Separation Characteristics of an Axial Hydrocyclone Separator
Abstract
:1. Introduction
2. Simulation Methods
2.1. Geometric Model and Meshing
2.2. Multiphase Model and Turbulence Model
2.3. Calculation Methods
2.4. Boundary Conditions and Physical Property Parameters
2.4.1. Boundary Conditions
2.4.2. Physical Properties of the Fluids
2.5. The Test and Verify of Grid Independence
3. Results and Discussion
3.1. Velocity Field
3.1.1. Axial Velocity
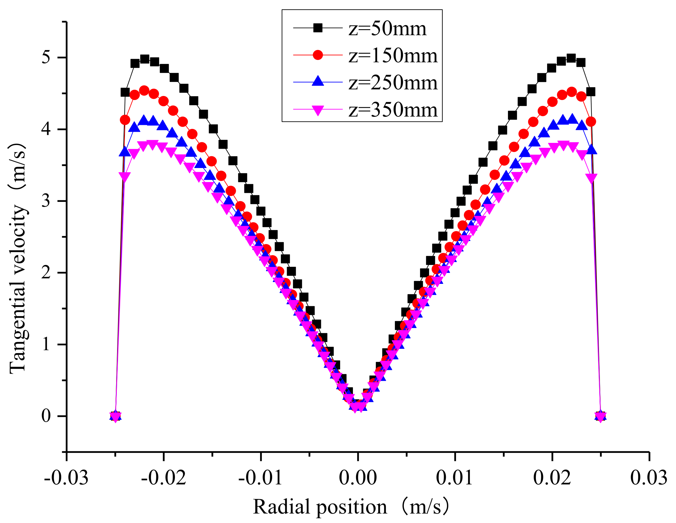
3.1.2. Tangential Velocity
3.2. Pressure Field
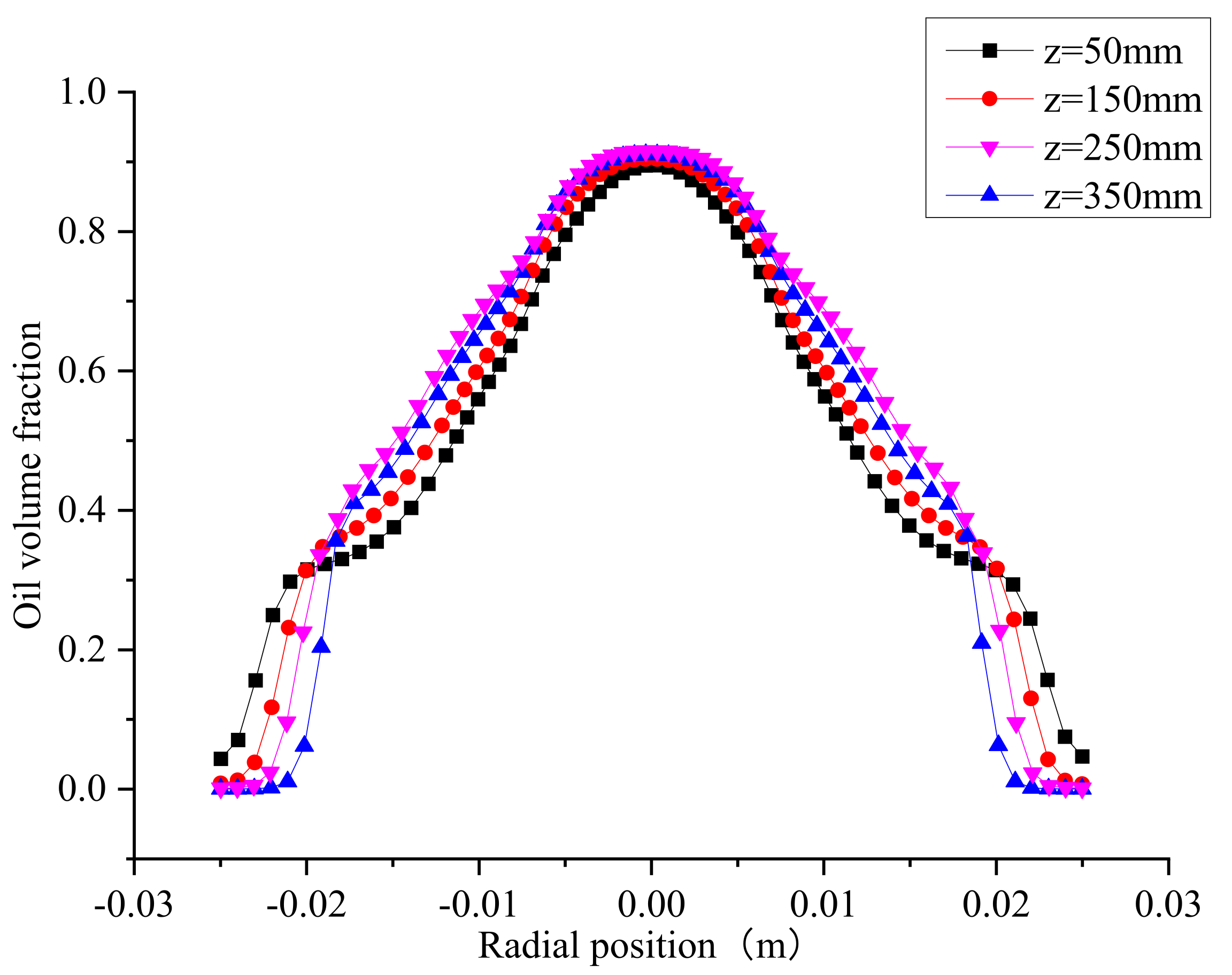
3.3. Concentration Field
4. Conclusions
- (1)
- The effect of the guide vane that causes the swirl flow causes the tangential velocity to first increase and then decrease in the radial direction. The value reaches its minimum in the center. At the same time, the axial velocity increases as the distance to the guide vane increases. The change trend is beneficial for the oil core that begins to accumulate, and the promotion of the oil core results in the fluid flowing out of the overflow tube.
- (2)
- A pressure gradient exists in the downstream area of the guide vane that promotes the lighter oil phase as it moves to the center. The pressure energy turns into the kinetic energy after the fluid flows through the vane, which is advantageous for the separation of oil and water. The pressure drop is large in the water removal section which promotes the water phase to flow out of the slits The pressure in the overflow tube is lower than the pressure in the external area, encouraging the oil phase to flow out of the overflow outlet.
- (3)
