Adaptive Fuzzy Sliding Mode Control of Omnidirectional Mobile Robots with Prescribed Performance
Abstract
1. Introduction
- 1.
- The cases with an unknown control gain function and unknown nonlinearity arising from unmodeled dynamics, exogenous disturbances such as low-velocity friction [29], etc., are considered together at once;
- 2.
- The FLC is invoked to approximate the lumped unknown nonlinearity, which renders the adaptive control easy to formulate;
- 3.
- The PPC technique is incorporated to ensure the fulfillment of a prescribed performance requirement imposed on the configuration variables;
- 4.
- The composite update algorithm is incorporated to improve the tracking performance further.
2. Preliminaries
2.1. Fuzzy Logic Systems
2.2. System Dynamics
3. Control Design
- (i)
- The position vector tracks the reference trajectory accurately;
- (ii)
- The following prescribed tracking performance is achieved:for all , where and is a performance function given bywith being positive constants at disposal.
- (P1)
- ;
- (P2)
- is well defined.
- (T1): All the signals in the closed-loop system remain bounded for all time;
- (T2): The tracking error converges to the following set , which can be made arbitrarily small by increasing and appropriately.
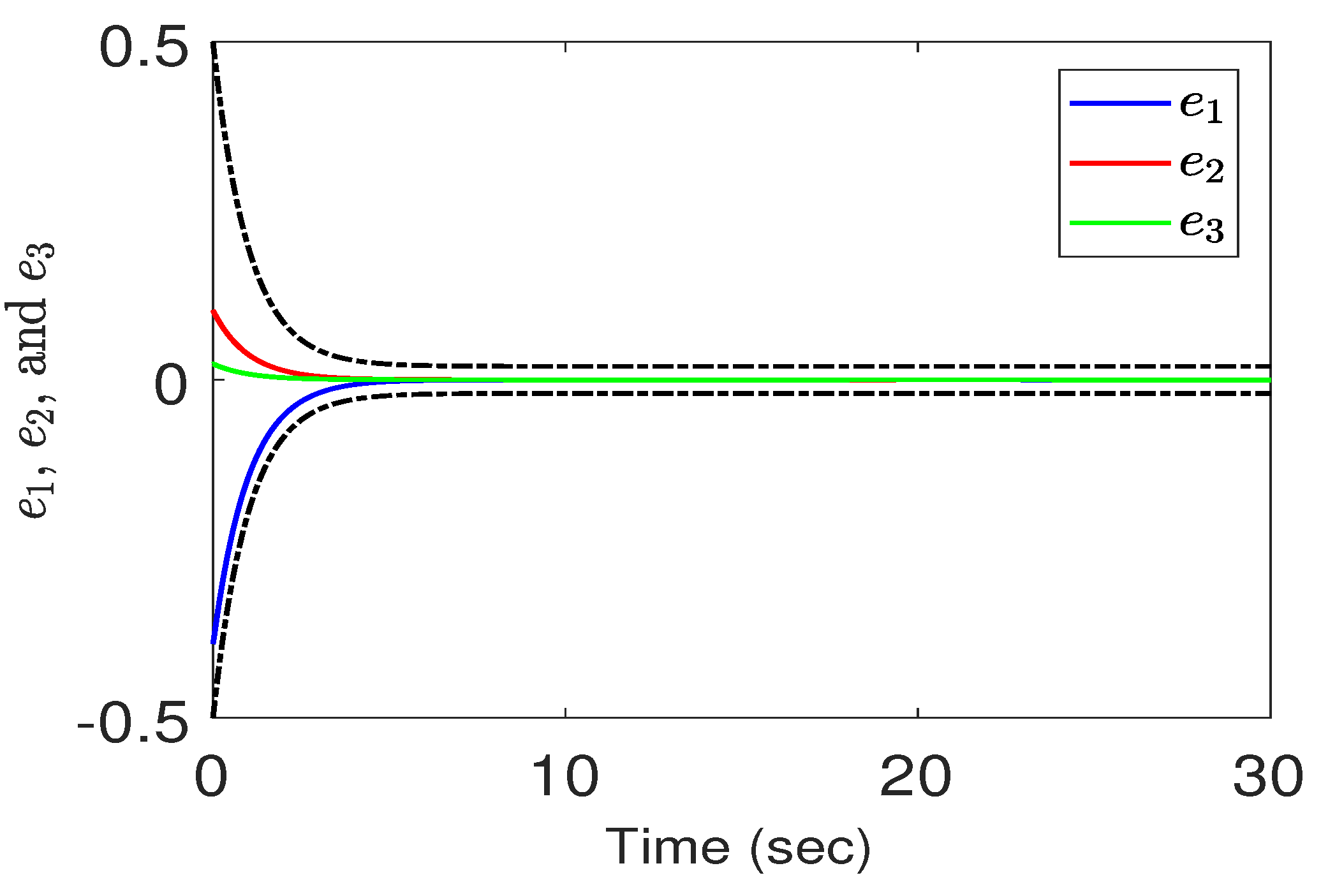
4. Simulation
| Algorithm 1: Pseudo code for the proposed control algorithm. |
| Start |
| Initialization: PPC parameters ; FLS parameters in , ; |
| control and tuning gains |
| 1 For |
| 2 % Read the sensor inputs |
| 3 % Calculate the forward kinematics |
| 4 |
| 5 |
| 6 % Calculate the transformed error in (18) and in (19) |
| 7 % Calculate the error metric s in (20) |
| 8 % Calculate the control input in (30) |
| 9 % Calculate the composite update algorithms and in (35) |
| 10 End For i |
5. Conclusions
Author Contributions
Funding
Conflicts of Interest
Abbreviations
| FLS | Fuzzy logic system |
| SP | Serial–parallel |
| OMR | Omnidirectional mobile robot |
| PPC | Prescribed performance control |
References
- Tsai, C.-C.; Huang, H.-C.; Lin, S.-C. FPGA-Based Parallel DNA Algorithm for Optimal Configurations of an Omnidirectional Mobile Service Robot Performing Fire Extinguishment. IEEE Trans. Ind. Electron. 2011, 58, 1016–1026. [Google Scholar] [CrossRef]
- Dong, F.; Jin, D.; Zhao, X.; Han, J. Adaptive Robust Constraint Following Control for Omnidirectional Mobile Robot: An Indirect Approach. IEEE Access 2021, 9, 8877–8887. [Google Scholar] [CrossRef]
