Response Surface Methodology (RSM)-Based Prediction and Optimization of the Fenton Process in Landfill Leachate Decolorization
Abstract
:1. Introduction
2. Materials and Methods
2.1. Sampling and Characterization of the Landfill Leachate
2.2. Fenton Experiments
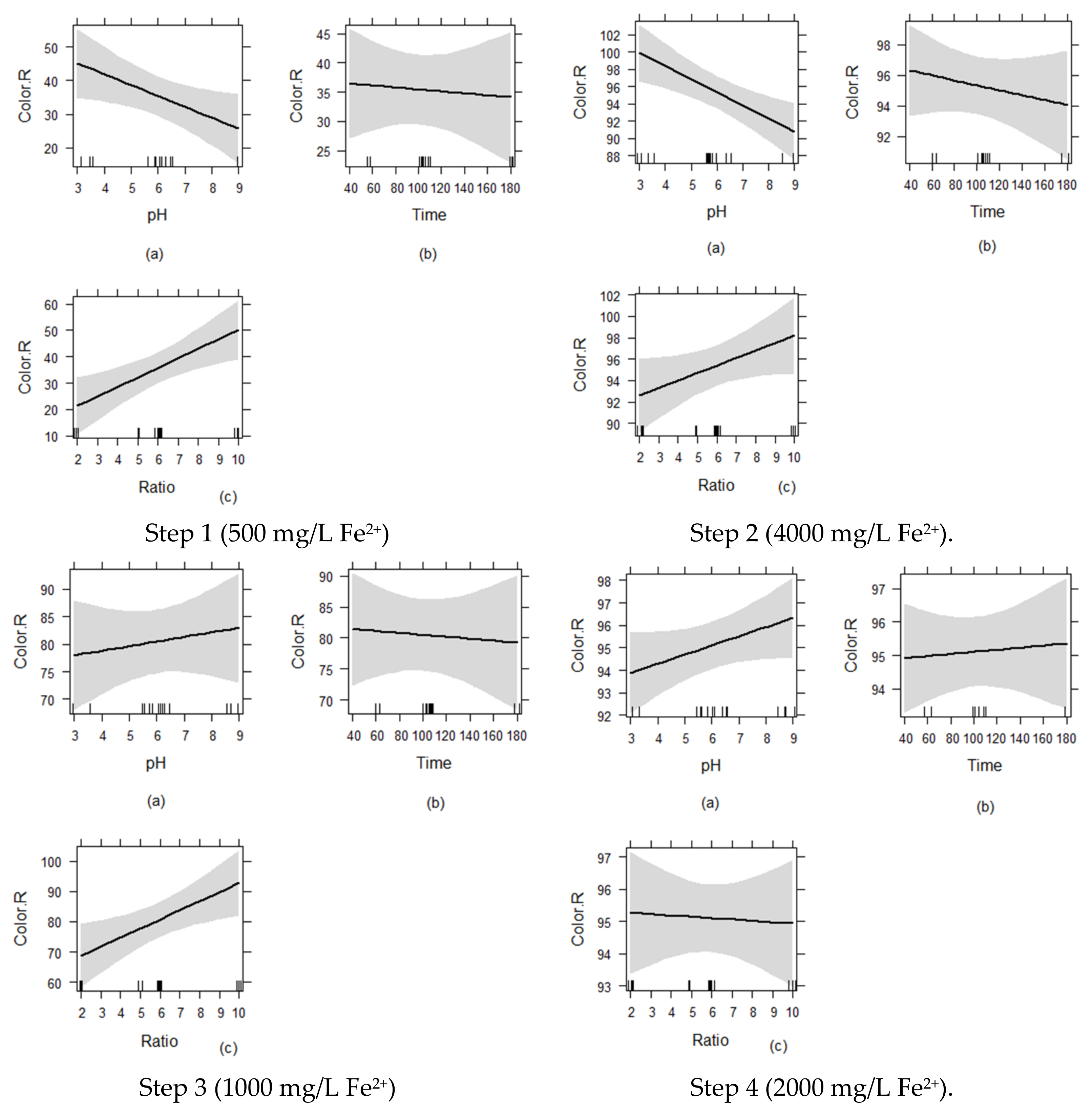
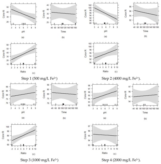
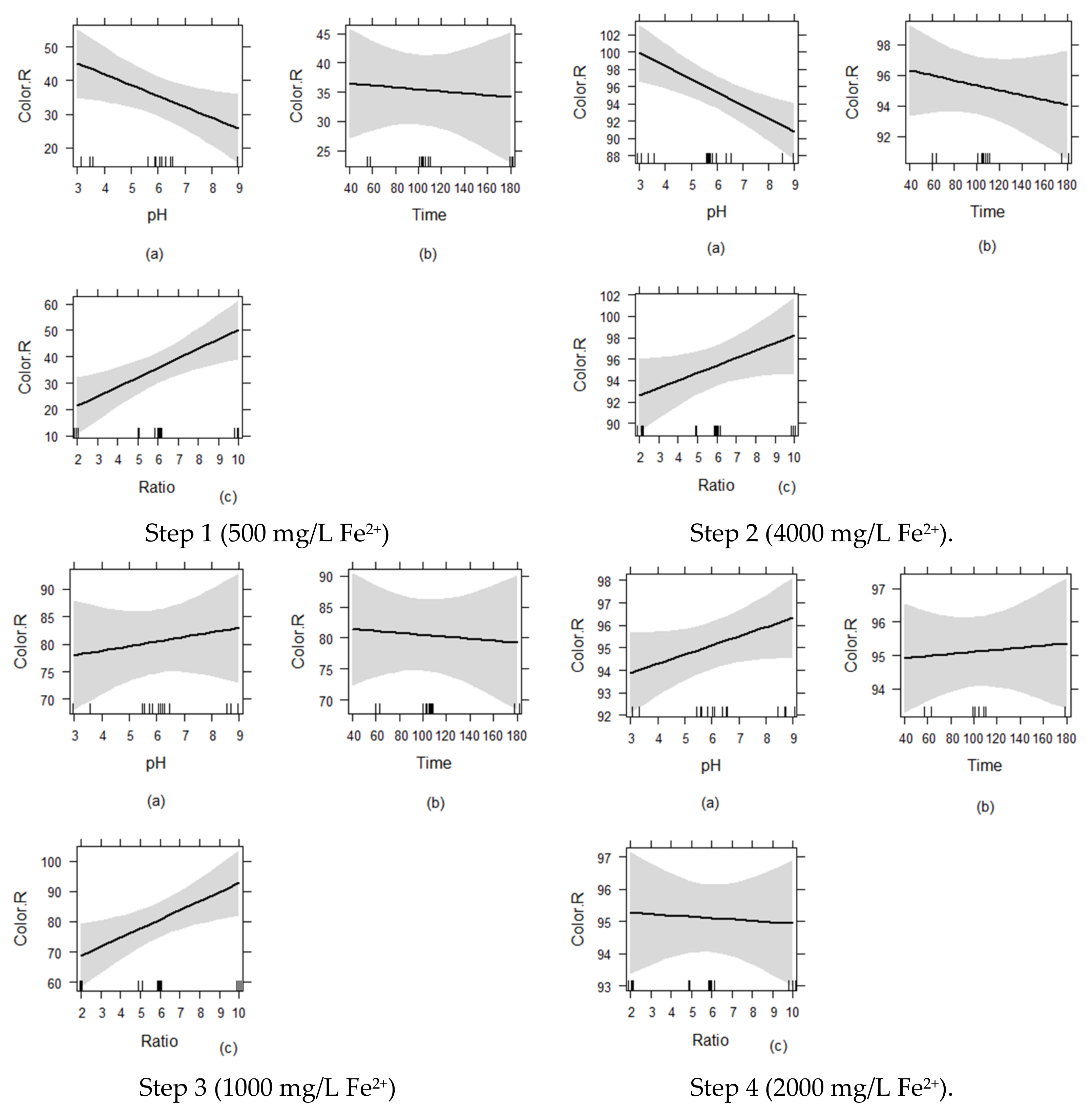
- Step 1: 500 mg/L Fe2+
- Step 2: 4000 mg/L Fe2+
- Step 3: 1000 mg/L Fe2+
- Step 4: 2000 mg/L Fe2+
2.3. Experimental Design and Statistical Model
3. Results and Discussions
3.1. Preliminary Investigation
3.2. Primary Investigation
3.3. Color Removal Efficiency Using the RSM Method
3.4. Regression Models and Statistical Analysis
3.4.1. Perturbation Plot for Color Removal
3.4.2. Three-Dimensional (3D) Response Surfaces and Contour Plots for COD Removal
4. Validation of the Experimental Model at Optimized Conditions
5. Conclusions
Author Contributions
Funding
Institutional Review Board Statement
Informed Consent Statement
Data Availability Statement
Acknowledgments
Conflicts of Interest
References
- Maslahati Roudi, A.; Chelliapan, S.; Wan Mohtar, W.H.M.; Kamyab, H. Prediction and optimization of the fenton process for the treatment of landfill leachate using an artificial neural network. Water 2018, 10, 595. [Google Scholar] [CrossRef] [Green Version]
- Moravia, W.G.; Amaral, M.C.; Lange, L.C. Evaluation of landfill leachate treatment by advanced oxidative process by Fenton’s reagent combined with membrane separation system. Waste Manag. 2013, 33, 89–101. [Google Scholar] [CrossRef] [PubMed]
- Anita, M.R.; Sabariah, B.; Shreeshivadasan, C.; Roudi, A.; Hesam, K.; Mohammad, S. Effect of temperature on theperformance of Porous Membrane Activated Sludge Reactor (PMASR) treating synthetic wastewater. Res. J. Pharm. Biol. Chem. Sci. 2014, 5, 84–100. [Google Scholar]
- Dolatabadi, M.; Świergosz, T.; Ahmadzadeh, S. Electro-Fenton approach in oxidative degradation of dimethyl phthalate-The treatment of aqueous leachate from landfills. Sci. Total. Environ. 2021, 772, 145323. [Google Scholar] [CrossRef]
- Dos Santos Vaz, C.A.; Samanamud, G.L.; da Silva, R.S.; França, A.B.; Quintão, C.M.F.; Urzedo, A.P.; Silva, M.B.; Neto, J.C.B.; Amaral, M.S.; Loures, C.C.A.J. Modeling and optimization of hybrid leachate treatment processes and scale-up of the process. J. Clean. Prod. 2021, 312, 127732. [Google Scholar] [CrossRef]
- Roudi, A.M.; Akhlaghi, E.; Chelliapan, S.; Kaboli, A.; Roudi, A.M.; Aslani, H.; Selvam, S.B. Treatment of Landfill Leachate via Advanced Oxidation Process (AOPs)—A Review. Res. J. Pharm. Biol. Chem. Sci. 2015, 6, 260–271. [Google Scholar]
- Marlina; Iqhrammullah, M.; Saleha, S.; Fathurrahmi; Maulina, F.P.; Idroes, R. Polyurethane film prepared from ball-milled algal polyol particle and activated carbon filler for NH3-N removal. Heliyon 2020, 6, e04590. [Google Scholar] [CrossRef]