- The oil concentration presents a symmetrical distribution, with a high concentration in the middle and a low concentration at the two sides. The oil concentration in the center and the water concentration around the walls gradually increase as the axial distance increases. A stable oil core can be formed at a distance, which indicates that the length of the swirl section should be long enough to ensure the stable oil–water separation.
Author Contributions
Funding
Institutional Review Board Statement
Informed Consent Statement
Data Availability Statement
Conflicts of Interest
References
- Svarovsky, L. Hydrocyclones. In Solid-Liquid Separation, 4th ed.; Butterworth-Heinemann Elsevier Ltd.: Oxford, UK, 2001; pp. 191–245. [Google Scholar]
- Rojas-Solorzano, L.; Reyes, M.; Colmenares, J.; Marín, J.C.; Meléndez, A. Eulerian-Eulerian Modeling of Disperse Two-Phase Flow in a Gas-Liquid Cylindrical Cyclone. In Proceedings of the Asme Heat Transfer/fluids Engineering Summer Conference, Charlotte, NC, USA, 11–15 July 2004. [Google Scholar]
- Vieira, L.G.; Silva, D.O.; Barrozo, M.A. Effect of Inlet Diameter on the Performance of a Filtering Hydrocyclone Separator. Chem. Eng. Technol. 2016, 39, 1406–1412. [Google Scholar] [CrossRef]
- Rocha, A.; Bannwart, A.; Ganzarolli, M.; Quintella, E. Numerical Study of Swirling Flow in a Liquid-Liquid Axial Hydrocyclone Separator. In Proceedings of the 20th International Congress of Mechanical Engineering, Lake Buena Vista, FL, USA, 13–19 November 2009. [Google Scholar]
- Colman, D.; Thew, M. Cyclone separator. 1988. Available online: https://www.freepatentsonline.com/4722796.html (accessed on 26 October 2005).
