google Scholar] [CrossRef]
  68. Kumar, D.; Pandey, J.; Raj, V.; Kumar, P. A review on the modification of polysaccharide through graft copolymerization for various potential applications. Open Med. Chem. J. 2017, 11, 109–126. [Google Scholar] [CrossRef]
  69. Fan, G.; Zhao, J.; Zhang, Y.; Guo, Z. Grafting modification of kevlar fiber using horseradish peroxidase. Polym. Bull. 2006, 56, 507–515. [Google Scholar] [CrossRef]
  70. Cannatelli, M.D.; Ragauskas, A.J. Conversion of lignin into value-added materials and chemicals via laccase-assisted copolymerization. Appl. Microbiol. Biotechnol. 2016, 100, 8685–8691. [Google Scholar] [CrossRef] [PubMed]
  71. Ran, J.; Wu, L.; Zhang, Z.; Xu, T. Atom transfer radical polymerization (ATRP): A versatile and forceful tool for functional membranes. Prog. Polym. Sci. 2014, 39, 124–144. [Google Scholar] [CrossRef]
  72. Crawford, D.E. Extrusion-back to the future: Using an established technique to reform automated chemical synthesis. Beilstein J. Org. Chem. 2017, 13, 65–75. [Google Scholar] [CrossRef]
  73. Moad, G. The synthesis of polyolefin graft copolymers by reactive extrusion. Prog. Polym. Sci. 1999, 24, 81–142. [Google Scholar] [CrossRef]
  74. Moad, G. Chemical modification of starch by reactive extrusion. Prog. Polym. Sci. 2011, 36, 218–237. [Google Scholar] [CrossRef]
  75. Russell, K.E. Free radical graft polymerization and copolimerization at higher temperatures. Prog. Polym. Sci. 2002, 27, 1007–1038. [Google Scholar] [CrossRef]
  76. Monties, B. Les Polymères Végétaux: Polymères Pariétaux et Alimentaires non Azotés, 1st ed.; Gauthier-Villars: Paris, France, 1980; ISBN 978-204-010-480-1. [Google Scholar]
  77. Casarrubias-Cervantes, R.A. Análisis Fisicoquímico de Procesos de Pretratamiento de Materiales Lignocelulósicos para su Uso en Polímeros Conductores. Bachelor Degree, Facultad de Química—Universidad Nacional Autónoma de México, Ciudad Universitaria, CDMX, 2019, Biblioteca Digital UNAM. Available online: http://132.248.9.195/ptd2019/abril/0788572/Index.html (accessed on 25 May 2020).
  78. Koshijima, T.; Muraki, E. Radiation Grafting of Methyl Methacrylate onto Lignin. J. Jpn. Wood Res. Soc. 1964, 10, 110–115. [Google Scholar]
  79. Koshijima, T.; Muraki, E. Degradation of Lignin-Methyl Metacrylate Graft Copolymer by γ-Ray Irradiation. J. Jpn. Wood Res. Soc. 1964, 10, 116–119. [Google Scholar]
  80. Koshijima, T.; Timell, T.E. Factors Affecting Number Average Molecular Weights Determination of Hardwood Xylan. J. Jpn. Wood Res. Soc. 1966, 12, 166–172. [Google Scholar]
  81. Koshijima, T.; Muraki, E. Solvent Effects upon Radiation-Induced Graft-copolymerization of Styrene onto Lignin. J. Jpn. Wood Res. Soc. 1966, 12, 139. [Google Scholar]
  82. Koshijima, T. Oxidation of Lignin-Styrene Graft polymer. J. Jpn. Wood Res. Soc. 1966, 12, 114. [Google Scholar]
  83. Koshijima, T.; Muraki, E. Radial Grafting on Lignin (II). Grafting of styrene into Lignin by Initiators. J. Jpn. Wood Res. Soc. 1967, 13, 355–358. [Google Scholar]
  84. Koshijima, T.; Muraki, E.; Naito, K.; Adachi, K. Radical Grafting on Lignin. IV. Semi-Conductive Properties of Lignin-Styrene Graftpolymer. J. Jpn. Wood Res. Soc. 1968, 14, 52–54. [Google Scholar]
  85. Meister, J.J. Modification of Lignin. J. Macromol. Sci. Polymer Rev. 2002, 42, 235–289. [Google Scholar] [CrossRef]
  86. Hon, D.N.S. Chemical Modification of Lignocellulosic Materials, 1st ed.; Marcel Dekker, Inc.: New York, NY, USA, 1996; ISBN 978-082-479-472-9. [Google Scholar]
  87. McDowall, D.J.; Gupta, B.S.; Stannett, V.T. Grafting of vinyl monomers to cellulose by ceric ion initiation. Prog. Polym. Sci. 1984, 10, 1–50. [Google Scholar] [CrossRef]
  88. Bhattacharyya, S.N.; Maldas, D. Graft copolymerization onto cellulosics. Prog. Polym. Sci. 1984, 10, 171–270. [Google Scholar] [CrossRef]
  89. Hon, D.N.S. Graft Copolymerization of Lignocellulosic Fibers; ACS Symposium Series 187; American Chemical Society: Washington, DC, USA, 1982; ISBN 978-084-120-721-9. [Google Scholar]
  90. Mansour, O.Y.; Nagaty, A. Grafting of synthetic polymers to natural polymers by chemical processes. Prog. Polym. Sci. 1985, 11, 91–165. [Google Scholar] [CrossRef]
  91. Feldman, D.; Lacasse, M.; Bernaczuk, L.M. Lignin-polymer sytems and some applications. Prog. Polym. Sci. 1986, 12, 271–299. [Google Scholar] [CrossRef]
  92. Matyjaszewski, K.; Möller, M. Celluloses and polyoses/hemicelluloses. In Polymer Science: A Comprehensive Reference; Elsevier: Amsterdam, The Netherlands, 2012; ISBN 978-008-087-862-1. [Google Scholar]
  93. Pantelakis, S.; Tserpes, K. Revolutionizing Aircraft Materials and Processes; Springer Nature AG: Cham, Switzerland, 2020; ISBN 978-303-035-346-9. [Google Scholar]
  94. Rol, F.; Belgacem, M.N.; Gandinia, A.; Bras, J. Recent advances in surface-modified cellulose nanofibrils. Prog. Polym. Sci. 2019, 88, 241–264. [Google Scholar] [CrossRef]
  95. Zahran, M.K.; Morsy, M.; Mahmoud, R. Grafting of acrylic monomers onto cotton fabric using an activated cellulose thiocarbonate–azobisisobutyronitrile redox system. J. Appl. Polym. Sci. 2003, 91, 1261–1274. [Google Scholar] [CrossRef]
  96. Chauhan, G.S.; Lal, H.; Sharma, R.; Sarwade, B.D. Grafting of a styrene–acrylonitrile binary monomer mixture onto cellulose extracted from pine needles. J. Appl. Polym. Sci. 2001, 83, 2000–2007. [Google Scholar] [CrossRef]
  97. Sabaa, M.W.; Mokhtar, S.M. Chemically induced graft copolymerization of itaconic acid onto cellulose fibers. Polym. Test. 2002, 21, 337–343. [Google Scholar] [CrossRef]
  98. Gupta, K.C.; Sahoo, S. Grafting of N,N ′-methylenebisacrylamide onto cellulose using Co(III)-acetylacetonate complex in aqueous medium. J. Appl. Polym. Sci. 2000, 76, 906–912. [Google Scholar] [CrossRef]
  99. Gupta, K.C.; Sahoo, S. Co(III) acetylacetonate-complex-initiated grafting of N-vinyl pyrrolidone on cellulose in aqueous media. J. Appl. Polym. Sci. 2001, 81, 2286–2296. [Google Scholar] [CrossRef]
  100. Gupta, K.C.; Khandekar, K. Temperature-Responsive Cellulose by Ceric(IV) Ion-Initiated Graft Copolymerization of N-Isopropylacrylamide. Biomacromolecules 2003, 4, 758–765. [Google Scholar] [CrossRef]
  101. Gupta, K.C.; Khandekar, K. Graft copolymerization of acrylamide–methylacrylate comonomers onto cellulose using ceric ammonium nitrate. J. Appl. Polym. Sci. 2002, 86, 2631–2642. [Google Scholar] [CrossRef]
  102. Gupta, K.C.; Khandekar, K. Graft copolymerization of acrylamide onto cellulose in presence of comonomer using ceric ammonium nitrate as initiator. J. Appl. Polym. Sci. 2006, 101, 2546–2558. [Google Scholar] [CrossRef]
  103. Gupta, K.C.; Sahoo, S. Graft Copolymerization of Acrylonitrile and Ethyl Methacrylate Comonomers on Cellulose Using Ceric Ions. Biomacromolecules 2001, 2, 239–247. [Google Scholar] [CrossRef]
  104. Gupta, K.C.; Sahoo, S.; Khandekar, K. Graft Copolymerization of Ethyl Acrylate onto Cellulose Using Ceric Ammonium Nitrate as Initiator in Aqueous Medium. Biomacromolecules 2002, 3, 1087–1094. [Google Scholar] [CrossRef] [PubMed]
  105. Gupta, K.C.; Khandekar, K. Ceric(IV) ion-induced graft copolymerization of acrylamide and ethyl acrylate onto cellulose. Polym. Int. 2005, 55, 139–150. [Google Scholar] [CrossRef]
  106. Toledano-Thompson, T.; Loría-Bastarrachea, M.I.; Aguilar-Vega, M.J. Characterization of henequen cellulose microfibers treated with an epoxide and grafted with poly(acrylic acid). Carbohydr. Polym. 2005, 62, 67–73. [Google Scholar] [CrossRef]
  107. Mansour, O.Y.; Nagieb, Z.A.; Basta, A.H. Graft polymerization of some vinyl monomers onto alkali-treated cellulose. J. Appl. Polym. Sci. 1991, 43, 1147–1158. [Google Scholar] [CrossRef]
  108. Semsarilar, M.; Ladmiral, V.; Perrier, S. Synthesis of a cellulose supported chain transfer agent and its application to RAFT polymerization. J. Polym. Sci. A Polym. Chem. 2010, 48, 4361–4365. [Google Scholar] [CrossRef]
  109. Cankaya, N.; Temüz, M. Characterization and monomer reactivity ratios of grafted cellulose with n-(4-nitrophenyl)acrylamide and methyl methacrylate by atom transfer radical polymerization. Cell. Chem. Technol. 2012, 46, 551–558. [Google Scholar]
  110. Thakur, V.K.; Thakur, M.K.; Gupta, R.K. Rapid synthesis of graft copolymers from natural cellulose fibers. Carbohydr. Polym. 2013, 98, 820–828. [Google Scholar] [CrossRef]
  111. Routray, C.; Tosh, B. Graft copolymerization of methyl methacrylate (mma) onto cellulose acetate in homogeneous medium: Effect of solvent, initiator and homopolymer inhibitor. Cell. Chem. Technol. 2013, 47, 171–190. [Google Scholar]
  112. Cankaya, N.; Temüz, M.M. Monomer reactivity ratios of cellulose grafted with N-cyclohexylacrylamide and methyl methacrylate by atom transfer radical polymerization. Cell. Chem. Technol. 2014, 48, 209–215. [Google Scholar]
  113. Popescu, O.; Dunca, S.; Grigoriu, A. Antibacterial action of silver applied on cellulose fibers grafted with monochlorotriazinyl-β-cyclodextrin. Cell. Chem. Technol. 2013, 47, 247–255. [Google Scholar]
  114. Popescu, O.; Grigoriu, A.; Diaconescu, R.M.; Vasluianu, E. Optimization of the cellulosic materials functionalization with monochlorotriazinyl-β-cyclodextrin in basic medium. Ind. Textilá 2012, 63, 68–75. [Google Scholar]
  115. Sun, Z.; Chen, F. Homogeneous grafting copolymerization of methylmethacrylate onto cellulose using ammonium persulfate. Cell. Chem. Technol. 2014, 48, 217–223. [Google Scholar]
  116. Dai, L.; Shen, Y.; Li, D.; Xiao, S.; He, J. Cellulose-graft-poly(l-lactide) as a degradable drugdelivery system: Synthesis, degradation and drug release. Cell. Chem. Technol. 2014, 48, 237–245. [Google Scholar]
  117. Xiaoming, S.; Songlin, W.; Shanshan, G.; Fushan, C.; Fusheng, L. Study on grafting copolymerization of methyl methacrylate onto cellulose under heterogeneous conditions. Cell. Chem. Technol. 2016, 50, 65–70. [Google Scholar]
  118. Yin, Y.; Jiang, T.X.; Wang, H.; Gao, W. Modification of cellulose nanocrystal via SI-ATRP of styrene and themechanism of its reinforcement of polymethylmethacrylate. Carbohydr. Polym. 2016, 142, 206–212. [Google Scholar] [CrossRef] [PubMed]
  119. Paula, E.L.; Roig, F.; Mas, A.; Habas, J.P.; Mano, V.; Vargas Pereira, F.; Robin, J.J. Effect of surface-grafted cellulose nanocrystals on the thermal and mechanical properties of PLLA based nanocomposites. Eur. Polym. J. 2016, 84, 173–187. [Google Scholar] [CrossRef]
  120. Zhao, C.; Li, J.; He, B.; Zhao, L. Fabrication of hydrophobic biocomposite by combining cellulosic fibers with polyhydroxyalkanoate. Cellulose 2017, 24, 2265–2274. [Google Scholar] [CrossRef]
  121. Badawy, S.M. Functional cellulosic filter papers prepared by radiation-induced graft copolymerization for chelation of rare earth elements. Cell. Chem. Technol. 2017, 51, 551–558. [Google Scholar]
  122. Çankaya, N.; Temüz, M.M.; Yakuphanoglu, F. Grafting of some monomers onto cellulose by atom transfer radical polymerization. Electrical conductivity and thermal properties of resulting copolymers. Cell. Chem. Technol. 2018, 52, 19–26. [Google Scholar]
  123. Müssig, J.; Kelch, M.; Gebert, B.; Hohe, J.; Luke, M.; Bahners, T. Improvement of the fatigue behaviour of cellulose/polyolefin composites using photo-chemical fibre surface modification bio-inspired by natural role models. Cellulose 2020, 27, 5815–5827. [Google Scholar] [CrossRef]
  124. Chen, Y.; Yu, Z.; Han, Y.; Yang, S.; Fan, D.; Li, G.; Wang, S. Combination of water soluble chemical grafting and gradient freezing to fabricate elasticity enhanced and anisotropic nanocellulose aerogels. Appl. Nanosci. 2020, 10, 411–419. [Google Scholar] [CrossRef]
  125. Eraghi Kazzaz, A.; Hosseinpour Feizi, Z.; Fatehi, P. Grafting strategies for hydroxy groups of lignin for producing materials. Green Chem. 2019, 21, 5714–5752. [Google Scholar] [CrossRef]
  126. Abe, A.; Dusek, K.; Kobayashi, S. Biopolymers. Lignin, Proteins, Bioactive Nanocomposites, 1st ed.; Springer: Heidelberg/Berlin, Germany, 2010; Volume 232, ISBN 978-364-213-630-6. [Google Scholar]
  127. Huang, J.; Fu, S.; Gan, L. Lignin Chemistry and Applications, 1st ed.; Elsevier: Amsterdam, The Netherlands, 2019; ISBN 978-012-813-963-9. [Google Scholar]
  128. Marton, J. Lignin. Structure and Reactions, 1st ed.; Advances in Chemistry Series 59; American Chemical Society: Washington, DC, USA, 1966; ISBN 978-084-122-239-7. [Google Scholar]
  129. Glasser, W.G.; Sarkanen, S. Lignin. Properties and Materials, 1st ed.; ACS Symposium Series 397; American Chemical Society: Washington, DC, USA, 1989; ISBN 978-084-121-248-0. [Google Scholar]
  130. Lewis, N.G.; Sarkanen, S. Lignin and Lignan Biosynthesis; ACS Symposium Series 697; American Chemical Society: Washington, DC, USA, 1998; ISBN 084-123-566-X. [Google Scholar]
  131. Katahira, R.; Elder, T.J.; Beckham, G.T. Chapter 1 A brief introduction to lignin structure. In Lignin Valorization. Emerging Approaches, 1st ed.; Beckham, G.T., Ed.; The Royal Society of Chemistry: Croydon, London, UK, 2018; pp. 1–20. ISBN 978-178-801-035-1. [Google Scholar]
  132. Laurichesse, S.; Avérous, L. Chemical modification of lignins: Towards biobased polymers. Prog. Polym. Sci. 2014, 39, 1266–1290. [Google Scholar] [CrossRef]
  133. Figueiredo, P.; Lintinen, K.; Hirvonen, J.T.; Kostiainen, M.A.; Santos, H.A. Properties and chemical modifications of lignin: Towards lignin-based nanomaterials for biomedical applications. Prog. Mater. Sci. 2018, 93, 233–269. [Google Scholar] [CrossRef]
  134. Xu, Y.; Yuan, L.; Wang, Z.; Wilbon, P.A.; Wang, C.; Chu, F.; Tang, C. Lignin and soy oil-derived polymeric biocomposites by “grafting from” RAFT polymerization. Green Chem. 2016, 18, 4974–4981. [Google Scholar] [CrossRef]
  135. Yu, Y.; Fu, S.; Song, P.; Lou, X.; Jin, Y.; Lu, F.; Wu, Q.; Ye, J. Functionalized lignin by grafting phosphorus-nitrogen improves the thermal stability and flame retardancy of polypropylene. Polym. Degrad. Stabil. 2012, 97, 541–546. [Google Scholar] [CrossRef]
  136. Prieur, B.; Meub, M.; Wittermann, M.; Klein, R.; Bellayer, S.; Fontaine, G.; Bourbigot, S. Phosphorylation of lignin: Characterization and investigation of the thermal decomposition. RSC Adv. 2017, 7, 16866–16877. [Google Scholar] [CrossRef]
  137. Prieur, B.; Meub, M.; Wittemann, M.; Klein, R.; Bellayer, S.; Fontaine, G.; Bourbigot, S. Phosphorylation of lignin to flame retard acrylonitrile butadiene styrene (ABS). Polym. Degrad. Stabil. 2016, 127, 32–43. [Google Scholar] [CrossRef]
  138. Liu, H.; Chung, H. Lignin-Based Polymers via Graft Copolymerization. J. Polym. Sci. A Polym. Chem. 2017, 55, 3515–3528. [Google Scholar] [CrossRef]
  139. Gupta, C.; Washburn, N.R. Polymer-grafted lignin surfactants prepared via Reversible Addition−Fragmentation Chain-Transfer polymerization. Langmuir 2014, 30, 9303–9312. [Google Scholar] [CrossRef]
  140. Ganewatta, M.S.; Lokupitiya, H.N.; Tang, C. Lignin biopolymers in the age of controlled polymerization. Polymers 2019, 11, 1176. [Google Scholar] [CrossRef]
  141. Kim, Y.S.; Kadla, J.F. Preparation of a thermoresponsive lignin-based biomaterial through atom transfer radical polymerization. Biomacromolecules 2010, 11, 981–988. [Google Scholar] [CrossRef] [PubMed]
  142. Wang, J.; Yao, J.; Korich, K.; Li, S.; Ma, S.; Ploehn, H.J.; Iovine, P.M.; Wang, C.; Chu, F.; Tang, C. Combining renewable gum rosin and lignin: Towards hydrophobic polymer composites by controlled polymerization. J. Polym. Sci. A Polym. Chem. 2011, 49, 3728–3738. [Google Scholar] [CrossRef]
  143. Diao, B.; Zhang, Z.; Zhu, J.; Li, J. Biomass-based thermogelling copolymers consisting of lignin and grafted poly (N-isopropylacrylamide), poly (ethylene glycol), and poly (propylene glycol). RSC Adv. 2014, 4, 42996–43003. [Google Scholar] [CrossRef]
  144. Yu, J.; Wang, J.; Wang, C.; Liu, Y.; Xu, Y.; Tang, C.; Chu, F. UV-Absorbent Lignin-Based Multi-Arm Star Thermoplastic Elastomers. Macromol. Rapid Commun. 2015, 36, 398–404. [Google Scholar] [CrossRef]
  145. Gao, G.; Dallmeyer, J.I.; Kadla, J.F. Synthesis of lignin nanofibers with ionic-responsive shells: Water-expandable lignin-based nanofibrous mats. Biomacromolecules 2012, 13, 3602–3610. [Google Scholar] [CrossRef] [PubMed]
  146. Hilburg, S.L.; Elder, A.N.; Chung, H.; Ferebee, R.L.; Bockstaller, M.R.; Washburn, N.R. A universal route towards thermoplastic lignin composites with improved mechanical properties. Polymer 2014, 55, 995–1003. [Google Scholar] [CrossRef]
  147. Shah, T.; Gupta, C.; Ferebee, R.L.; Bockstaller, M.R.; Washburn, N.R. Extraordinary toughening and strengthening effect in polymer nanocomposites using lignin-based fillers synthesized by ATRP. Polymer 2015, 72, 406–412. [Google Scholar] [CrossRef]
  148. Kai, D.; Low, Z.W.; Liow, S.S.; Abdul Karim, A.; Ye, H.; Jin, G.; Li, K.; Loh, X.J. Development of lignin supramolecular hydrogels with mechanically responsive and self-healing properties. ACS Sustain. Chem. Eng. 2015, 3, 2160–2169. [Google Scholar] [CrossRef]
  149. Li, H.; Pang, Z.; Gao, P.; Wang, L. Fe (III)-catalyzed grafting copolymerization of lignin with styrene and methyl methacrylate through AGET ATRP using triphenyl phosphine as a ligand. RSC Adv. 2015, 5, 54387–54394. [Google Scholar] [CrossRef]
  150. Liu, X.; Yin, H.; Zhang, Z.; Diao, B.; Li, G. Functionalization of lignin through ATRP grafting of poly(2-dimethylaminoethyl methacrylate) for gene delivery. Colloids Surf. B Biointerfaces 2015, 125, 230–237. [Google Scholar] [CrossRef] [PubMed]
  151. Silmore, K.S.; Gupta, C.; Washburn, N.R. Tunable Pickering emulsions with polymer-grafted lignin nanoparticles (PGLNs). J. Colloid Interface Sci. 2016, 466, 91–100. [Google Scholar] [CrossRef] [PubMed]
  152. Gupta, C.; Nadelman, E.; Washburn, N.R.; Kurtis, K.E. Lignopolymer Superplasticizers for Low-CO2 Cements. ACS Sustain. Chem. Eng. 2017, 5, 4041–4049. [Google Scholar] [CrossRef]