- El Mrabet, I.; Ihssane, B.; Valdés, H.; Zaitan, H. Optimization of Fenton process operating conditions for the treatment of the landfill leachate of Fez city (Morocco). Int. J. Environ. Sci. Technol. 2021, 6, 1–14. [Google Scholar] [CrossRef]
- Zolfaghari, M.; Jardak, K.; Drogui, P.; Brar, S.K.; Buelna, G.; Dubé, R. Landfill leachate treatment by sequential membrane bioreactor and electro-oxidation processes. J. Environ. Manag. 2016, 184, 318–326. [Google Scholar] [CrossRef] [Green Version]
- Erkan, H.S.; Apaydin, O. Final treatment of young, middle-aged, and stabilized leachates by Fenton process: Optimization by response surface methodology. Desalination Water Treat. 2015, 54, 342–357. [Google Scholar] [CrossRef]
- Kumar, S.S.; Malyan, S.; Kumar, A.; Bishnoi, N.R. Optimization of Fenton’s Oxidation by Box-Behnken Design of Response Surface Methodology for Landfill Leachate. J. Mater. Environ. Sci. 2016, 7, 4456–4466. [Google Scholar]
- Guvenc, S.Y.; Varank, G. Degradation of refractory organics in concentrated leachate by the Fenton process: Central composite design for process optimization. Front. Environ. Sci. Eng. 2021, 15, 1–16. [Google Scholar]
- Kermani, M.; Shahsavani, A.; Ghaderi, P.; Kasaee, P.; Mehralipour, J. Optimization of UV-Electroproxone procedure for treatment of landfill leachate: The study of energy consumption. J. Environ. Health Sci. Eng. 2021, 19, 81–93. [Google Scholar] [CrossRef]
- Kwarciak-Kozłowska, A.; Fijałkowski, K.L. Efficiency assessment of municipal landfill leachate treatment during advanced oxidation process (AOP) with biochar adsorption (BC). J. Environ. Manag. 2021, 287, 112309. [Google Scholar] [CrossRef]
- Mahtab, M.S.; Islam, D.T.; Farooqi, I.H. Optimization of the process variables for landfill leachate treatment using Fenton based advanced oxidation technique. Eng. Sci. Technol. Int. J. 2021, 24, 428–435. [Google Scholar] [CrossRef]
- Muszyńska, J.; Bąk, Ł.; Górski, J.; Górska, K.; Sałata, A.; Gawdzik, J. Fenton Process Optimization with Landfill Leachate in Janczyce as an Example. Pol. J. Environ. Stud. 2021, 30, 3769–3775. [Google Scholar] [CrossRef]
- Silveira, J.E.; Zazo, J.A.; Pliego, G.; Casas, J.A. Landfill leachate treatment by sequential combination of activated persulfate and Fenton oxidation. Waste Manag. 2018, 81, 220–225. [Google Scholar] [CrossRef]
- Yazici Guvenc, S.; Dincer, K.; Varank, G. Performance of electrocoagulation and electro-Fenton processes for treatment of nanofiltration concentrate of biologically stabilized landfill leachate. J. Water Process. Eng. 2019, 31, 100863. [Google Scholar] [CrossRef]
