Abstract
This study reports on the optimization of the operating conditions using response surface methodology and a comparative study of three promising technologies of cell disruption (bead milling, microwaves and ultrasound) to increase the lipid extraction from Nannochloropsis oceanica, Nannochloropsis gaditana and Tetraselmis suecica. Central composite designs were used for the optimization of ultrasound and microwave processes. The performance of the cell disruption processes in breaking down microalgae cells is dependent on the strain of microalgae. Microwaves (91 °C for 25 min) were the most efficient for the recovery of lipids from N. oceanica, reaching a lipid content of 49.0% dry weight. For N. gaditana, ultrasound process (80% of amplitude for 30 min) was the most efficient in terms of lipid recovery (21.7% dry weight). The two aforementioned processes are ineffective in disturbing T. suecica whatever the operating conditions used. Only the bead milling process at low flow feed rate with 0.4 mm zirconia beads made it possible to extract 12.6% dry weight from T. suecica. The fatty acid profiles of N. oceanica and T. suecica are affected by the cell disruption process applied. The calculation of specific energy consumption has shown that this criterion should not be neglected. The choice of the most suitable cell disruption process can be defined according to numerous parameters such as the microalgae studied, the total lipid extracted, the fatty acids sought, or the energy consumption.
1. Introduction
Microalgae are currently attracting a lot of interest as, in addition to their renewable nature, they produce valuable molecules [1,2]. In particular, lipids from microalgae have gained interest all over the world not only as potential substitutes for petroleum-based fuels, but also as building blocks in the chemical industry or edible oils for the food and health market [3]. Species such as Botryococcus braunii, Schizochytrium sp., Parachlorella kessleri, and Nannochloropsis sp. produce amounts of lipids between 25 and 75%, 50 and 77%, 41 and 65%, and 31 and 68% DW, respectively [4,5,6]. To extract these lipids, a cell disruption process is necessary after cell harvesting. Indeed, lipids are either located in cell structures or linked to cell membranes [7,8] and need to be released.
For several decades of research on microalgae, a certain number of processes of cell disruption have been tested and validated. These processes are usually classified according to their nature (i.e., mechanical or non-mechanical). Mechanical methods include bead milling, high speed or high-pressure homogenization, ultrasound, microwaves and pulsed electric fields. Non-mechanical methods consist of the use of chemical or enzymatic hydrolysis to break the cell membranes or increase their permeability [9,10,11]. Among these cell disruption processes, this paper focuses on the three most commonly used: bead milling, ultrasound and microwaves processes.
The optimization of the operating conditions of the bead milling on cell disruption and the release of lipids, proteins and carbohydrates from different microalgae has been studied by different authors [6,7,12]. The grinding process is achieved through mechanical compaction and shear stress of the solid surface of the beads with microalgae cells [13]. The efficiency of cell disruption by bead milling depends on many parameters, including the geometry of the chamber and the agitator, the flow rate of the suspension, the biomass concentration, the agitator speed, the density and diameter of beads, the bead filling ratio, and the cell wall composition of microalgae strains [7]. The results reported in the literature may be contradictory due to the interactions between the operating conditions [13].
Ultrasound has been widely applied for protein extraction, chemical synthesis, emulsion production and cell disruption [9,11]. The potential of ultrasound to assist lipid extraction from microalgae has already been demonstrated in various studies [14]. Cell disruption by this process takes place via two mechanisms, namely cavitation and mechanical-acoustic effects, induced by the ultrasound [14]. The efficiency of the ultrasound depends also on various factors such as the power, the temperature, the viscosity, the suspension concentration, the cycle number, the process time, and the microalgae species [9,11].
Microwave-assisted extraction offers an alternative green method for cell disruption and extraction of compounds from microalgae. It has been evaluated for industrial-scale applications, revealing effective cell wall disruption with relatively low energy input, a rapid treatment time and the avoidance of the utilization of hazardous substances [15]. Microwaves interact selectively with polar molecules and induce intracellular heating. This heat and pressure located in the cell walls lead to cell disruption allowing the extraction of intracellular compounds [14]. As the other cell disruption processes mentioned above, the efficiency of the microwave process for lipid recovery also depends on several factors, namely residence time, temperature, agitation, suspension concentration, microalgae type, and microwave power [9].
To the best of our knowledge, only a few studies have compared the effects of cell disruption processes on the recovery of lipids from microalgae [10,16,17,18,19]. In addition, these studies have mainly focused on a single operating condition for each cell disruption process, without considering the possible interactions of the different parameters that affect the efficacy of the cell disruption process. Thus, the objective of this paper is to conduct an optimization and a comparative study of three promising mechanical cell disruption processes—the bead milling, the ultrasound and microwave processes—to break or weaken the integrity of the cell walls and to increase lipid recovery. To highlight the importance of optimizing the disruption processes for each species of microalgae, three types of microalgae have been studied.
The choice of species was made to compare two species of the same genus and two genus with different structural characteristics. Thus, this study has been conducted on Nannochloropsis oceanica, Nannochloropsis gaditana and Tetraselmis suecica, three species selected for their high lipid content and their differences in the composition of their membranes. Microalgae of the genus Nannochloropsis [Eustigmatophyceae] have been widely studied in the literature for biofuel applications [14]. Additionally, Nannochloropsis species have been used in feed for aquaculture and for the recovery of valuable pigments and nutritive oils [20]. These microalgae cells are spherical and small in size, ranging from 1 to 4 µm. The structure of their cell walls is composed of an inner layer of cellulose and an outer layer of algenane [21]. The marine microalga Tetraselmis [Chloroendrophyceae] is one of the few species to be used for the production of food supplements, due to its high intracellular content of proteins, lipids and polysaccharides [22,23]. The lipid content can reach up to 23% (% w/w DW) [15]. Tetraselmis cells are oval and range in size from 7 to 25 µm [21]. The cell walls of these microalgae consist of complex polysaccharides composed of galactose, xylose, rhamnose, mannose, and arabinose [12].
Herein, we aimed at determining the most suitable disruption process for lipid extraction among the three processes studied (bead milling, microwaves and ultrasound) for each microalga (N. oceanica, N. gaditana and T. suecica). For this, initially, the operating conditions of the three processes were optimized to obtain the highest lipid recovery. The results of the optimization according to the disruption process and the species of microalgae were compared. Secondly, for each optimum of the three processes studied, the lipid profile of the fraction extracted, and the energy consumption induced by the process were determined.
2. Materials and Methods
2.1. Preparation of Microalgae Suspensions
The frozen biomass of N. oceanica (average cell size of 2.1 μm, 20%DW) and T. suecica (average cell size of 8.2 μm, 25%DW) were obtained from AlgoSolis R&D Facility (Saint-Nazaire, France). The dried biomass of N. gaditana (average cell sizes of 3.2 μm, 95%DW) was obtained from Necton, S.A. (Algarve, Portugal). The composition of the microalgae species, according to the supplier, is shown in Table 1.
Table 1.
Composition of microalgae species.
To verify the integrity of the microalgae cells after the stabilization process (freezing, drying), a microscope observation was carried out and the size of the cells of each microalgae strain was measured with the IMAGEJ program.
According to the literature and in order not to encounter technical problems with the recirculation pump of the bead milling process, the concentration of 10 g.kg−1 (DW/w) for suspensions of microalgae were chosen. For all the experiments, the necessary quantities of frozen biomass and dried biomass were weighed and suspended in distilled water (2 L) to obtain a suspension of microalgae at 10 g.kg−1 (DW/w). All the microalgae suspensions were kept at 5 °C for 24 h before use to obtain complete hydration of the cells. The dry weight was determined (Section 2.4.1) for each suspension of microalgae to verify that the concentration of 10 g.kg−1 (DW/w) is reached.
2.2. Cell Disruption Processes
2.2.1. Disruption Process by Bead Milling
Bead mill experiments were performed with a Dyno®-Mill Multi Lab of WAB (Willy A Bachofen AG, Muttenz, Switzerland). A volume of 2 L of microalgae suspension at 10 g.kg−1 (%DW/w) was pumped from an agitated feed tank, at a given feed rate, to a 600 mL horizontal grinding chamber VGC. A constant filling volume ϕGM of 80%v.v−1 with grinding beads is ensured. Ceramic beads made of zirconia (specific density ρb of 3.7 g.cm−3) were used with different diameters. The rotational speed (u) of the mill and the product temperature were kept constant at 10 m.s−1 and 15 °C. Three or four grinding cycles were carried out in pendulum mode [24]. Samples were taken from the chamber after each grinding cycle.