  153. Gupta, C.; Sverdlove, M.J.; Washburn, N.R. Molecular architecture requirements for polymer-grafted lignin superplasticizers. Soft Matter 2015, 11, 2691–2699. [Google Scholar] [CrossRef]
  154. Liu, Z.; Lu, X.; Xie, J.; Feng, B.; Han, Q. Synthesis of a novel tunable lignin-based star copolymer and its flocculation performance in the treatment of kaolin suspension. Sep. Purif. Technol. 2019, 210, 355–363. [Google Scholar] [CrossRef]
  155. Nemoto, T.; Konishi, G.-I.; Tojo, Y.; An, Y.C.; Funaoka, M. Functionalization of lignin: Synthesis of lignophenol–graft–poly (2-ethyl-2-oxazoline) and its application to polymer blends with commodity polymer. J. Appl. Polym. Sci. 2012, 123, 2636–2642. [Google Scholar] [CrossRef]
  156. Mahata, D.; Jana, M.; Jana, A.; Mukherjee, A.; Mondal, N.; Saha, T.; Sen, S.; Nando, G.B.; Mukhopadhyay, C.K.; Chakraborty, R.; et al. Lignin-graft-polyoxazoline conjugated triazole a novel anti-infective ointment to control persistent inflammation. Sci. Rep. 2017, 7, 46412. [Google Scholar] [CrossRef] [PubMed]
  157. Chung, Y.L.; Olsson, J.V.; Li, R.J.; Frank, C.W.; Waymouth, R.M.; Billington, S.L.; Sattely, E.S. A renewable lignin-lactide copolymer and application in biobased composite. ACS Sustain. Chem. Eng. 2013, 1, 1231–1238. [Google Scholar] [CrossRef]
  158. Liu, X.; Zong, E.; Jiang, J.; Fu, S.; Wang, J.; Xu, B.; Li, W.; Lin, X.; Xu, Y.; Wang, C.; et al. Preparation and characterization of Lignin–graft–poly (ε-caprolactone) copolymers based on lignocellulosic butanol residue. Int. J. Biol. Macromol. 2015, 81, 521–529. [Google Scholar] [CrossRef]
  159. Sun, Y.; Yang, L.; Lu, X.; He, C. Biodegradable and renewable poly (lactide)-lignin composites: Synthesis, interface and toughening mechanism. J. Mater. Chem. A 2015, 3, 3699–3709. [Google Scholar] [CrossRef]
  160. Kai, D.; Zhang, K.; Liow, S.S.; Loh, X.J. New dual functional phb-grafted lignin copolymer: Synthesis, mechanical properties, and biocompatibility studies. ACS Appl. Bio Mater. 2018, 2, 127–134. [Google Scholar] [CrossRef]
  161. Pérez–Camargo, R.A.; Saenz, G.; Laurichesse, S.; Casas, M.T.; Puiggalí, J.; Avérous, L.; Müller, A.J. Nucleation crystallization, and thermal fractionation of poly (ε-caprolactone)-grafted-lignin: Effect of grafted chains length and lignin content. J. Polym. Sci. Part B Polym. Phys. 2015, 53, 1736–1750. [Google Scholar] [CrossRef]
  162. Laurichesse, S.; Avérous, L. Synthesis, thermal properties, rheological and mechanical behaviors of lignins-grafted-poly(ε-caprolactone). Polymer 2013, 54, 3882–3890. [Google Scholar] [CrossRef]
  163. Schmidt, B.V.K.J.; Molinari, V.; Esposito, D.; Tauer, K.; Antonietti, M. Lignin-based polymeric surfactants for emulsion polymerization. Polymer 2017, 112, 418–426. [Google Scholar] [CrossRef]
  164. Tapdiqov, S.Z. A drug-loaded gel based on graft radical co-polymerization of n-vinylpyrrolidone and 4-vinylpyridine with chitosan. Cell. Chem. Technol. 2020, 54, 429–438. [Google Scholar] [CrossRef]
  165. Cheaburu-Yilmaz, C.N. On the development of chitosan-graft-poly(n-isopropylacrylamide) by raft polymerization technique. Cell. Chem. Technol. 2020, 54, 1–10. [Google Scholar] [CrossRef]
  166. Kadokawa, J.-I. Preparation and Grafting Functionalization of Self-Assembled Chitin Nanofiber Film. Coatings 2016, 6, 27. [Google Scholar] [CrossRef]
  167. Mahmoud, G.A.; Sayed, A.; Thabit, M.; Safwat, G. Chitosan biopolymer based nanocomposite hydrogels for removal of methylene blue dye. SN Appl. Sci. 2020, 2, 968. [Google Scholar] [CrossRef]
  168. Xu, Y.; Liu, B.; Zou, L.; Sun, C.; Li, W. Preparation and characterization of PLLA/chitosan-graft-poly(ε-caprolactone) (CS-g-PCL) composite fibrous mats: The microstructure, performance and proliferation assessment. Int. J. Biol. Macromol. 2020, 162, 320–332. [Google Scholar] [CrossRef] [PubMed]
  169. Kadokawa, J.-I. Fabrication of nanostructured a nd microstructured chitin materials through gelation with suitable dispersion media. RSC Adv. 2015, 5, 12736–12746. [Google Scholar] [CrossRef]
  170. Stefan, J.; Lorkowska-Zawicka, B.; Kaminski, K.; Szczubialka, K.; Nowakowska, M.; Korbut, R. The current view on biological potency of cationically modified chitosan. J. Physiol. Pharmacol. 2014, 65, 341–347. [Google Scholar] [PubMed]
  171. Jiang, T.; Deng, M.; James, R.; Nair, L.S.; Laurencin, C.T. Micro- and nanofabrication of chitosan structures for regenerative engineering. Acta Biomater. 2014, 10, 1632–1645. [Google Scholar] [CrossRef]
  172. Lai, G.-J.; Shalumon, K.T.; Chen, S.-H.; Chen, J.P. Composite chitosan/silk fibroin nanofibers for modulation of osteogenic differentiation and proliferation of human mesenchymal stem cells. Carbohydr. Polym. 2014, 111, 288–297. [Google Scholar] [CrossRef]
  173. Jayakumar, R.; Menon, D.; Manzoor, K.; Nair, S.V.; Tamura, H. Biomedical applications of chitin and chitosan based nanomaterials—A short review. Carbohydr. Polym. 2010, 82, 227–232. [Google Scholar] [CrossRef]
  174. Deng, Z.; Wang, T.; Chen, X.; Liu, Y. Applications of chitosan based biomaterials: A focus on dependent antimicrobial properties. Mar. Life Sci. Technol. 2020, 2, 398–413. [Google Scholar] [CrossRef]
  175. Wen, J.; Li, Y.; Wang, L.; Chen, X.; Cao, Q.; He, N. Carbon Dioxide Smart Materials Based on Chitosan. Prog. Chem. 2020, 32, 417–422. (In Chinese) [Google Scholar]
  176. Sashiwa, H.; Aiba, S.-I. Chemically modified chitin and chitosan as biomaterials. Prog. Polym. Sci. 2004, 29, 887–908. [Google Scholar] [CrossRef]
  177. Crini, G.; Badot, P.-M. Application of chitosan, a natural aminopolysaccharide, for dye removal from aqueous solutions by adsorption processes using batch studies: A review of recent literature. Prog. Polym. Sci. 2008, 33, 399–447. [Google Scholar] [CrossRef]
  178. Mittal, H.; Ray, S.S.; Kaith, B.S.; Bhatia, J.K.; Sharma, S.J.; Alhassan, S.M. Recent progress in the structural modification of chitosan for applications in diversified biomedical fields. Eur. Polym. J. 2018, 109, 402–434. [Google Scholar] [CrossRef]
  179. Iyer, B.V.S.; Yashin, V.V.; Hamer, M.J.; Kowalewski, T.; Matyjaszewski, K.; Balazsa, A.C. Ductility, toughness and strain recovery in self-healing dualcross-linked nanoparticle networks studied by computer simulations. Prog. Polym. Sci. 2015, 40, 121–137. [Google Scholar] [CrossRef]
  180. Derry, M.J.; Fielding, L.A.; Armes, S.P. Polymerization-induced self-assembly of block copolymer nanoparticles via RAFT non-aqueous dispersion polymerization. Prog. Polym. Sci. 2016, 52, 1–18. [Google Scholar] [CrossRef]
  181. Bednarek, M. Branched aliphatic polyesters by ring-opening (co)polymerization. Prog. Polym. Sci. 2016, 58, 27–58. [Google Scholar] [CrossRef]
  182. Yildirim, I.; Weber, C.; Schubert, U.S. Old meets new: Combination of PLA and RDRP to obtain sophisticated macromolecular architectures. Prog. Polym. Sci. 2018, 76, 111–150. [Google Scholar] [CrossRef]
  183. Wang, W.; Lu, W.; Goodwin, A.; Wang, H.; Yin, P.; Kang, N.-G.; Hong, K.; Mays, J.W. Recent advances in thermoplastic elastomers from living polymerizations: Macromolecular architectures and supramolecular chemistry. Prog. Polym. Sci. 2019, 95, 1–31. [Google Scholar] [CrossRef]
  184. Mocny, P.; Klok, H.-A. Complex polymer topologies and polymer—nanoparticle hybrid films prepared via surface-initiated controlled radical polymerization. Prog. Polym. Sci. 2020, 100, 101185. [Google Scholar] [CrossRef]
  185. Vivaldo-Lima, E.; Jaramillo-Soto, G.; Penlidis, A. Nitroxide-mediated polymerization (NMP). In Encyclopedia of Polymer Science and Technology, 1st ed.; John Wiley & Sons: New York, NY, USA, 2016; pp. 1–48. ISBN 978-047-144-026-0. [Google Scholar]
  186. Olivier, A.; Meyer, F.; Raquez, J.-M.; Damman, P.; Dubois, P. Surface-initiated controlled polymerization as a convenient method for designing functional polymer brushes: From self-assembled monolayers to patterned surfaces. Prog. Polym. Sci. 2012, 37, 157–181. [Google Scholar] [CrossRef]
  187. Radzevicius, P.; Krivorotova, T.; Makuska, R. Synthesis by one-pot RAFT polymerization and properties of amphiphilic pentablock copolymers with repeating blocks of poly(2-hydroxyethyl methacrylate) and poly(butyl methacrylate). Eur. Polym. J. 2017, 87, 69–83. [Google Scholar] [CrossRef]
  188. Chmielarz, P.; Fantin, M.; Park, S.; Isse, A.A.; Gennaro, A.; Magenau, A.J.; Sobkowiak, A.; Matyjaszewski, K. Electrochemically mediated atom transfer radical polymerization (eATRP). Prog. Polym. Sci. 2017, 69, 47–78. [Google Scholar] [CrossRef]
  189. Maharana, T.; Pattanaik, S.; Routaray, A.; Nath, N.; Sutar, A.K. Synthesis and characterization of poly(lactic acid) based graft copolymers. React. Funct. Polym. 2015, 93, 47–67. [Google Scholar] [CrossRef]
  190. Mehta, A.; Pandey, J.P.; Sen, G. Synthesis of Diallyl dimethyl ammonium chloride grafted polyvinyl pyrrolidone (PVP-g-DADMAC) and its applications. Mater. Sci. Eng. B Solid State Mater. Adv. Technol. 2021, 263, 114750. [Google Scholar] [CrossRef]
  191. El-Sayed, N.; Awad, H.; El-Sayed, G.M.; Nagieb, Z.A.; Kamel, S. Synthesis and characterization of biocompatible hydrogel based on hydroxyethyl cellulose-g-poly(hydroxyethyl methacrylate). Polym. Bull. 2020, 77, 6333–6347. [Google Scholar] [CrossRef]
  192. Mahdavi, H.; Mazinani, N.; Heidari, A.A. Poly(vinylidene fluoride) (PVDF)/PVDF-g-polyvinylpyrrolidone (PVP)/TiO2 mixed matrix nanofiltration membranes: Preparation and characterization. Polym. Int. 2020, 69, 1187–1195. [Google Scholar] [CrossRef]
  193. Oliveira, T.S.; Brazil, T.R.; Guerrini, L.M.; Rezende, M.C.; Oliveira, M.P. Synthesis and characterization of poly (acrylonitrile-g-lignin) by semi-batch solution polymerization and evaluation of their potential application as carbon materials. J. Polym. Res. 2020, 27, 340. [Google Scholar] [CrossRef]
  194. Zhang, M.; Yang, P.; Lan, G.; Liu, Y.; Cai, Q.; Xi, J. High crosslinked sodium carboxyl methylstarch-g-poly (acrylic acid-co-acrylamide) resin for heavy metal adsorption: Its characteristics and mechanisms. Environ. Sci. Pollut. Res. 2020, 27, 38617–38630. [Google Scholar] [CrossRef]
  195. Wang, L.; Zhang, X.; Xu, J.; Wang, Q.; Fan, X. Synthesis of partly debranched starch-g-poly(2-acryloyloxyethyl trimethyl ammonium chloride) catalyzed by horseradish peroxidase and the effect on adhesion to polyester/cotton yarn. Process Biochem. 2020, 97, 176–182. [Google Scholar] [CrossRef]
  196. Xu, R.-M.; Yang, T.T.; Vidovic, E.; Jia, R.-N.; Zhang, J.-M.; Mi, Q.-Y.; Zhang, J. Cellulose Acetate Thermoplastics with High Modulus, Dimensional Stability and Anti-migration Properties by Using CA-g-PLA as Macromolecular Plasticizer. Chin. J. Polym. Sci. 2020, 38, 1141–1148. [Google Scholar] [CrossRef]
  197. Wu, Q.; Tiraferri, A.; Li, T.; Xie, W.; Chang, H.; Bai, Y.; Liu, B. Superwettable PVDF/PVDF-g-PEGMA Ultrafiltration Membranes. ACS Omega 2020, 5, 23450–23459. [Google Scholar] [CrossRef] [PubMed]
  198. Peighambardoust, S.J.; Aghamohammadi-Bavil, O.; Foroutan, R.; Arsalani, N. Removal of malachite green using carboxymethyl cellulose-g-polyacrylamide/montmorillonite nanocomposite hydrogel. Int. J. Biol. Macromol. 2020, 159, 1122–1131. [Google Scholar] [CrossRef]
  199. Gürsel, U.; Taran, S.; Gökçen, M.; Ari, Y.; Alli, A. Ultraviolet illumination responsivity of the Au/n-Si diodes with and without poly (linolenic acid)-g-poly (caprolactone)-g-poly (t-butyl acrylate) interfacial layer. Surf. Rev. Lett. 2020, 27, 1950207. [Google Scholar] [CrossRef]
  200. Song, P.; Guo, R.; Ma, W.; Wang, L.; Ma, F.; Wang, R. Synthesis of CO2-based polycarbonate-g-polystyrene copolymers via NMRP. Chem. Commun. 2020, 56, 9493–9496. [Google Scholar] [CrossRef] [PubMed]
  201. Klimovica, K.; Pan, S.; Lin, T.-W.; Peng, X.; Ellison, C.J.; LaPointe, A.M.; Bates, F.S.; Coates, G.W. Compatibilization of iPP/HDPE Blends with PE-g-iPP Graft Copolymers. ACS Macro. Lett. 2020, 9, 1161–1166. [Google Scholar] [CrossRef]
  202. Li, W.; Yu, Z.; Wu, Y.; Liu, Q. Preparation, characterization of feather protein-g-poly(sodium allyl sulfonate) and its application as a low-temperature adhesive to cotton and viscose fibers for warp sizing. Eur. Polym. J. 2020, 136, 109945. [Google Scholar] [CrossRef]
  203. Czarnecka, E.; Nowaczyk, J. Semi-Natural superabsorbents based on Starch-g-poly(acrylic acid): Modification, synthesis and application. Polymers 2020, 12, 1794. [Google Scholar] [CrossRef]
  204. Bhosale, R.R.; Gangadharappa, H.V.; Osmani, R.A.M.; Gowda, D.V. Design and development of polymethylmethacrylate-grafted gellan gum (PMMA-g-GG)-based pH-sensitive novel drug delivery system for antidiabetic therapy. Drug Deliv. and Transl. Res. 2020, 10, 1002–1018. [Google Scholar] [CrossRef] [PubMed]
  205. Patel, R.; Patel, M.; Sung, J.-S.; Kim, J.H. Preparation and characterization of bioinert amphiphilic P(VDF-co-CTFE)-g-POEM graft copolymer. Polym. Plast. Technol. Mater. 2020, 59, 1077–1087. [Google Scholar] [CrossRef]
  206. Li, W.; Wu, Y.; Wu, J.; Ni, Q. Preparation, characterization of poly(acrylic acid)-g-feather protein-g-poly(methyl acrylate) and application in improving adhesion of protein to PLA fibers for sizing. React. Funct. Polym. 2020, 152, 104607. [Google Scholar] [CrossRef]
  207. Deng, J.-R.; Zhao, C.-L.; Wu, Y.-X. Antibacterial and pH-responsive Quaternized Hydroxypropyl Cellulose-g-Poly(THF-co-epichlorohydrin) Graft Copolymer: Synthesis, Characterization and Properties. Chin. J. Polym. Sci. 2020, 38, 704–714. [Google Scholar] [CrossRef]
  208. Cuggino, J.C.; Ambrosioni, F.E.; Picchio, M.L.; Nicola, M.; Jiménez Kairuz, A.F.; Gatti, G.; Minari, R.J.; Calderon, M.; Alvarez Igarzabal, C.I.; Gugliotta, L.M. Thermally self-assembled biodegradable poly(casein-g-N-isopropylacrylamide) unimers and their application in drug delivery for cancer therapy. Int. J. Biol. Macromol. 2020, 154, 446–455. [Google Scholar] [CrossRef] [PubMed]
  209. Kenawy, E.R.; Seggiani, M.; Cinelli, P.; Elnaby, H.M.H.; Azaam, M.M. Swelling capacity of sugarcane bagasse-g-poly(acrylamide)/attapulgite superabsorbent composites and their application as slow release fertilizer. Eur. Polym. J. 2020, 133, 109769. [Google Scholar] [CrossRef]
  210. Jiang, P.; Ji, H.; Li, G.; Chen, S.; Lv, L. Structure formation in pH-sensitive micro porous membrane from well-defined ethyl cellulose-g-PDEAEMA via non-solvent-induced phase separation process. J. Macromol. Sci. Pure Appl. Chem. 2020, 57, 461–471. [Google Scholar] [CrossRef]
  211. Huang, Q.; Xu, Z.; Cai, C.; Lin, J. Micelles with a Loose Core Self-Assembled from Coil-g-Rod Graft Copolymers Displaying High Drug Loading Capacity. Macromol. Chem. Phys. 2020, 221, 2000121. [Google Scholar] [CrossRef]
  212. Wang, Z.; Wu, L.; Zhou, D.; Ji, P.; Zhou, X.; Zhang, Y.; He, P. Synthesis and Water Absorbing Properties of KGM-g-P(AA-AM-(DMAEA-EB)) via Grafting Polymerization Method. Polym. Sci. Ser. B 2020, 62, 238–244. [Google Scholar] [CrossRef]
  213. Erdoğan, M.K.; Akdemir, Ö.; Hamitbeyli, A.; Karakışla, M. Preparation of hydrophilic woven fabrics: Surface modification of poly(ethylene terephthalate) by grafting of poly(vinyl alcohol) and poly(vinyl alcohol)-g-(N-vinyl-2-pyrrolidone). J. Appl. Polym. Sci. 2020, 137, 48584. [Google Scholar] [CrossRef]
  214. Worzakowska, M. The preparation, physicochemical and thermal properties of the high moisture, solvent and chemical resistant starch-g-poly(geranyl methacrylate) copolymers. J. Thermal. Anal. Calorim. 2020, 140, 189–198. [Google Scholar] [CrossRef]
  215. Delorme, V.; Lichon, L.; Mahindad, H.; Hunger, S.; Laroui, N.; Daurat, M.; Godefroy, A.; Coudane, J.; Gary-Bobo, M.; Van Den Berghe, H. Reverse poly(ε-caprolactone)-g-dextran graft copolymers. Nano-carriers for intracellular uptake of anticancer drugs. Carbohydr. Polym. 2020, 232, 115764. [Google Scholar] [CrossRef] [PubMed]
  216. Kang, D.A.; Kim, K.; Karade, S.S.; Kim, H.; Kim, J.H. High-performance solid-state bendable supercapacitors based on PEGBEM-g-PAEMA graft copolymer electrolyte. Chem. Eng. J. 2020, 384, 123308. [Google Scholar] [CrossRef]
  217. Tian, B.; Cai, Y.; Zhang, X.; Fan, H.; Li, B.-G. Design of Well-Defined Polyethylene-g-poly-methyltrifluorosiloxane Graft Copolymers via Direct Copolymerization of Ethylene with Polyfluorosiloxane Macromonomers. Ind. Eng. Chem. Res. 2020, 59, 4557–4567. [Google Scholar] [CrossRef]
  218. Öztürk, T.; Meyvacı, E.; Arslan, T. Synthesis and characterization of poly(vinyl chloride-g-ε-caprolactone) brush type graft copolymers by ring-opening polymerization and “click” chemistry. J. Macromol. Sci. Pure Appl. Chem. 2020, 57, 171–180. [Google Scholar] [CrossRef]
  219. Zha, X.; Sadi, M.S.; Yang, Y.; Luo, T.; Huang, N. Adhesion of cornstarch-g-poly (2-hydroxyethyl acrylate) to cotton fibers in sizing. J. Adhes. Sci. Technol. 2020, 34, 461–479. [Google Scholar] [CrossRef]
  220. Nicolas, C.; Zhang, W.; Choppé, E.; Fontaine, L.; Montembault, V. Polynorbornene-g-poly(ethylene oxide) Through the Combination of ROMP and Nitroxide Radical Coupling Reactions. J. Polym. Sci. 2020, 58, 645–653. [Google Scholar] [CrossRef]
  221. Ilhan, E.; Karahaliloglu, Z.; Kilicay, E.; Hazer, B.; Denkbas, E.B. Potent bioactive bone cements impregnated with polystyrene-g-soybean oil-AgNPs for advanced bone tissue applications. Mater. Technol. 2020, 35, 179–194. [Google Scholar] [CrossRef]
  222. Chen, Y.; Li, Q.; Li, Y.; Zhang, Q.; Huang, J.; Wu, Q.; Wang, S. Fabrication of cellulose nanocrystal-g-poly(acrylic acid-co-acrylamide) aerogels for efficient Pb(II) removal. Polymers 2020, 12, 333. [Google Scholar] [CrossRef]
  223. Mo, X.-Z.; Wei, F.-X.; Tan, D.-F.; Pang, J.-Y.; Lan, C.-B. The compatibilization of PLA-g-TPU graft copolymer on polylactide/thermoplastic polyurethane blends. J. Polym. Res. 2020, 27, 33. [Google Scholar] [CrossRef]