- Tejera, J.; Miranda, R.; Hermosilla, D.; Urra, I.; Negro, C.; Blanco, Á. Treatment of a Mature Landfill Leachate: Comparison between Homogeneous and Heterogeneous Photo-Fenton with Different Pretreatments. Water 2019, 11, 1849. [Google Scholar] [CrossRef] [Green Version]
- Taşcı, S.; Özgüven, A.; Yıldız, B. Multi-Response/Multi-Step Optimization of Heterogeneous Fenton Process with Fe3O4 Catalyst for the Treatment of Landfill Leachate. Water Air Soil Pollut. 2021, 232, 275. [Google Scholar] [CrossRef]
- Kirmizakis, P.; Tsamoutsoglou, C.; Kayan, B.; Kalderis, D. Subcritical water treatment of landfill leachate: Application of response surface methodology. J. Environ. Manag. 2014, 146, 9–15. [Google Scholar] [CrossRef]
- Aslani, H.; Nabizadeh, R.; Nasseri, S.; Mesdaghinia, A.; Alimohammadi, M.; Mahvi, A.H.; Rastkari, N.; Nazmara, S. Application of response surface methodology for modeling and optimization of trichloroacetic acid and turbidity removal using potassium ferrate (VI). Desalination Water Treat. 2016, 57, 25317–25328. [Google Scholar] [CrossRef]
- Roudi, A.M.; Chelliapan, S.; Armaki, S.S.M. Determination of Cod and Color Reduction of Stabilized Landfill Leachate by Fenton Process. J. Asian Sci. Res. 2017, 7, 77. [Google Scholar] [CrossRef] [Green Version]
- Lak, M.G.; Sabour, M.R.; Amiri, A.; Rabbani, O. Application of quadratic regression model for Fenton treatment of municipal landfill leachate. Waste Manag. 2012, 32, 1895–1902. [Google Scholar]
- Sabour, M.R.; Lak, M.G.; Rabbani, O. Evaluation of the main parameters affecting the Fenton oxidation process in municipal landfill leachate treatment. Waste Manag. Res. 2011, 29, 397–405. [Google Scholar] [CrossRef]
- Wu, Y.; Zhou, S.; Qin, F.; Ye, X.; Zheng, K. Modeling physical and oxidative removal properties of Fenton process for treatment of landfill leachate using response surface methodology (RSM). J. Hazard. Mater. 2010, 180, 456–465. [Google Scholar] [CrossRef]
- Amiri, A.; Sabour, M.R. Multi-response optimization of Fenton process for applicability assessment in landfill leachate treatment. Waste Manag. 2014, 34, 2528–2536. [Google Scholar] [CrossRef]
- Santin-Gusman, M.; Moreno-Andrés, J.; Cisneros-Abad, M.; Aguilar-Ramírez, S. Optimization for Fenton Process in Removal of COD for Landfill Leachate Treatment. Int. J. Environ. Sci. Dev. 2015, 6, 920–924. [Google Scholar]
- Bianco, B.; De Michelis, I.; Vegliò, F. Fenton treatment of complex industrial wastewater: Optimization of process conditions by surface response method. J. Hazard. Mater. 2011, 186, 1733–1738. [Google Scholar] [CrossRef]
- Myers, R.; Montgomery, D.; Anderson-Cook, C. Response Surface Methodology: Process and Product Optimization Using Designed Experiments, 3rd ed.; John Wiley: Hoboken, NJ, USA, 2009. [Google Scholar]