The operating conditions for each trial of bead milling is summarized in Table 2. The flow rate was assessed in a first step for N. gaditana. According to the first results obtained from this strain, the flow rate was fixed at 150 mL.min−1 for the second trial of experiments whit N. oceanica and T. suecica, for which the bead diameter was studied.
Table 2.
Bead milling conditions for each experiment.
The operating conditions of bead milling have already been studied in the literature on various species of microalgae [7,12,13,25,26]. However, the effects of these conditions depend on the type of microalgae studied. For example, the flow rate has been reported to increase the kinetic effect of cell disruption for yeast but led to a decrease for Chlorella vulgaris [25] and P. cruentum [13]. To our knowledge, no study has focused on the impact of flow rate (indirectly indicating residence time) and bead size on lipid release for the microalgae strains used in this study. Thus, the two operating conditions chosen for optimizing the bead milling are the flow rate of the microalgae suspension and the bead size used in the grinder.
In a first part, two flow rates were studied: A High Flow Rate HFR (150 mL.min−1) and a Low Flow Rate LFR (50 mL.min−1). These values were chosen to represent a significant difference between the two feed flow rates. The LFR corresponds to the minimum value which can be obtained with the pump and the HFR corresponds to the maximal value of feed flow rate, that we can set [13]. In a second part, the effect of bead size was determined. The minimum and maximum average diameters for zirconia beads were chosen: dGm = 0.40 mm and dGm = 1.25 mm.
2.2.2. Disruption Process by Microwaves
The microwave treatment was carried out with the Monowave 400 reactor (Anton Paar, Graz, Austria). A volume of 20 mL of microalgae suspension at 10 g.kg−1 (%DW/w) was placed in a 30 mL glass tube. Samples, continuously mixed at 600 rpm, were subjected to a percentage of the maximum power of 100 W. This percentage is set by the system in order to reach the desired temperature. The microwave power can vary throughout the treatment time to keep the set point temperature constant. Once the microwave process was completed, the samples were cooled with compressed air down to 40 °C and removed from the microwave. The effect of two independent parameters (the sample temperature and the residence time) on the total lipids extracted (TLE) was studied during the disruption process by microwaves.
The efficiency of microwaves is primarily affected by the temperature and time [14]. According to the literature, temperature below 50 °C and residence time below 5 min are inefficient to disrupt microalgae cells [16,17,27]. Moreover, temperature higher than 100 °C and residence time superior to 25 min leads to the formation of free radicals, chemical conversion or high value lipids and high value pigments degradation can occur [9,21]. Thus, the experimental field has been limited to variations between 50 and 100 °C for the temperature of the sample and 5 and 25 min for the residence time.
2.2.3. Disruption Process by Ultrasound
The treatment by ultrasound was carried out with the ultrasonic processor Vibra-CellTM 75,186 model CV18 (SONICS®, Connecticut, USA), at 130 W and 20 kHz. A 6 mm diameter probe with an amplitude of 123 microns (100%) was used. 25 mL of microalgae suspension 10 g.kg−1 (%DW/w) were placed in a 30 mL glass flask, which was immersed in an ice water bath for temperature control (5 °C). The probe was immersed in the suspension at a distance of 1.5 cm from the bottom of the glass flask. The treatment time is composed of several cycles consisting of 30 s ON and 5 s OFF. This prevents heating of the probe [17].
The effect of two independent parameters (amplitude and treatment time) on the TLE was studied during the disruption process by ultrasound. The range of variation of these factors was established based on preliminary experiments and information available in the literature [21]. An amplitude between 50 and 80% and a treatment time between 10 min and 30 min were chosen. Values of 100% of amplitude were not considered to avoid excessive heat and the formation of free radicals. The latter causing oxidation strongly affects lipid quality.
2.3. Design of Experiments
Modde v.10.1 software (Umetrics AB, Sweden) was used to generate experimental designs to maximize the TLE of the microalgae suspensions. The analysis of experimental data was carried out by Response Surface Methodology allowing the choice of optimal operating conditions of the microwave and ultrasound processes. Table 3 presents the independent variables (Xi) and their levels in terms of coded and uncoded values. The ranges of variation of the variables were fixed considering specific constraints of each disruption process.
Table 3.
Coded and uncoded values used in each experimental design for microwave and ultrasound processes.
A central composite face centered design (CCF) was used to study the effect of operating conditions on TLE. Two independent variables at three levels were studied. A total of 8 experiments were used to cover the design space (Supplementary data. Tables S1, S4, S7, S9, S12, S15). The replicate error was obtained by three replicates at the center point values.
A second order polynomial equation was used for all the models in this study (Equation (1)).
where Y represents the TLE, X1 and X2 are the variables studied i the coefficients for the constant, the linear, the quadratic and the interaction terms. the residues between the predicted and observed values.
The models obtained are validated with new experiments carried out for the optimal operating conditions found. The microwave process was implemented at 100 °C for 5 min for N. gaditana and at 91 °C for 25 min, for N. oceanica. For the ultrasound process, an amplitude of 80% and a process time of 30 min were used for the suspensions of N. gaditana and N. oceanica. The experimental tests were carried out in triplicate. No model validation was performed for the microalgae T. suecica.
2.4. Analytical Methods
2.4.1. Dry Weight
Dry weight (DW) was determined by gravimetric method based on the weight loss of microalgae suspensions by evaporation of the water. Samples aliquots of 5 mL were placed in a pre-weight aluminum cup and put in a convection oven at 100 °C and at atmospheric pressure, for at least 18 h. Samples were removed, cooled to room temperature in a desiccator, and weighed until their mass were constant (differences less than 0.5 mg).
2.4.2. Degree of Cell Disruption
The percentage of disrupted cells was determined by counting 10 squares of a Malassez counting cell. The cells of the control and treated solutions were fixed with a Lugol iodine solution. The percentage of disrupted cells was calculated as described in Equation (2):
with Ctx the number of intact cells per ml remaining after x cycles of bead milling, and Ct0 the number of intact cells per ml before disruption (control solution).
2.4.3. Total Lipids Extracted (TLE)
The total lipids extracted were measured from samples before and after disruption using a CHCl3: MeOH solvent extraction as second step [28]. 5 mL of microalgae solution at 10 g.kg−1 were mixed with 4 mL of a mixture of CHCl3: MeOH (2:1, v/v) in a conic glass. Samples were maintained for 2 h at room temperature and under constant agitation at 1000 rpm using a magnetic stirrer. The phases were separated by centrifugation at 3000 g for 15 min at 4 °C. The bottom lipophilic layer was removed and transferred into another pre-weighed conic glass tube. Two more consecutive extractions were done with 4 mL of CHCl3: MeOH mixture (2:1, v/v) for 1 h. All organic phases were mixed and 10 μL of the antioxidant dibutylhydroxytoluene (BHT) at 10 g.L−1 were added to avoid lipid oxidation during storage until the determination of the fatty acid profile. The organic phase was evaporated under nitrogen flux in a water bath at 40 °C for 1 h in a 12-position N-EVAP Nitrogen Evaporator. The TLE from each microalgae suspension (control and treated) was calculated as defined in Equation (3):
with wresidue the mass of the recovered residue after evaporation, and DWmicroalgae suspension the dry mass of the microalgae suspension.
The residue was resuspended in 1 mL of CHCl3: MeOH mixture (2:1, v/v) and the lipid extract was stored at −20 °C for other analysis.
2.4.4. Determination of the Fatty Acid Profile
The determination of the fatty acid profile (FAP) was performed in two steps: firstly, an alkali-based transmethylation was realized to transform lipids into fatty acid methyl esters (FAMEs). Secondly, the identification and quantification of FAMEs was performed by GC-FID analysis.