  224. Guleria, A.; Kumari, G.; Lima, E.C. Cellulose-g-poly-(acrylamide-co-acrylic acid) polymeric bioadsorbent for the removal of toxic inorganic pollutants from wastewaters. Carbohydr. Polym. 2020, 228, 115396. [Google Scholar] [CrossRef] [PubMed]
  225. He, M.; Li, T.; Hu, M.; Chen, C.; Liu, B.; Crittenden, J.; Chu, L.-Y.; Ng, H.Y. Performance improvement for thin-film composite nanofiltration membranes prepared on PSf/PSf-g-PEG blended substrates. Sep. Purif. Technol. 2020, 230, 115855. [Google Scholar] [CrossRef]
  226. Savaş, B.; Öztürk, T. Synthesis and characterization of poly(vinyl chloride-g-methyl methacrylate) graft copolymer by redox polymerization and Cu catalyzed azide-alkyne cycloaddition reaction. J. Macromol. Sci. Pure Appl. Chem. 2020, 1–7. [Google Scholar] [CrossRef]
  227. Ahuja, D.; Rainu, A.S.; Singh, M.; Kaushik, A. Encapsulation of NPK fertilizer for slow release using sodium carboxymethyl cellulose-g-poly (AA-C0-AM-C0-AMPS)/ Montmorillonite clay-based nanocomposite hydrogels for sustainable agricultural applications. Trends Carbohydr. Res. 2020, 12, 15–23. [Google Scholar]
  228. Lu, Y.; Wu, F.; Duan, W.; Zhou, X.; Kong, W. Engineering a “PEG-g-PEI/DNA nanoparticle-in- PLGA microsphere” hybrid controlled release system to enhance immunogenicity of DNA vaccine. Mater. Sci. Eng. C 2020, 106, 110394. [Google Scholar] [CrossRef]
  229. Grebenik, E.A.; Surin, A.M.; Bardakova, K.N.; Dermina, T.S.; Minaev, N.V.; Veryasova, N.N.; Artyukhova, M.A.; Krasilnikova, I.A.; Bakaeva, Z.V.; Sorokina, E.G.; et al. Chitosan-g-oligo(L,L-lactide) copolymer hydrogel for nervous tissue regeneration in glutamate excitotoxicity: In vitro feasibility evaluation. Biomed. Mater. 2020, 15, 015011. [Google Scholar] [CrossRef] [PubMed]
  230. Barth, H.G.; Jackson, C.; Boyes, B.E. Size Exclusion Chromatography. Anal. Chem. 1994, 66, 595–620. [Google Scholar] [CrossRef] [PubMed]
  231. Hamielec, A.; Gloor, P.; Zhu, S. Kinetics of, free radical modification of polyolefins in extruders—Chain scission, crosslinking and grafting. Can. J. Chem. Eng. 1991, 69, 611–618. [Google Scholar] [CrossRef]
  232. Chaimberg, M.; Cohen, Y. Kinetic Modeling of Free-Radical Graft Polymerization. AIChE J. 1994, 40, 294–311. [Google Scholar] [CrossRef]
  233. Guillot, J.; Leroux, D. Modelling of size-exclusion chromatograms from molecular weight distribution calculations. Application to the grafting of polymers onto functionalized silica. Macromol. Chem. Phys. 1994, 195, 1463–1470. [Google Scholar] [CrossRef]
  234. Hojabr, S.; Baker, W.; Russell, K.; McLellan, P.; Huneault, M. Melt grafting of glycidyl methacrylate onto polyethylene: An experimental and mathematical modeling study. Int. Polym. Proc. 1998, 13, 118–128. [Google Scholar] [CrossRef]
  235. Machado, A.; Gaspar-Cunha, A.; Covas, J. Modelling of the grafting of maleic anhydride onto polyethylene in an extruder. Mater. Sci. Forum 2004, 455–456, 763–766. [Google Scholar] [CrossRef]
  236. Giudici, R. Mathematical modeling of the crafting of maleic anhydride onto polypropylene. Macromol. Symp. 2007, 259, 354–364. [Google Scholar] [CrossRef]
  237. Diaconescu, R.; Grigoriu, A.-M.; Luca, C. Neural network modeling of monochlorotriazinyl-β-cyclodextrin grafting on cellulosic supports. Cell. Chem. Technol. 2007, 41, 385–390. [Google Scholar]
  238. Luca, C.; Grigoriu, A.-M.; Diaconescu, R.; Secula, M. Modeling and simulation of monochlorotriazinyl-β-cyclodextrin paper grafting by artificial neural network. Rev. Chim. 2011, 62, 1033–1038. [Google Scholar]
  239. Grigoriu, A.; Racu, C.; Diaconescu, R.; Grigoriu, A.-M. Modeling of the simultaneous process of wet spinning-grafting of bast fibers using artificial neural networks. Textile Res. J. 2012, 82, 324–335. [Google Scholar] [CrossRef]
  240. Tong, G.-S.; Liu, T.; Hu, G.-H.; Hoppe, S.; Zhao, L.; Yuan, W.-K. Modelling of the kinetics of the supercritical CO2 assisted grafting of maleic anhydride onto isotactic polypropylene in the solid state. Chem. Eng. Sci. 2007, 62, 5290–5294. [Google Scholar] [CrossRef]
  241. Wang, J.; Ran, Y.; Ding, L.; Wang, D. Advances in supercritical CO2 assisted grafting of polypropylene in solid state. Chem. React. Eng. Technol. 2008, 24, 173–177. [Google Scholar]
  242. Casis, N.; Estenoz, D.; Vega, J.; Meira, G. Bulk prepolymerization of styrene in the presence of polybutadiene: Determination of grafting efficiency by size exclusion chromatography combined with a new extended model. J. Appl. Polym. Sci. 2009, 111, 1508–1522. [Google Scholar] [CrossRef]
  243. Badel, T.; Beyou, E.; Bounor-Legaré, V.; Chaumont, P.; Flat, J.; Michel, A. Free radical graft copolymerization of methyl methacrylate onto polyolefin backbone: Kinetics modeling through model compounds approach. Macromol. Chem. Phys. 2009, 210, 1087–1095. [Google Scholar] [CrossRef]
  244. Gianoglio Pantano, I.; Asteasuain, M.; Sarmoria, C.; Brandolin, A. Graft copolymers for blend compatibilization. Mathematical modeling of the grafting process. In Proceedings of the 2010 AIChE Annual Meeting Conference Proceedings, Salt Lake City, UT, USA, 7–12 November 2010; pp. 1–14. [Google Scholar]
  245. Gianoglio Pantano, I.; Asteasuain, M.; Sarmoria, C.; Brandolin, A. Graft Copolymers for Blend Compatibilization: Mathematical Modeling of the Grafting Process. Macromol. React. Eng. 2012, 6, 406–418. [Google Scholar] [CrossRef]
  246. Gianoglio Pantano, I.A.; Brandolin, A.; Sarmoria, C. Mathematical modeling of the graft reaction between polystyrene and polyethylene. Polym. Degrad. Stabil. 2011, 96, 416–425. [Google Scholar] [CrossRef]
  247. Aguiar, L.; Pessôa-Filho, P.; Giudici, R. Mathematical modeling of the grafting of maleic anhydride onto poly(propylene): Model considering a heterogeneous medium. Macromol. Theory Simul. 2011, 20, 837–849. [Google Scholar] [CrossRef]
  248. Damodaran, V.; Fee, C.; Popat, K. Modeling of PEG grafting and prediction of interfacial force profile using x-ray photoelectron spectroscopy. Surf. Interface Anal. 2012, 44, 144–149. [Google Scholar] [CrossRef]
  249. Zhou, D.; Gao, X.; Wang, W.-J.; Zhu, S. Termination of surface radicals and kinetic modeling of ATRP grafting from flat surfaces by addition of deactivator. Macromolecules 2012, 45, 1198–1208. [Google Scholar] [CrossRef]
  250. Nasef, M.; Shamsaei, E.; Ghassemi, P.; Aly, A.; Yahaya, A. Modeling, prediction, and multifactorial optimization of radiation-induced grafting of 4-vinylpyridine onto poly(vinylidene fluoride) films using statistical simulator. J. Appl. Polym. Sci. 2013, 127, 1659–1666. [Google Scholar] [CrossRef]
  251. Nasef, M.M.; Ali, A.; Saidi, H.; Ahmad, A. Modeling and optimization aspects of radiation induced grafting of 4-vinylpyridene onto partially fluorinated films. Radiat. Phys. Chem. 2014, 94, 123–128. [Google Scholar] [CrossRef]
  252. Wu, L.L.; Bu, Z.; Gong, C.; Li, B.-G.; Hungenberg, K.-D. Graft Copolymerization of Styrene and Acrylonitrile in the Presence of Poly(propylene glycol): Modeling and Simulation of Semi-Batch and Continuous Processes. Macromol. React. Eng. 2012, 6, 384–394. [Google Scholar] [CrossRef]
  253. Xie, X.-L.; Tong, Z.-F.; Huang, Z.-Q.; Zhang, Y.-Q. Kinetics model of graft co-polymerization of acrylamide onto mechanically-activated starch in inverse emulsion. J. Chem. Eng. Chin. Univ. 2014, 28, 567–573. [Google Scholar]
  254. Liu, X.; Nomura, M. Kinetic modeling and simulation of emulsion grafting copolymerization of styrene and acrylonitrile in the presence of polybutadiene seed latex particles. Ind. Eng. Chem. Res. 2014, 53, 17580–17588. [Google Scholar] [CrossRef]
  255. Zhang, M.; Jia, Y. Kinetic study on free radical grafting of polyethylene with acrylic acid by reactive extrusion. J. Appl. Polym. Sci. 2014, 131, 40990. [Google Scholar] [CrossRef]
  256. Sirirat, T.; Vatanatham, T.; Hansupalak, N.; Rempel, G.; Arayapranee, W. Kinetics and modeling of methyl methacrylate graft copolymerization in the presence of natural rubber latex. Korean J. Chem. Eng. 2015, 32, 980–992. [Google Scholar] [CrossRef]
  257. Oliveira, D.; Dias, R.; Costa, M. Modeling RAFT Gelation and Grafting of Polymer Brushes for the Production of Molecularly Imprinted Functional Particles. Macromol. Symp. 2016, 370, 52–65. [Google Scholar] [CrossRef]
  258. Saeb, M.; Rezaee, B.; Shadman, A.; Formela, K.; Ahmadi, Z.; Hemmati, F.; Kermaniyan, T.; Mohammadi, Y. Controlled grafting of vinylic monomers on polyolefins: A robust mathematical modeling approach. Des. Monomers Polym. 2017, 20, 250–268. [Google Scholar] [CrossRef]
  259. Hernández-Ortiz, J.; Van Steenberge, P.; Reyniers, M.-F.; Marin, G.; D’hooge, D.; Duchateau, J.; Remerie, K.; Toloza, C.; Vaz, A.; Schreurs, F. Modeling the reaction event history and microstructure of individual macrospecies in postpolymerization modification. AIChE J. 2017, 63, 4944–4961. [Google Scholar] [CrossRef]
  260. Hernández-Ortiz, J.; Van Steenberge, P.; Duchateau, J.; Toloza, C.; Schreurs, F.; Reyniers, M.-F.; Marin, G.; D’hooge, D. Sensitivity Analysis of Single-Phase Isothermal Free Radical–Induced Grafting of Polyethylene. Macromol. Theory Simul. 2018, 27, 1800036. [Google Scholar] [CrossRef]
  261. Hernández-Ortiz, J.; Van Steenberge, P.; Duchateau, J.; Toloza, C.; Schreurs, F.; Reyniers, M.-F.; Marin, G.; D’hooge, D. The Relevance of Multi-Injection and Temperature Profiles to Design Multi-Phase Reactive Processing of Polyolefins. Macromol. Theory Simul. 2019, 28, 1900035. [Google Scholar] [CrossRef]
  262. Penlidis, A.; MacGregor, J.F.; Hamielec, A.E. Dynamic modeling of emulsion polymerization reactors. AIChE J. 1985, 31, 881–889. [Google Scholar] [CrossRef]
  263. Iedema, P.D.; Grcev, S.; Hoefsloot, H.C.J. Molecular weight distribution modeling of radical polymerization in a CSTR with long chain branching through transfer to polymer and terminal double bond. Macromolecules 2003, 36, 458–476. [Google Scholar] [CrossRef]
  264. Dias, R.; Costa, M. A new look at kinetic modeling of nonlinear free radical polymerizations with terminal branching and chain transfer to polymer. Macromolecules 2003, 36, 8853–8863. [Google Scholar] [CrossRef][Green Version]
  265. Krallis, A.; Kiparissides, C. Mathematical modeling of the bivariate molecular weight-Long chain branching distribution of highly branched polymers: A population balance approach. Chem. Eng. Sci. 2007, 62, 5304–5311. [Google Scholar] [CrossRef]
  266. Kryven, I.; Iedema, P.D. A novel approach to population balance modeling of reactive polymer modification leading to branching. Macromol. Theory Simul. 2013, 22, 89–106. [Google Scholar] [CrossRef]
  267. Wang, R.; Luo, Y.; Li, B.-G.; Zhu, S. Modeling of Branching and Gelation in RAFT Copolymerization of Vinyl/Divinyl Systems. Macromolecules 2009, 42, 85–94. [Google Scholar] [CrossRef]
  268. Yaghini, N.; Iedema, P.D. Molecular weight and branching distribution modeling in radical polymerization with transfer to polymer and scission under gel conditions and allowing for multiradicals. Macromolecules 2014, 47, 4851–4863. [Google Scholar] [CrossRef]
  269. Penlidis, A.; Vivaldo-Lima, E.; Hernández-Ortiz, J.; Saldívar-Guerra, E. Chapter 12: Polymer Reaction Engineering. In Handbook of Polymer Synthesis, Characterization, and Processing, 1st ed.; John Wiley & Sons: New York, NY, USA, 2013; pp. 251–271. ISBN 978-047-063-032-7. [Google Scholar]
  270. Zhu, S.; Hamielec, A. Polymerization kinetic modeling and macromolecular. In Polymer Science: A Comprehensive Reference, 1st ed.; Matyjaszewski, K., Möller, M., Eds.; Elsevier B.V: London, UK, 2012; Chapter 4.32; Volume 4, pp. 779–831. ISBN 978-008-087-862-1. [Google Scholar]
  271. Quintero-Ortega, I.; Vivaldo-Lima, E.; Luna-Bárcenas, G.; Alvarado, J.; Louvier-Hernández, J.; Sanchez, I. Modeling of the Free-Radical Copolymerization Kinetics with Cross Linking of Vinyl/Divinyl Monomers in Supercritical Carbon Dioxide. Ind. Eng. Chem. Res. 2005, 44, 2823–2844. [Google Scholar] [CrossRef]
  272. Dong, P.; Sun, H.; Quan, D. Synthesis of poly(L-lactide-co-5-amino-5-methyl-1,3-dioxan-2-ones) [P(L-LA-co-TAc)] containing amino groups via organocatalysis and post-polymerization functionalization. Polymer 2016, 97, 614–622. [Google Scholar] [CrossRef]
Figure 1. Polymer grafting chemical routes.
Figure 1. Polymer grafting chemical routes.
Processes 09 00375 g001
Figure 2. Backbone activators used for polymer grafting.
Figure 2. Backbone activators used for polymer grafting.
Processes 09 00375 g002
Figure 3. Main steps of the phenylpropanoid pathway: lignins and lignans are monolignol derived. 1, phenylalanine ammonia-lyase; 2, tyrosine ammonia-lyase (mostly in grasses); 3, cinnamate-4-hydroxylase; 4, hydroxylases; 5, CoA ligases involving AMP and CoA ligation, respectively; 6, O-methyltransferases; 7, cinnamoyl-CoA:NADP oxidoreductases; 8, cinnamyl alcohol dehydrogenases; 9, chalcone synthase; 10, chalcone isomerase. (Note: conversions from 7-coumaric acid to sinapic acid and corresponding CoA esters are marked in boxes since dual pathways seem to take place; *: may also involve 7-coumaryl and feruloyl tyramines, and small amounts of single unit lignols). Source: Adapted with permission from Lewis N. G. and Sarkanen S. (1998). Lignin and Lignan Biosynthesis, Washington, D.C.: Oxford University Press pp. 6–7 [130] Copyright © 2021 by American Chemical Society.
Figure 3. Main steps of the phenylpropanoid pathway: lignins and lignans are monolignol derived. 1, phenylalanine ammonia-lyase; 2, tyrosine ammonia-lyase (mostly in grasses); 3, cinnamate-4-hydroxylase; 4, hydroxylases; 5, CoA ligases involving AMP and CoA ligation, respectively; 6, O-methyltransferases; 7, cinnamoyl-CoA:NADP oxidoreductases; 8, cinnamyl alcohol dehydrogenases; 9, chalcone synthase; 10, chalcone isomerase. (Note: conversions from 7-coumaric acid to sinapic acid and corresponding CoA esters are marked in boxes since dual pathways seem to take place; *: may also involve 7-coumaryl and feruloyl tyramines, and small amounts of single unit lignols). Source: Adapted with permission from Lewis N. G. and Sarkanen S. (1998). Lignin and Lignan Biosynthesis, Washington, D.C.: Oxford University Press pp. 6–7 [130] Copyright © 2021 by American Chemical Society.
Processes 09 00375 g003
Figure 4. Repeating units in lignin. From left to right: p-hydroxyphenyl, guaiacyl, metoxy guaiacyl, syringyl, metoxi syringyl, p-coumaryl alcohol, coniferyl alcohol, synapyl alcohol. Source: Adapted with permission from Katahira et al. (2018). Lignin Valorization. Emerging Approaches: Croydon UK pp. 3 [131]. Copyright © 2021 The Royal Society of Chemistry.
Figure 4. Repeating units in lignin. From left to right: p-hydroxyphenyl, guaiacyl, metoxy guaiacyl, syringyl, metoxi syringyl, p-coumaryl alcohol, coniferyl alcohol, synapyl alcohol. Source: Adapted with permission from Katahira et al. (2018). Lignin Valorization. Emerging Approaches: Croydon UK pp. 3 [131]. Copyright © 2021 The Royal Society of Chemistry.
Processes 09 00375 g004
Figure 5. Side chain structure in end-groups in lignin. From left to right: p-coumarate, ferulate, hydroxycinnamyl alcohol, hydroxycinnamaldehyde, dihydroycinnamyl alcohol, arylpropane-1,3-diol, arylglycerol end units. Source: Adapted with permission from Katahira et al. (2018). Lignin Valorization. Emerging Approaches: Croydon UK pp. 5 [131] Copyright © 2021 The Royal Society of Chemistry.
Figure 5. Side chain structure in end-groups in lignin. From left to right: p-coumarate, ferulate, hydroxycinnamyl alcohol, hydroxycinnamaldehyde, dihydroycinnamyl alcohol, arylpropane-1,3-diol, arylglycerol end units. Source: Adapted with permission from Katahira et al. (2018). Lignin Valorization. Emerging Approaches: Croydon UK pp. 5 [131] Copyright © 2021 The Royal Society of Chemistry.
Processes 09 00375 g005
Figure 6. Cellulose and chitin structures (top). II: schematic diagram of crystalline structures for different forms of chitin. Source: Adapted with permission from Jun-ichi Kadokawa (2015). Fabrication of nanostructured and microstructured chitin materials through gelation with suitable dispersion media: RSC Adv. 5 12736 [169]. Copyright © 2021 The Royal Society of Chemistry.
Figure 6. Cellulose and chitin structures (top). II: schematic diagram of crystalline structures for different forms of chitin. Source: Adapted with permission from Jun-ichi Kadokawa (2015). Fabrication of nanostructured and microstructured chitin materials through gelation with suitable dispersion media: RSC Adv. 5 12736 [169]. Copyright © 2021 The Royal Society of Chemistry.
Processes 09 00375 g006
Figure 7. Some of the key reactions present in the grafting of polyolefins with vinyl monomer M. Reprinted with permission from Hernández-Ortiz et al., AIChE J., 63(11), 4944–4961 [259]. Copyright 2017 John Wiley and Sons, New York.
Figure 7. Some of the key reactions present in the grafting of polyolefins with vinyl monomer M. Reprinted with permission from Hernández-Ortiz et al., AIChE J., 63(11), 4944–4961 [259]. Copyright 2017 John Wiley and Sons, New York.
Processes 09 00375 g007
Figure 8. Simulation approach using kMC for the grafting of polyolefins with vinyl monomer M. Reprinted with permission from Hernández-Ortiz et al., AIChE J., 63(11), 4944–4961 [259]. Copyright 2017 John Wiley and Sons, New York.
Figure 8. Simulation approach using kMC for the grafting of polyolefins with vinyl monomer M. Reprinted with permission from Hernández-Ortiz et al., AIChE J., 63(11), 4944–4961 [259]. Copyright 2017 John Wiley and Sons, New York.
Processes 09 00375 g008
Table 1. Overview of the synthesis and characterization of grafted copolymers with an emphasis on the period 1950 to 1970, plus some additional, more recent ones.