- Montgomery, D.C. Design and Analysis of Experiments; John Wiley: Hoboken, NJ, USA, 2009. [Google Scholar]
- Ghafari, S.; Aziz, H.A.; Isa, M.H.; Zinatizadeh, A.A. Application of response surface methodology (RSM) to optimize coagulation–flocculation treatment of leachate using poly-aluminum chloride (PAC) and alum. J. Hazard. Mater. 2009, 163, 650–656. [Google Scholar] [CrossRef]
- Talebi, A.; Ismail, N.; Teng, T.T.; Alkarkhi, A.F. Optimization of COD, apparent color, and turbidity reductions of landfill leachate by Fenton reagent. Desalination Water Treat. 2014, 52, 1524–1530. [Google Scholar] [CrossRef]
- Roudi, A.M.; Kamyab, H.; Chelliapan, S.; Ashokkumar, V.; Kumar, A.; Yadav, K.K.; Gupta, N. Application of response surface method for Total organic carbon reduction in leachate treatment using Fenton process. Environ. Technol. Innov. 2020, 19, 101009. [Google Scholar] [CrossRef]
- Kwon, B.G.; Lee, D.S.; Kang, N.; Yoon, J. Characteristics of p-chlorophenol oxidation by Fenton’s reagent. Water Res. 1999, 33, 2110–2118. [Google Scholar] [CrossRef]
- Ahmadian, M.; Reshadat, S.; Yousefi, N.; Mirhossieni, S.H.; Zare, M.R.; Ghasemi, S.R.; Rajabi Gilan, N.; Khamutian, R.; Fatehizadeh, A. Municipal leachate treatment by Fenton process: Effect of some variable and kinetics. J. Environ. Public Health 2013, 2013, 169682. [Google Scholar] [CrossRef]
- Tengrui, L.; Al-Harbawi, A.; Jun, Z.; Bo, L.M. The effect and its influence factors of the Fenton process on the old landfill leachate. J. Appl. Sci. 2007, 7, 724–727. [Google Scholar] [CrossRef]
- Mohajeri, S.; Aziz, H.A.; Isa, M.H.; Bashir, M.J.; Mohajeri, L.; Adlan, M.N. Influence of Fenton reagent oxidation on mineralization and decolorization of municipal landfill leachate. J. Environ. Sci. Health Part A 2010, 45, 692–698. [Google Scholar] [CrossRef]
- Lopez, A.; Pagano, M.; Volpe, A.; Di Pinto, A.C. Fenton’s pre-treatment of mature landfill leachate. Chemosphere 2004, 54, 1005–1010. [Google Scholar] [CrossRef]
- Zhang, H.; Choi, H.J.; Huang, C.P. Optimization of Fenton process for the treatment of landfill leachate. J. Hazard. Mater. 2005, 125, 166–174. [Google Scholar] [CrossRef]
- Zhang, H.; Fei, C.; Zhang, D.; Tang, F. Degradation of 4-nitrophenol in aqueous medium by electro-Fenton method. J. Hazard. Mater. 2007, 145, 227–232. [Google Scholar] [CrossRef]










| Test Parameter | Unit | Result (mg/L) |
|---|---|---|
| pH | - | 7.5 |
| Temperature | °C | 40 |
| COD | mg/L | 10,516 |
| Total suspended solid | mg/L | 810 |
| Oil and grease | mg/L | 9.5 |
| Zinc as Zn | mg/L | 2.48 |
| Iron as Fe | mg/L | 4.8 |
| Chromium as Cr | mg/L | 0.15 |
| Arsenic as As | mg/L | 0.17 |
| Aluminium as Al | mg/L | 20 |
| Barium as Ba | mg/L | 2.75 |
| Formaldehyde | mg/L | 1.9 |
| Ammonia nitrogen | mg/L | 15 |
| Color original pH | ADMI | >500 |