- Alkali-based transmethylation
A sample of 1 mg from the extracted lipid was used for the transmethylation procedure with MeOH-BF3 (14% w/w) mixture. Boron trifluoride (BF3) catalyzes the transmethylation reaction and lipids are transformed to fatty acid methyl esters (FAMEs). The sample was put in a pyrex tube with 1.8 mL of the MeOH-BF3 mixture. The pyrex tube was placed in a water bath at 95 °C for 20 min. After reaction, samples were cooled at room temperature for 20 min. 1 mL of heptane was added at FAMEs and the solution was rinsed three times with 1.5 mL of saturated water in heptane. The aqueous phase was separated and the heptane phase containing FAMEs was recovered and diluted with a solution of the internal standard C9:0 methyl ester. A final concentration of 100 µg/mL of C9:0 methyl ester was obtained for each sample. FAMEs samples were stocked at −20 °C until GC-FID analysis.
- GC-FID analysis
Fatty acid methyl esters were separated and identified using a Shimadzu® GC-2010 Plus Gas Chromatograph (GC) coupled with a flame ionization detector (FID), based on the AOAC method 996.06. A RT-2560 fused silica column (100 m × 0.25 mm × 0.20 μm) was used to separate the FAMEs. The sample volume injected was 1 μL. Helium (He) was used as carrier gas at 1.74 mL.min−1. The initial and final column temperatures were, respectively, 100 and 240 °C (with a heating rate of 3 °C/min), while the temperature of sampler and detector were 250 and 28 °C, respectively. A mix of 3 gas was used in the detector: He at 30 mL.min−1, hydrogen at 40 mL.min−1 and air at 400 mL.min−1. The total analysis time for each sample was 65 min.
Individual fatty acid methyl esters were identified by comparing their retention time with those of the standard FAME Mix (C4-C24) (Supelco, Sigma Saint Quentin Fallavier, France). The quantification was done using GC solution® software and a comparison between the respective peak areas and the one obtained for the internal standard C9:0 methyl ester. Results were expressed as percentage of each fatty acid (as FAME) to the total fatty acids identified (TFA) (g.100g−1 TFA).
2.5. Determination of the Specific Energy Consumption for Each Disruption Process
The specific energy consumption (SEC) (kWh/g lipids) was calculated for each microalga and for the optimum of each disruption process. This parameter translates the total electricity requirements as a function of the lipids extracted. A comparison of the SEC was carried out in order to determine the least energy-consuming process among those making it possible to improve the recovery of lipids from microalgae.
The electricity requirements for each cycle of bead milling were estimated considering the average drive of the mill (3.65 kW) and the parameters described in Section 2.2.1. The electric power (W) supplied by the microwave device was recorded continuously over the entire treatment time in order to estimate the total energy consumption for each configuration. The ultrasound equipment directly provided the total electricity consumption (J). The value observed after each iteration has been converted into kWh. The total energy consumption per gram of extracted lipids (DW) has been reported taking into account the suspension concentration and the TLE.
2.6. Statistics
All chemical analyses were performed in triplicate. The error bars, shown in the figures, represent the standard deviations of the mean values. An analysis of variance (ANOVA) was performed using JMP software to assess whether a difference is significant (p < 0.05). Tukey tests were performed for each series of the Figure 1 and Figure 2. Different letters on the bars show significant differences (p < 0.05).
Figure 1.
Percentage of cell disruption and TLE as a function of the number of grinding cycles for N. gaditana suspension, at HFR (150 mL.min−1) and LFR (50 mL.min−1). Constant conditions: ZrO2 beads; dGm = 0.40 mm; ϕGM = 80%; u = 10 m.s−1; Temp = 15 °C. TLE (Total Lipid Extracted) HFR (High Flow Rate); LFR (Low Flow Rate); dGm (bead diameter); ϕGM (grinding filling); u (rotational speed); Temp (Temperature). Different letters on the bars for each serie show significant differences (p < 0.05).
Figure 2.
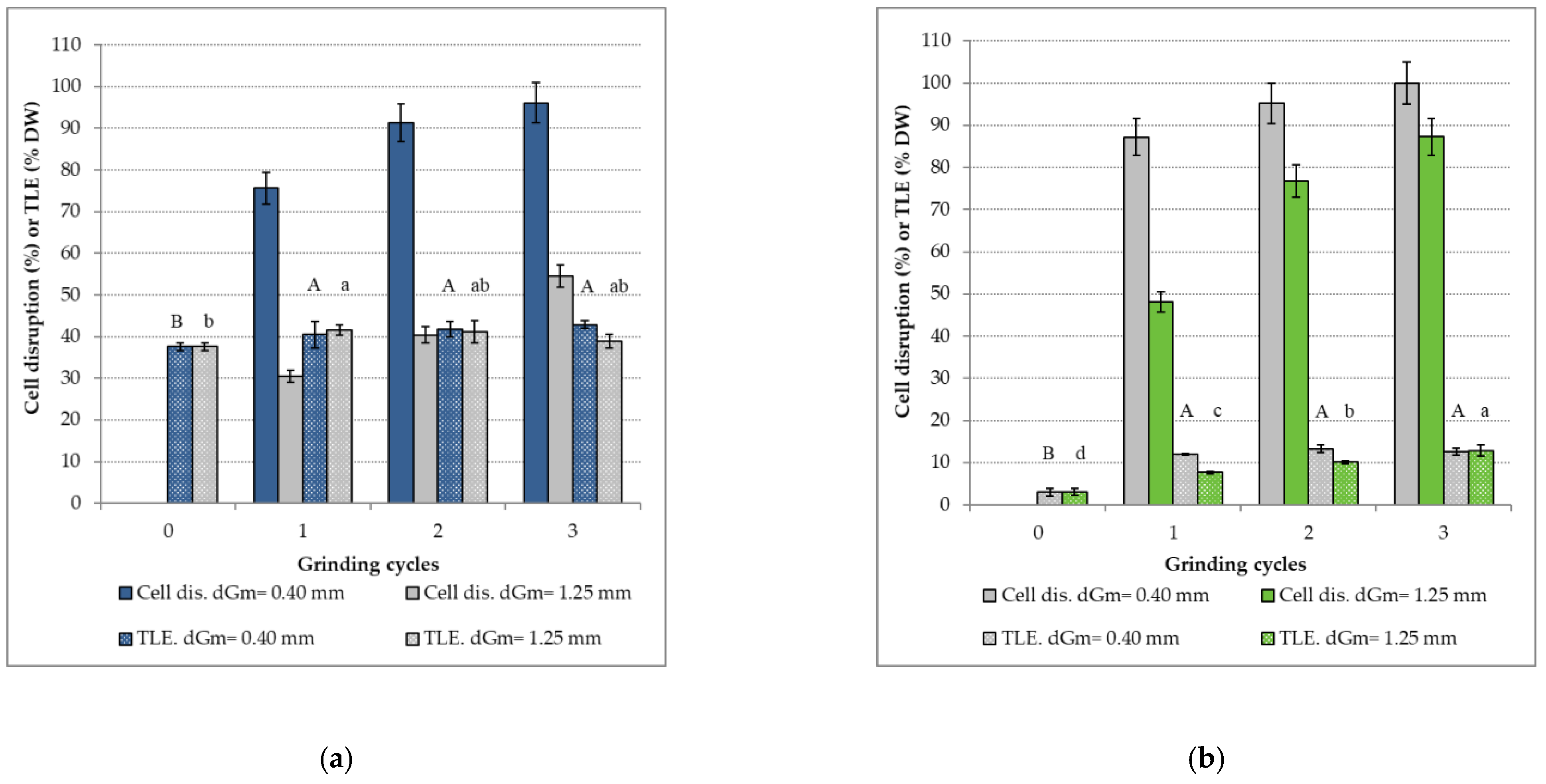
Percentage of cell disruption and TLE as a function of the number of grinding cycles for (a) N. oceanica and (b) T. suecica, at dGm = 0.40 mm and dGm = 1.25 mm. Constant conditions: ZrO2 beads; FR = 150 mL.min−1; ϕGM = 80%; u = 10 m.s−1; Temp = 15 °C. TLE (Total Lipid Extracted); dGm (bead diameter); FR (Flow Rate); ϕGM (grinding filling); u (rotational speed); Temp (Temperature). Different capital letters on the series of TLE. dGm = 0.40 mm show significant differences (p < 0.05) between the grinding cycles. Different lowercase letters on the series TLE. dGm = 1.25 mm show significant differences (p < 0.05) between the grinding cycles.