Table 1. Overview of the synthesis and characterization of grafted copolymers with an emphasis on the period 1950 to 1970, plus some additional, more recent ones.
BackboneFunctionalization MethodGraft ChainsGrafting Technique Grafting ConditionsMeasured Properties and Characterization MethodsRef.
Rubber (GRS or natural)Generation of internal free radicals by CTP.PSty or PMMAGrafting from95–180 °C; Mass FRP (rubber dissolved in monomer, in presence of initiator); solvent-non-solvent fractionation.Determination of vinyl unsaturation (peracid and infrared methods); molecular weight by intrinsic viscosity; DMA; mechanical properties: tensile strength, elongation-at-break, hardness, modulus at 100 and 300% elongation, as well as tear at 20, 80, and 120 °C.[8,9]
PMMA (a copolymer of MMA and small content of GMA)Incorporation of mercaptan groups by reaction of GMA and hydrogen sulfide in presence of sodium ethoxide catalyst.PSty, PBMA, PLMA, or PMAGrafting fromMass or solution polymerization of monomer in presence of PMMA with pendant mercaptan groups (grafting occurs by chain transfer to mercaptan groups).Solvent extraction of ungrafted polymer, measured by UV analysis; grafting efficiency calculated with the aid of a kinetic model.[10]
Either PAN or PAMTwo methods used: (a) CTP; (b) photolysis of a copolymer containing a few per cent of ACN. PAM, PAN; PMMA (onto PAN) [12]Grafting from(a) SP in sodium perchlorate at 55 °C, using persulphate-bisulphite; (b) SP in sodium perchlorate at 25 to 35 °C in a quartz tube under a G.E. Sun Lamp.Composition by IR; molecular weight by intrinsic viscosity calibrated from light scattering data; phase contrast microscopy; measurement of softening points; analysis of X-ray scattering curves [12].[11,12]
PEUV irradiation of surface of sensitized PE.PStyGrafting from(a) Sensitized PE irradiated one minute, stand a week, and then proceed to mass polymerization in Sty at 70 °C; (b) irradiation of plastic in presence of Sty.Mass difference or ability of the surface to adhere to pressure-sensitive tape under load.[13]
Celluloseγ-ray pre-irradiation technique.PStyGrafting fromPre-irradiation by Co60 γ-rays in water or in a H2O2 solution; grafting in a 20 vol. Sty solution (methanol/water) at 50 °C.Degree of grafting by weight gain; estimation of active sites by the ferrous ion method; solubilization of material by acetylation and acetolysis, followed by IR spectroscopy.[14]
CelluloseBinding initiators or components of initiation systems by means of ion exchange with such materials.Various polymers (PAN, PMMA, PSty, PAA, PVDC)Grafting fromStarting material contacted with a dilute solution of catalyst cation salt; the exchanged cellulose was then placed in the monomer or monomer solution; the mixture was heated or irradiated for the required time.Swelling by centrifuging; grafting efficiency by solvent extraction; mechanical properties (elongation, moduli; toughness); chemical properties (basic/acid dying and hydrolysis, bromination, oxidation, complex formation, etc.); wetting; rotproofing.[15]
CelluloseFormation of free radicals in cellulose by exposure to high energy electrons or to γ-rays from Co60.PStyGrafting fromSty brought into intimate contact with cellulose by the inclusion technique; then, (a) perform irradiation with high energy electrons using a 2-M.e.v. Van de Graaff accelerator; or (b) induce grafting by γ-ray irradiation.Degree of grating and grafting efficiency from extraction curves (mass determination); drastic hydrolysis of cellulose backbone and molecular weight determination of isolated PSty chains by intrinsic viscosity; calculation of grated chains per cellulose chain.[16]
Terpolymer of ethylene– ethyl acrylate–maleic anhydride (EEAMA) Step-growth polymerization (SGP) between maleic anhydride (MAnh) from EEAMA and amine groups from PDMS.Polydi-methyl-siloxane (PDMS)Grafting toMelt reactive mixing proceeded in a Haake Rheocord 3000 batch mixer; T = 140 °C.Composition and evidence of grafting by 1H and 13C nuclear magnetic resonance. Molecular weight distributions (MWDs) were determined using a GPC or SEC chromatograph (Alliance GPCV 2000, Waters) with refractive index viscometer detectors. Linear viscoelastic properties were determined using a rheometer (AR 2000, TA Instrument) with a cone-and-plate configuration.[17]
Cores of different polymers: polystyrene substrates; arborescent poly(γ-benzyl l-glutamate) (PBG)Typically, successive anionic grafting reactions of pre-formed side chains onto substrates randomly functionalized with coupling sites (e.g., alkyne-azide click chemistry coupling)poly(2-vinyl pyridine), polyisoprene, poly(tert-butyl methacrylate), and poly(ethylene oxide); poly(γ-benzyl L-glutamate) (PBG); polyglycidol, poly(ethylene oxide) (PEO), or poly(l-glutamic acid) (PGA) “Dendrigraft polymers” synthesized by different chemical routes.MWD determined by SEC and static light scattering; morphology of arborescent polystyrene molecules determined by small-angle neutron scattering (SANS); film formation of isoprene copolymers on mica surfaces investigated using atomic force microscopy (AFM) after spin-casting from different solvents; morphologies of core-shell-corona copolymers studied by transmission electron microscopy (TEM).[18,19,20,21,22,23,24,25,26]
Abbreviations. ACN: α-chloroacrylonitrile; CTP: chain transfer to polymer; DMA: dynamic mechanical analysis; FRP: conventional free-radical polymerization; GMA: glycidyl methacrylate; IR: infrared spectroscopy; PAA: poly(acrylic acid); PALA: poly(allyl acrylate); PAM: polyacrylamide; PAN: polyacrylonitrile; PBMA: poly(butyl methacrylate); PE: polyethylene; PLMA: poly(lauryl methacrylate); PMA: poly(methyl acrylate); PMMA: poly(methyl methacrylate); PSty: polystyrene; PVDC: poly(vinylidene chloride); REX: reactive extrusion; SP: solution polymerization.
Table 2. Free-radical polymerization methods.
Table 2. Free-radical polymerization methods.
Polymerization MethodGeneral DescriptionType of Reaction
Conventional free-radical polymerization (FRP)Three steps involved: (1) initiation, with formation of free radicals; (2) propagation, where free radicals react with monomer; and (3) termination of polymer radicals by either combination, disproportionation, or chain transfer to small molecules. The simultaneous participation of these reactions leads to broad molar mass distributions. Chain transfer reaction: free radicals generated in the system tend to react with backbones by CTP, thereby activating them.
Direct generation of free radicals along the backbone: activators generate free radicals from reaction with functional groups placed along the backbone, which correspond to the initiating step of a SIP [27].
Reversible deactivation radical polymerization (RDRP)A group of polymerization techniques based on free radical technology that controls the growth of polymer molecules during the polymerization.
Polymer radicals are reversibly deactivated by effect of controllers that act under some relatively new chemical routes. These techniques allow the development of advanced materials, with various architectures, and well-defined microstructures.
Each technique has its own mechanism and conditions that favor them. SIP can proceed by any of the known RDRP techniques.
Atom transfer radical polymerization (ATRP): It is a catalytic process where an alkyl halide macromolecule reacts with the catalyst, allowing the formation of a radical that propagates until it reacts again with the catalyst, in a reversible way [71].
Nitroxide mediated polymerization (NMP): A stable nitroxide free radical acts as controller, reversibly deactivating the propagating and polymer radicals forming dormant polymer molecules with alkoxyamine end functionalities [50].
Reversible addition-fragmentation chain transfer (RAFT) polymerization: Thiocarbonilthio compounds are used as chain transfer agents which control molecular weight development by reversible activation-deactivation reactions [50].
Reactive extrusion (REX)REX is a set of techniques designed to produce and modify polymers, typically carried out in single or twin extruders. Five main types of reactive polymerizations caried out in extruders have been reported: bulk polymerization, polymer grafting, polymer functionalization, controlled degradation, and reactive blending [72].
Reactions proceed in melt phase. Examples of polymer grafting by REX include polyolefin [73] and starch modifications [74].
Polymer modification by free-radical polymerization: Free radical initiators such as peroxides are used to generate activate sites within the backbone [73,75].
Polymer modification by insertion of active pendant groups: It consists of the copolymerization of monomers who have no functional groups with co-monomers possessing pendant which make polymer grafting easier to accomplish [49].
Table 3. Overview of grafting of synthetic polymers onto cellulose and natural fibers.
Table 3. Overview of grafting of synthetic polymers onto cellulose and natural fibers.
BackboneFunctionalization MethodGrafted ChainsGrafting TechniqueGrafting ConditionsMeasured Properties and MethodsRefs.
Cotton fabricFRP by a cellulose thiocarbonate-AIBN redox system.PMMA, PAA, PAN, PAMGrafting fromT = 60–80 °C.Degree of grafting (GP), gravimetric method.[95]
CelluloseFRP by a KPS-FAS REDOX system.PSty, PANGrafting fromT = 60 °C; t = 3 h; [STY] = 0.65 M
[KPS] = 0.14 M; [FAS] = 0.01 M.
GP, gravimetric method; FTIR and TGA to corroborate GP.[96]
Cellulose fabricsFRP by KPS initiation.PIAGrafting fromT = 55–80 °C; t = 2.5–5 h; [KPS] = 0.05–0.5 M; [IA] = 0.5–4 M. GP, gravimetric method; FTIR, XRD, TGA and SEM to corroborate grafting.[97]
CelluloseFRP by CAAC initiation.PMBA, P(N-VP)Grafting fromT = 30–70 °C; [CAAC] = 2 − 30 × 10−5 M.Grafting yield (GY) and other grafting parameters; gravimetric method.[98,99]
CelluloseFRP by CAN-NAC REDOX system.PEA, PNIPAAM, PAAM-PEA, (AAM-EMA), P(AAM-MA), P(AN-EMA)Grafting fromT = 10–60 °C; t = 24 h; [CAN] = 1.5 − 32 × 10−3 M; [NAC] = 2.5−8 × 10−2 M.GY and other grafting parameters, gravimetric method; FTIR and TGA to corroborate grafting. FTIR and EA for composition. MMass by viscometric method and GPC.[100,101,102,103,104,105]
Cellulose microfibersRedox initiation.PAAGrafting throughKPS = 0.1–0.4% respect to fiber weight. t = 3 h, T = 75 °CGP, gravimetric method; FTIR and TGA to corroborate GP.[106]
Cellulose powderCo(acac)3N’N’-MBA [98], or N-VP [99]Grafting fromCellulose washed with CH3OH, C3H6O, and water; then dried. Reaction under nitrogen atmosphere.
Different temperatures, 30–60 °C [98], or 40–50 °C [99]; reaction carried out in water. Kinetic data from 0–150 min [86], or 0–120 min [99].
Percent grafting (% G), true grafting (% GT), grafting efficiency (% GE), homopolymer conversion (% CH), cellulose conversion (% CC), and total conversion (% CT) by gravimetric methods.[98,99]
Cotton linter
Cellulose powder
Ceric ammonium
sulfate, 1% sulfuric acid.
AcN
EA
MMA
Grafting fromCellulose treated with sodium hydroxide 5–30 % wt./vol at 25 °C.
Grafting temperatures: 30, 40 and 60 °C, sodium bisulfite clay as initiator.
Polymerization in diluted HCl for 2 h.
Percent grafting (% G),
true grafting (% GT), grafting efficiency (% GE), by gravimetric methods.
[107]
Hydroxypropyl cellulose (HPC)Steglich esterification of PABTC onto HPC using DCC and DMAP.EA
NIPAAM
Grafting fromSteglich esterification using DCC and DMAP in chloroform at 40 °C, in presence of HPC and PABTC. 6 days for 50% conversion. Polymerization of EA and NIPAAM at 60 °C using AIBN; 94% conversion with free polymer in DMAc.Tg by DSC at 45, 55 and 135 °C for PNIPAAM, and Tm at 157 °C. TGA from ambient to 600 °C at 10 °C/min, nitrogen atmosphere for HPC, PINIPAAM and the grafted HPC-g-PNIPAAM. 1HNMR for degree of substitution.
SEC for HPC Macro CTA and HPC-g-PNIPAAM.
[108]
Cellulose chloroacetate
(CellClAc)
Macro initiator, Cu(I)Cl/2′2′BIPI catalytic system via ATRP controller.4NPA
MMA
Grafting fromATRP of 4NPA and MMA carried out in DMF at 130 °C for 24 h, in the presence of CellClAc as macro initiator, Cu(I)Cl/2,2′BIPI catalytic system. Grafting conversion under 15%.NMR, FTIR, TGA, and elemental analysis.[109]
Cellulosic Grewia optiva fibersRedox initiation using FAS-H2O2 for grafting of MA, and KPS for polymerization of MA.MAGrafting from1 g of mercerized Grewia optiva fibers was set in distilled aqueous solution with NaOH for 24 h, followed by addition of redox initiator (FAS-H2O2). Solution was stirred for 10 min; MA was then added. Solution was polymerized using microwave irradiation at different times.FTIR, SEM, TGA, swell index.[110]
Cellulose acetateSolvents: DMSO, PDX, DMAc, C3H6O.
Initiators for grafting and polymerization: CAN, Sn(Oct)2 and BPO.
MMAGrafting fromFocus on solvent effect. 1.25 g of cellulose acetate were dissolved in 125 mL of solvent. CAN or Sn(Oct)2 or BPO (0.3–0.5 g) were added with MMA (1.25–2 mL). Nitrogen atmosphere, 2–6 h, 30–80 °C, except acetone, which proceeded at 55 °C.Grafting yield (GY), total monomer conversion (TC), grafting efficiency (GE) and number of grafting chains per cellulose acetate molecule were obtained by gravimetric methods.
TGA, GPC, FTIR, 1HNMR.
[111]
Cellulose chloroacetate
(CellClAc)
Macro initiator, Cu(I)Cl/2′2′BIPI catalytic system via ATRP controller.NCA
MMA
Grafting fromATRP of NCA and MMA in DMF at 130 °C, in the presence of CellClAc.FTIR, TGA, and elemental analysis.[112]
Cellulose cotton fibersNa2CO3 and thermal activation.MTC-b-CDGrafting toGrafting of MCT-β-CD onto cotton fabric carried out in alkaline medium; 1 mg of cellulose fiber was impregnated with solutions of 50–150 g/L of MCTβ-CD and 20–80 g/L Na2CO3. Solvent was eliminated at room temperature before heating at 100–160 °C, for 10, 15 and 20 min. Sample were washed to obtain neutral pH. Silver nitrate solutions were added in situ for some samples.FTIR and microbiological tests [113]. Gravimetric methods and analytical modeling [114]. MODDE software was used to study the relationship between 3 significant independent variables and degree of grafting.[113,114]
Cotton linter celluloseCTP using APS as initiator.MMAGrafting from in situ polymer formation (embedded)Cellulose pre-swelling: Cellulose was pre-swollen in DMAc at 160 °C for 0.5 h. Pre-swollen cellulose was filtered. A solution of LiCl in DMAc (8%, w/w) was prepared. The pre-swollen cellulose was added to the DMAc/LiCl solution. The mixture was stirred at 100 °C for 2 h and purged with gaseous N2. MMA polymerization was carried out at 70–90 °C using APS and DMSO.TGA-DTA, FTIR, SEM, XRD.[115]
Microcrystalline celluloseRing-opening polymerization (ROP) of L-LA with DMAP in an ionic liquid AmimCl.PLLAGrafting fromA 4% (w/w) microcrystalline cellulose/AmimCl solution was prepared and stirred at 60 °C, in N2 environment for 1 h. L-LA and DMAP were then added. The sample was degassed 3 times in vacuum/N2 during 1 h cycles. ROP proceeds at 90 °C in presence of N2 atmosphere during 11 h.Controlled release of vitamin C. Characterization by 1HNRM, UV analysis, XRD, TEM, and HPLC.[116]
Cellulose (DP=1130)CTP; APS and MMA embedded.MMAGrafting fromCellulose is pre-swollen in DMAc during 30 min, at 160 °C. 5 g of pre-swollen cellulose are mixed with 95 g of water and proper amounts of APS and MMA. Grafting proceeds at 80 °C. Excess of PMMA was washed with acetone.Characterization: FTIR, WARD-XRD, SEM, and TGA-DTA.[117]
Cellulose nanocrystal
(CNC)
Macromolecular initiator obtained from the reaction between Br-iBuBr and CNC using TEA as catalyst, via SI-ATRP.STY.
Cast in MMA
Grafting fromMacromolecular initiator: Br-iBuBr, CNC, and TEA were dissolved in DMF, and stirred under N2 at 70 °C for 24 h. CNC, 2-bromoisobutyrate, styrene and copper(I)bromide were dissolved in anisol; PMDETA was then added. The reaction proceeded at 100 °C for 12 h and N2 atmosphere via SI-ATRP. The remanent PS homopolymer was eliminated using methanol, and centrifuging. The modified crystals were dosed into PMMA nanocomposites by solution casting.Characterization: TEM, SEM, FTIR, UV-Vis., XRD, 13C-NMR, TGA, DSC, and tensile test[118]
Cellulose nanocrystal(CNC)L-LA in situ polymerization using MgH2 as redox agent.
PLLA-g-CNC particles were casted in PLLA.
PLLAGrafting from1.50 g of L-LA and 0.05 g of CNCs were pre-mixed. 0.03 g of MgH2 were then added and stirred during 30 min. The mixture was heated to 110 °C for 3, 6, 10, 12, 18 and 24 h, under nitrogen atmosphere. Casting method: 1.0 g of PLLA and 0.1 g of CNC or 1.3 g of PLLA-g-CNC were dispersed in 10 mL of chloroform or toluene solution and mixed for 10 h. The mixtures/solutions were poured into Teflon® plates and let stand for 18 h at 80 °C. The films were dried under vacuum at 60 °C for 72 h at room temperature.Characterization: FTIR, 1HNRM, 13C-NMR, XRD, XPS, TGA, DSC and DMA. [119]
Cellulose cotton fiber pulp(a) Esterification of maleic anhydride grafted onto PHA (through double bond); (b) PHA-g-MA is grafted onto cellulose cotton fiber pulp (through the anhydride group).PHA-g-MAGrafting toCotton fibers were defibered into pulp to 25°SR using a PL4-2 speed governing beater; 30 g/m2 paper film was then formed in a RK3-KWTjul Rapid-Koethen sheet former. PHA-g-MA was dissolved in refluxing dichloromethane at 60 °C, and the paper film was dipped into the solution of PHA. The PHA/CF composite film was then washed with dichloromethane and dried.Characterization: FTIR; XRD; SEM; surface roughness; surface hydrophobicity, with contact angle; tensile test, and TGA.[120]
Cellulosic filter papersRadiation-induced graft copolymerization (RIGCP) of AcN.AcrylonitrileGrafting fromThe reaction took place in a glass tube which contained a Whatman filter paper (W1) and a 45% AcN solution in DMF. The solution was irradiated with cobalt-60 g-rays at a dose rate of 4 kGy/h, in air atmosphere. The grafted material was washed with DMF and water, followed by drying (T = 80 °C, 2 h). Degree of grafting (G%) was determined. Characterization: FTIR, XRD, XRF, TGA and SEM.[121]
CellClAcATRP grafting of the studied monomers using CuCl, 2′2′BIPI as catalyst.NCHA, 4VP, DA, DAAM.Grafting fromCellulose chloroacetate (ATRP macroinitiator) and any of the monomers (NCHA, 4VP, DAAM or DA) were added to 10 mL of DMF; an inert environment was created using argon. The grafting reaction proceeded at 130 °C for 24 h. The proportion of Cell.ClAc, CuCl, 2′2′BIPI and each monomer was 1:1:3:100. The reacting mass proceeded to filtering and washing using acetonitrile, DMF, chloroform, a mixture of water-ethanol-HCl, pure water, ethanol, acetone, and diethyl ether. The product was dried under vacuum.Characterization: FTIR, UV-Visible, TGA, elemental analysis, and electrical conductivity.[122]
Regenerated cellulose fibers (rayon)Photo-chemical grafting of PETA without photoinitiator.PETAGrafting toFibers were washed with a solution of PETA in isopropanol. Monomer content of 1% and 5% was used. The cellulosic material was irradiated with a broadband Hg lamp (emission band of 200 and 300 nm), at 50 W/cm. Layer deposition from homo-polymerization and subsequent grafting-to process onto the fiber took place.Fiber volume content; tensile and fatigue tests; SEM.[123]
Cellulose nanofibrilsNitroxide TEMPO insertion and NMP of HEMAHEMAGrafting fromPreparation of TEMPO-oxidized cellulose nanofibrils. A suspension was prepared using HEMA (0.15 g), H2O2 (0.0075 g), CaCl2 (0.0075 g) and TCNF (0.3 wt.%, 500 g), followed by stirring and heating at 50 °C for 4 h. Either freezer freezing, or gradient freezing in liquid nitrogen were used. The nanofibril suspension was set in a freezer (−25 °C). The frozen material pieces were 3 cm height. Drying in a lyophilizer to form aerogels then took place.Characterization: XRD; FTIR; XPS; SEM; stress-strain under compression analyses; BET analysis and electrical resistivity.[124]
Table 4. Overview of grafting of synthetic polymers onto natural polymers: lignin, hemicellulose, polysaccharides, chitosan, and chitin backbones.
Table 4. Overview of grafting of synthetic polymers onto natural polymers: lignin, hemicellulose, polysaccharides, chitosan, and chitin backbones.
Functionalization MethodGrafted ChainsGrafting TechniqueGrafting ConditionsRefs.
Steglich esterification of RAFT controller onto organosolv lignin to produce a microcontroller. Subsequent polymerization of soybean oil derived methacrylate monomers.Poly(soybean oil methacrylate) derivatives.
PSBMA, PSBMAH, PSBMAEO
Grafting from4-cyano-4-(phenylcarbonothioylthio) pentanoic acid was coupled with lignin via Steglich esterification using DCC and DMAP at ambient conditions. [Monomer]/[Lignin-RAFT]/[AIBN] molar ratio = 100:1:0.3; Temperature: 70–80 °C; Time: 24–48 h; Conversion: 74–94%.[134]
Phosphorylation.