- Zijie, N.; Qiang, L.; Yonjie, C.; Zhijun, S. Fuzzy Control Strategy for Course Correction of Omnidirectional Mobile Robot. Int. J. Control Autom. Syst. 2019, 17, 2354–2364. [Google Scholar] [CrossRef]
- Tzafestas, S.G. Mobile Robot Control and Navigation: A Global Overview. J. Intell. Robot. Syst. 2018, 91, 35–58. [Google Scholar] [CrossRef]
- Liu, Y.; Zhu, J.-J.; William, R.L.; Wu, J.-H. Omnidirectional Mobile Robot Controller Based on Trajectory Linearization. Robot. Auton. Syst. 2008, 56, 461–479. [Google Scholar] [CrossRef]
- Driessen, B.J. Adaptive Global Tracking for Robots with Unknown Link and Actuator Dynamics. Int. J. Adapt. Control Signal Process. 2006, 20, 123–138. [Google Scholar] [CrossRef]
- Huang, H.-C.; Tsai, C.-C. Adaptive Robust Control of an Omnidirectional Mobile Platform for Autonomous Service Robots in Polar Coordinates. J. Intell. Robot. Syst. 2008, 51, 439–460. [Google Scholar] [CrossRef][Green Version]
- Huang, H.-C.; Tsai, C.-C. FPGA Implementation of an Embedded Robust Adaptive Controller for Autonomous Omnidirectional Mobile Platform. IEEE Trans. Ind. Electron. 2009, 56, 1604–1616. [Google Scholar] [CrossRef]
- Al Mamun, M.A.; Nasir, M.T.; Khayyat, A. Embedded System for Motion Control of an Omnidirectional Mobile Robot. IEEE Access 2018, 6, 6722–6739. [Google Scholar] [CrossRef]
- Huang, J.-T.; Hung, V.-T.; Tseng, M.-L. Smooth Switching Robust Adaptive Control for Omnidirectional Mobile Robots. IEEE Trans. Control Syst. Technol. 2015, 23, 1986–1993. [Google Scholar] [CrossRef]
- Barreto, J.C.L.; Conceicao, A.G.S.; Dorea, C.E.T.; Martinez, L.; de Pieri, E.R. Design and Implementation of Model-Predictive Control with Friction Compensation on an Omnidirectional Mobile Robot. IEEE/ASME Trans. Mechatron. 2014, 19, 467–476. [Google Scholar] [CrossRef]
- Kanjanawanishkul, K. MPC-Based Path Following Control of an Omnidirectional Mobile Robot with Consideration of Robot Constraints. Adv. Electr. Electron. Eng. 2015, 13, 54–63. [Google Scholar] [CrossRef]
- Aguirre, E.; Gonzlez, A. Fuzzy Behaviors for Mobile Robot Navigation: Design, Coordination and Fusion. Int. J. Approx. Reas. 2000, 25, 255–289. [Google Scholar] [CrossRef]
- Baturone, I.; Moreno-Velo, F.; Sánchez-Solano, S.; Ollero, A. Automatic Design of Fuzzy Controllers for Car-Like Autonomous Robots. IEEE Trans. Fuzzy Syst. 2004, 12, 447–465. [Google Scholar] [CrossRef]