| Color adjusted to pH 7.0 | ADMI | >500 |
| Run | Factor A: pH | Factor B: Time (min) | Factor C: H2O2:Fe2+ Ratio |
|---|---|---|---|
| 1 | 6 | 105 | 6 |
| 2 | 3 | 105 | 6 |
| 3 | 6 | 105 | 6 |
| 4 | 9 | 180 | 10 |
| 5 | 6 | 60 | 6 |
| 6 | 3 | 180 | 2 |
| 7 | 9 | 105 | 6 |
| 8 | 3 | 180 | 10 |
| 9 | 6 | 60 | 6 |
| 10 | 3 | 30 | 2 |
| 11 | 6 | 105 | 5 |
| 12 | 6 | 105 | 6 |
| 13 | 6 | 105 | 6 |
| 14 | 6 | 105 | 5 |
| 15 | 9 | 30 | 2 |
| 16 | 6 | 105 | 6 |
| 17 | 9 | 180 | 2 |
| 18 | 3 | 30 | 10 |
| 19 | 9 | 30 | 10 |
| 20 | 6 | 105 | 6 |
| Run | Time (min) | Fe2+ Concentration | pH | H2O2:Fe2+ Ratio |
|---|---|---|---|---|
| 1 | 32.5 | 1000 | 6 | 6 |
| 2 | 46.25 | 1250 | 7.5 | 8 |
| 3 | 32.5 | 1000 | 6 | 6 |
| 4 | 46.25 | 750 | 7.5 | 4 |
| 5 | 46.25 | 1250 | 4.5 | 4 |
| 6 | 18.75 | 1250 | 7.5 | 8 |
| 7 | 32.5 | 1000 | 6 | 6 |
| 8 | 32.5 | 1000 | 6 | 6 |
| 9 | 18.75 | 750 | 7.5 | 4 |
| 10 | 46.25 | 1250 | 7.5 | 4 |
| 11 | 32.5 | 1000 | 6 | 6 |
| 12 | 32.5 | 1000 | 6 | 6 |
| 13 | 18.75 | 750 | 4.5 | 4 |
| 14 | 18.75 | 750 | 7.5 | 8 |
| 15 | 32.5 | 1000 | 6 | 6 |
| 16 | 46.25 | 1250 | 4.5 | 8 |
| 17 | 32.5 | 1000 | 6 | 6 |
| 18 | 32.5 | 1000 | 6 | 6 |
| 19 | 18.75 | 1250 | 4.5 | 4 |
| 20 | 32.5 | 1000 | 6 | 6 |
| 21 | 32.5 | 1000 | 6 | 6 |
| 22 | 18.75 | 1250 | 7.5 | 4 |
| 23 | 46.25 | 750 | 7.5 | 8 |
| 24 | 46.25 | 750 | 4.5 | 4 |
| 25 | 46.25 | 750 | 4.5 | 8 |
| 26 | 32.5 | 1000 | 6 | 6 |
| 27 | 18.75 | 750 | 4.5 | 8 |
| 28 | 18.75 | 1250 | 4.5 | 8 |
| 29 | 32.5 | 1000 | 6 | 6 |
| 30 | 32.5 | 1000 | 6 | 2 |
| 31 | 32.5 | 1000 | 3 | 6 |
| 32 | 32.5 | 1000 | 6 | 6 |
| 33 | 32.5 | 1000 | 6 | 10 |
| 34 | 32.5 | 1500 | 6 | 6 |
| 35 | 32.5 | 500 | 6 | 6 |
| 36 | 32.5 | 1000 | 6 | 6 |
| 37 | 32.5 | 1000 | 6 | 6 |
| 38 | 32.5 | 1000 | 6 | 6 |
| 39 | 32.5 | 1000 | 6 | 6 |
| 40 | 32.5 | 1000 | 6 | 6 |
| 41 | 32.5 | 1000 | 9 | 6 |
| 42 | 32.5 | 1000 | 6 | 6 |
| 43 | 5 | 1000 | 6 | 6 |
| 44 | 60 | 1000 | 6 | 6 |
| Coded Levels | ||||||
|---|---|---|---|---|---|---|
| –α | −1 | 0 | 1 | α | ||
| Variable | Symbol | Real Values | ||||
| Time | X1 | 5 | 18.75 | 32.5 | 46.25 | 60 |
| Fe2+ | X2 | 500 | 750 | 1000 | 1250 | 1500 |
| pH | X3 | 3 | 4.5 | 6 | 7.5 | 9 |
| Ratio | X4 | 2 | 4 | 6 | 8 | 10 |
| Run | Time (A) | Fe2+ (B) | pH (C) | H2O2:Fe2+ Ratio (D) | Time (min) | Fe2+ mg/L | pH | Ratio |
|---|---|---|---|---|---|---|---|---|
| 1 | 1 | –1 | –1 | –1 | 46.25 | 750 | 4.5 | 4 |
| 2 | 1 | 1 | 1 | 1 | 46.25 | 1250 | 7.5 | 8 |
| 3 | 0 | 0 | 0 | 0 | 32.5 | 1000 | 6 | 6 |
| 4 | 0 | 0 | 0 | 0 | 32.5 | 1000 | 6 | 6 |
| 5 | 0 | 0 | 0 | 0 | 32.5 | 1000 | 6 | 6 |
| 6 | 0 | 0 | 0 | 0 | 32.5 | 1000 | 6 | 6 |
| 7 | 0 | 0 | 0 | 0 | 32.5 | 1000 | 6 | 6 |
| 8 | 0 | 0 | 0 | 0 | 32.5 | 1000 | 6 | 6 |
| 9 | 0 | 0 | 0 | 0 | 32.5 | 1000 | 6 | 6 |
| 10 | 0 | 0 | 0 | 0 | 32.5 | 1000 | 6 | 6 |