SN2 reaction mechanism.
Imidazole and POCl3 react with (1H-imidazol-1-yl) phosphonic group, which reacts with lignin. Grafting toReacted imidazole-POCl3. DMF, 80 °C, 6h. Lignin-g- (1H-imidazol-1-yl)phosphonic group. 95 °C, 12 h, pH = 3–4 in DMF, yield = 92%. Composites were blended with PP-block-PE, MFI of 1.39 g/10 min (T = 230 °C; standard weight of 2.16 kg), ethylene content 17.8 wt %, from China Petrochemical Co. in a Thermo Haake torque rheometer (180 °C: 10 min; 60 rpm). [125,135]
Phosphorus(V) oxideGrafting toP4O10. Temperature = 20–25 °C, time = 7–8 h. Solvent: THF.[125,136,137]
Hemicellulose grafting using TBD and ɛ-caprolactone monomer.PCL - Hemicellulose
(HC-g-PCL)
Grafting from5 g of dried hemicellulose (5.00 g) were introduced into a reactor containing 10 mL of DMSO at 80 °C. Agitation at 60 rpm took place until a homogeneous viscous solution was obtained. Grafting temperature was 110 °C. ε-caprolactone monomer was added to the hemicellulose solution and agitated during 30 min. TBD, 1% of the total mass, was added. The reaction proceeded during 4 hrs. in a system with flow of nitrogen. Drying at 60 °C under vacuum proceeded for 2 days. FTIR, 1HRM, 13CNMR, HSQC, GPC, DSC, TGA-FTIR, Tensile Test, Contact Angle, Biodegradation test.[37]
Several techniques presented in the review.Monomers or polymers used in: ATRP: NIPAAM, DMAEMA, STY, MMA, BA, EG; RAFT: AM, AA, others; ROP: PCL, L-LA, EG; Click chemistry: polymer having alkyne or azide groups for the azide-alkyne cycloaddition, EG, PCL, PLLA.Grafting, from; grafting to; network copolymer graftingGrafting from: ATRP, RAFT, ROP, and FRP.
Grafting onto: Thiol-ene reaction with photo-redox catalysis, click chemistry, epoxide group-mediated reactions, condensation.
Network copolymer grafting: Polycondensation, free radical crosslinking.
[9]
Insertion of ACX onto lignin to synthesize a RAFT macrocontroller which polymerized AM and AA.RAFT polymerization of AM and AA.Grafting from0.1 g of RAFT macroinitiator and 0.005 g of AIBN were added to a solution of monomer (0.3 g) in DMF (4 mL). The reactor was degassed with nitrogen for 30 min at ambient conditios. Reaction temperature was 70 °C, target conversion was 98% in 24 h for both monomers. The product was obtained by precipitation, filtration, washing and drying. Grafting was measured using 1H NMR.
0.2 g Lignin-g-Pam were dissolved in KOH solution (0.1 g in 1 mL of water), followed by heating (T = 70 °C, t = 12 hrs.), followed by neutralization with HCl. The solution was then precipitated into diethyl ether and dried in air. Ungrafted PAm was withdrawn by extraction with CH2Cl2. The product was vacuum dried, and analyzed by 1H NMR and GPC, using adequate solvents.
[138,139]
Several techniques described in the review.
Monomers copolymerized with natural extracts.
Several procedures described. Grafting from
Grafting through
Monomers and polymers grafted by:
FRP: Guaiacol-AM, Vainillin-LMA.
RAFT: Syringyl methacrylate, STY, MMA,
4-propylsyringol, 4-propylguaiacol.
ADMET (Acyclic Diene Metathesis Polymerization) and ROP: Ferulic acid, isorbide, butanediol.
[140]
ATRPNIPAAM Processes 09 00375 i206 PNIPAAMGrafting fromBackbone: Kraft lignin (alkali); Catalyst: CuBr/PMDETA; Solvent: water/DMF; T = 50 °C; Thermoresponsive material.[140,141]
ATRPDAEAProcesses 09 00375 i206 PDAEAGrafting fromBackbone: Organosolv lignin; Catalyst: CuBr/Me6TREN; Solvent: THF; T = 65 °C; Hydrophobic polymer composites.[140,142]
ATRPPEG-A; NIPAAMGrafting fromBackbone: Kraft lignin (alkali); Catalyst: CuBr/HMTETA.
Solvent: PDX; T = 60–70 °C; Thermogelling material.
[140,143]
ATRPMMA Processes 09 00375 i206 PMMA
BMA Processes 09 00375 i206 PBMA
Grafting fromBackbone: Kraft lignin; Catalyst: CuBr/PMDETA; Solvent: water/DMF; T = 80 °C; Thermoplastic elastomers.[140,144]
SI-ATRPNIPAAM Processes 09 00375 i206 PNIPAAMGrafting fromBackbone: Softwood Kraft lignin; Catalyst: CuCl/HMTETA; Solvent: water; Room temperature; Ionic responsive nanofibrous material.[140,145]
ATRPMMA Processes 09 00375 i206 PMMA
STY Processes 09 00375 i206 PS
Grafting fromPMMA
Backbone: Kraft lignin (alkali); Lignin + STY Processes 09 00375 i206 lignin-g-PS; Catalyst: CuCl/2′2′BIPI; Solvent: DMF; T = 100 °C, 14 days.
PS (PSty)
Backbone: Kraft lignin (alkali); Lignin + MMA Processes 09 00375 i206 Lignin-g-PMMA; Catalyst: CuBr/PMDETA; Solvent: DMF; T = 70 °C, 24 h; Thermoplastic lignin composites.
[140,146]
ATRPMMA Processes 09 00375 i206 PMMAGrafting fromBackbone: Kraft lignin (alkali); Lignin + MMA Processes 09 00375 i206 Lignin-g-PMMA; Catalyst: CuBr/PMDETA; Solvent: DMF; T = 70 °C, 24 h; Thermoplastic lignin composites.[140,147]
ATRPPEGMAGrafting fromBackbone: Kraft lignin (alkali); Lignin-Br + PEGMA Processes 09 00375 i206 Lignin-g-PEGMA; Catalyst: CuBr/HMTETA; Solvent: Acetone; Room temperature, overnight; Supramolecular hydrogels, self-healing materials.[140,148]
ATRPSTY Processes 09 00375 i206 PSGrafting fromBackbone: Kraft lignin (alkali); Lignin-Br + STY Processes 09 00375 i206 lignin-g-PS; Catalyst: FeCl3 6H2O/PPh3/ascorbic acid; Solvent: DMF; T = 110 °C, 24 h; Novel polymerization method.[140,149]
ATRPMMA Processes 09 00375 i206 PMMAGrafting fromBackbone: Kraft lignin (alkali); Lignin + MMA Processes 09 00375 i206 lignin-g-PMMA; Catalyst: FeCl3 6H2O/PPh3/ascorbic acid; Solvent: DMF; T = 90 °C, 24 h; Novel polymerization approach.[140,149]
ATRPDMAEMA Processes 09 00375 i206 PDMAEMAGrafting fromBackbone: Kraft lignin (alkali); Lignin-Br + DMAEMA Processes 09 00375 i206 lignin-g-PDMAEMA; Catalyst: CuBr/HMTETA; Solvent: PDX; T = 65 °C, 48 h; Gene delivery.[150]
RAFTAM Processes 09 00375 i206 PAMGrafting fromBackbone: Kraft lignin from softwood sources, prepared using KEX, 2-Bromopropionic acid, and thionyl chloride in dry THF in N2 atmosphere at 70 °C, overnight.
Lignin-KEX + AM Processes 09 00375 i206 Lignin-KEX-g-PAM; RAFT controller: Lignin Macrocontroller; Initiator: AIBN; Solvent: DMF; T = 70 °C, overnight; Application: Pickering emulsions.
[151]
RAFTAM Processes 09 00375 i206 PAMGrafting fromBackbone: Kraft lignin. Prepared with KEX, 2-Bromopropionic acid, and thionyl chloride in dry THF in N2 atmosphere at 70 °C, overnight.
Lignin-KEX + AM Processes 09 00375 i206 Lignin-KEX-g-PAM; RAFT controller: Lignin Macrocontroller; Initiator: AIBN. Solvent: DMF; T = 70 °C; Application: Plasticizer for Portland cement paste.
[152]
Esterification via epoxy groupLignin + GMA Processes 09 00375 i206 Lignin-GMA + AM Processes 09 00375 i206 Lignin-GMA-g-PAMGrafting fromBackbone: Kraft lignin was first functionalized by reacting with GM through the epoxide ring; Lignin + GMA Processes 09 00375 i206 Lignin-GMA; Lignin-GMA + AM Processes 09 00375 i206 Lignin-GMA-g-PAM; RAFT controller: Lignin Macrocontroller; Initiator: AIBN; Solvent: DMF; T = 70 °C; Application: Plasticizer for Portland cement paste.[153]
RAFTLignin + ACX Processes 09 00375 i206 Lignin-ACX + AM Processes 09 00375 i206 Lignin-ACX-g-PAMGrafting fromBackbone: Kraft lignin; Lignin + ACX Processes 09 00375 i206 Lignin-ACX; Lignin-ACX + AM Processes 09 00375 i206 Lignin-ACX-g-PAM; RAFT controller: Lignin Macrocontroller; Initiator: AIBN; Solvent: DMF; T = 70 °C; Application: Cationic flocculant.[153]
RAFTLignin + XCA Processes 09 00375 i206 Lignin-XCA + DMC Processes 09 00375 i206 Lignin-XCA-g-PDMCGrafting fromBackbone: Kraft lignin; Lignin + XCA Processes 09 00375 i206 Lignin-XCA; Lignin-XCA + DMC Processes 09 00375 i206 Lignin-XCA-g-PDMC; RAFT controller: Lignin; Macrocontroller prepared by Steglich esterification using DCC and DMAP for 48 h; Initiator: AMBN. Solvent: DMF; T = 70 °C, under nitrogen atmosphere; Application: Cationic flocculant.[154]
ROPLignophenol from Japanese cedar + EOX Processes 09 00375 i206 Lignin-g-PEOXGrafting fromBackbone: Lignophenol from Japanese cedar; Solvent containing benzyl bromide groups; Monomer: EOX; T = 100 °C, 12 h; Application: Composite materials.[155]
ROPSulfonated Lignin + MOX Processes 09 00375 i206 Lignin-g-PMOXGrafting fromBackbone: Lignophenol from Japanese cedar; Initiator: Tosylated lignin; Monomer: MOX; Solvent: DMSO; T = 100 °C, 10 h; Application: Anti-ineffective ointment.[156]
ROPIndulin AT lignin + L-LA Processes 09 00375 i206 Indulin AT lignin-g-PLLAGrafting fromBackbone: Indulin AT lignin; Initiator: Triazabicyclodecene; Monomer: L-LA; Reaction carried out in bulk; T = 135 °C; Application: composites.[157]
ROPBiobutanol lignin + CL Processes 09 00375 i206 Biobutanol lignin -g-PCLGrafting fromBackbone: Biobutanol lignin; Initiator: Triazabicyclodecene; Monomer: CL; Reaction carried out in bulk; T = 135 °C; Application: composites.[158]
ROPLignin (organosolv) + CL + L-LA Processes 09 00375 i206 Lignin-g-PCL/PLLAGrafting fromBackbone: Lignin orgaosolv; Initiator: Sn(Oct)2 (tin(II)2-ethylhexanoate) and alkyl alcohol functional groups on lignin; Monomer: CL and L-LA (ratio 2:1); Solvent: Toluene; T = 120 °C, under Ar atmosphere, during 45 h; Application: composites.[159]
ROPAlkali Lignin + B-BL Processes 09 00375 i206 Lignin-g-PHBGrafting fromBackbone: Lignin alkali; Initiator: Sn(Oct)2 (tin(II)2-ethylhexanoate) and alkyl alcohol functional groups on lignin; Monomer: B-BL; Reaction carried out in bulk; T = 130 °C, under nitrogen atmosphere, during 24 h; Application: Nano-fibers for medical applications.[160]
ROPLignin alkali + CL Processes 09 00375 i206 Lignin-g-PCLGrafting fromBackbone: Lignin Alkali; Initiator: Sn(Oct)2 (tin(II)2-ethylhexanoate) and alkyl alcohol functional groups on lignin; Monomer: CL; Reaction carried out in bulk; T = 50 °C, under nitrogen atmosphere, during 14–62 h; Application: Nano-fibers for medical applications.[161]
ROPLignin alkali + CL Processes 09 00375 i206 Lignin-g-PCLGrafting fromBackbone: Lignin alkali; Initiator: Sn(Oct)2 (tin(II)2-ethylhexanoate) and alkyl alcohol functional groups on lignin; Monomer: CL; Reaction carried out in bulk; T = 50 °C, under nitrogen atmosphere, during 14–62 h; Application: Nano-fibers for medical applications.[162]
ROPSoftwood Kraft lignin from UPM BioPiva + EOX Processes 09 00375 i206 Lignin-g-PEOXGrafting fromBackbone: Softwood Kraft lignin from UPM BioPiva; Initiator: P4-t-Bu; Monomer: CL; Solvent: Toluene; T = 180 °C, under Ar atmosphere, during 16 h; Application: Non-ionic surfactants.[163]
Embedded polymerization and further crosslinking.Chitosan; N-VP; 4VP; Crosslinking agent: N’N’-MBAGrafting from1.5 g of chitosan were dried at 40–50 °C during 24 h and suspended in 150 mL of 2% CH3COOH for 1 to 2 h. 2 mL of monomers in a 1:1 ratio were incorporated and stirred for 30 min. 0.15 mol/L AIBN were then added and stirred for 2 more hours. T = 65 °C, under air environment. Product washed using several solvents, and dried at 50 °C. The yield was 78–86%. A solution of grafted chitosan in acetic acid (0.1 % v/v) was heated at 70 °C; N’N’-MBA was then added and allowed to react during 30 min.[164]
RAFT; Steglich esterification of phthalic anhydride and 4,4-Azobis(4-cyanovaleric acid).Chitosan + Phthalic AnhydrideProcesses 09 00375 i206 (DCC/DMAP) Processes 09 00375 i206 Chitosan-Phthaloylated
Chitosan-Phthaloylated + 4,4-Azobis(4-cyanovaleric acid)Processes 09 00375 i206 (DCC/DMAP) Processes 09 00375 i206 Chitosan-Phthaloylate-RAFT.
Chitosan-Phthaloylate-RAFT + NIPAAM Processes 09 00375 i206 Chitosan-Phthaloaylte-RAFT-g-NIPAAM.
Grafting fromPhthaloylation of chitosan: A solution of phthalic anhydride (5.5 mmol) in 6 mL of DMF/H2O (95/5 v/v %) was prepared, followed by the addition of chitosan powder in 1.86 mmol. The system was purged by N2 for 0.5 h. Heating at 120 °C was maintained during 8 h.
The phthaloylated chitosan (1 mmol) was mixed with 1.2 mmol and 4,4-azobis(4-cyanovaleric acid).in 30 mL of dried DMF in the presence of carbonyl activating reagents of DCC (1 mmol) and 4-DMAP (0.12 mmol) as catalysts. Reaction at room temperature for 10 days.
Chitosan-Phthaloylate-RAFT (0.0468 g) and dry DMF (5 mL) were mixed by stirring under nitrogen atmosphere. After complete dissolution, initiator 4,4-Azobis(4-cyanovaleric acid) (0.01 mmol) and NIPAAM monomer (0.50 g; 4.4 mmol) were incorporated. Polymerization conducted at 70 °C for 48 h.
[165]
Cerium (IV) attackChitin + acrylic monomers.Grafting ontoCerium (IV); Chitin + AM Processes 09 00375 i206 Chitin-g-PAM; Chitin + AA Processes 09 00375 i206 Chitin-g-PAA; Chitin + MA Processes 09 00375 i206 Chitin-g-PMA; Chitin + MMA Processes 09 00375 i206 Chitin-g-PMMA[58]
γ-RadiationChitin + STY (radiated)Grafting ontoChitin + STY Processes 09 00375 i206 Chitin-g-PS[58]
ROPCyclic and vinyl monomers.
Modified Chitin
Grafting fromSurface-initiated ROP graft copolymerization of L-LA and CL with initiation by hydroxy groups on chitin nanofiber, catalyzed by tin(II) 2-ethylhexanoate was performed, obtaining chitin nanofiber-graft-PLA-co-PL, which is a known biodegradable polyester. Chitin was soaked in a solution of LA/CL in toluene; tin(II) 2-ethylhexanoate (ca. 5 mol%) was incorporated. Heating at 80 °C was maintained during 48 h.[166]
γ-RadiationChitosan + AA +TiO2 Processes 09 00375 i206 Chitosan-g-PAA-TIO2Grafting fromA solution of CS-PAAc (1:1 mass/vol) was prepared with different contents of TiO2; 0.0, 1.0, 2.0 and 3.0 wt.% of the total polymer concentration was incorporated. Each solution was sonicated in a bath for 15 min. The solutions were transferred into small glass vials and were subjected to 60 Co-gamma rays at irradiation dose of 30 kGy.[167]
ROPChitosan + CL Processes 09 00375 i206 Chitoan-g-PCLGrafting from0.5 g chitosan and 15 mL MeSO3H were placed in a round bottom flask under nitrogen atmosphere at 45 °C for 0.5 h. 4.19 g CL monomers were fed to the reactor, followed by stirring and reaction during 4.5 h.[168]
Table 5. Recent reports on the production of materials using polymer grafting (2020–2021).
Table 5. Recent reports on the production of materials using polymer grafting (2020–2021).
Title aReference
Synthesis of diallyl dimethyl ammonium chloride grafted polyvinyl pyrrolidone (PVP-g-DADMAC) and its applications.[190]
Synthesis and characterization of biocompatible hydrogel based on hydroxyethyl cellulose-g-poly(hydroxyethyl methacrylate).[191]
Poly(vinylidene fluoride) (PVDF)/PVDF-g-polyvinylpyrrolidone (PVP)/TiO2 mixed matrix nanofiltration membranes: preparation and characterization.[192]
Synthesis and characterization of poly (acrylonitrile-g-lignin) by semi-batch solution polymerization and evaluation of their potential application as carbon materials[193]
High crosslinked sodium carboxyl methylstarch-g-poly (acrylic acid-co-acrylamide) resin for heavy metal adsorption: its characteristics and mechanisms.[194]
Preparation and characterization of PLLA/chitosan-graft-poly (ε-caprolactone) (CS-g-PCL) composite fibrous mats: The microstructure, performance and proliferation assessment.[168]
Synthesis of partly debranched starch-g-poly(2-acryloyloxyethyl trimethyl ammonium chloride) catalyzed by horseradish peroxidase and the effect on adhesion to polyester/cotton yarn.[195]
Cellulose Acetate thermoplastics with high modulus, dimensional stability and anti-migration properties by using CA-g-PLA as macromolecular plasticizer.[196]
Superwettable PVDF/PVDF- g-PEGMA ultrafiltration membranes.[197]
Removal of malachite green using carboxymethyl cellulose-g-polyacrylamide/montmorillonite nanocomposite hydrogel.[198]
Ultraviolet illumination responsivity of the Au/n-Si diodes with and without poly (linolenic acid)-g-poly (caprolactone)-g-poly (t-butyl acrylate) interfacial layer.[199]
Synthesis of CO2-based polycarbonate-: G -polystyrene copolymers via NMRP.[200]
Compatibilization of iPP/HDPE blends with PE-g-iPP graft copolymers.[201]
Preparation, characterization of feather protein-g-poly(sodium allyl sulfonate) and its application as a low-temperature adhesive to cotton and viscose fibers for warp sizing.[202]
Semi-Natural superabsorbents based on starch-g-poly(acrylic acid): Modification, synthesis and application.[203]
Design and development of polymethylmethacrylate-grafted gellan gum (PMMA-g-GG)-based pH-sensitive novel drug delivery system for antidiabetic therapy.[204]
Preparation and characterization of bioinert amphiphilic P(VDF-co-CTFE)-g-POEM graft copolymer.[205]
Preparation, characterization of poly(acrylic acid)-g-feather protein-g-poly(methyl acrylate) and application in improving adhesion of protein to PLA fibers for sizing.[206]
Antibacterial and pH-responsive quaternized hydroxypropyl cellulose-g-poly(THF-co-epichlorohydrin) graft copolymer: Synthesis, characterization and properties.[207]
Thermally self-assembled biodegradable poly(casein-g-N-isopropylacrylamide) unimers and their application in drug delivery for cancer therapy.[208]
Swelling capacity of sugarcane bagasse-g-poly(acrylamide)/attapulgite superabsorbent composites and their application as slow release fertilizer[209]
Structure formation in pH-sensitive micro porous membrane from well-defined ethyl cellulose-g-PDEAEMA via non-solvent-induced phase separation process[210]
Micelles with a loose core self-assembled from coil-g-rod graft copolymers displaying high drug loading capacity.[211]
Synthesis and water absorbing properties of KGM-g-P(AA-AM-(DMAEA-EB)) via grafting polymerization method.[212]
Preparation of hydrophilic woven fabrics: Surface modification of poly(ethylene terephthalate) by grafting of poly(vinyl alcohol) and poly(vinyl alcohol)-g-(N-vinyl-2-pyrrolidone).[213]
The preparation, physicochemical and thermal properties of the high moisture, solvent and chemical resistant starch-g-poly(geranyl methacrylate) copolymers.[214]
Reverse poly(ε-caprolactone)-g-dextran graft copolymers. Nano-carriers for intracellular uptake of anticancer drugs.[215]
High-performance solid-state bendable supercapacitors based on PEGBEM-g-PAEMA graft copolymer electrolyte.[216]
Design of well-defined polyethylene-g-poly-methyltrifluorosiloxane graft copolymers via direct copolymerization of ethylene with polyfluorosiloxane macromonomers.[217]
Synthesis and characterization of poly(vinyl chloride-g-ε-caprolactone) brush type graft copolymers by ring-opening polymerization and “click” chemistry.[218]
Adhesion of cornstarch-g-poly (2-hydroxyethyl acrylate) to cotton fibers in sizing.[219]
Polynorbornene-g-poly(ethylene oxide) through the combination of ROMP and nitroxide radical coupling reactions.[220]
Potent bioactive bone cements impregnated with polystyrene-g-soybean oil-AgNPs for advanced bone tissue applications.[221]
Fabrication of cellulose nanocrystal-g-poly(acrylic acid-co-acrylamide) aerogels for efficient Pb(II) removal.[222]
The compatibilization of PLA-g-TPU graft copolymer on polylactide/thermoplastic polyurethane blends.[223]
Cellulose-g-poly-(acrylamide-co-acrylic acid) polymeric bioadsorbent for the removal of toxic inorganic pollutants from wastewaters[224]
Performance improvement for thin-film composite nanofiltration membranes prepared on PSf/PSf-g-PEG blended substrates.[225]
Synthesis and characterization of poly(vinyl chloride-g-methyl methacrylate) graft copolymer by redox polymerization and Cu catalyzed azide-alkyne cycloaddition reaction.[226]
Encapsulation of NPK fertilizer for slow release using sodium carboxymethyl cellulose-g-poly (AA-C0-AM-C0-AMPS)/ Montmorillonite clay-based nanocomposite hydrogels for sustainable agricultural applications.[227]
Engineering a “PEG-g-PEI/DNA nanoparticle-in- PLGA microsphere” hybrid-controlled release system to enhance immunogenicity of DNA vaccine.[228]
Chitosan-g-oligo(L,L-lactide) copolymer hydrogel for nervous tissue regeneration in glutamate excitotoxicity: In vitro feasibility evaluation[229]
a Searching criteria used in Scopus: (TITLE (“-g-”) AND TITLE-ABS-KEY (“poly”) AND TITLE-ABS-KEY (“graft”)).