3. Results
In total, three disruption processes (bead milling, microwave and ultrasound) were applied to three strains of microalgae (N. gaditana, N. oceanica and T. suecica) to improve the extraction of lipids. The effect of operating conditions was studied for each process. The percentage of cell disruption and the total lipids extracted in the microalgae suspensions were determined in order to choose the optimal operating conditions for each disruption process. For the optimal conditions of each disruption process and for each microalga, the fatty acid profile and the specific energy consumption were determined.
3.1. Effect of the Bead Milling Process on the Lipid Recovery
According to Section 2.2.1, the operating conditions chosen for the optimization of the bead milling are the feed flow rate and the size of the beads. Thus, the effect of these two parameters on the percentage of cell disruption and the TLE was studied.
3.1.1. Effect of the Feed Flow Rate
The effect of the feed flow rate on the percentage of cell disruption and TLE for N. gaditana strain according to the number of grinding cycles is presented in Figure 1.
A significant increase in the percentage of cell disruption is observed according to the number of grinding cycles until total rupture is obtained. Percentages of 93 ± 5% and 99 ± 5% were achieved, respectively, for the HFR and the LFR after three grinding cycles. Taking into account the uncertainties of 5%, it can be considered that after three grinding cycles, the cell disruption is complete. Our results are consistent with those obtained in the literature [6]. Indeed, complete cell disruption was achieved with the same bead mill model used in this study on Parachlorella kessleri. Cell disintegrations of 85 and 100% were obtained after, respectively, 3 and 5 cycles of grinding at a feed flow rate of 200 mL.min−1 (glass beads of 1.3 mm, filling volume of 75%).
No significant difference on the percentage of cell disruption was found between N. gaditana suspensions milled at HFR and LFR after two cycles. However, a tendency to increase the cell disruption is observed for the suspension milled at LFR. Results reported in the literature regarding the impact of the flow rate on cell disruption of microalgae shown better results at lower flow rates. Indeed, it has been reported a decrease of 6% on cell disruption by bead milling of P. cruentum, when the feed flow rate increases from 48 mL.min−1 to 170 mL.min−1 (glass beads of 2.15 mm, 75% of filling volume and a rotational speed of 8 m.s−1) [13]. A general decrease on the degree of cell disruption for C. vulgaris was also found when the feed flow rate was increased for different values of bead size, filling volume, stirring speed [25]. These contradictory results can be explained by the presence either of an interaction between the feed flow rate and other operating conditions, or by an effect of the strain of microalgae treated. Thus, these findings confirm the need to study the effect of bead milling operating conditions for different strains of microalgae.
The TLE for N. gaditana suspension was measured before the grinding (control) and after four grinding cycles. Figure 1 shows a significant 5% increase (%DW) in TLE after 4 cycles of bead milling whatever the feed flow rate. These results reveal that cell disruption by bead milling increased the quantity of lipids available for extraction. This positive effect of the bead milling on lipid extraction has also been observed from Parachlorella keslerri and from Yarrowia lipolityca yeast [6,29]. However, no significant difference was observed on the TLE between the two values obtained with HFR and LFR.
Our results show that there is an impact of the bead milling on the percentage of cell disruption and on the TLE for N. gaditana suspension. Indeed, the bead milling enabled the liberation of lipids in the medium after a solvent extraction. However, no effect of the feed flow rate is noticed in this study. As HFR reduces residence time and therefore the energy consumption of the process, HFR value was chosen for bead milling tests performed on other microalgae. As well, as high values (93 ± 5%) of cell disruption were achieved with three grinding cycles, the number of grinding cycles was fixed to 3 for the upcoming experiments.
3.1.2. Effect of the Bead Size
The effect of zirconia bead size on the percentage of cell disruption and TLE for N. oceanica and T. suecica, according to the number of grinding cycles, is presented in Figure 2. The minimum and maximum average diameters for zirconia beads were chosen: dGm = 0.40 mm and dGm = 1.25 mm.
Whatever the bead size, the bead milling leads to a cell disruption but with different efficiencies. Indeed, significant differences on the percentage of cell disruption for the two microalgae were found between the two bead sizes.
For N. oceanica, after a first grinding cycle, a percentage of cell disruption of 76 ± 5% is obtained with 0.4 mm beads, whereas this percentage is only 30 ± 5% with 1.25 mm beads. After three grinding cycles, whatever the size of the beads, the percentage of cell disruption increases. A percentage of 96% ± 5% is obtained with 0.4 mm beads, whereas with 1.25 mm beads, a disruption of only 55% is noticed.
For T. suecica, the difference in percentage of cell disruption between the two bead sizes is lower than for N. oceanica. Indeed, for 0.4 mm beads, an increase between the first and the third cycles from 87 ± 5% to 100 ± 5% is noticed, whereas an increase from 48 ± 5% to 87 ± 5% is observed for 1.25 mm beads. The disruption can be considered as complete for 0.4 mm beads after three grinding cycles. Our results are in accordance with the literature. Indeed, an optimal disintegration, for T. suecica, by using bead size 0.3–0.4 mm was observed [7].
An effect of the bead size on the cell disruption is then confirmed as the use of small beads induces an increase in the number of particles for the same filling volume. Thus, stress events (i.e., impact or compression and shear), as well as their intensity, are amplified, resulting in greater efficiency of the disruption process [13,26]. The effect of the bead size on the cell disruption of Nannochloropsis sp. was also studied [26]. As a result, they observed that smaller zirconia beads (0.3–0.4 mm) were more efficient in cell disruption (>98%) rather than the greater beads (0.7–0.8 mm and 1.8–2.0 mm) under optimal conditions (disintegration time of 40 min, circumferential speed of 2.3 m.s−1, a concentration in microalgae of 15% m/v and 60% of grinding filling).
Results in Figure 2 show that the effect of bead size varies according to the microalgae species. The effect of small beads is more noticeable on N. oceanica than on T. suecica. This could be associated with the different structural compositions and resistances of their cell walls. Indeed, Nannochloropsis strain has a bilayer structure consisting in a cellulosic inner wall protected by an outer hydrophobic algenane layer [20]. The resistance of algenanes and the small size of Nannochloropsis cells make it difficult to weaken or break cell membranes [21]. For T. suecica strain, its cell wall consists in complex polysaccharides made up of galactose, xylose, rhamnose, mannose, and arabinose [12], which is easier to deconstruct by disruption processes. Thus, one can assume that T. suecica possess a weaker cellular structure than N. oceanica. These results are in accordance to those that compared the resistance to shear damage between Chlorella vulgaris, Neochloris oleoabundans and Tetraselmis suecica [7], demonstrating a higher resistance of N. oleoabundans, followed by C. vulgaris and lastly T. suecica.
Concerning the TLE, a significant increase was noticed with 0.4 mm beads for the two microalgae. For N. oceanica, which is richer in lipids, the TLE value for the control sample was of 38 ± 1% (%DW). After three grinding cycles, a TLE of 43 ± 1% (%DW) is reached. Although the increase remains low, herein we almost reach the total lipid content reported by the supplier (46%) for this microalgae strain. Since the TLE of the control sample is already high, one would think that the cell wall membrane became more permeable during the freezing process, which facilitated the release of lipids during solvent extraction. No significant increase in the TLE is noticed with 1.25 mm beads.
For T. suecica, the TLE varies from 3 ± 1% (%DW) for the control to 13 ± 1% (%DW) for a grinding with 0.4 mm beads, from the first grinding cycle. A same value of TLE is obtained with 1.25 mm beads, after three grinding cycles. The bead milling process improved the extraction of lipids by solvents, reaching the maximal content of lipids that can be extracted from this microalga, according to the supplier.
3.2. Effect of the Microwave Process on the Lipid Recovery
A CCF design with two factors at three levels has been carried out to optimize the cell disruption of microalgae by microwaves. The response studied is the total lipids extracted (TLE) after treatment. As indicated in Section 2.2.2, a power of 100 W is given as a set point. The independent variables studied are the temperature applied to the suspension of microalgae and the time of treatment.
