Experimental Study on the Fire Resistance Performance of Partition Board under the Condition of Small Fire Source
Abstract
:1. Introduction
2. Experimental Setup
3. Results and Analysis
3.1. Combustion Phenomenon of Partition Boards
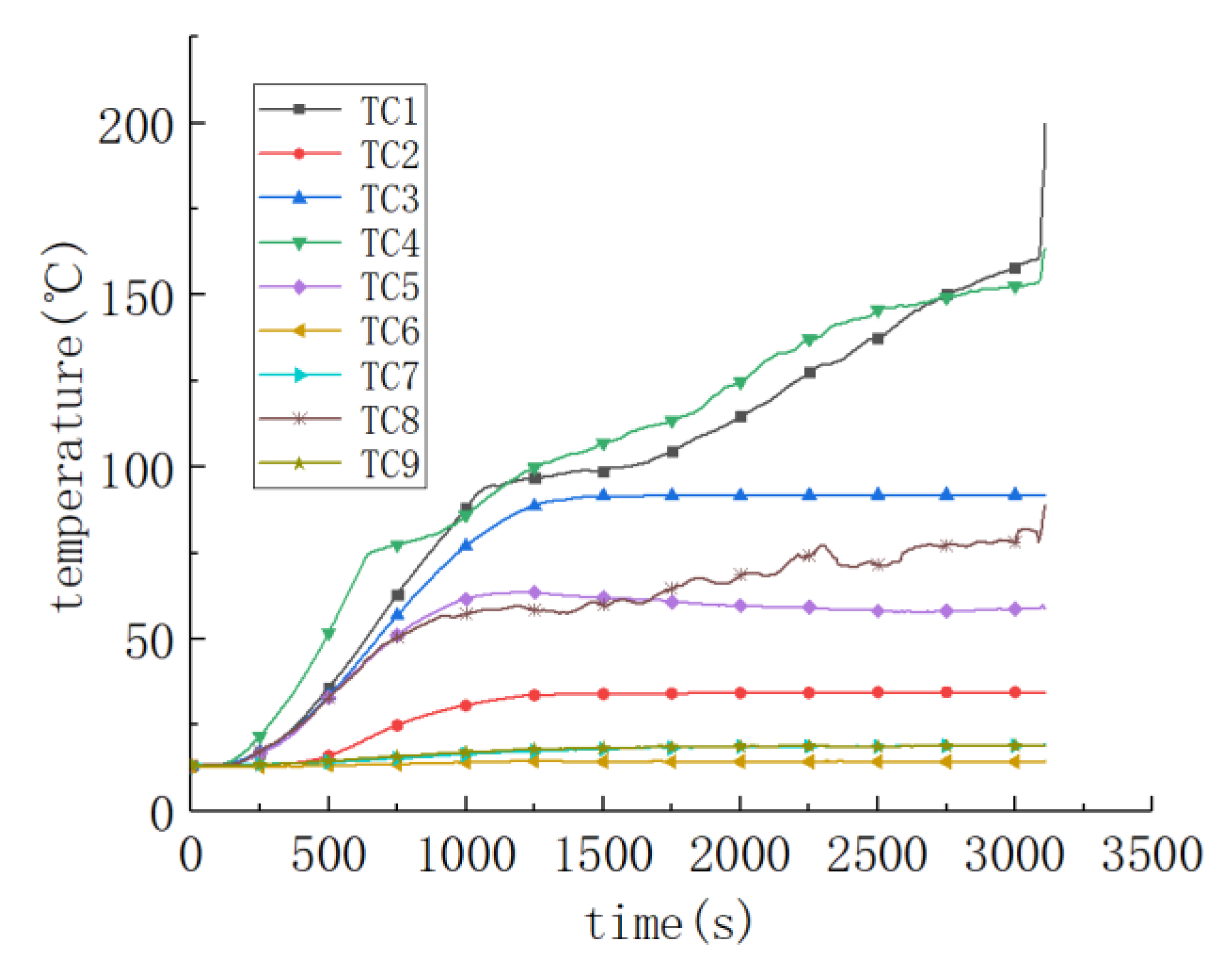
3.2. Analysis of Sample Temperature Field Changes
3.3. Analysis of Sample Carbonization
4. Conclusions
Author Contributions
Funding
Conflicts of Interest
References
- Lau, P.W.C.; White, R.; Zeeland, I.V. Modelling the charring behaviour of structural lumber. Fire Mater. 1999, 23, 209–216. [Google Scholar] [CrossRef]
- Spearpoint, M.J.; Quintiere, J.G. Predicting the burning of wood using an integral model. Combust Flame 2000, 123, 308–325. [Google Scholar] [CrossRef]
- Frangi, A.; Fontana, M. Charring rates and temperature profile of wood sections. Fire Mater. 2003, 27, 91–102. [Google Scholar] [CrossRef]
- Janssens, M. Modeling of the thermal degradation of structural wood members exposed to fire. Fire Mater. 2004, 28, 199–207. [Google Scholar] [CrossRef]
- Van Zeeland, I.M.; Salinas, J.J.; Mehaffey, J.R. Compressive strength of lumber at high temperatures. Fire Mater. 2005, 29, 71–90. [Google Scholar] [CrossRef]
- Hofmann, V.; Gräfe, M.; Werther, N.; Winter, S. Fire resistance of primary beam–secondary beam connections in timber structures. J. Struct. Fire Eng. 2016, 7, 126–141. [Google Scholar] [CrossRef] [Green Version]
- König, J. Effective thermal actions and thermal properties of timber members in natural fires. Fire Mater. 2006, 30, 51–63. [Google Scholar] [CrossRef]
- Thomas, G. Fire Resistance and Burnout Resistance of Timber Columns. Fire Saf. J. 2021, 122, 103350. [Google Scholar]
- Zhang, Z.; He, Z.; Xu, Z.; Chen, L. Calculating moisture emissivity of timber members with different surface treatment. Constr. Build. Mater. 2021, 269, 121253. [Google Scholar] [CrossRef]
- Kačíková, D.; Kubovský, I.; Ulbriková, N.; Kačík, F. The Impact of Thermal Treatment on Structural Changes of Teak and Iroko Wood Lignins. Appl. Sci. 2020, 10, 5021. [Google Scholar] [CrossRef]
- White, R.H.; Nordheim, E.V. Charring rare of wood for ASTM E119 exposure. Fire Technol. 1992, 28, 5–30. [Google Scholar] [CrossRef]
- Schnabl, S.; Turk, G.; Planinc, I. Buckling of timber columns exposed to fire. Fire Saf. J. 2011, 46, 431–439. [Google Scholar] [CrossRef] [Green Version]
- Ali, F.; Kavanagh, S. Fire resistance of timber columns. J. Inst. Wood Sci. 2005, 17, 85–93. [Google Scholar] [CrossRef]
- Park, J.S. Fire Performance of Laminated Veneer Lumber (LVL) with Glued-in Steel Rod Connections. J. Fire Sci. 2006, 24, 27–46. [Google Scholar] [CrossRef]
- Frangi, A.; Fontana, M.; Hugi, E.; Jübstl, R. Experimental analysis of cross-laminated timber panels in fire. Fire Saf. J. 2009, 44, 1078–1087. [Google Scholar] [CrossRef]
- Babrauskas, V. Charring Rate of Wood as a Tool for Fire Investigations. Fire Saf. J. 2005, 40, 528–554. [Google Scholar] [CrossRef]