Table 6. Common characterization methods.
Table 6. Common characterization methods.
MethodProperty Measured
Nuclear magnetic resonance (NMR)NMR identifies the nature of the group and the site where the graft is attached to the polymer backbone. 1H NMR and 13C NMR are utilized depending on the chemical nature of the material [73].
Infrared spectroscopy (IR)Identification of specific functional groups grafted to backbone. It can also be used to quantify grafting functionalities in modified polyolefins by determining the intensity of the characteristic reference bands in the sample, and compare them to a calibration curve of known concentrations of the same functional group [73].
Scanning electron microscopy (SEM)SEM is useful for the study of surface morphologies of grafted materials; also used as a tool to confirm that grafting has taken place [59].
X-ray diffraction (XRD)XRD is useful for the study of crystallinity of chemical substances. Polymer grafting is associated with changes in XRD patterns [59].
Size exclusion chromatography (SEC)It allows determination of molecular weight averages (MW) and molecular weight distributions (MWD) of grafted chains [230], which must be separated from the backbone before carrying out the analyses to focus on the grafts only.
Differential scanning calorimetry (DSC)This is utilized to evaluate changes in crystallinity through the thermal behavior between backbones and grafted materials.
Thermogravimetric analysis (TGA)This is used to study changes in thermal decomposition profiles between backbones and grafted materials.
Table 7. Summary of thermal characterization techniques employed in grafted materials.
Table 7. Summary of thermal characterization techniques employed in grafted materials.
BackboneGraftsTechniqueProperty MeasuredApplicationRefs.
Lignin-RAFT macrocontrollerPoly(soybean oil methacrylate) derivatives.
PSBMA, PSBMAH, PSBMAEO
DSCTg of lignin-g-polymerized soybean oil derived methacrylate. Measured Tg:
Lignin-g-PSBMA −5.6 °C, Lignin-g-PSBMAH 27.7 °C, Lignin-g-PSBMAEO −17.4 °C.
DSC2000, TA Instruments. 10 mg samples were used with heating from 25 °C to 200 °C at 10 °C/min, and cooling to −70 °C at the same rate. Data was gathered from the second heating scan to 200 °C. Nitrogen flow: 50 mL/min.
Processes 09 00375 i001
Processes 09 00375 i002
[134]
TGAThermal stability of biocomposites.
Two MDT values were found for all samples 380 °C and 430 °C.
Q5000 TGA system (TA Instruments); 25 to 600 °C, at 10 °C/min, 25 mL/min nitrogen flow.
LigninImidazole and POCl3 react in to (1H-imidazol-1-yl)phosphonic group which reacts with ligninTGAMDT values for lignin derivatives and PP blends.
Lignin MDT = 398 °C. Lignin-g-IPG MDT > 600 °C.
PP =418°C, PP/Lignin = 472 °C, PP/20 °% Lignin-g-IPG = 479 °C, PP/30 °% Lignin-g-IPG = 483 °C.
SDTQ600 thermal analyzer; 20 °C/min under nitrogen, from ambient to 600 °C.
Processes 09 00375 i003[125,135]
FRPHRR (kW/m2)//THR (MJ/m2)
PP =1350 kW/m2//87.3 MJ/m2,
PP/Lignin = 382/333 kW/m2//76 MJ/m2,
PP/20%Lignin-g-IPG = 380 kW/m2//74.2 MJ/m2,
PP/30%Lignin-g-IPG = 360 kW/m2//69.7 MJ/m2.
Heat release rate measured using an FTT UK cone calorimeter following ISO 5660. Incident flux: 35 kW/m2.
Hydroxypropyl cellulose (HPC)Steglich esterification of PABTC over HPC using DCC and DMAP and grafting of PABTC and further polymerization of EA
NIPAAM.
TGATGA 2950 analyzer; nitrogen atmosphere (60 cm3/min). Heating of samples (5–10 mg) from ambient temperature to 600 °C, at 10 °C/min. Calculations of the onset, the end decomposition temperature, and the residual mass.Processes 09 00375 i004[108]
DSCModulated DSC 2920 in nitrogen environment (60 cm3/min). The determination of glass transition temperature (Tg) required 5–10 mg samples. Heating from ambient temperature to 200 °C, followed by cooling to -100 °C, and reheating to to 200 °C, using 10 °C/min for both, heating and cooling was used. This sequence occured three times.
CellClAcATRP of 4NPA and MMA using Cu(I)Cl/2′2′BIPI macro initiator. TGAShimadzu TGA-50; heating rate: 10 °C/min; nitrogen flow: 10 mL/min.Processes 09 00375 i005[109,112]
Cellulosic Grewia optiva fibersRedox initiator FAS-H2O2 for grafting MA and KPS for polymerization of MA.TGAThermo gravimetric analyses of plain and grafted cellulosic fibers carried out in presence of nitrogen on a Perkin Elmer thermal analyzer. Heating from ambient temperature to 900 °C/min, at 10 °C/min.Processes 09 00375 i006[110]
Cotton linter celluloseAPS with MMA.TGA-DTASamples were analyzed using a Pyris Diamond TG-DTA (STA449C/3/F, Germany).
Sample weight: 14.2 mg.
Heating rate: 10 °C/min.
Flow of nitrogen 20 mL/min.
Processes 09 00375 i007[115]
Cellulose (DP = 1130)APS and MMA embedded.TGA-DTASamples analyzed in a Pyris Diamond TG/DTA equipment (STA449C/3/F, German).
Sample weight: 14.2 mg.
Heating/Cooling rate: 10 °C/min.
Flow of nitrogen: 20 mL/min.
Processes 09 00375 i008
Cellulose nanocrystal (CNC)Macromolecular initiator obtained from the reaction between Br-iBuBr and CNC with TEA as catalyst via SI-ATRP with sTY. Material was casted in PMMA.TGAThermal degradation of studied materials analyzed in a TGA/SDTA 851e in nitrogen atmosphere. Heating from 30 to 550 °C, at 10 °C/min.Processes 09 00375 i009[118]
DSCTg determined in a Pyris 1 DSC equipment. Heating from 30 to 200 °C at 10 °C/min.
Cellulose nanocrystal (CNC)Macromolecular initiator obtained from the reaction between Br-iBuBr and CNC with TEA as catalyst via SI-ATRP with sTY. Material was casted in PMMA.TGAAnalyses carried out in a TGA Q50 (TA Instruments), under nitrogen atmosphere (20 mL/min). Heating from 30 to 500 °C at 5, 10, 15, 20, 25 and 30 °C/min for determination of degradation activation energy.Processes 09 00375 i010[119]
DSCAnalyses performed in a Star 1 (Mettler- Toledo). Heating from 25 °C to 200 °C at 5 °C/min, remaining at 200 °C for 5 min. Cooling to −50 °C at 20 °C/min, remaining there for 5 min, followed by heating to 200 °C at 5 °C/min. Tg, Tm, Tc were measured. Crystallinity (v) calculated from melting enthalpy of fully crystalline PLLA.
Cellulose cotton fiber pulpEsterification of maleic anhydride grafted over PHA (by double bond). PHA-g-MA grafted over cellulose cotton fiber pulp (by the anhydride group).TGAAnalyses carried out on a Q500 TGA (TA Instruments), in nitrogen environment. Heating from ambient to 600 °C at 20 °C/min.Processes 09 00375 i011[120]
Cellulosic filter papersRadiation-induced graft (RIGCP) copolymerization of acrylonitrile.TGAAnalyses obtained in TGA-50 (Shimadzu).
Heating rate: 10 °C/min. N2 environment.
Processes 09 00375 i012[121]
HemicelluloseHemicellulose grafting using TBD and e-caprolactona monomerTGATGA/DSC 1 STARe System (Mettler Toledo). 5–15 mg of a sample. Nitrogen environment (85 mL/min).
Heating from 30–500 °C at 10 °C/min.
Compositions of produced gases measured in an FTIR (TA, Nicolet, iS); detector coupled to TGA. FTIR analyses from 4000 to 650 cm−1 with a 4 cm−1 resolution.
Processes 09 00375 i013
Processes 09 00375 i014
[37]
DSCDSCQ10 (TA Instruments). Hermetic pan (T 090127).
Heating from 25 to 165 °C at 10 °C/min. Cooling to 15 °C followed by heating to 165 °C at 10 °C/min.
Tg obtained from second heating ramp.
CellClAcNCHA, 4VP, DA and DAAM grafted by atom transfer radical polymerization (ATRP) using CuCl, 2′2′BIPI as catalyst.TGAThermal analyses carried out in a Shimadzu TGA-50 at 10 °C/min in nitrogen environment (10 mL/min).
Cell-g-DA and Cell-g-4VP exhibited higher decomposition temperatures.
Processes 09 00375 i015
Processes 09 00375 i016
[122]
ChitosanEmbedded polymerization N-VP, 4VP. Crosslinking agent: N’N’-MBATGATGA analyses carried out using a NETZSCH, STA 409 PG.4.G Luxx. 50 mL/min nitrogen environment.
Heating from 20 °C to 400 °C at 10 °C/min.
Processes 09 00375 i017[164]
Table 8. Summary of spectroscopic characterization techniques employed in grafted materials.
Table 8. Summary of spectroscopic characterization techniques employed in grafted materials.
BackboneGraftsTechniqueProperty MeasuredApplicationRefs.
Lignin-RAFT macrocontrollerPoly(soybean oil methacrylate) derivatives.
PSBMA, PSBMAH, PSBMAEO.
1H-NMRAmount of RAFT controller reacted (shifts 7.3, 7.6, 7.9 ppm) and nonattached monomer (shifts 5.3, 5.7 ppm).
Varian Mercury 300 spectrometer, 300 MHz; tetramethyl silane as an internal reference.
Processes 09 00375 i018Processes 09 00375 i019[134]
FTIRAmount of RAFT controller and polymer attached to lignin. Area of peak at 1760 cm−1.
Perkin Elmer spectrum 100. ATR method, recorded at 4 cm−1, 32 scans.
LigninImidazole and POCl3 react in to (1H-imidazol-1-yl) phosphonic group which reacts with lignin.FTIRLignin, lignin-OH, imidazole and lignin-g-IPG were compared at relevant bands (1662, 1260, 1080, 1050, 878, and 791 cm−1) for determination of C=N, P=O, P-O-C, P-O, -OH, and P-N groups, respectively. A Bruker VECTOR 22 spectrometer was used.Processes 09 00375 i020[125,135]
XPSSurface elementary composition of samples (wt.%), were compared to determine the amount of functionalized or grafted groups in the surface. Elements analyzed: carbon, oxygen, phosphorous, nitrogen. Lignin, C: 68.2, O: 31.9; Modified lignin-OH, C: 67.5, O: 32.5; Lignin-g-IPG, C: 53.0, O: 31.7, P: 8.1, N: 7.2.
A Thermo ESCALAB 250 spectrometer was used. Analyses were carried out from 50 up to 800 eV of binding energy.
Hydroxypropyl cellulose (HPC)Steglich esterification of PABTC over HPC using DCC and DMAP; grafting of PABTC and further polymerization of EA
NIPAAM.
1H NMRNMR spectra obtained using a Bruker 300 or 200 MHz in deuterated chloroform or deuterated dimethyl sulfoxide (d6-DMSO). Processes 09 00375 i021[108]
CellClAcMacro initiator, Cu(I)Cl/2′2′BIPI catalytic system via ATRP of 4NPA and MMA1H-NMRNMR spectra obtained using a Bruker 400 MHz
spectrometer at room temperature in DMSO-d6.
Processes 09 00375 i022[109]
FTIRFTIR data using solid samples as KBr pellets, from 4000 cm−1 to 450 cm−1.
Cellulosic Grewia optiva fibersRedox initiator FAS-H2O2 for grafting of MA, and KPS for polymerization of MA.FTIRChemical structures of fibers before and after grafting were studied using FTIR (PERKIN ELMER RXI). Spectrum recorded from 4000 to 400 cm−1.Processes 09 00375 i023[110]
Cellulose acetateSolvents: DMSO, PDX, DMAc, C3H6O.
Initiators for grafting and polymerization: CAN, Sn(Oct)2 and BPO.
1H-NMRSpectra of studied materials obtained using a Bruker WM-400 apparatus, at 300 MHz. Tetramethyl silane (TMS) used as internal standard and DMSO-d6 as solvent.Processes 09 00375 i024[111]
FTIRGrafted and ungrafted materials analyzed using a Spectrum RX1 PerkinElmer apparatus. Chloroform used as a solvent. KBr pellet technique used for grafted materials.
CellClAcMacro initiator, Cu(I)Cl/2′2′BIPI catalytic system via ATRP controller.FTIRFTIR spectrophotometer on solid samples as KBr pellets, from 4000 cm−1 to 450 cm−1.Processes 09 00375 i025[112]
Cellulose cotton fibersNa2CO3 and thermal activation with MTC-b-CD and silver nitrate.FTIRMCT-β-CD grafted and ungrafted cotton fabrics were studied with attenuated total reflection (FTIR-ATR), which permits the study of solid surfaces using a diamond tipped device (SPECAC), connected to a Bruker Vertex 70 spectrophotometer.Processes 09 00375 i026[113]
Cotton linter celluloseAPS with MMA.FTIRA TENSOR27 FTIR apparatus (4500–400 cm−1) was used to analyze materials.Processes 09 00375 i027[115]
XRDX-ray diffractometer (D/max-2500/PC, Rigaku Co) based on a reflection method using a Cu Ka target (40 kV and 60 mA). Diffraction angle: 5° to 60°.
Microcrystalline celluloseRing-opening polymerization (ROP) of L-LA with DMAP in an ionic liquid AmimCl to form Cellulose-g-PLLA1H-NMRMaterials analyzed using 1H-NMR (Bruker AV400-MHz). Solvent: DMSO-d6 with a drop of trifluoroacetic acid-d; internal standard: tetramethyl silane (TMS).Processes 09 00375 i028[116]
XRD
WAXD
WAXD carried out using an XRD-6000 X-ray diffractometer (Shimadzu, Japan); Ni-filtered Cu Ka radiation (40 kV, 30 mA); 4°/min at ambient temperature.
UV spectroscopyUV analyses performed in a UV2000 equipment (UNICO, China), to follow the load and controlled release of vitamin C.
Cellulose (DP = 1130)APS and MMA embedded.FTIRA TENSOR27 FTIR apparatus (4500–400 cm−1) was used to analyze materials.Processes 09 00375 i029[117]
WAXD-XRDWAXD carried out in an X-ray diffractometer (D/max-2500/PC, Rigaku Co. Ltd., Tokyo); Cu Ka radiation (40 kV, 60 mA); 2q = 5°–60°.
Cellulose nanocrystal (CNC)Macromolecular initiator obtained from the reaction between Br-iBuBr and CNC with TEA as catalyst via SI-ATRP with STy. Material was casted in PMMA.FTIRSpectra obtained at ambient temperature on a NICOLET spectrometer 10 to study surface modification of studied materials. KBr pellet method used for samples. Resolution: 4 cm−1; measurement range; 4000–400 cm−1, and 30 scans.Processes 09 00375 i030[118]
UV-VisTransmittance of samples measured using a UV–vis spectrophotometer at wavelengths of 400 to 800 nm.
XRDXRD patterns of studied materials were obtained using a Bruker Siemens D8 X-ray apparatus with operation at 3 kW; CuKa radiation (l = 0.154 nm); 2q = 3–60°; 0.02° step.
13C-NMRChemical structures of studied materials obtained with the help of a Bruker 400 M solid-state 13C-NMR apparatus.
Cellulose nanocrystal (CNC)Redox agent: MgH2.
L-LA polymerization in situ.
PLLA-g-CNC particles were casted in PLLA.
FTIRA Perkin Elmer Spectrum 100 apparatus in ATR mode, equipped with a Zn-Se crystal, was used. Modified and unmodified CNC samples. Range: 4000 to 650 cm−1. Accuracy: 4 cm−1 for 64 scans.Processes 09 00375 i031[119]
1H-NMR
13C-NMR
A Bruker-300 apparatus with DMSO-d6 as solvent was used. Small amounts of CDCl3 were used to improve solubility of grafted product in DMSO-d6.
XRDXRD analyses carried out in a PAN analytical apparatus; Cu Ka radiation (l = 1.541 Å); incidence angle: 10 to 40°, 0.07° steps.
XPSXPS analyses performed in an ESCALAB 250 equipment (Thermo Scientific). Analyzed surface: 400 mm2. Atomic concentrations estimated from areas of photoelectron peaks considering atomic sensitivity factors. All binding energies were charge-corrected to 284.8 eV.
Cellulose cotton fiber pulpEsterification of maleic anhydride grafted onto PHA (through double bond). PHA-g-MA grafted onto cellulose cotton fiber pulp (through the anhydride group).FTIRATR-FTIR analyses of ungrafted and grafted materials acquired using KBr discs on a Vector 33 Bruker apparatus.Processes 09 00375 i032[120]
XRDXRD analyses carried out in a Bruker D8 ADVANCE X-ray apparatus with operation at 40 mA and 40 kV. Cu Kα filtered radiation (λ = 0.15418 nm). Scattering angle (2θ): 5° to 50°, 0.02° step.
Cellulosic filter papersRadiation-induced graft (RIGCP) copolymerization of acrylonitrile.FTIRFTIR analyses of studied materials (using KBr disks) were obtained using a Perkin Elmer-1650 FTIR apparatus.Processes 09 00375 i033[121]
XRDXRD analyses of studied materials in an angle range 2θ = 5–50° were obtained in a Shimadzu XRD-610 equipment, with Cu Kα radiation (1.5418°A). Operating conditions: 8 °/min and 1.0 s; 30 kV and 20 mA. Peak height methods were used to estimate crystallinity index (CI).
XRFXRF analyses performed using a Philips wavelength dispersive equipment X’ Unique II, including flow and scintillation (fs) detectors. Qualitative analyses of chelating filter paper-metal complexes were obtained by X-ray fluorescence.
HemicelluloseHemicellulose grafting using TBD and ε-caprolactone monomersFTIRA Nicolet Nexus spectrophotometer with single reflection ATR was used. Range: 4000 to 700 cm−1. Resolution: 4 cm−1; 60 scans.Processes 09 00375 i034
Processes 09 00375 i035
[37]
1H-NMR
13C-NMR
HSQC
Apparatus: Bruker Advance III 400 MHz, containing a 5 mm multinuclear broad band probe (BBFO+) and z-gradient coil. 30 mg of sample dissolved in 1 mL of d6-DMSO. T = 60 °C. 128 scans for 1D 1H; 32 scans and 128 increments for 2D 1H–1H COSY. 16 scans and 256 increments for 2D 1H–13C HSQC.
CellClAcNCHA, 4VP, DA and DAAM grafted by ATRP using CuCl, 2′2′BIPI as catalyst.FTIRApparatus: Perkin Elmer Spectrum One. Solid samples as KBr pellets.Processes 09 00375 i036
Processes 09 00375 i037
[122]
UV-VisibleApparatus: Shimadzu 3600 UV-VIR-NIR.
ChitosanEmbedded polymerizations of N-VP and 4VP. Crosslinking agent: N’N’-MBAFTIRApparatus: AVATAR 370 Thermo Nicolet. Range: 4000 to 500 cm−1, using the KBr pellet method. Spectral resolution: 4 cm−1. Processes 09 00375 i038[164]
XRDApparatus: Bruker Advance D8 equipment (Germany). Diffractograms comprised (2θ) 0.020 imaging; scattering rates: 3 to 800; scanning speeds: 2.0 min−1; accelerated tension of 40 kV; intensity of 35 mA.
Cellulose nanofibrilsNitroxide TEMPO insertion and nitroxide mediated polymerization of HEMAXRDXRD using a Bruker D8 Advance spectrometer. Analyses carried out from 5° to 40° at 4°/min, with a current of 40 mA. Measured property: CI.Processes 09 00375 i039
Processes 09 00375 i040
[124]
FTIRApparatus: Bruker spectrometer, accumulation of 128 scans. Resolution: 4 cm−1. Range: 4000–400 cm−1; absorbance mode.
XPSXPS analyses using Thermo Electron Scientific Instruments were performed using a 1486.6 eV Al Kα X-ray source.
LigninInsertion of ACX onto lignin to get a RAFT macrocontroller able to polymerize AM and AA.Dynamic light scattering (Particle size distribution)Particle size distributions (PSD) measured in an aqueous solution (1 mg/mL) using a DLS Zeta-sizer (Malvern Instruments).Processes 09 00375 i041[139]
1H-NMRApparatus: Bruker 300 Advance; PFB used as internal standard to transform proton intensities into initiator concentration (μmol/(g lignin)).
