Copper Oxide Spectral Emission Detection in Chalcopyrite and Copper Concentrate Combustion
Abstract
1. Introduction
2. Spectral Emissions of Iron and Copper Oxides
2.1. Spectral Emission of Iron Oxide
2.2. Spectral Emission of CuOx
3. Methodology
Experimental Setup and Sample Characteristic
4. Results
4.1. Spectral Measurement from Chalcopyrite
4.2. Spectral Measurement from Copper Concentrates
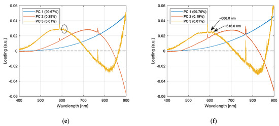
4.3. MCR-ALS Application
5. Conclusions
Author Contributions
Funding
Institutional Review Board Statement
Informed Consent Statement
Data Availability Statement
Acknowledgments
Conflicts of Interest
References
- Bacedoni, M.; Moreno-Ventas, I.; Ríos, G. Copper Flash Smelting Process Balance Modeling. Metals 2020, 10, 1229. [Google Scholar] [CrossRef]
- Sarkikoski, T. A Flash of Knowledge How an Outokumpu Innovation Became a Culture, 1st ed.; Outokumpu Oyj: Espoo, Finland, 1999; ISBN 978-952-9507-07-8. [Google Scholar]
- Jiang, K.; Li, L.; Feng, Y. The Development of China’s Copper Primary Smelting Technology. In T.T. Chen Honorary Symposium on Hydrometallurgy, Electrometallurgy and Materials Characterization; John Wiley & Sons, Inc.: Hoboken, NJ, USA, 2012; pp. 165–176. [Google Scholar]
- Coursol, P.; Mackey, P.J.; Kapusta, J.P.T. Energy Consumption in Copper Smelting: A New Asian Horse in the Race. JOM 2015, 67, 1066–1074. [Google Scholar] [CrossRef]
- Jorgensen, F.R.A. Combustion of Pyrite Concentrate under Simulated Flash-Smelting Conditions. Trans. Inst. Min. Metall. 1981, 90, C1–C9. [Google Scholar]
- Tuffrey, N.E.; Richards, G.G.; Brimacombe, J.K. Two-Wavelength Pyrometry Study of the Combustion of Sulfide Minerals: Part I. Apparatus and General Observations. Metall. Mater. Trans. B 1995, 26, 929–942. [Google Scholar] [CrossRef]
- Morgan, G.J.; Brimacombe, J.K. Kinetics of the Flash Converting of MK (Chalcocite) Concentrate. Met. Materi Trans B 1996, 27, 163–175. [Google Scholar] [CrossRef]
- Vaarno, J.; Järvi, J.; Ahokainen, T.; Laurila, T.; Taskinen, P. Development of a Mathematical Model of Flash Smelting and Converting Processes. In Proceedings of the Third Internatianal Conference on CFD in the Minerals and Process Industries, Melbourne, Australia, 10–12 December 2003. [Google Scholar]
- Laurila, T.; Hernberg, R.; Oikari, R.; Joutsenoja, T.; Mikkola, P.; Ranki-Kilpinen, T.; Taskinen, P. Pyrometric Temperature and Size Measurements of Chalcopyrite Particles during Flash Oxidation in a Laminar Flow Reactor. Met. Materi Trans B 2005, 36, 201–208. [Google Scholar] [CrossRef]
- Wilkomirsky, I.; Otero, A.; Balladares, E. Kinetics and Reaction Mechanisms of High-Temperature Flash Oxidation of Molybdenite. Metall. Mater. Trans. B 2010, 41B, 63–73. [Google Scholar] [CrossRef]
- Parra-Figueroa, R.A.; Parra-Sanchez, V.R.; Balladares-Varela, E.R.; Loeza-Arqueros, C.A.; Villagrán-Flores, C.M.; Pérez, M.; Torres, S.N.; Arias, L.E.; Sbárbaro, D. Online Temperature Measurements during Copper Concentrate Flash Combustion at Laboratory Scale by a Spectral Technique. In Proceedings of the Copper 2016, Kobe, Japan, 13–16 November 2016; p. 12. [Google Scholar]
- Arias, L.; Torres, S.; Toro, C.; Balladares, E.; Parra, R.; Loeza, C.; Villagrán, C.; Coelho, P. Flash Smelting Copper Concentrates Spectral Emission Measurements. Sensors 2018, 18, 2009. [Google Scholar] [CrossRef] [PubMed]
- Sun, Y.; Lou, C.; Zhou, H. A Simple Judgment Method of Gray Property of Flames Based on Spectral Analysis and the Two-Color Method for Measurements of Temperatures and Emissivity. Proc. Combust. Inst. 2011, 33, 735–741. [Google Scholar] [CrossRef]
- Marín, M.; Toro, C.; Arias, L.; Balladares, E. Estimation of Spectral Emissivity and S/Cu Ratio From Emissions of Copper Concentrates at the Flash Smelting Process. IEEE Access 2019, 7, 103346–103353. [Google Scholar] [CrossRef]
- Díaz, W.; Toro, C.; Balladares, E.; Parra, V.; Coelho, P.; Reyes, G.; Parra, R. Spectral Characterization of Copper and Iron Sulfide Combustion: A Multivariate Data Analysis Approach for Mineral Identification on the Blend. Metals 2019, 9, 1017. [Google Scholar] [CrossRef]
- Toro, C.; Torres, S.; Parra, V.; Fuentes, R.; Castillo, R.; Díaz, W.; Reyes, G.; Balladares, E.; Parra, R. On the Detection of Spectral Emissions of Iron Oxides in Combustion Experiments of Pyrite Concentrates. Sensors 2020, 20, 1284. [Google Scholar] [CrossRef]
- West, J.B.; Broida, H.P. Chemiluminescence and Photoluminescence of Diatomic Iron Oxide. J. Chem. Phys. 1975, 62, 2566–2574. [Google Scholar] [CrossRef]
- Lynch, P.; Krier, H.; Glumac, N. Emissivity of Aluminum-Oxide Particle Clouds: Application to Pyrometry of Explosive Fireballs. J. Thermophys. Heat Transf. 2010, 24, 301–308. [Google Scholar] [CrossRef]
- Gole, J.L. Toward the Modeling of the Oxidation of Small Metal and Metalloid Molecules. In Gas Phase Metal Reactions; Elsevier: Amsterdam, The Netherlands, 1992; pp. 573–604. ISBN 978-0-444-89070-2. [Google Scholar]
- Knapp, S.; Kelzenberg, S.; Raab, A.; Roth, E.; Weiser, V. Emission Spectroscopy of the Combustion Flame of Aluminium/Copper Oxide Thermite. Propellants Explos. Pyrotech. 2019, 44, 9–17. [Google Scholar] [CrossRef]
- Holst, G.C. CCD Arrays, Cameras, and Displays; JCD Pub; SPIE Optical Engineering: Winter Park, FL, USA; Bellingham, DC, USA, 1998; ISBN 978-0-9640000-4-9. [Google Scholar]
- Zhang, Z.-M.; Chen, S.; Liang, Y.-Z. Baseline Correction Using Adaptive Iteratively Reweighted Penalized Least Squares. Analyst 2010, 135, 1138–1146. [Google Scholar] [CrossRef] [PubMed]
- Toro, C.; Arias, L.; Torres, S.; Sbarbaro, D. Flame Spectra-Temperature Estimation Based on a Color Imaging Camera and a Spectral Reconstruction Technique. Appl. Opt. 2014, 53, 6351–6361. [Google Scholar] [CrossRef] [PubMed]
- Rinnan, Å.; van den Berg, F.; Engelsen, S.B. Review of the Most Common Pre-Processing Techniques for near-Infrared Spectra. TrAC Trends Anal. Chem. 2009, 28, 1201–1222. [Google Scholar] [CrossRef]
- Jaumot, J.; de Juan, A.; Tauler, R. MCR-ALS GUI 2.0: New Features and Applications. Chemom. Intell. Lab. Syst. 2015, 140, 1–12. [Google Scholar] [CrossRef]