| 11 | –1 | –1 | 1 | –1 | 18.75 | 750 | 7.5 | 4 |
| 12 | –1 | –1 | –1 | 1 | 18.75 | 750 | 4.5 | 8 |
| 13 | 0 | 0 | 0 | 0 | 32.5 | 1000 | 6 | 6 |
| 14 | 1 | 1 | –1 | –1 | 46.25 | 1250 | 4.5 | 4 |
| 15 | 0 | 0 | 0 | 0 | 32.5 | 1000 | 6 | 6 |
| 16 | –1 | 1 | 1 | 1 | 18.75 | 1250 | 7.5 | 8 |
| 17 | 0 | 0 | 0 | 0 | 32.5 | 1000 | 6 | 6 |
| 18 | 0 | 0 | 0 | 0 | 32.5 | 1000 | 6 | 6 |
| 19 | 0 | 0 | 0 | 0 | 32.5 | 1000 | 6 | 6 |
| 20 | 1 | 1 | 1 | –1 | 46.25 | 1250 | 7.5 | 4 |
| 21 | 0 | 0 | 0 | 0 | 32.5 | 1000 | 6 | 6 |
| 22 | 0 | 0 | 0 | 0 | 32.5 | 1000 | 6 | 6 |
| 23 | 1 | 1 | –1 | 1 | 46.25 | 1250 | 4.5 | 8 |
| 24 | –1 | 1 | –1 | –1 | 18.75 | 1250 | 4.5 | 4 |
| 25 | –1 | –1 | 1 | 1 | 18.75 | 750 | 7.5 | 8 |
| 26 | –1 | 1 | 1 | –1 | 18.75 | 1250 | 7.5 | 4 |
| 27 | 0 | 0 | 0 | 0 | 32.5 | 1000 | 6 | 6 |
| 28 | 1 | –1 | 1 | 1 | 46.25 | 750 | 7.5 | 8 |
| 29 | 0 | 0 | 0 | 0 | 32.5 | 1000 | 6 | 6 |
| 30 | 1 | –1 | –1 | 1 | 46.25 | 750 | 4.5 | 8 |
| 31 | –1 | 1 | –1 | 1 | 18.75 | 1250 | 4.5 | 8 |
| 32 | 0 | 0 | 0 | 0 | 32.5 | 1000 | 6 | 6 |
| 33 | 0 | 0 | 0 | 0 | 32.5 | 1000 | 6 | 6 |
| 34 | –1 | –1 | –1 | –1 | 18.75 | 750 | 4.5 | 4 |
| 35 | 0 | 0 | 0 | 0 | 32.5 | 1000 | 6 | 6 |
| 36 | 1 | –1 | 1 | –1 | 46.25 | 750 | 7.5 | 4 |
| 37 | 0 | −α | 0 | 0 | 32.5 | 500 | 6 | 6 |
| 38 | α | 0 | 0 | 0 | 60 | 1000 | 6 | 6 |
| 39 | 0 | α | 0 | 0 | 32.5 | 1500 | 6 | 6 |
| 40 | 0 | 0 | −α | 0 | 32.5 | 1000 | 3 | 6 |
| 41 | −α | 0 | 0 | 0 | 5 | 1000 | 6 | 6 |
| 42 | 0 | 0 | α | 0 | 32.5 | 1000 | 9 | 6 |
| 43 | 0 | 0 | 0 | −α | 32.5 | 1000 | 6 | 2 |
| 44 | 0 | 0 | 0 | α | 32.5 | 1000 | 6 | 10 |
| Run | Time | Fe | pH | Ratio | Color Removal% | Predicted Color R% | Error% |
|---|---|---|---|---|---|---|---|
| 1 | 46.25 | 750 | 4.5 | 4 | 48.50 | 41.481 | 14.470 |
| 2 | 46.25 | 1250 | 7.5 | 8 | 42.00 | 45.029 | −7.212 |
| 3 | 32.5 | 1000 | 6 | 6 | 65.73 | 54.903 | 16.470 |
| 4 | 32.5 | 1000 | 6 | 6 | 68.00 | 54.903 | 19.259 |
| 5 | 32.5 | 1000 | 6 | 6 | 63.90 | 54.903 | 14.078 |
| 6 | 32.5 | 1000 | 6 | 6 | 61.63 | 54.903 | 10.914 |
| 7 | 32.5 | 1000 | 6 | 6 | 67.14 | 54.903 | 18.225 |
| 8 | 32.5 | 1000 | 6 | 6 | 68.31 | 54.903 | 19.625 |
| 9 | 32.5 | 1000 | 6 | 6 | 65.40 | 54.903 | 16.049 |
| 10 | 32.5 | 1000 | 6 | 6 | 63.70 | 54.903 | 13.809 |
| 11 | 18.75 | 750 | 7.5 | 4 | 84.59 | 77.074 | 8.884 |
| 12 | 18.75 | 750 | 4.5 | 8 | 35.80 | 36.651 | −2.379 |
| 13 | 32.5 | 1000 | 6 | 6 | 59.70 | 54.903 | 8.034 |
| 14 | 46.25 | 1250 | 4.5 | 4 | 48.16 | 49.778 | −3.360 |
| 15 | 32.5 | 1000 | 6 | 6 | 65.40 | 54.903 | 16.049 |
| 16 | 18.75 | 1250 | 7.5 | 8 | 16.00 | 12.718 | 20.509 |
| 17 | 32.5 | 1000 | 6 | 6 | 61.50 | 54.903 | 10.725 |
| 18 | 32.5 | 1000 | 6 | 6 | 55.00 | 54.903 | 0.175 |
| 19 | 32.5 | 1000 | 6 | 6 | 61.00 | 54.903 | 9.994 |
| 20 | 46.25 | 1250 | 7.5 | 4 | 85.00 | 73.863 | 13.101 |