- Li, T.-H.; Chang, S.-J. Autonomous Fuzzy Parking Control of a Car-Like Mobile Robots. IEEE Trans. Syst. Man Cybern. A Syst. Hum. 2003, 33, 451–465. [Google Scholar] [CrossRef]
- Fuentes, M.; Castillo, O.; Cortés-Antonio, P. Review of Fuzzy Control for Path Tracking in the Robotino System. In Recent Advances of Hybrid Intelligent Systems Based on Soft Computing. Studies in Computational Intelligence; Melin, P., Castillo, O., Kacprzyk, J., Eds.; Springer: Berlin/Heidelberg, Germany, 2021; Volume 915. [Google Scholar]
- Abiyev, R.H.; Akkaya, N.; Gunsel, I. Control of Omnidirectional Robot Using Z-Number-Based Fuzzy System. IEEE Trans. Syst. Man Cybern. Syst. 2019, 49, 238–252. [Google Scholar] [CrossRef]
- Amouri, L.; Novales, C.; Jallouli, M.; Poisson, G.; Derbel, N. An Effective Fuzzy-DVZ Controller for an Omnidirectional Mobile Robot. In Proceedings of the International Multi-Conference on Systems, Signals & Devices, Chemnitz, Germany, 20–23 March 2012; pp. 1–6. [Google Scholar] [CrossRef]
- Hashemi, E.; Jadidi, M.G.; Jadidi, N.G. Model-Based PI–Fuzzy Control of Four-Wheeled Omni-directional Mobile Robots. Robot. Auton. Syst. 2011, 59, 930–942. [Google Scholar] [CrossRef]
- Chiu, C.-H.; Lin, C.-M. Control of an Omnidirectional Spherical Mobile Robot Using an Adaptive Mamdani-Type fuzzy Control Strategy. Neural Comput. Appl. 2018, 30, 1303–1315. [Google Scholar] [CrossRef]
- Liu, C.-H.; Hsiao, M.-Y. Adaptive Fuzzy Terminal Sliding Mode Controller Design for Omni-directional Mobile Robots. Adv. Sci. Lett. 2012, 8, 611–615. [Google Scholar] [CrossRef]
- Ren, L.; Wang, W.; Du, Z. A New Fuzzy Intelligent Obstacle Avoidance Control Strategy for Wheeled Mobile Robot. In Proceedings of the 2012 IEEE International Conference on Mechatronics and Automation, Chengdu, China, 5–8 August 2012; pp. 1732–1737. [Google Scholar] [CrossRef]
- Bechlioulis, C.P.; Rovithakis, G.A. Robust Adaptive Control of Feedback Linearizable MIMO Nonlinear Systems with Prescribed Performance. IEEE Trans. Autom. Control 2008, 53, 2090–2099. [Google Scholar] [CrossRef]
- Yuan, X.; Chen, B.; Lin, C. Prescribed Finite-Time Adaptive Neural Tracking Control for Nonlinear State-Constrained Systems: Barrier Function Approach. IEEE Trans. Neural Netw. Learn. Syst. 2021. [Google Scholar] [CrossRef] [PubMed]
- Ding, L.; Li, S.; Liu, Y.-J.; Gao, H.; Chen, C.; Deng, Z. Adaptive Neural Network-Based Tracking Control for Full-State Constrained Wheeled Mobile Robotic System. IEEE Trans. Syst. Man Cybern. Syst. 2017, 47, 2410–2419. [Google Scholar] [CrossRef]