Table 9. Summary of digital imaging and microscopy characterization techniques employed in grafted materials.
Table 9. Summary of digital imaging and microscopy characterization techniques employed in grafted materials.
BackboneGraftsTechniqueProperty MeasuredApplicationRefs.
LigninImidazole and POCl3 react to produce (1H-imidazol-1-yl) phosphonic, which reacts with lignin.SEM with EDAXS4800 FEI SEM; 5 kV accelerating voltage. Comparison of morphologies of char residues after cone calorimeter analyses. PP/Lignin displayed loosely spheroidal structures with C: 86.5 wt.%, O: 13.5 wt.%. PP/30 °% Lignin-g-IPG formed a continuous and compact spheroidal structure. Processes 09 00375 i042[125,135]
Digital photoDigital photos comparing PP composite sample test probes after cone calorimeter measurements were obtained.
Cellulosic Grewia optiva fibersFAS-H2O2 redox initiation for grafting of MA and KPS, for polymerization of MA.SEM.The morphologies of ungrafted and grafted fibers were studied using a SEM apparatus (LEO 435 VP).Processes 09 00375 i043[110]
Cotton linter celluloseAPS with MMA.SEMApparatus: JSM-6700F scanning microscope. Samples coated with gold prior to study. Morphologies and differences between ungrafted and grafted cellulose materials were analyzed.Processes 09 00375 i044[115]
Microcrystalline celluloseRing-opening polymerization (ROP) of L-LA using DMAP in an ionic liquid (AmimCl) to produce Cellulose-g-PLLATEMApparatus: JEM-100CXa TEM at an acceleration voltage of 100 kV..Sample preparation involved dissolving them in DMSO 0.01% (w/v) and placement on a copper grid with formvar film. Processes 09 00375 i045[116]
Cellulose (DP = 1130)Embedded APS and MMA.SEMApparatus: JSM-6700F scanning microscope. Coating with a thin layer of gold required for samples.Processes 09 00375 i046[117]
Cellulose nanocrystal
(CNC)
Macromolecular initiator obtained from Br-iBuBr and CNC with TEA as catalyst via SI-ATRP with Sty. Material was casted in PMMA.SEMApparatus: su1510 (Hitachi Zosen Corporation) operating at 30 kV. Focus: measurement of homogeneity of PMMA composites. Processes 09 00375 i047[118]
TEMApparatus: JEM-2100 electron microscope. Operation involves acceleration voltage of 200 kV. Focus: Analysis of morphological features and distribution of cellulose nanocrystals.
Cellulose cotton fiber pulpEsterification of maleic anhydride grafted onto PHA (through double bond). PHA-g-MA grafted onto cellulose cotton fiber pulp (through the anhydride group).SEMApparatus: Nova Nano SEM 430 (FEI Company); high-resolution field emission with operation at an acceleration voltage of 15 kV. Focus: Morphological analysis of PHA/CF composite films.Processes 09 00375 i048[108]
Cellulosic filter papersRadiation-induced graft (RIGCP) copolymerization of acrylonitrile.SEMSEM micrographs of samples were obtained on a JEOL-SEM 5400 microscope. Processes 09 00375 i049[109]
ChitosanEmbedded polymerization of N-VP and 4VP; Crosslinking agent: N’N’-MBASEMMorphological surface images of ungrafted and grafted chitosan with or without doxocyline were obtained using a JSM-6390 SEM microscope.Processes 09 00375 i050[153]
Regenerated cellulose
fibres (rayon)
Photo-chemical grafting of PETA without photoinitiator.SEMApparatus: JSM-6510 instrument (Joel GmbH, Freising, DE). Samples prepared following standard procedures. Micrographs obtained in SE mode; acceleration voltage: 5 and 10 kV. Purpose: Analyses of qualitative fracture.Processes 09 00375 i051
Processes 09 00375 i052
Processes 09 00375 i053
[111]
Cellulose nanofibrilsNitroxide TEMPO insertion and NMP of HEMASEMApparatus: Hitachi S-4800 SEM microscope. Purpose: Analysis of morphologies of materials at working distances of 15 mm. Operating voltage: of 2 kV.Processes 09 00375 i054
Processes 09 00375 i055
[112]
Table 10. Summary of rheological characterization techniques used for grafted materials.
Table 10. Summary of rheological characterization techniques used for grafted materials.
BackboneGraftsTechniqueProperty MeasuredApplicationRefs.
Cellulose nanocrystal
(CNC)
Redox agent: MgH2; in situ L-LA polymerization.
PLLA-g-CNC particles were casted in PLLA.
DMA. Casted PLLA-g-CNC particles in PLLA matrix.Apparatus: DMA 50, Metravib, tensile mode. Dimensions of sample specimens: 6.5 × 10.0 × 0.2 mm. Storage E’ and loss E” moduli were registered. Heating rate: 5 °C/min; -100–200 °C; 1 Hz.Processes 09 00375 i056[119]
Molten Rheometry; Casted PLLA-g-CNC particles in PLLA matrix.Dynamic Anton Paar MCR 102 rheometer. Materials analyzed in molten state; T = 180 °C; Parallel plates geometry, 25-mm diameter; G’ and G” moduli were registered; 100 to10−3 rad/s.
Cellulose nanofibrilsNitroxide TEMPO insertion and NMP of HEMAStress-strain compressionApparatus: Instron 5848; 50 N load cell. Test: cyclic compressive stress and strain; 5 mm/min for 70% strain, followed by the same releasing rate until zero loading, for 2 min. Processes 09 00375 i057
Processes 09 00375 i058
[124]
LigninInsertion of ACX onto lignin to produce a RAFT macrocontroller to polymerize AM or AA.Viscosity determination of an aqueous solution of grafted material. Apparatus: Brookfield cone-and-plate viscometer. Steady shear measurements using 100 rpm.Processes 09 00375 i059[139]
Table 11. Summary of chromatographic characterization techniques used for grafted materials.
Table 11. Summary of chromatographic characterization techniques used for grafted materials.
BackboneGraftsTechniqueProperty MeasuredApplicationRefs.
Lignin-RAFT macrocontrollerPoly(soybean oil methacrylate) derivatives.
PSBMA, PSBMAH, PSBMAEO.
GPCMn and MWD of different lignin-g-poly(soybean) synthesized materials: Lignin-g-PSBMA (31.9 M g/mol/2.7); Lignin-g-PSBMAH (57.1 M g/mol/4.4); Lignin-g-PSBMAEO (64.3 M g/mol/4.0). T = 35 °C; refractive index detector. Columns: HR1, HR3 and HR5E. Solvent: THF at 1 mL/min. Calibration with polystyrene standards. Samples prepared in THF (4 mg/mL) and filtered using a 0.2 mm mesh.Processes 09 00375 i060
Processes 09 00375 i061
[134]
Hydroxypropyl cellulose (HPC)Steglich esterification of PABTC over HPC using DCC and DMAP, and grafting of PABTC, with further polymerization of EA and NIPAAMSECMWD by SEC; two PL polar gel M and one PL polar gel 5 mm guard columns; refractive index detector; Eluent: N,N-dimethylformamide/ 0.3 M LiBr, 0.5 mL/min.Processes 09 00375 i062[108]
Cellulose acetateSolvents: DMSO, PDX, DMAc, C3H6O; initiators for grafting and polymerization: CAN, Sn(Oct)2 and BPO.GPCNumber average molecular weights (Mn) and dispersity values (Ð) of grafted PMMA extracted from samples of graft copolymer. Apparatus: Agilent 1100 with 3 PSS GPC 8 300 mm, 5 mm, 106, 105, 103 A columns; eluent: THF, 0.8 mL/min, at 20°C. Calibration using polystyrene standards with molecular weights ranging 200−106 g/mol.Processes 09 00375 i063[111]
Microcrystalline celluloseROP of L-LA with DMAP in an ionic liquid (AmimCl) to produce Cellulose-g-PLLA.HPLCApparatus: Agilent 1200 with an XDB-C18 phase column. Eluent: H2O—methanol (20:80 by vol.), 0.8 mL/min.Processes 09 00375 i064[116]
HemicelluloseHemicellulose grafting using TBD and e-caprolactone monomers.GPCApparatus: Malvern Viscotek HT GPC 350; refractive index (RI) and viscometer detectors. PSS-GRAM columns covering a range of 100–1000,000 g/mol. Eluent: DMSO at 80 °C. Universal calibration using pullulan polysaccharide standards.Processes 09 00375 i065
Processes 09 00375 i066
[37]
LigninInsertion of ACX onto lignin to produce a RAFT macro-controller which polymerizes AM and AA.GPCApparatus: Waters Alliance 2695; eluent: aqueous solution of 0.1 M sodium phosphate buffer and 0.01% NaN3, at ambient temperature, 1 mL/min.Processes 09 00375 i067[139]
Table 12. Summary of characterization techniques based on mechanical properties used for grafted materials.
Table 12. Summary of characterization techniques based on mechanical properties used for grafted materials.
BackboneGraftsTechniqueProperty MeasuredApplicationRefs.
Lignin-RAFT macro-controllerPoly(soybean oil methacrylate) derivatives.
PSBMA, PSBMAH, PSBMAEO.
Tensile strengthTT s/e values for Lignin-g-PSBMAH (1.5 MPa/220 %), PSBMAH (3.0 MPa/120 %) and epoxy resin prepared from grafted materials (17 MPa/22.5 %). Tensile tests were carried out using a crosshead speed of 20 mm/min at ambient temperature. Samples were casted to obtain films. THF polymer solution samples were dried for 12 h under vacuum at ambient temperature and for 6 h, at 60 °C. Films were cut into dog-bone tensile samples of 20 mm length and 5 mm width.Processes 09 00375 i068
Processes 09 00375 i069
[134]
Cellulosic Grewia optiva fibersFAS-H2O2 redox initiation for grafting of MA and KPS, followed by polymerization of MA.Swell indexSwelling of raw and grafted fibers in different solvents (DMF, water, methanol, and isobutyl alcohol) was measured. Processes 09 00375 i070[110]
Cellulose nanocrystal
(CNC)
Macromolecular initiator obtained from the reaction between Br-iBuBr and CNC using TEA as catalyst, via SI-ATRP with Sty. Material was casted in PMMA.Tensile strengthThe mechanical properties of nanocomposites were investigated through breaking strength and elongation at break tests.Processes 09 00375 i071[118]
Cellulose cotton fiber pulpEsterification of maleic anhydride grafted over PHA (through double bonds). PHA-g-MA grafted onto cellulose cotton fiber pulp (through the anhydride group).Tensile strengthApparatus: Lloyd Instruments, Model LR5 K; 100 mm/min (ASTM D638); pieces sized 150 × 15 mm (length × width). Mean values were determined from measurements from four specimens.Processes 09 00375 i072[120]
HemicelluloseHemicellulose grafting using TBD and ɛ-caprolactone monomerTensile strengthApparatus: Shimadzu Autograph AG-500A. Method: ISO 527-2. Specimen size: 35 × 4 × 0.3 mm. Tests carried out at ambient conditions; 10 mm/min, 12 mm distance between grips. Properties measured: ultimate strength, Young’s modulus, and elongation at break (5 repeats).Processes 09 00375 i073
Processes 09 00375 i074
[37]
Regenerated cellulose fibers (rayon)Photo-chemical grafting of PETA without photoinitiator.Tensile strengthApparatus: Z020 universal testing device with 20 kN load cell. Clamping length: 25 mm, 1 mm/min, pre-load stress of 5 N, and a clamping pressure of 2.5 bar. Specimen: 100 mm × 10 mm × 2 mm.Processes 09 00375 i075
Processes 09 00375 i076
Processes 09 00375 i077
[123]
FatigueApparatus: 858 Mini Bionix II, MTS testing machine, Systems Corporation. Cyclic tests under tensile stresses (R = 0.1) were performed. Experiments reaching total cycle numbers of 1 million were considered as runouts. Fatigue tests performed uniformly at 10 Hz. Experiments proceeded until breakage or reaching runout conditions.
Table 13. Summary of biological, functional, and compositional characterization techniques employed in grafted materials.
Table 13. Summary of biological, functional, and compositional characterization techniques employed in grafted materials.
BackboneGraftsTechniqueProperty MeasuredApplicationRefs.
CellClAcMacro initiator, Cu(I)Cl/2′2′BIPI catalytic system via ATRP of 4NPA and MMAElemental analysisApparatus: Leco CHNS-932. Elements determined: C, N and H elements.Processes 09 00375 i078[109]
CellClAcMacro initiator, Cu(I)Cl/2′2′BIPI catalytic system via ATRP controller.Elemental analysisApparatus: Leco CHNS-932. Elements determined: C, N and H elements.Processes 09 00375 i079[112]
Cellulose cotton fibersNa2CO3 and thermal activation using MTC-b-CD and silver nitrateMicrobiological investigationsMaterials treated with Ag0 and Ag+ were evaluated for antibacterial activity. Gram-positive coccus (Staphylococcus aureus ATCC 25923) and Gram-negative bacillus (Escherichia coli ATCC 25922) microorganisms were used. The Kirby-Bauer diffusimetrical method was used to achieve this purpose. Bacterial cultures were standardized according to McFarland scale for 18 h, yielding 107–108 CFU/mL. After inoculation, sample discs were placed on the surface of the medium. Antibacterial activity was assessed after 24 h of incubation, at 37 °C. Processes 09 00375 i080[113]
Microcrystalline celluloseROP of L-LA with DMAP in an ionic liquid (AmimCl) to produce Cellulose-g-PLLALoad and controlled releaseA solution of grafted material (60.0 mg) and vitamin C (60.0 mg) in 2 mL of PBS was prepared and then transferred to a dialysis bag. Dialysis against 1 L distilled water for 24 h (water refreshment after 12 h) followed. Afterwards, the dialysis bag was immersed into a 400 mL phosphate buffer solution, at conditions similar to those of intestinal fluid (pH 7.40) at 37 °C. 2 mL samples were taken at predetermined times, and analyzed at lmax = 245 nm for vitamin C. Processes 09 00375 i081[116]
Cellulose cotton fiber pulpEsterification of maleic anhydride grafted onto PHA (through double bonds). PHA-g-MA grafted onto cellulose cotton fiber pulp (through the anhydride group).Surface roughnessMeasurement of surface roughness accomplished using an L&M CE165 PPS tester.Processes 09 00375 i082[120]
Contact angle
(hydrophobicity)
Surface hydrophilicity was analyzed by contact angle measurements. Tests carried out at ambient conditions using a Dataphysics OCA40 Micro instrument. Surface free energy parameters were estimated from these data.
Cellulosic filter papersRadiation-induced graft (RIGCP) copolymerization of acrylonitrile.Chelating rare elementsChelation of uranium, thorium, and lanthanides by the batch procedure took place. Processes 09 00375 i083[121]
HemicelluloseHemicellulose grafting using TBD and ε-caprolactone monomers.Contact angleMeasurements carried out using an NRL Contact Angle Goniometer by Rame-Hart, model 100–00. Processes 09 00375 i084
Processes 09 00375 i085
[37]
Biodegradation testMethod: ISO 14851. Biochemical Oxygen Demand (BOD) measurements were obtained under aerobic conditions.
CellClAcNCHA, 4VP, DA and DAAM grafted by atom transfer radical polymerization (ATRP) using CuCl, 2′2′BIPI as catalyst.Elemental analysisElemental analyses carried out in a Leco CHNS-932 apparatus.Processes 09 00375 i086
Processes 09 00375 i087
[122]
Electrical conductivityElectrical conductivity determined with a Keithley 6517A electrometer. Cell-g-4VP was the only material that behaved as semiconductor.
ChitosanEmbedded polymerization of N-VP and 4VP.
Crosslinking agent: N’N’-MBA
Swell indexSwelling measurements were carried out in distilled water, in simulated intestinal buffer of pH 6.8 and in simulated gastric buffer of pH 1.4 (7 mL of HCl, 2 g of NaCl and 0.1 L of distilled water) at ambient conditions. A known weight of dry sample was placed into a teabag and immersed into aqueous medium. After a while, the bag was taken out and hung for 5–10 min to eliminate excess unabsorbed water, and then weighed.Processes 09 00375 i088[164]
Load and controlled releaseThe loading capacity (milligrams of doxocyline entrapped per 100 milligrams of dried drug-loaded gels, %) of CS graft gels (CS-g) was determined as follows: the drug loaded CS-g gel was ground to fine power followed by immersion of a known amount of it into 0.1 L of HCl aqueous solution for 24 h under magnetic stirring. Then, the solution was filtered and used to determine the absorbance (A) of the drug contained in it using a Perkin Elmer Lambda 35 apparatus at 280 nm. Release profiles of the model drug (doxocyline) from the drug-loaded polymers were determined in distilled water (pH = 1.5) and in buffer solutions (pH = 6.8). All the studies were carried out in triplicate.
Regenerated cellulose
fibres (rayon)
Photo-chemical grafting of PETA without photoinitiator.Fiber volume contentVolume of materials was determined by measuring the dimensions of samples (calliper gauge 500-171-20, Mitutoyo), and from grammage and density of fibers, referred to the total mass determined using a type 440 35N fine-scale.Processes 09 00375 i089
Processes 09 00375 i090
Processes 09 00375 i091
[123]
Cellulose nanofibrilsNitroxide TEMPO insertion and NMP of HEMABETApparatus: NOVA 1200e Quantachrome. Method: Brunauer–Emmett–Teller (BET) method for analysis of N2 gas adsorption isotherms. Estimated properties: specific surface area (SBET) and average pore volumes. BET surface area improved from 9.87 m2/g for TEMPO-Cellulose to 19.7283 m2/g for HEMA–TEMPO-Cellulose. The microporous volume (Vtotal) increased from 0.0484 cm3/g to 0.0705 cm3/g, for HEMA–TEMPO-Cellulose.Processes 09 00375 i092
Processes 09 00375 i093
[124]
Electrical conductivityElectrical resistivity determined using a four-point probe system (ST 2253, Suzhou Jingge Electronic Co.). The direct freezing method was compared against the unidirectional gradient freezing method. Samples produced using the direct freezing method exhibited higher resistivity values.
LigninInsertion of ACX onto lignin to produce a RAFT macro-controller that polymerizes AM and AASurface tension Apparatus: De Nouy ring-type tensiometer (Krüss), at 25 °C. Processes 09 00375 i094[139]
Emulsification testAbsorbance of solutions of dissolved grafted material in deionized water and mixtures of hexanes (ultrasonication required for disolution) was measured using a Cary 300 spectrophotometer. Comparison of this value with that of the starting aqueous solution allowed calculation of lignin content in the emulsion phase.
Table 14. Overview of studies focused on the modeling of polymer grafting.
Table 14. Overview of studies focused on the modeling of polymer grafting.
BackboneFunctionalization MethodGraft ChainsModeling ApproachHighlights/CommentsRef.