| 21 | 32.5 | 1000 | 6 | 6 | 53.70 | 54.903 | −2.241 |
| 22 | 32.5 | 1000 | 6 | 6 | 48.67 | 54.903 | −12.807 |
| 23 | 46.25 | 1250 | 4.5 | 8 | 39.17 | 36.327 | 7.256 |
| 24 | 18.75 | 1250 | 4.5 | 4 | 30.00 | 23.031 | 23.229 |
| 25 | 18.75 | 750 | 7.5 | 8 | 72.69 | 64.769 | 10.896 |
| 26 | 18.75 | 1250 | 7.5 | 4 | 43.72 | 40.582 | 7.175 |
| 27 | 32.5 | 1000 | 6 | 6 | 48.30 | 54.903 | −13.672 |
| 28 | 46.25 | 750 | 7.5 | 8 | 81.65 | 78.243 | 4.172 |
| 29 | 32.5 | 1000 | 6 | 6 | 49.00 | 54.903 | −12.048 |
| 30 | 46.25 | 750 | 4.5 | 8 | 46.70 | 43.591 | 6.656 |
| 31 | 18.75 | 1250 | 4.5 | 8 | 13.40 | 10.550605 | 21.26414 |
| 32 | 32.5 | 1000 | 6 | 6 | 50.15 | 54.903 | −9.478 |
| 33 | 32.5 | 1000 | 6 | 6 | 50.36 | 54.903 | −9.022 |
| 34 | 18.75 | 750 | 4.5 | 4 | 42.84 | 33.572 | 21.633 |
| 35 | 32.5 | 1000 | 6 | 6 | 56.00 | 54.903 | 1.957 |
| 36 | 46.25 | 750 | 7.5 | 4 | 95 | 91.517 | 3.665 |
| 37 | 32.5 | 500 | 6 | 6 | 57.00 | 65.556 | −15.010 |
| 38 | 60 | 1000 | 6 | 6 | 58.60 | 61.401 | −4.780 |
| 39 | 32.5 | 1500 | 6 | 6 | 22.80 | 21.801 | 4.381 |
| 40 | 32.5 | 1000 | 3 | 6 | 22.30 | 23.836 | −6.890 |
| 41 | 5 | 1000 | 6 | 6 | 15.80 | 21.180 | −34.056 |
| 42 | 32.5 | 1000 | 9 | 6 | 70.00 | 76.040 | −8.628 |
| 43 | 32.5 | 1000 | 6 | 2 | 57.00 | 67.665 | −18.711 |
| 44 | 32.5 | 1000 | 6 | 10 | 45.00 | 41.9103 | 6.866 |
| Source | Sum of Squares | df | Mean Square | F Value | p-Value Prob > F | Remark |
|---|---|---|---|---|---|---|
| Model | 12,374.6 | 14 | 883.9 | 18.53 | <0.0001 | Significant |
| A-Time | 2257 | 1 | 2257 | 47.32 | <0.0001 | Significant |
| B-Fe | 2789 | 1 | 2789 | 58.47 | <0.0001 | Significant |
| C-pH | 4042.49 | 1 | 4042.49 | 84.75 | <0.0001 | Significant |
| D-Ratio | 993.31 | 1 | 993.31 | 20.82 | <0.0001 | Significant |
| AB | 354.19 | 1 | 354.19 | 7.43 | 0.011 | Significant |
| AC | 42.77 | 1 | 42.77 | 0.9 | 0.3518 | Insignificant |
| AD | 0.94 | 1 | 0.94 | 0.02 | 0.8893 | Insignificant |
| BC | 677.3 | 1 | 677.3 | 14.2 | 0.0008 | Significant |
| BD | 241.96 | 1 | 241.96 | 5.07 | 0.0323 | Significant |
| CD | 236.7 | 1 | 236.7 | 4.96 | 0.0341 | Significant |
| A^2 | 397.23 | 1 | 397.23 | 8.33 | 0.0074 | Significant |
| B^2 | 258.04 | 1 | 258.04 | 5.41 | 0.0275 | Significant |
| C^2 | 50.58 | 1 | 50.58 | 1.06 | 0.3119 | Insignificant |
| D^2 | 0.027 | 1 | 0.027 | 5.76 × 10−4 | 0.981 | Insignificant |
| Residual | 1335.55 | 28 | 47.7 | |||
| Lack of Fit | 383.72 | 9 | 42.64 | 0.85 | 0.5812 | Insignificant |
| Pure Error | 951.83 | 19 | 50.1 | |||
| Cor Total | 14,685.97 | 43 |
| Regression Parameter | Magnitude | Regression Parameter | Magnitude |
|---|---|---|---|
| Std. Dev. | 6.91 | R-Squared | 0.9026 |
| Mean | 53.55 | Adj R-Squared | 0.8539 |
| C.V. % | 12.9 | Pred R-Squared | 0.7156 |