Quadratic models were used to predict the TLE for N. gaditana and N. oceanica during microwave treatment. The non-significant coefficients (p > 0.05) (Supplementary data. Figures S1, S2) were removed to obtain reduced models (Supplementary data. Tables S2, S5). TLE can be predicted by Equation (4) for N. gaditana and Equation (5) for N. oceanica.
with R2 = 0.914 and R2adj = 0.893
with R2 = 0.980 and R2adj = 0.956
The temperature and its quadratic term have a significant and positive effect on the TLE, while the treatment time and the interaction term between the two factors have no effect on TLE from N. gaditana (Equation (4)). Thus, greater exposure time will not result in higher lipids extraction and high temperature was enough to destabilize the cell membrane and improve lipid extraction even applied few minutes, under the operating conditions of this study. This cell wall distortion and collapse of some cells due to microwaves was already observed by scanning electron microscopy after applying a microwave treatment at 100 °C for 5 min of a suspension of C. vulgaris [17].
The temperature and its quadratic term have significant effect, but the latter has a negative impact on TLE from N. oceanica (Equation (5)). A possible degradation on lipids can be induced at higher temperatures [21]. The interaction term and the quadratic term of the treatment time are significant and have a positive effect on TLE from N. oceanica.
The determination coefficients for both models are superior to 0.9, and the two models show a good correlation between the experimental data and the predicted data. The models were statistically assessed using analysis of variance (ANOVA) (Supplementary data. Tables S3, S6). The first F-test performed corresponds to a comparison between the variance of the regression and the variance of the model residuals. P-values are less than 0.05 for the two strains which indicates a validation of the model. The second F-test performed corresponds to a comparison between the replicate error and the model error. P-values obtained are equal to 0.734 for N. gaditana and 0.432 for N. oceanica which indicates a good fit of experimental data to the values predicted by the models.
The contour plots presenting the evolution of the TLE according to the temperature and treatment time for N. gaditana and N. oceanica are shown in Figure 3.
Figure 3.
Contour plot of treatment time and temperature on the TLE for (a) N. gaditana and (b) N. oceanica during microwave process. TLE (Total Lipid Extracted); t (time); Temp (Temperature).
For N. gaditana (Figure 3a), the TLE evolves in vertical bands, which confirms that the treatment time factor has no effect on the content of extracted lipids. For this strain, the optimal operating conditions for the microwave treatment are 100 °C and 5 min. These conditions make it possible to recover the highest lipid content (17.7 ± 0.2 %DW); a significant increase of 4% is noticed in comparison with the control. For N. oceanica (Figure 3b,) the parabolic shape of the curves shows the effect of the quadratic term of the temperature. Two areas with a high TLC appear for opposite values of temperature demonstrate the contradictory effects of the term temperature (positive effect) and its quadratic term (negative effect). However, the model made it possible to define a single optimum area. The optimal operating conditions for the microwave process are 25 min and 91 °C. These conditions allow to obtain 49 ± 1%DW of lipids extracted. An increase of 8% is noticed in comparison with the control.
New experiments were carried out under these conditions to validate the models (Table 4).
Table 4.
Validation of the prediction models by comparison with new experiments.
An increased in TLE of 22 ± 8 % is observed while the model predicts an increase of 25 ± 5% for N. gaditana. Concerning N. oceanica, the model predicts an increase of 16 ± 2% whereas we observe 22 ± 4% of increase in TLE. Student tests were performed, and non-significant differences were found between the predicted and observed values (p > 0.05).
Concerning T. suecica, the two factors did not have a significant effect (p > 0.05) on the TLE in the range of values studied (Supplementary data. Figure S3). In addition, no significant difference on the TLE was found between the values of the samples treated with microwaves and the control (Supplementary data. Tables S7, S8). These results suggest that the microwave process is not an efficient technology to improve lipid extraction from T. suecica.
The results obtained reveal that the different species of microalgae react differently to the microwave process. This confirms the importance of optimizing the operating conditions for each microalga. In this study, for the two strains of Nannochloropsis genus, microwaves facilitated the recovery of lipids. However, although these strains are of the same genus, a difference is observed in the values of the operating conditions necessary to reach a maximum in TLE. However, this technology has been shown ineffective in increasing lipid recovery from T. suecica. These results are in agreement with the literature where it has been shown that the microwave process can be an optimal pretreatment method to increase lipid recovery and that the optimal conditions of the microwave process differ depending on the strain studied [14,26,30,31].
3.3. Effect of the Ultrasound Process on the Lipid Recovery
A CCF design with two factors at three levels has then been carried out to optimize the cell disruption of microalgae by ultrasound. The response studied is the recovery of lipids after treatment. As indicated in Section 2.2.3, a power of 130 W and a frequency of 20 kHz were used. The independent variables studied are the amplitude applied to the suspension of microalgae and the time of treatment.
First order polynomial models were applied to predict the TLE for N. gaditana and N. oceanica during ultrasound treatment. The non-significant coefficients (p > 0.05) (Supplementary data. Figures S4, S5, S6) were removed to obtain reduced models (Supplementary data. Tables S10, S13) to predict the TLE from N. gaditana (Equation (6)) and from N. oceanica (Equation (7)).
with R2 = 0.900 and R2adj = 0.875
with R2 = 0.861 and R2adj = 0.826
For N. gaditana and N. oceanica, the amplitude and the treatment time have a significant and positive effect on the TLE. The interaction between the two factors and each quadratic term have no significant effect on TLE. The models were statistically assessed using analysis of variance (ANOVA) (Supplementary data. Tables S11, S14). The first F-test performed corresponds to a comparison between the variance of the regression and the variance of the model residuals. P-values are less than 0.05 for the two strains which indicates a validation of the model. P-values of the second F-test are equal to 0.554 for N. gaditana and to 0.622 for N. oceanica which indicates a good fit of experimental data to the values predicted by the models.
The contour plots presenting the evolution of the TLC according to the power amplitude and the treatment time for N. gaditana and N. oceanica are shown in Figure 4.
Figure 4.
Contour plot of treatment time and amplitude on the TLE for (a) N. gaditana and (b) N. oceanica during ultrasound process. TLE (Total Lipid Extracted); t (time); Amp (Amplitude).
The TLE rises progressively when the treatment time and the ultrasound amplitude increase (Figure 4a,b). According to Equations (6) and (7), both factors contribute equally to the determination of the TLE. The highest values of TLE are obtained for the maximal values of the factors. Thus, the optimal operating conditions for the ultrasound treatment are an amplitude of 80% during 30 min for both microalgae. These conditions make it possible to extract the highest lipid value: 21.7 ± 0.5%DW (i.e., an increase of 8% in comparison with the control for N. gaditana) and 45.4 ± 0.6% DW (i.e., an increase of 6% for N. oceanica).
As well as for microwave, new experiments were carried out under the optimal conditions to validate the models for the ultrasound-assisted extraction (Table 4). An increased in TLE of 45 ± 8% is observed while the model predicts an increase of 53 ± 6% for N. gaditana. Concerning N. oceanica, the model predicts an increase of 20 ± 3% whereas we observe a 15 ± 3% increase. Student tests were performed, and non-significant differences were found between the predicted and observed values (p > 0.05).
Concerning T. suecica, the treatment time and the ultrasound amplitude have no significant effect on the TLE in the range of values studied (Supplementary data. Figure S6). Nevertheless, a significant increase of the TLE of 9% is noticed. Indeed, the average over all the experiments is equal to 10.9 ± 0.4%DW whereas the control is equal to 1.7% ± 0.3%DW (Supplementary data. Table S15). Thus, the operating conditions of the ultrasound process will be the minimum values of the factors, i.e., 50% of amplitude during 10 min.