Pre-polymer containing highly active chain transfer sites (pendant mercaptan groups).CTP between polymer radicals and pendant mercaptan groups.Vinyl polymerKinetic model for FRP including CTP; model equations solved numerically and approximate closed form equations were also used.Calculated properties/variables: grafting efficiency (Equation (1)) and number average molecular weights of the different polymer molecules (Equations (2)–(6)).[39]
Solid polymeric substrates.Irradiation of polymer/monomer mixture.Vinyl polymerCalculation of rn, rw and number full chain length distributions (nx) from kinetic equations.Two limiting cases were considered in the calculation of nx: (a) radicals terminating by disproportion, no significant chain transfer and complete conversion; and (b) no chain transfer and incomplete conversion (see Equation (7)).[40]
PolyolefinsHigh temperature CTP.Vinyl polymerKinetic modeling from a given polymerization scheme.Review paper considering chemical modification of polyolefins by FRP in extruders.[231]
Silica substrateFormation of a growing grafted polymer chain from reaction between an initiator derived primary free radical and a “surface site.”Poly(vinylpyrrolidone)Use of a “conservational polymerization and molecular-weight distribution” (CPMWD) numerical method to solve the kinetic equations.The proposed numerical approach provides monomer conversion, grafting yield, and full MWDs of active and inactive homopolymer and graft polymer species.[232]
Porous silica beadsChain transfer reaction to fixed mercapto groups present in the pre-functionalized silica beads.PolystyreneKinetic model that allows calculation of full MWD and Ð; no details on numerical approach or software used were provided.MWDs were approximated assuming them, as a first approach, to follow a normal distribution function.[233]
PECTP by FRP in melt, in a twin-screw extruder (TSE).Poly(glycidyl methacrylate) (PGMA)Coupling of flow characteristics from a TSE simulation program and a reactor model consisting of plug flow and “axial dispersion” reactor cells.Overall GMA conversion was predicted, showing general good agreement with experimental data.[234]
PECTP by FRP in melt, in a twin-screw extruder (TSE).Poly(maleic anhydride) (PMAH)Coupling of reaction kinetics to flow equations in a twin-screw extruder.Satisfactory agreement between calculated and experimental data.[235]
Polypropylene (PP)CTP by FRP in meltPMAHA kinetic model which captures the effect of MAH and initiator concentrations on grafting yield and MWDs during the grafting process was derived.Model performance assessed by comparing calculated and experimental data from different sources, for batch (internal mixer, static film) and continuous systems (twin-screw extruder), under a wide window of operating conditions.[236]
Cellulose or cellulose containing fibersNot specified (empirical approach)Monochlorotriazinyl- β-cyclodextrinNeural network modeling (semi-empirical approach).A good approximation of the studied grafting process was obtained.[237,238,239]
PPCTP by FRP in solid state, in presence and absence of supercritical CO2 (scCO2).PMAHA kinetic model focused on polymerization and grafting rates was used.The effect of presence or absence of scCO2 on grafting rate was analyzed.[240]
PPCTP by FRP in solid state, with and without scCO2.Not specifiedThe kinetic model and grafting mechanism of the scCO2 assisted grafting of PP in the solid state were reviewed. Grafting rate controlled by diffusion in absence of scCO2 and by the chemical grafting step in presence of scCO2.[241]
Polybutadiene (PB)CTP by FRP in production of high-impact PSty (HIPS).PStyAn existent heterogeneous model is generalized to consider bivariate distributions of graft copolymer topologies; each topology is determined by the number of trifunctional branching points per molecule.Polymerization in two phases is assumed. Adjustment of a single kinetic parameter is required. Grafting efficiencies obtained from solvent extraction/gravimetry are contrasted against estimates obtained by the deconvolution of size exclusion chromatograms for total polymer.[242]
Poly[ethylene-co-(1- octene)]CTP by FRP in molten statePMMAA model compound approach was used.The focus was on assessing the effect of temperature, polymerization time and initiator content on MMA polymerization rate and number average chain length, in the presence of alkoxyl radicals and alkanes.[243]
PStyUse of a Friedel-Crafts reaction, which gives rise to a mixture of unmodified PE, modified PS and a PE-g-PS copolymer.PEA model for predicting the complete MWD of the homopolymers, and the chemical composition distribution (CCD) of the graft copolymer was presented. Probability generating functions were used to carry out the calculations.The model takes into account the opposing effects of rival reactions that occur in the studied grafting reaction.[244,245]
PECTP by FRPPStyA kinetic mechanism for the whole process and application of the method of moments to solve the mass balance equations are proposed.The model is able to calculate average molecular weights and the amount of grafted PS.[246]
PPCTP by FRPPMAHA kinetic model for the free-radical grafting of maleic anhydride MAH onto PP, considering that the reaction medium is heterogeneous due to the incomplete solubility of MAH in the polymer melt was developed.Two different approaches are considered that derive from the limiting cases of very fast mass transfer (equilibrium) and no mass transfer between the two phases. The physical parameters considered in the model include the solubility of MAH in PP and the partition coefficient of the initiator between the two phases.[247]
Carboxyl functionalized hydrophilic Sephadex (a cross-linked dextran gel used for gel filtration) derivatives.Covalent amine conjugation method analyzed using XPS.Poly(ethylene glycol) (PEG)Langmuir and Langmuir-Freundlich isotherm models are used to study PEG-grafting kinetics. Fractional C-O intensities obtained from high-resolution C 1s scans are correlated with grafting.The models are assessed by comparing calculated profiles and experimental data. [248]
Various surfacesSurface-initiated controlled radical polymerization.Polymers from 2-methacryloyloxythyl phosphorylcholine (MPC), methyl acrylate, acrylamide, and N-isopropylacrylamide.A kinetic model for surface-initiated atom transfer radical polymerization (SI-ATRP) with addition of excess deactivator in solution was presented.Polymer layer thickness, and concentrations of radical, dormant and dead polymer molecules can be calculated. A simple but reliable analytical solution is proposed for estimation of the evolution of polymer layer thickness.[249]
Partially fluorinated polymers such as poly(vinylidene fluoride) and poly(ethylene-co-tetrafluoro ethene).Radiation induced graftingPoly(4-vinylpyridine)Box-Behnken factorial designs and response surface method (RSM) were used.A quadratic model was used to obtain the optimal set of conditions (absorbed dose, monomer concentration, grafting time and reaction temperature) to maximize the degree of grafting (G%), using a statistical software. Adequate agreement between model predictions and experimental data supported the approach proposed.[250,251]
Poly(propylene glycol) (PPG)CTP by FRPPoly(styrene-co-acrylonitrile) (SAN)A batch kinetic model for grafting copolymerization of Sty and acrylonitrile (AN) in the presence of PPG is modified to include semi-continuous and continuous processes.The semi-continuous model is validated using experimental data, although molecular weight agreement is poor. The continuous process is simulated but not contrasted against experimental data. According to the model, graft efficiency increases drastically, and Mw decreases with decreasing St/AN weight ratio.[252]
Starch(Mechanically activated) CTP by FRPPolyacrylamideA kinetic model for an inverse emulsion copolymerization system was used. The effects of initiator, monomer, starch, and emulsifier content on reaction rate of graft co-polymerization (Rg) were determined. The kinetic model was modified to provide acceptable agreement with experimental data.It was observed that the relationship between Rg and the concentration of components in the polymerization system can be expressed for all of the four components by the following equation: Rg∞[mSt]1.24 [I]0.76[M]1.54[E]0.33, which is consistent with the kinetic equation from theoretical studies: Rp∞[mSt]0.5~1 [I]0.5~1[M]1~1.5[E]0.6.[253]
PB seed latex particlesCTP by emulsion FRPSANEmulsion grafting copolymerization is model using a two-phase kinetic model. Monomer concentrations in the different phases is calculated.Partition of components between phases calculated as in previous models. The model is extended to account for calculation of grafting efficiency and copolymer composition of free and grafted molecules.[254]
PECTP by FRP in REXPAAMonomer conversion to homo- and grated-polymers are calculated separately using an incremental theory. The approach allows calculation of degree of grafting, mass of homopolymer and grafting efficiency.The focus was on analyzing the effect of temperature and initial concentrations of monomer and initiator on degree of grafting. Both grafting and amount of homopolymer increase with temperature and monomer concentration.[255]
Natural rubber latex (core-shell particles)CTP by emulsion FRPPMMAThe model consists on rate expressions of polymer chain formation. A decrease of CHPO by TEPA and a population event of radicals between core/shell phases are considered in the model.Grafting efficiency and polymer composition for free and grafted polymer populations can be calculated in terms of initial conditions (monomer and initiator content, and rubber weight ratio and temperature).[256]
Vinyl/divinyl copolymer synthesized by RAFT chemistry.CTP by FRPNon-specified RAFT synthesized graftA RAFT crosslinking model was used to address the molecular imprinting step. The size of grafted brushes was estimated from MWD calculations for a RAFT homo-polymerization.The model includes the two steps involved in the production of MIP responsive particles. Limitations and ways to improve the model are discussed.[257]
High-density PE (HDPE)Melt free-radical grafting (semi-empirical approach)GMAResponse surface, desirability function, and artificial intelligence approaches were combined to account for polymer grafting. Input variables: monomer content, initiator concentration, and melt-processing time.An in-house code that learns and mimics processing torque and grafting of GMA onto HDPE was developed. Optimization of the process and quantification of the competition between grafting and crosslinking was carried out.[258]
PECTP by FRP in post-polymerization modificationVinyl polymersA kinetic Monte-Carlo (kMC) modeling approach for free radical induced grafting of vinyl monomers onto polyethylene (PE), assuming isothermicity, perfect macromixing and diffusion-controlled effects was developed.Calculated variables: monomer conversion, grafting selectivity and yield, MWDs of all macromolecular species involved, average grafting (from/to) and crosslink densities, number of grafts and crosslinks per individual polymer molecule, and chain length of every graft.[259]
PECTP by FRP (batch operation)Vinyl polymersA kMC model was used. Reactions included: initiator dissociation, hydrogen abstraction, graft chain initiation, graft (de)propagation, crosslinking, and homo (de) polymerization.Assumptions: isothermicity and single-phase polymerization. It is found that the grafting kinetics is affected by hydrogen abstraction and depropagation kinetic rate constants, equilibrium coefficient Keq, and initial content of monomer, initiator, and polyolefin.[260]
PECTP by FRP (tubular reactor)Vinyl polymerskMC, as in [260]They found that functionalization, selectivity and grafting density are able to reach remarkably better values (e.g., 100%) if multiple injection points are considered for monomer, initiator and/or a temperature profile.[261]
PECTP by FRP (two-phase system)Vinyl polymerskMC; the model of [260,261] is further extended to include two phases.The partition of monomer and initiator between the two phases is addressed by introducing overall mass transfer coefficients. The model is tested with a monomer with low to negligible homo-propagation. Positive agreement with industrial experimental data was obtained.[41]
Table 15. Polymerization scheme for free-radical polymerization including CTP and crosslinking.
Table 15. Polymerization scheme for free-radical polymerization including CTP and crosslinking.
Reaction StepKinetic ExpressionRemarks
Initiator decomposition I k d 2 R
First propagation R + M k i P 1
Propagation P n + M k p P n + 1 n = 1, …∞
Termination by disproportionation P n + P m k t d D n + D m n,m = 1, …∞
Propagation through intermediate free radicals P n , b + M k p P n + 1 , b n = 1, …∞
b = 0, …∞
Chain transfer to polymer P n , b + D m , c k t r p D n , b + P m , c + 1 n, m = 1, …∞
b, c = 0, …∞
Propagation through pendant double bonds (crosslinking), assuming a pseudo-kinetic rate constants method (pseudo-homopolymer) approach P r + D s k p * 0 P r + s r, s = 1, …∞
Table 16. Symbols of application fields.
Table 16. Symbols of application fields.
Symbol of Corresponding ApplicationMeaning
Processes 09 00375 i095Biocomposites and biomaterials.
Processes 09 00375 i096Green chemistry and innovative processes.
Processes 09 00375 i097Electronic materials, electrical properties, and conjugated polymers.
Processes 09 00375 i098Surface modification, hydrophilic or hydrophobic surfaces.
Processes 09 00375 i099Flame retardancy, additives for flame retardancy in polymer blends, thermal resistance materials.
Processes 09 00375 i100Antimicrobial applications.
Processes 09 00375 i101Adhesives, polymer networks, crosslinked polymers, gels.
Processes 09 00375 i102Controlled release of drugs and chemicals.
Processes 09 00375 i103Polymer composites and blends, by extrusion, casting or co-precipitation.
Processes 09 00375 i104Chelating properties, membranes, effluent remediation.
Processes 09 00375 i105Mechanical properties improvement, micro and nano reinforcement.
Processes 09 00375 i106Application in polyolefins, polyethylene, polypropylene.
Processes 09 00375 i107Aerogels, light, or porous materials.
Table 17. Abbreviations used for characterization techniques.
Table 17. Abbreviations used for characterization techniques.
AbbreviationMeaning
FTIRFourier transformed mid-infrared spectroscopy.
ATRAttenuated total reflection.
1H-NMRProton nuclear magnetic resonance.
13C-NMRCarbon nuclear magnetic resonance.
TTTensile test.
DMADynamical mechanical analysis.
GPCGel permeation chromatography.
TGAThermogravimetric analysis.
DSCDifferential scanning calorimetry.
FRFlame retardancy.
XPSX-ray photoelectron spectroscopy.
EDAXEnergy-dispersive X-ray analysis/spectroscopy.
WAXDWide Angle X-ray Scattering.
XRFX-ray fluorescence.
Table 18. Abbreviations of properties and variables measured by characterization techniques.
Table 18. Abbreviations of properties and variables measured by characterization techniques.
TechniqueAbbreviationExplanationUnits
ChromatographyMWDMolecular weight distribution of polymers.-
MnNumber average molecular weight.g/gmol
ThermalTgGlass transition temperature.°C
MDTMaximum degradation temperature.°C
MFIMelt flow index.g/10 min
THRTotal heat release.MJ/m2
PHRRPeak heat release rate.kW/m2
MechanicalσMaximum stress measured in tensile test.MPa
ɛMaximum elongation observed in tensile test.%
Table 19. Abbreviations and formulae of some chemical compounds and materials used.
Table 19. Abbreviations and formulae of some chemical compounds and materials used.
AbbreviationCompoundChemical StructureRef.
“P”Before the name or abbreviation of a monomer means polymer of that monomer.
“B-g-C”Means “C” chains grafted to “B” backbone.
THFTetrahydrofuran.Processes 09 00375 i108[17,18]
DMFDimethylformamide.Processes 09 00375 i109[121,125,139,141,144,146,147,151,152,165]
DMSODimethyl Sulfoxide.Processes 09 00375 i110[37,111]
PDX1,4-dioxane.Processes 09 00375 i111[111,140,142,150]
PPPolypropylene.Processes 09 00375 i112[135]
PEPolyethylene.Processes 09 00375 i113[135]
DCCDicyclohexylcarbodiimide.Processes 09 00375 i114[108,165]
DMAP4-Dimethylaminopyridine.Processes 09 00375 i115[108,116,165]
SBMA(E)-2-(N-methyloctadec-9-enamido)ethyl methacrylate.Processes 09 00375 i116[134]
SBMAH(E)-3-(octadec-9-enamido)propyl methacrylate.Processes 09 00375 i117[134]
SBMAEO2-(N-methyl-8-(3-octyloxiran-2-yl)octanamido)ethyl methacrylate.Processes 09 00375 i118[134]
4-cyano-4-(phenylcarbonothioylthio) pentanoic acid.Processes 09 00375 i119[134]
POCl3Phosphoryl trichloride.Processes 09 00375 i120[125,135]
P4O10Phosphorus(V) oxide.Processes 09 00375 i121[125,136,137]
Imidazole.Processes 09 00375 i122[125,135]
IPG(1H-imidazol-1-yl) phosphonic group.Processes 09 00375 i123[125,135]
N’N’-MBAN’N’-methylenebisacrylamide.Processes 09 00375 i124[98,164]
N-VPN-vinyl pyrrolidone.Processes 09 00375 i125[99,164]
Co(acac)3Cobaltacetylacetonate complex. [99,103]
MMAMethyl methacrylate.Processes 09 00375 i126[58,107,111,117,140,144,146,149]
PMMAPoly(methyl methacrylate).Processes 09 00375 i127[58,107,111,117,140,144,146,149]
AcNAcrylonitrile.Processes 09 00375 i128[107,121]
EAEthyl acrylate.Processes 09 00375 i129[107,108]
NIPAAMN-isopropylacrylamide.Processes 09 00375 i130[108,138,140,141,143,145,165]
PNIPAAMPoly(N-isopropylacrylamide).Processes 09 00375 i131[108,138,140,141,143,145,165]
PABTCPropionic acidyl butyl trithiocarbonate.Processes 09 00375 i132[108]
HPCHydroxypropyl cellulose.Processes 09 00375 i133[108]
DMAcDimethylacetamide.Processes 09 00375 i134[108]
CellClAcCellulose chloroacetate. [109,122]
2′2′BIPI2,2′-bipyridine.Processes 09 00375 i135[109,122,140,146,147]
4NPAN-(4-nitrophenyl) acrylamide.Processes 09 00375 i136[109]
MAMethyl acrylate.Processes 09 00375 i137[110]
FASFerrous ammonium sulphate.(NH4)2Fe(SO4)2 6H2O[110]
KPSPotassium persulphate.Processes 09 00375 i138[110]
CANCeric ammonium nitrate.Processes 09 00375 i139[111]
BPOBenzoyl peroxide.Processes 09 00375 i140[111]
Sn(Oct)2Tin(II) 2-ethyl hexanoate.Processes 09 00375 i141[111]
NCAN-cyclohexylacrylamide.Processes 09 00375 i142[112]
AgNPsSilver nanoparticles.Ag[113]
b-CDβ-cyclodextrin.Processes 09 00375 i143[113,114]
MTC-b-CDMonochlorotriazinyl-β-cyclodextrin.Processes 09 00375 i144[113,114]
APSAmmonium persulfate.Processes 09 00375 i145[115,117]
AmimCl1-allyl-3-methylimidazolium chloride.Processes 09 00375 i146[116]
PBSPhosphate-buffered saline solutions. [116]
DMAcN,N-dimethyl acetamide.Processes 09 00375 i147[111,117]
Br-iBuBr2-Bromoisobutyryl bromide.Processes 09 00375 i148[118]
L-LA
D-LA
L-lactide.
D-lactide.
Processes 09 00375 i149[116,119,157,159]
PLLA
 
 
PDLA
Poly(L-lactide).
 
 
Poly(D-lactide).
Processes 09 00375 i150[116,119,157,159]
STY or StyStyrene.Processes 09 00375 i151[58,118,140,146,147,149]
PS or PStyPolystyrene.Processes 09 00375 i152[58,118,140,146,147,149]
TEATriethylamine.Processes 09 00375 i153[118]
PMDETAN, N, N′, N′, N″-Pentamethyldiethylenetriamine.Processes 09 00375 i154[118,140,146]
PHAPolyhydroxyalkanoate.Processes 09 00375 i155[120]
PHA-g-MAPoly(hydroxyalkanoate-grafted-maleic anhydride).Processes 09 00375 i156[120]
TBD1,5,7- triazabicyclodecene [4.4.0].Processes 09 00375 i157[37]
NCHAN-cyclohexylacrylamide.Processes 09 00375 i158[122]
CLε-Caprolactone..Processes 09 00375 i159[37,158,159,161,162]
PCLPoly-(ε-caprolactone).Processes 09 00375 i160[37,158,159,161,162]
4VP4-vinylpyridine.Processes 09 00375 i161[122,164]
DAAMDiacetone acrylamide.Processes 09 00375 i162[122]
DADiallylamine.Processes 09 00375 i163[122]
PETAPentaerythritol triacrylate.Processes 09 00375 i164[123]
TEMPOTEMPO nitroxide.Processes 09 00375 i165[124]
HEMA2-hydroxyethyl methacrylate.Processes 09 00375 i166[124]
DMAEMA2-dimethylaminoethyl methacrylate.Processes 09 00375 i167[138,150]
BAButyl acrylate.Processes 09 00375 i168[138]
EGEthylene glycol.Processes 09 00375 i169[138]
AMAcrylamide.Processes 09 00375 i170[58,138,139,151,153]
AAAcrylic Acid.Processes 09 00375 i171[58,138,139]
ACXAcyl chloride xanthate.Processes 09 00375 i172[139,153]
LMALauryl methacrylate.Processes 09 00375 i173[140]
Guaiacol.Processes 09 00375 i174[140]
Vainillin.Processes 09 00375 i175[140]
Syringyl methacrylate.Processes 09 00375 i176[140]
4-propylsyringol.Processes 09 00375 i177[140]
4-propylguaiacol.Processes 09 00375 i178[140]
Ferulic acid.Processes 09 00375 i179[140]
Isorbide.Processes 09 00375 i180[140]
CuBr/PMDETAN,N,N′,N′′,N″-Pentamethyldiethylenetriamine Cu(I)Br complex.Processes 09 00375 i181[140,141,146,147]
CuBr/HMTETA1,1,4,7,10,10-Hexamethyltriethylenetetramine Cu(I)Br complex.Processes 09 00375 i182[140,143,150]
PEG-APoly(ethylene glycol) acrylate.n = 9Processes 09 00375 i183[140,143]
PPG-APoly(propylen glycol) acrylate.n = 5Processes 09 00375 i184[140,143]
DAEADehydroabietic ethyl acrylate.Processes 09 00375 i185[140,142]
PDAEAPoly(dehydroabietic ethyl acrylate).Processes 09 00375 i186[140,142]
BMAButyl methacrylate.Processes 09 00375 i187[140,144]
PBMAPoly(butyl methacrylate).Processes 09 00375 i188[140,144]
PEGMAPoly(ethylene glycol) methacrylate.Processes 09 00375 i189[140,148]
PPh3Triphenyl phosphine.Processes 09 00375 i190[149]
KEXPotassium ethyl xanthate.Processes 09 00375 i191[151,152]
2-Bromopropionic acid.Processes 09 00375 i192[151,152]
GMAGlycidyl methacrylate.Processes 09 00375 i193[153]
XCAXanthate carboxylic acid.Processes 09 00375 i194[154]
DMC[2-(Methacryloyloxy)ethyl] trimethyl-ammonium chloride.Processes 09 00375 i195[154]
HONBN-Hydroxy-5-norbornene-2,3-dicarboxylic.Processes 09 00375 i196[154]
AMBN2,2′-azobis (2-methylbutyronitrile).Processes 09 00375 i197[154]
EOX2-ethyl-2-oxazoline.Processes 09 00375 i198[155]
PEOXPoly(2-ethyl-2-oxazoline).Processes 09 00375 i199[155]
MOX2-methyl-2-oxazoline.Processes 09 00375 i200[156]
PMOXPoly(2-methyl-2-oxazoline).Processes 09 00375 i201[156]
B-BLβ-Butyrolactone.Processes 09 00375 i202[160]
PHBPoly(3-hydroxybutyrate).Processes 09 00375 i203[160]
EOXEthylene oxide.Processes 09 00375 i204[163]
PEOPoly(ethylene oxide).Processes 09 00375 i205[161]
P4-t-Bu1-tert-butyl-4,4,4-tris (dimethylamino)-2,2-bis[tris(dimethylamino)- phosphoranylidenamino]-2l5,4l5-catenadi (phosphazene) solution in hexane. [163]
Publisher’s Note: MDPI stays neutral with regard to jurisdictional claims in published maps and institutional affiliations.

Share and Cite

MDPI and ACS Style

Vega-Hernández, M.Á.; Cano-Díaz, G.S.; Vivaldo-Lima, E.; Rosas-Aburto, A.; Hernández-Luna, M.G.; Martinez, A.; Palacios-Alquisira, J.; Mohammadi, Y.; Penlidis, A. A Review on the Synthesis, Characterization, and Modeling of Polymer Grafting. Processes 2021, 9, 375. https://doi.org/10.3390/pr9020375

AMA Style

Vega-Hernández MÁ, Cano-Díaz GS, Vivaldo-Lima E, Rosas-Aburto A, Hernández-Luna MG, Martinez A, Palacios-Alquisira J, Mohammadi Y, Penlidis A. A Review on the Synthesis, Characterization, and Modeling of Polymer Grafting. Processes. 2021; 9(2):375. https://doi.org/10.3390/pr9020375

Chicago/Turabian Style

Vega-Hernández, Miguel Ángel, Gema Susana Cano-Díaz, Eduardo Vivaldo-Lima, Alberto Rosas-Aburto, Martín G. Hernández-Luna, Alfredo Martinez, Joaquín Palacios-Alquisira, Yousef Mohammadi, and Alexander Penlidis. 2021. "A Review on the Synthesis, Characterization, and Modeling of Polymer Grafting" Processes 9, no. 2: 375. https://doi.org/10.3390/pr9020375

APA Style

Vega-Hernández, M. Á., Cano-Díaz, G. S., Vivaldo-Lima, E., Rosas-Aburto, A., Hernández-Luna, M. G., Martinez, A., Palacios-Alquisira, J., Mohammadi, Y., & Penlidis, A. (2021). A Review on the Synthesis, Characterization, and Modeling of Polymer Grafting. Processes, 9(2), 375. https://doi.org/10.3390/pr9020375

Note that from the first issue of 2016, this journal uses article numbers instead of page numbers. See further details here.

Article Metrics

Back to TopTop