| PRESS | 3898.94 | Adeq Precision | 19.156 |
| Source | Sum of Squares | Degree of Freedom | Mean Square | F Value | p-Value Prob > F | Remark |
|---|---|---|---|---|---|---|
| Model | 12,280.180 | 10 | 1228.018 | 27.480 | <0.0001 | Significant |
| A-Time | 2256.996 | 1 | 2256.996 | 50.507 | <0.0001 | Significant |
| B-Fe | 2789.001 | 1 | 2789.001 | 62.412 | <0.0001 | Significant |
| C-pH | 4042.491 | 1 | 4042.491 | 90.463 | <0.0001 | Significant |
| D-Ratio | 993.306 | 1 | 993.306 | 22.228 | <0.0001 | Significant |
| AB | 354.192 | 1 | 354.192 | 7.926 | 0.0083 | Significant |
| BC | 677.3006 | 1 | 677.3006 | 15.156 | 0.0005 | Significant |
| BD | 241.958 | 1 | 241.958 | 5.414 | 0.0265 | Significant |
| CD | 236.698 | 1 | 236.698 | 5.296 | 0.0280 | Significant |
| A^2 | 405.445 | 1 | 405.445 | 9.073 | 0.0050 | Significant |
| B^2 | 264.583 | 1 | 264.583 | 5.920 | 0.0207 | Significant |
| Residual | 1429.966 | 32 | 44.686 | |||
| Lack of Fit | 478.135 | 13 | 36.779 | 0.734 | 0.7118 | Insignificant |
| Pure Error | 951.831 | 19 | 50.096 | |||
| Cor Total | 14,685.970 | 43 |
| Regression Parameter | Magnitude | Regression Parameter | Magnitude |
|---|---|---|---|
| Std. Dev. | 6.684 | R-Squared | 0.895 |
| Mean | 53.552 | Adj R-Squared | 0.863 |
| C.V. % | 12.482 | Pred R-Squared | 0.804 |
| PRESS | 2683.033 | Adeq Precision | 22.852 |
Publisher’s Note: MDPI stays neutral with regard to jurisdictional claims in published maps and institutional affiliations. |
© 2021 by the authors. Licensee MDPI, Basel, Switzerland. This article is an open access article distributed under the terms and conditions of the Creative Commons Attribution (CC BY) license (https://creativecommons.org/licenses/by/4.0/).
Share and Cite
Roudi, A.M.; Salem, S.; Abedini, M.; Maslahati, A.; Imran, M. Response Surface Methodology (RSM)-Based Prediction and Optimization of the Fenton Process in Landfill Leachate Decolorization. Processes 2021, 9, 2284. https://doi.org/10.3390/pr9122284
Roudi AM, Salem S, Abedini M, Maslahati A, Imran M. Response Surface Methodology (RSM)-Based Prediction and Optimization of the Fenton Process in Landfill Leachate Decolorization. Processes. 2021; 9(12):2284. https://doi.org/10.3390/pr9122284
Chicago/Turabian StyleRoudi, Anita Maslahati, Sultan Salem, Masoud Abedini, Amin Maslahati, and Muhammad Imran. 2021. "Response Surface Methodology (RSM)-Based Prediction and Optimization of the Fenton Process in Landfill Leachate Decolorization" Processes 9, no. 12: 2284. https://doi.org/10.3390/pr9122284
APA StyleRoudi, A. M., Salem, S., Abedini, M., Maslahati, A., & Imran, M. (2021). Response Surface Methodology (RSM)-Based Prediction and Optimization of the Fenton Process in Landfill Leachate Decolorization. Processes, 9(12), 2284. https://doi.org/10.3390/pr9122284