The ultrasound process was found to be effective in increasing the recovery of lipids from the three strains of microalgae. Indeed, for the two strains of Nannochloropsis, the maximum TLE was reached for the highest amplitude and treatment time in the range of values studied. For T. suecica, the optimum was obtained for lower values of amplitude and treatment time. Therefore, as for the microwave process, the optimization of the operating conditions of the ultrasound process to maximize the TLE depends on the strain studied. These results are in agreement with Alhattab et al. (2019), who showed the significant influence of the composition of the cell wall of microalgae and the operating conditions on the effectiveness of sonication as a disruption technique [21]. Indeed, Nannochloropsis strains have a stronger cell wall than that of T. suecica. In conclusion, the operating conditions of the ultrasound process necessary to release the maximum lipid content of Nannochloropsis are the maximum values of the space studied, whereas lower values are recommended for T. suecica.
3.4. Effect of Cell Disruption Processes on the Fatty Acid Profile
Previously, only the TLE was measured to optimize the disruption processes. However, the determination of the FAP also seems relevant as such information can help to choose the most profitable application for the microalgae according to their composition in lipids. For example, palmitic (C16:0), stearic (C18:0), oleic (C18:1n-9c) and linolenic (ALA-C18:3n-3c) acids are the most common fatty acids (FAs) for biodiesel production from microalgae [15,17]. Unsaturated fatty acids (UFAs) have applications in the chemistry industry for renewable polymeric materials [4,32]. Microalgae species with a high content of PUFAs, and especially those with essential FAs as eicosapentanoeic acid (EPA, C20:5n-3c) and docosahexanoic acid (DHA, C22:6 n-3), have important applications in the nutraceutical industries for the development of functional products [4,33,34].
Figure 5 presents the FAP obtained for the two strains of Nannochloropsis and for T. suecica in optimized conditions with bead milling, microwave and ultrasound processes.
Figure 5.
Fatty acid profile of lipids extracted after cell disruption processes for (a) N. gaditana, (b) N. oceanica and (c) T. suecica. M (Microwave); BM (Bead milling); U (Ultrasound); t (time); Temp (Temperature); Amp (Amplitude); SFAs (Saturated Fatty Acids); UFAs (Unsaturated Fatty Acids). n = 3 replicates.
Lipids extracted from N. gaditana are constituted of six FAs whatever the disruption process used (Figure 5a). Two Saturated Fatty Acids (SFAs-C14:0; C16:0), two mono-unsaturated fatty acids (MUFAs: C16:1-7; C18:1n-9c) and two poly-unsaturated fatty acids (PUFAs: C18:2n-6c; C20:5n-3c) were found.
Similar findings on the FAP have been reported by several authors on both N. gaditana and other species of the genus Nannochloropsis. The main FAs found in these studies are C16:0, C16:1-7 and C20:5n-3c [33,35,36,37,38]. According to the results of an ANOVA, no significant differences are noticed on the content of the 6 FAs between the control and the samples obtained after the disruption processes. FAP does not, therefore, provide information allowing us to favor one of the three disruption methods studied. The potential applications for this microalga could be the production of biodiesel due to its high content in SFAs (around 40%) or the use as food supplements due to a high proportion of EPA (around 20%).
For N. oceanica, the same FAs were found as for N. gaditana but in different proportions (Figure 5b). This indicates that the quantities of FAs found in the genus Nannochloropsis can vary across its different strains [39]. Depending on the disruption process used, significant variations in the palmitic acid (C16: 0) and EPA (C20: 5n-3c) ratios were observed. Palmitic acid is extracted in larger quantities when using bead milling or ultrasound as disruption process, increasing the proportion of SFAs in the extract. The disruption of the internal organelles containing the SFAs was favored by these to processes. Concerning the microwave process, the palmitic acid content obtained is lower than that of the control. Regarding EPA, its content decreases after a bead milling treatment while it increases after a microwave process. The ultrasound process results in the same EPA content as the control.
Thus, for biodiesel application, where lipids with a large amount of SFAs are sought as they provide low viscosity and better quality to biodiesel [40], bead milling and ultrasound will be recommended as disruption process. Concerning other applications, the microwave process will be used to improve the nutritional quality of the lipids thanks to a higher quantity of EPA. However, it should be considered that on an industrial scale, the lipid extraction process can be performed with other solvents and composition of the fatty acids can be modified.
The FAP of T. suecica differs from that of N. gaditana and N. oceanica (Figure 5c). Most FAs are SFAs for the genus Nannochloropsis, while for T. suecica, the UFAs are present in larger quantities. Indeed, linolenic acid (ALA-C18:3n-3c) in higher proportions as well as the absence of the myristic acid (C14:0) were observed. In addition, a higher proportion of about 30% of oleic acid (C18:1n-9c) is noticed.
Variations on the FAP were observed according to the disruption technology applied. The SFA C16:0 is found in high proportion in suspensions treated with bead milling. A decrease of the proportion of the linoleic acid (LA-C18:2n-6c) and the linolenic acid (ALA-C18:3n-3c) is also observed with bead milling process. These results suggest that bead milling process could be an appropriate method to release lipids from T. suecica for biodiesel applications, due to the high proportion of palmitic (C16:0), oleic (C18:1n-9c), and linolenic (ALA-C18:3n-3c) FAs. Concerning the microwave- and ultrasound-assisted processes, as they favor the release of UFAs, they should be used if the lipids are intended for nutraceutical, cosmetic or pharmaceutical applications.
In conclusion, these results show that the effect of the three disruption processes is different on the microalgae cells. Bead milling is assumed to breakdown the internal organelles of energy reserve containing the SFAs, while microwaves and ultrasound would destroy the cell membranes, thus releasing the polar FAs characteristics of this structure.
The field of application can also be a constraint. For instance, for biodiesel applications, a higher proportion of SFAs than UFAS will be preferred. In this case, for T. suecica, it would be recommended to apply bead milling despite the significant energy consumption (Section 3.5). Indeed, with bead milling, 20% more of SFAs are released compared to the ultrasound treatment. For nutritional applications where significant proportions of UFAs are sought, ultrasound assisted process is the most interesting except for N. oceanica. Indeed, microwaves can increase the proportion of UFAs by 9% compared ultrasound.
3.5. Evaluation of the Energy Consumption for the Cell Disruption Processes
The choice of the most suitable disruption process for lipid recovery will not be based solely on the TLE but also on an energy criterion. This criterion is the specific energy consumption (SEC) and corresponds to the total electricity requirements according to the lipids extracted in kWh/g lipids. The SEC and the TLE are presented in Figure 6 according to the microalgae studied and the disturbance process. The operating conditions of the disruption processes used for the calculations are those determined previously.
Figure 6.
Specific energy consumption and total lipids extracted according to the cell disruption process for N. gaditana, N. oceanica and T. suecica. Bead Milling-N. gaditana (BM-Ng): 4 cycles; HFR; ZrO2; dGm = 0.40 mm; Microwaves-N. gaditana (M-Ng): Temp = 100 °C; t = 5 min); Ultrasound-N. gaditana (U-Ng): Amp = 80%; t = 30 min; Bead Milling-N. oceanica (BM-No): 3 cycles; HFR; ZrO2; dGm = 0.40 mm; Microwaves-N. oceanica (M-No): Temp = 91 °C; t = 25 min); Ultrasound-N. oceanica (U-No): Amp = 80%; t = 30 min; Bead Milling-T. suecica (BM-Ts): 3 cycles; HFR; ZrO2; dGm = 0.40 mm; Ultrasound-T. suecica (U-Ts): Amp = 50%; t = 10 min.
Among the three disruption processes tested, the bead milling is the most energy-consuming process. For N. gaditana and T. suecica, the lipid yields are less than 20% and induce SECs of 0.73 and 0.77 kWh.g−1 lipids, respectively. For N. oceanica, the energy consumption is lower since a greater amount of lipids has been recovered (42.9%DW, 3 and 14 times higher than that of N. gaditana and T. suecica.) with a corresponding SEC equal to 0.23 kWh.g−1 lipids.
Concerning the ultrasound process, the SEC is lower than for the bead milling for a same level of extracted lipids. A critical parameter for the SEC of the ultrasound process is the treatment time. Indeed, despite a low TLE of 10.9%DW, the lowest SEC (0.06 kWh.g−1 lipids) corresponds to the lowest sonication time (10 min for T. suecica). For N. gaditana and N. oceanica, the treatment time is 30 min with a same amplitude. The SEC of N. oceanica (0.09 kWh.g−1 lipids) is less than this of N. gaditana (0.18 kWh.g−1 lipids) due to a very high value of TLE for N. oceanica (45.4%DW) in comparison of this of N. gaditana (21.7%DW).