| Mineral | Conc. A (wt %) | Conc. B (wt %) | 
|---|---|---|
| CuFeS2 | 32.71 | 66.7 | 
| FeS2 | 45.52 | 16.52 | 
| Cu5FeS4 | 3.23 | 8.35 | 
| CuS | 0.85 | 0.45 | 
| Others | 17.69 | 7.98 | 
| Reactions | |
|---|---|
| 12.19 | |
| 34.79 | |
| −26.36 | |
| −136.46 | |
| −40.82 | |
| −172.52 | 
| Sample | Temperature (°C) | 
|---|---|
| CpyA | 1002.5 | 
| CpyB | 1047.2 | 
| CpyC | 1061.5 | 
| CpyD | 1109.5 | 
| CpyE | 1160.2 | 
| CpyF | 1310.9 | 
| Conc. A | 1485.2 | 
| Conc. B | 1316.8 | 
| Minerals | wt % | 
|---|---|
| Fe2O3/Fe3O4 | 29.87 | 
| FeS2 | 1.09 | 
| CuS | 0.84 | 
| CuO/Cu2O | 39.30 | 
| CuFeS2 | 0.11 | 
| FeS | 0.79 | 
| Cu2S | 2.30 | 
| Cu5FeS4 | 0.95 | 
| SiO2 | 4.32 | 
| FeO | 6.96 | 
| Publisher’s Note: MDPI stays neutral with regard to jurisdictional claims in published maps and institutional affiliations. | 
© 2021 by the authors. Licensee MDPI, Basel, Switzerland. This article is an open access article distributed under the terms and conditions of the Creative Commons Attribution (CC BY) license (http://creativecommons.org/licenses/by/4.0/).
Share and Cite
Reyes, G.; Diaz, W.; Toro, C.; Balladares, E.; Torres, S.; Parra, R.; Vásquez, A. Copper Oxide Spectral Emission Detection in Chalcopyrite and Copper Concentrate Combustion. Processes 2021, 9, 188. https://doi.org/10.3390/pr9020188
Reyes G, Diaz W, Toro C, Balladares E, Torres S, Parra R, Vásquez A. Copper Oxide Spectral Emission Detection in Chalcopyrite and Copper Concentrate Combustion. Processes. 2021; 9(2):188. https://doi.org/10.3390/pr9020188
Chicago/Turabian StyleReyes, Gonzalo, Walter Diaz, Carlos Toro, Eduardo Balladares, Sergio Torres, Roberto Parra, and Alejandro Vásquez. 2021. "Copper Oxide Spectral Emission Detection in Chalcopyrite and Copper Concentrate Combustion" Processes 9, no. 2: 188. https://doi.org/10.3390/pr9020188
APA StyleReyes, G., Diaz, W., Toro, C., Balladares, E., Torres, S., Parra, R., & Vásquez, A. (2021). Copper Oxide Spectral Emission Detection in Chalcopyrite and Copper Concentrate Combustion. Processes, 9(2), 188. https://doi.org/10.3390/pr9020188
 
        






 
       