- Zhao, D.; Deng, X.; Yi, J. Motion and Internal Force Control for Omnidirectional Wheeled Mobile Robots. IEEE/ASME Trans. Mechatron. 2009, 14, 382–387. [Google Scholar] [CrossRef]
- Sankaranarayanan, V.; Mahindrakar, A.D. Configuration Constrained Stabilization of a Wheeled Mobile Robot—Theory and Experiment. IEEE Trans. Control Syst. Technol. 2013, 21, 275–280. [Google Scholar] [CrossRef]
- Zhang, Y.; Li, W.; Zhang, Z. Physical-Limits-Constrained Minimum Velocity Norm Coordinating Scheme for Wheeled Mobile Redundant Manipulators. Robotica 2015, 26, 1325–1350. [Google Scholar] [CrossRef]
- Chaoui, H.; Sicard, P.; Gueaieb, W. ANN-Based Adaptive Control of Robotic Manipulators With Friction and Joint Elasticity. IEEE Trans. Ind. Electron. 2009, 56, 3174–3187. [Google Scholar] [CrossRef]
- Wang, L.X. Stable Adaptive Fuzzy Control of Nonlinear Systems. IEEE Trans. Fuzzy Syst. 1993, 1, 146–155. [Google Scholar] [CrossRef]
- Kalmar-Nagy, T.; D’Andrea, R.; Gauguly, P. Near-Optimal Dynamic Trajectory Generation and Control of an Omnidirectional Vehicle. Robot. Autom. Syst. 2004, 46, 47–64. [Google Scholar] [CrossRef]
- Slotine, J.-J.E.; Lee, W.-P. Applied Nonlinear Control; Prentice-Hall: Englewood Cliffs, NJ, USA, 1995. [Google Scholar]








Publisher’s Note: MDPI stays neutral with regard to jurisdictional claims in published maps and institutional affiliations. |
© 2021 by the authors. Licensee MDPI, Basel, Switzerland. This article is an open access article distributed under the terms and conditions of the Creative Commons Attribution (CC BY) license (https://creativecommons.org/licenses/by/4.0/).
Share and Cite
Huang, J.-T.; Chiu, C.-K. Adaptive Fuzzy Sliding Mode Control of Omnidirectional Mobile Robots with Prescribed Performance. Processes 2021, 9, 2211. https://doi.org/10.3390/pr9122211
Huang J-T, Chiu C-K. Adaptive Fuzzy Sliding Mode Control of Omnidirectional Mobile Robots with Prescribed Performance. Processes. 2021; 9(12):2211. https://doi.org/10.3390/pr9122211
Chicago/Turabian StyleHuang, Jeng-Tze, and Chun-Kai Chiu. 2021. "Adaptive Fuzzy Sliding Mode Control of Omnidirectional Mobile Robots with Prescribed Performance" Processes 9, no. 12: 2211. https://doi.org/10.3390/pr9122211
APA StyleHuang, J.-T., & Chiu, C.-K. (2021). Adaptive Fuzzy Sliding Mode Control of Omnidirectional Mobile Robots with Prescribed Performance. Processes, 9(12), 2211. https://doi.org/10.3390/pr9122211