Considering N. gaditana, for which the TLE is the same for the two processes, the SECs obtained for the microwave process are lower than that of the bead milling one. On the contrary, comparing the SECs between ultrasound and microwave processes is difficult as it depends on the percentage of lipids extracted. Despite a different microwave application time, identical SEC values were obtained for N. oceanica and N. gaditana. The increase in SEC generated by a long treatment time can be offset by a high level of extracted lipids. Thus, for N. gaditana, microwaves were applied 5 min to obtain 17.7%DW of lipids, the SEC corresponding is equal to 0.15 kWh.g−1 lipids. For N. oceanica, the application time is 25 min and the TLE 49%DW, the SEC determined is equal to 0.16 kWh.g−1 lipids.
The most suitable disruption process for each microalga can be determined according to the objective set. To maximize lipid content, a treatment by ultrasound will be recommended only for N. gaditana. For N. oceanica, the highest TLE is obtained with a microwave treatment. For T. suecica, the bead milling will be the preferred extraction process. However, in a context of sustainable development, a compromise will have to be made between the lipid content and energy consumption. Under such consideration, the bead milling process is no longer competitive with the other two processes. The microwave process will be recommended for N. gaditana and an ultrasound process will be chosen for T. suecica and N. oceanica
4. Conclusions
The efficiency (lipid yield and specific energy consumption) of cell disruption processes for the extraction of lipids varies according to each microalga species and the operating conditions applied. In addition, the fatty acid profile for the same microalgae species can change depending on the disruption process applied. Thus, it is also an important criterion for the choice of a disruption technology. On a laboratory scale, bead milling is the least efficient process in terms of specific energy consumption among those studied. Microwaves and ultrasound showed promising results in terms of lipid extraction efficiency and specific energy consumption. However, their scaling up for the treatment of microalgae remains currently far below bead milling.
Supplementary Materials
The following are available online at https://www.mdpi.com/2227-9717/9/2/369/s1.
Author Contributions
Investigation, M.C.Q.-S., G.D.-B. and G.W.; Formal analysis, N.P.; supervision, I.I.; writing—original draft, M.C.Q.-S.; writing—review and editing, I.I., Funding acquisition, F.A. All authors have read and agreed to the published version of the manuscript.
Funding
This research was funding by the financial support of the European Regional Development Fund (ERDF) under the Interreg France-Wallonia-Vlaanderen program and in the framework of the ALPO project Polymer Materials from Microalgae Biomass. The authors also thank the Region Grand Est, the Conseil Départemental de la Marne and the Grand Reims for their financial support.
Informed Consent Statement
Not applicable.
Data Availability Statement
Data is contained within the article or supplementary material.
Acknowledgments
The authors also thank Luc Marchal for allowing us to carry out the bead milling tests at the GEPEA laboratory (Laboratoire de Génie des Procédés-Environnement-Agro-alimentaire) and his scientific advice.
Conflicts of Interest
The authors declare no conflict of interest. The funders had no role in the design of the study; in the collection, analyses, or interpretation of data; in the writing of the manuscript, or in the decision to publish the results.
Abbreviations
| Amp Amplitude (%) |
| BM Bead milling |
| BM-Ng Bead milling for N. gaditana |
| BM-No Bead milling for N. oceanica |
| BM-Ts Bead milling for T. suecica |
| CCF Composite face centered |
| dGm Beads diameter (mm) |
| FAP Fatty Acid Profile |
| FAs Fatty acids |
| FR Flow rate (mL.min−1) |
| HFR High Flow Rate (mL.min−1) |
| LFR Low Flow Rate (mL.min−1) |
| M Microwaves |
| M-Ng Microwaves for N. gaditana |
| M-No Microwaves for N. oceanica |
| MUFAs Mono unsaturated fatty acids |
| PUFAs Poly unsaturated fatty acids |
| SEC Specific Energy Consumption |
| SFAs Saturated fatty acids |
| t time (min) |
| Temp Temperature (°C) |
| TFA Total fatty acids |
| TLE Total lipid extracted (% DW) |
| u Rotational speed [m.s−1] |
| U Ultrasound |
| U-Ng Ultrasound for N. gaditana |
| U-No Ultrasound for N. oceanica |
| U-Ts Ultrasound for T. suecica |
| UFAs Unsaturated Fatty Acids |
| ϕGM Grinding filling volume (%) |
References
- Khan, M.I.; Shin, J.H.; Kim, J.D. The promising future of microalgae: Current status, challenges, and optimization of a sustainable and renewable industry for biofuels, feed, and other products. Microb. Cell Fact. 2018, 17, 36. [Google Scholar] [CrossRef]
- Chew, K.W.; Yap, J.Y.; Show, P.L.; Suan, N.H.; Juan, J.C.; Ling, T.C.; Lee, D.J.; Chang, J.S. Microalgae biorefinery: High value products perspectives. Bioresour. Technol. 2017, 229, 53–62. [Google Scholar] [CrossRef]
- Vanthoor-Koopmans, M.; Wijffels, R.H.; Barbosa, M.J.; Eppink, M.H.M. Biorefinery of microalgae for food and fuel. Bioresour. Technol. 2013, 135, 142–149. [Google Scholar] [CrossRef] [PubMed]
- Chisti, Y. Biodiesel from microalgae beats bioethanol. Trends Biotechnol. 2008, 26, 126–131. [Google Scholar] [CrossRef]
- Li, X.; Přibyl, P.; Bišová, K.; Kawano, S.; Cepák, V.; Zachleder, V.; Čížková, M.; Brányiková, I.; Vítová, M. The microalga Parachlorella kessleri--A novel highly efficient lipid producer. Biotechnol. Bioeng. 2013, 110, 97–107. [Google Scholar] [CrossRef] [PubMed]
- Clavijo Rivera, E.; Montalescot, V.; Viau, M.; Drouin, D.; Bourseau, P.; Frappart, M.; Monteux, C.; Couallier, E. Mechanical Cell Disruption of Parachlorella kessleri microalgae: Impact on lipid fraction composition. Bioresour. Technol. 2018, 256, 77–85. [Google Scholar] [CrossRef] [PubMed]
- Postma, P.R.; Suarez-Garcia, E.; Safi, C.; Yonathan, K.; Olivieri, G.; Barbosa, M.J.; Wijffels, R.H.; Eppink, M.H.M. Energy efficient bead milling of microalgae: Effect of bead size on disintegration and release of proteins and carbohydrates. Bioresour. Technol. 2017, 224, 670–679. [Google Scholar] [CrossRef] [PubMed]
- Dixon, C.; Wilken, L.R. Green microalgae biomolecule separations and recovery. Bioresour. Bioprocess. 2018, 5, 14. [Google Scholar] [CrossRef]
- Günerken, E.; D’Hondt, E.; Eppink, M.H.M.; Garcia-Gonzalez, L.; Elst, K.; Wijffels, R.H. Cell disruption for microalgae biorefineries. Biotechnol. Adv. 2015, 33, 243–260. [Google Scholar] [CrossRef]
- Lee, S.Y.; Cho, J.M.; Chang, Y.K.; Oh, Y.K. Cell disruption and lipid extraction for microalgal biorefineries: A review. Bioresour Technol. 2017, 244, 1317–1328. [Google Scholar] [CrossRef]
- Roux, J.M.; Lamotte, H.; Achard, J.L. An Overview of Microalgae Lipid Extraction in a Biorefinery Framework. Energy Procedia 2017, 112, 680–688. [Google Scholar] [CrossRef]