- Husveg, T.; Rambeau, O.; Drengstig, T.; Bilstad, T. Performance of a deoiling hydrocyclone during variable flow rates. Miner. Eng. 2007, 20, 368–379. [Google Scholar] [CrossRef]
- Young, G.; Wakley, W.; Taggart, D.; Andrews, S.; Worrell, J. Oil-water separation using hydrocyclones: An experimental search for optimum dimensions. J. Pet. Sci. Eng. 1994, 11, 37–50. [Google Scholar] [CrossRef]
- Liu, M.; Chen, J.; Cai Han, Y.; Si, X. Oil-water pre-separation with a novel axial hydrocyclone. Chin. J. Chem. Eng. 2018, 26, 60–66. [Google Scholar] [CrossRef]
- Shi, S.Y.; Xu, J.Y. Flow field of continuous phase in a vane-type pipe oil-water separator. Exp. Therm. Fluid Sci. 2015, 60, 208–212. [Google Scholar] [CrossRef] [Green Version]
- Swanborn, R.A. A New Approach to the Design of Gas-Liquid Separators for the Oil Industry, 3rd ed.; Delft University of Technology: Delft, The Netherlands, 1988. [Google Scholar]
- Dirkzwager, M. A New Axial Cyclone Design for Fluid-Fluid Separation, 4th ed.; Delft University of Technology: Delft, The Netherlands, 1996. [Google Scholar]
- Murphy, S.; Delfos, R.; Pourquie, M.J.B.M.; Olujić, Ž.; Jansens, P.J.; Nieuwstadt, F.T.M. Prediction of strongly swirling flow within an axial hydrocyclone using two commercial CFD codes. Chem. Eng. Sci. 2007, 62, 1619–1635. [Google Scholar] [CrossRef]
- Zhan, M.; Cheng, X.; Yang, W.; Zhang, F.; Guo, P.; Shen, Q. Numerical investigation on the swirler parameters for an axial liquid-liquid hydrocyclone. In IOP Conference Series: Earth and Environmental Science; IOP Publishing: Bristol, UK, 2021; p. 012210. [Google Scholar]
- Hamza, J.; Al-Kayiem, H.; Lemma, T. Experimental Investigation of the Separation Performance of Oil/Water Mixture by Compact Conical Axial Hydrocyclone. Therm. Sci. Eng. Prog. 2020, 17, 100358. [Google Scholar] [CrossRef]
- Song, M.H. Design and Structure Optimization on a New Vane-Guided Hydrocyclone. Master’s Thesis, Northeast Petroleum University, Daqing, China, 2013. [Google Scholar]
- Thew, M. Hydrocyclone redesign for liquid-liquid separation. Chem. Engr. 1986, 7, 17–23. [Google Scholar]
- Lu, Z.H.; Wei, C.D.; Wu, Q.L. Investigation on the Characteristics of Oil-Water Separation in Different Structural Cyclones. National Symposium on Water Dynamics. 2014. Available online: https://kns.cnki.net/kcms/detail/detail.aspx?dbcode=CPFD&dbname=CPFD0914&filename=SLDX201408005021&uniplatform=NZKPT&v=5u1PxGGINZXjpdeU8ZF51dnaCJOV3hGRF7TSxG9_oNhk4czxTkmCQNW0UoYIdSLhcJsewtGM0-8%3d (accessed on 26 October 2005).
- Jin, X.; Jin, Y.; Wang, Z.; Wang, J. Effect of Vessel Geometry on the Separation Performance of the Axial Flow Type Gas-liquid Cyclone Separator. Fluid Machinery. 2008. Available online: https://kns.cnki.net/kcms/detail/detail.aspx?dbcode=CJFD&dbname=CJFD2008&filename=LTJX200801004&uniplatform=NZKPT&v=w_sZ0ZEF0nUIJx1Tm96QDhHilawruyTcfhEw9cg4PiVcgyJsBw9XqojcylQq9y9l (accessed on 26 October 2005).