- Schwenzfeier, A.; Wierenga, P.A.; Gruppen, H. Isolation and characterization of soluble protein from the green microalgae Tetraselmis sp. Bioresour. Technol. 2011, 102, 9121–9127. [Google Scholar] [CrossRef]
- Montalescot, V.; Rinaldi, T.; Touchard, R.; Jubeau, S.; Frappart, M.; Bourseau, P.; Marchal, L. Optimization of bead milling parameters for the cell disruption of microalgae: Process modeling and application to Porphyridium cruentum and Nannochloropsis oculata. Bioresour. Technol. 2015, 196, 339–346. [Google Scholar] [CrossRef]
- Sati, H.; Mitra, M.; Mishra, S.; Baredar, P. Microalgal lipid extraction strategies for biodiesel production: A review. Algal. Res. 2019, 38, 101413. [Google Scholar] [CrossRef]
- Kapoore, R.; Butler, T.; Pandhal, J.; Vaidyanathan, S. Microwave-Assisted Extraction for Microalgae: From Biofuels to Biorefinery. Biology 2018, 7, 18. [Google Scholar] [CrossRef]
- Prabakaran, P.; Ravindran, A.D. A comparative study on effective cell disruption methods for lipid extraction from microalgae. Lett. Appl. Microbiol. 2011, 53, 150–154. [Google Scholar] [CrossRef]
- Zheng, H.; Yin, J.; Gao, Z.; Huang, H.; Ji, X.; Dou, C. Disruption of Chlorella vulgaris cells for the release of biodiesel-producing lipids: A comparison of grinding, ultrasonication, bead milling, enzymatic lysis, and microwaves. Appl. Biochem. Biotechnol. 2011, 164, 1215–1224. [Google Scholar] [CrossRef] [PubMed]
- Šoštarič, M.; Klinar, D.; Bricelj, M.; Golob, J.; Berovič, M.; Likozar, B. Growth, lipid extraction and thermal degradation of the microalga Chlorella vulgaris. New Biotechnol. 2012, 29, 325–331. [Google Scholar] [CrossRef]
- Pohndorf, R.S.; Camara, Á.S.; Larrosa, A.P.Q.; Pinheiro, C.P.; Strieder, M.M.; Pinto, L.A.A. Production of lipids from microalgae Spirulina sp.: Influence of drying, cell disruption and extraction methods. Biomass Bioenergy 2016, 93, 25–32. [Google Scholar] [CrossRef]
- Scholz, M.J.; Weiss, T.L.; Jinkerson, R.E.; Jing, J.; Roth, R.; Goodenough, U.; Posewitz, M.C.; Gerken, H.G. Ultrastructure and composition of the Nannochloropsis gaditana cell wall. Eukaryot. Cell 2014. [Google Scholar] [CrossRef] [PubMed]
- Alhattab, M.; Kermanshahi-Pour, A.; Brooks, M.S.L. Microalgae disruption techniques for product recovery: Influence of cell wall composition. J. Appl. Phycol. 2019, 31, 61–88. [Google Scholar] [CrossRef]
- Enzing, C.; Ploeg, M.; Barbosa, M.; Sijtsma, L. Microalgae-based products for the food and feed sector: An outlook for Europe. JRC Sci. Policy Rep. Eur. Com. 2014, 82. [Google Scholar] [CrossRef]
- Kermanshahi-pour, A.; Sommer, T.J.; Anastas, P.T.; Zimmerman, J.B. Enzymatic and acid hydrolysis of Tetraselmis suecica for polysaccharide characterization. Bioresour. Technol. 2014, 173, 415–421. [Google Scholar] [CrossRef]
- Kwade, A.; Schwedes, J. Wet Grinding in Stirred Media Mills. In Handbook of Powder Technology; Salman, A.D., Ghadiri, M., Hounslow, M.J., Eds.; Elsevier Science B.V.: Braunschweig, Germany, 2007; pp. 251–382. [Google Scholar]
- Doucha, J.; Lívanský, K. Influence of processing parameters on disintegration of Chlorella cells in various types of homogenizers. Appl. Microbiol. Biotechnol. 2008, 81, 431–440. [Google Scholar] [CrossRef] [PubMed]
- Pan, Z.; Huang, Y.; Wang, Y.; Wu, Z. Disintegration of Nannochloropsis sp. cells in an improved turbine bead mill. Bioresour. Technol. 2017, 245, 641–648. [Google Scholar] [CrossRef] [PubMed]
- Lee, J.Y.; Yoo, C.; Jun, S.Y.; Ahn, C.Y.; Oh, H.M. Comparison of several methods for effective lipid extraction from microalgae. Bioresour. Technol. 2010, 101, S75–S77. [Google Scholar] [CrossRef] [PubMed]
- Bligh, E.G.; Dyer, W.J. A rapid method of total lipid extraction and purification. Can. J. Biochem. Physiol. 1959, 37, 911–917. [Google Scholar] [CrossRef]
- Meullemiestre, A.; Breil, C.; Abert-Vian, M.; Chemat, F. Microwave, ultrasound, thermal treatments, and bead milling as intensification techniques for extraction of lipids from oleaginous Yarrowia lipolytica yeast for a biojetfuel application. Bioresour. Technol. 2016, 211, 190–199. [Google Scholar] [CrossRef]
- Biller, P.; Friedman, C.; Ross, A.B. Hydrothermal microwave processing of microalgae as a pre-treatment and extraction technique for bio-fuels and bio-products. Bioresour. Technol. 2013, 136, 188–195. [Google Scholar] [CrossRef]
- Teo, C.L.; Idris, A. Enhancing the various solvent extraction method via microwave irradiation for extraction of lipids from marine microalgae in biodiesel production. Bioresour. Technol. 2014, 171, 477–481. [Google Scholar] [CrossRef]
- Lligadas, G.; Ronda, J.C.; Galià, M.; Cádiz, V. Renewable polymeric materials from vegetable oils: A perspective. Mater Today 2013, 16, 337–343. [Google Scholar] [CrossRef]
- Pieber, S.; Schober, S.; Mittelbach, M. Pressurized fluid extraction of polyunsaturated fatty acids from the microalga Nannochloropsis oculata. Biomass Bioenergy 2012, 47, 474–482. [Google Scholar] [CrossRef]
- Millao, S.; Uquiche, E. Extraction of oil and carotenoids from pelletized microalgae using supercritical carbon dioxide. J. Supercrit. Fluids 2016, 116, 223–231. [Google Scholar] [CrossRef]
- Jiménez Callejón, M.J.; Robles Medina, A.; Macías Sánchez, M.D. Extraction of saponifiable lipids from wet microalgal biomass for biodiesel production. Bioresour. Technol. 2014, 169, 198–205. [Google Scholar] [CrossRef]
- Castillo López, B.; Esteban Cerdán, L.; Robles Medina, A.; Navarro López, E.; Martín Valverde, L.; Hita Peña, E.; González Moreno, P.A.; Molina Grima, E. Production of biodiesel from vegetable oil and microalgae by fatty acid extraction and enzymatic esterification. J. Biosci. Bioeng. 2015, 119, 706–711. [Google Scholar] [CrossRef] [PubMed]
- Hita Peña, E.; Robles Medina, A.; Jiménez Callejón, M.J.; Macías Sánchez, M.D.; Cerdán, L.E.; González Moreno, P.A.; Molina Grima, E. Extraction of free fatty acids from wet Nannochloropsis gaditana biomass for biodiesel production. Renew Energy 2015, 75, 366–373. [Google Scholar] [CrossRef]
- Navarro López, E.; Robles Medina, A.; González Moreno, P.A.; Jiménez Callejón, M.J.; Cerdán, L.E.; Martín Valverde, L.; Castillo López, B.; Molina Grima, E. Enzymatic production of biodiesel from Nannochloropsis gaditana lipids: Influence of operational variables and polar lipid content. Bioresour. Technol. 2015, 187, 346–353. [Google Scholar] [CrossRef]
- Ma, X.N.; Chen, T.P.; Yang, B.; Liu, J.; Chen, F. Lipid production from Nannochloropsis. Mar. Drugs 2016, 14, 61. [Google Scholar] [CrossRef] [PubMed]
- Wahidin, S.; Idris, A.; Shaleh, S.R.M. Rapid biodiesel production using wet microalgae via microwave irradiation. Energy Convers. Manag. 2014, 84, 227–233. [Google Scholar] [CrossRef]
Publisher’s Note: MDPI stays neutral with regard to jurisdictional claims in published maps and institutional affiliations. |
© 2021 by the authors. Licensee MDPI, Basel, Switzerland. This article is an open access article distributed under the terms and conditions of the Creative Commons Attribution (CC BY) license (http://creativecommons.org/licenses/by/4.0/).