- Chu, L.; Chen, W. Research on the solid-liquid two-phase flow field in hydrocyclone. Appl. Mech. Mater. 2014, 672–674, 961–967. [Google Scholar]
- FLUENT. User’s Guide; Fluent Inc.: Lebanon, NH, USA, 1998. [Google Scholar]
- Nieuwstadt, F.; Dirkzwager, M. A Fluid Mechanics Model for an Axial Cyclone Separator. Ind. Eng. Chem. Res. 1995, 34, 3399–3404. [Google Scholar] [CrossRef]
- Shi, S.; Wu, Y.; Luo, C. Study about a kind of vane-type pipe separator for oil-water separation. In Proceedings of the 23rd National Water Dynamics Symposium, Xi’an, Shaanxi, China, 19–24 September 2011; p. 10. [Google Scholar]
- Shi, S.; Liu, M.; Luo, C.; Wang, S.; Zhong, X.; Gao, M.; CAS. Preliminary Study about the Structure Optimization of a New Vane-Type of Pipe Separator for Oil-Water Separation; Shipbuilding of China: Shanghai, China, 2012. [Google Scholar]
- You, J.L. Structure Design of Inner-Cone Type Gas-Liquid Cylindrical Cyclone and Its Optimization. Master’s Thesis, Northeast Petroleum University, Daqing, China, 2012. [Google Scholar]
- Narasimha, M.; Sripriya, R.; Banerjee, P. CFD modelling of hydrocyclone—Prediction of cut size. Int. J. Miner. Process. 2005, 75, 53–68. [Google Scholar] [CrossRef]
- Jiang, M.; Yong-Shan, L.; Bao-Rui, X.; Zhao, L. Optimization of Operational Parameters of Three-phase Hydrocyclone for Axial Degassing and Desanding. Chem. Eng. Mach. 2015, 42, 68–71. [Google Scholar]
- Frana, F.; Rosa, E.; Banmvart, A. Hydrodynamic Studies on a Cyclonic Separator. In Proceedings of the Offshore Technology Conference, Houston, TX, USA, 6 May 1996. [Google Scholar]
- Cui, H. Research on the Separation Mechanism and Working Performance of Gas-Water Spiral Separator. Master’s Thesis, Daqing Petroleum Institute, Daqing, China, 2010. [Google Scholar]
- Yan, Z.; Xiang, L.; Dong, T. Simplified calculation of pressure drop in spiral separator. Chem. Eng. 2004, 2004, 24–28. [Google Scholar]
- Miao, Q.; Yuan, H. Test research and analysis on asymmetry of flow within liquid-liquid hydrocyclones. Oil Field Equip. 2005, 2005, 93–95. [Google Scholar]
- Yong, L.; Liu, Z.; Yi, A. A brief introduction to Fluent—A general purpose CFD code. J. Hydrodyn. 2001, 2001, 254–258. [Google Scholar]
















| Grid Number | Separation Efficiency/% | Pressure Drop of Overflow Outlet/MPa | Pressure Drop of Bottom-Flow Outlet/MPa |
|---|---|---|---|
| 524,506 | 87.44 | 0.16 | 0.14 |
| 764,281 | 89.28 | 0.18 | 0.15 |
| 852,458 | 90.12 | 0.18 | 0.15 |
| 1,009,426 | 90.27 | 0.18 | 0.15 |
Publisher’s Note: MDPI stays neutral with regard to jurisdictional claims in published maps and institutional affiliations. |
© 2021 by the authors. Licensee MDPI, Basel, Switzerland. This article is an open access article distributed under the terms and conditions of the Creative Commons Attribution (CC BY) license (https://creativecommons.org/licenses/by/4.0/).
Share and Cite
Kou, J.; Jiang, Z.; Cong, Y. Separation Characteristics of an Axial Hydrocyclone Separator. Processes 2021, 9, 2288. https://doi.org/10.3390/pr9122288
Kou J, Jiang Z, Cong Y. Separation Characteristics of an Axial Hydrocyclone Separator. Processes. 2021; 9(12):2288. https://doi.org/10.3390/pr9122288
Chicago/Turabian StyleKou, Jie, Zhaoming Jiang, and Yiying Cong. 2021. "Separation Characteristics of an Axial Hydrocyclone Separator" Processes 9, no. 12: 2288. https://doi.org/10.3390/pr9122288
APA StyleKou, J., Jiang, Z., & Cong, Y. (2021). Separation Characteristics of an Axial Hydrocyclone Separator. Processes, 9(12), 2288. https://doi.org/10.3390/pr9122288