- Blondin, F.; Blanchet, P.; Dagenais, C.; Triantafyllidis, Z.; Bisby, L. Fire hazard of compressed straw as an insulation material for wooden structures. Fire Mater. 2020, 44, 736–746. [Google Scholar] [CrossRef]
- Rabe, S.; Klack, P.; Bahr, H.; Schartel, B. Assessing the fire behavior of woods modified by N-methylol crosslinking, thermal treatment, and acetylation. Fire Mater. 2020, 44, 530–539. [Google Scholar] [CrossRef] [Green Version]
- Suoware, T.; Edelugo, S.; Ezema, I. Impact of hybrid flame retardant on the flammability and thermomechanical properties of wood sawdust polymer composite panel. Fire Mater. 2019, 43, 335–343. [Google Scholar] [CrossRef]
- Wang, F.; Liu, J.; Lv, W. Thermal degradation and fire performance of wood treated with PMUF resin and boron compounds. Fire Mater. 2017, 41, 1051–1057. [Google Scholar] [CrossRef]
- Hirschler, M. Poly(vinyl chloride) and its fire properties. Fire Mater. 2017, 41, 993–1006. [Google Scholar] [CrossRef]
- He, X.; Li, X.; Zhong, Z.; Mou, Q.; Yan, Y.; Chen, H.; Liu, L. Effectiveness of impregnation of ammonium polyphosphate fire retardant in poplar wood using microwave heating. Fire Mater. 2016, 40, 818–825. [Google Scholar] [CrossRef]
- Audouin, L.; Kolb, G.; Torero, J.L.; Most, J.M. Average centreline temperatures of a buoyant pool fire obtained by image processing of video recordings. Fire Saf. J. 1995, 24, 167–184. [Google Scholar] [CrossRef]
- Koseki, H. Estimation of Thermal Balance in Heptane Pool Fire. J. Fire Sci. 1989, 7, 237–250. [Google Scholar] [CrossRef]
- Hamins, A.; Fischer, J.; Kashiwagi, T.; Klassen, M.E.; Gore, J.P. Heat Feedback to the Fuel Surface in Pool Fires. Combust. Sci. Technol. 1994, 97, 37–62. [Google Scholar] [CrossRef]
- Chatris, J.M.; Quintela, J.; Folch, J.; Planas, E.; Arnaldos, J.; Casal, J. Experimental study of burning rate in hydrocarbon pool fires. Combust. Flame 2001, 126, 1373–1383. [Google Scholar] [CrossRef]
- Kang, Q.; Lu, S.; Chen, B. Experimental study on burning rate of small scale heptane pool fires. Chin. Sci. Bull. 2010, 55, 973–979. (In Chinese) [Google Scholar] [CrossRef]
- Hörold, S. Phosphorus flame retardants in thermoset resins. Polym. Degrad. Stab. 1999, 64, 427–431. [Google Scholar] [CrossRef]
- Morgan, A. Flame retarded polymer layered silicate nanocomposites: A review of commercial and open literature systems. Polym. Degrad. Stab. 2006, 17, 206–217. [Google Scholar] [CrossRef]
- Plyler, E.K. Infra-red radiation from a Bunsen burner. J. Opt. Soc. Am. 1947, 37, 984. [Google Scholar]
- Kozlovsky, G.; Sivashinsky, G.I. On open and closed tips of bunsen burner flames. Theor. Comput. Fluid Dyn. 1994, 6, 191–192. [Google Scholar] [CrossRef]
- Zhang, Y.; Liang, X.; Wang, X. Study on the critical parameters of oil pool fire with different sizes. Fire Sci. Technol. 2018, 37, 306–309. [Google Scholar]
- HB 6167.14-2014 “Environmental Conditions and Test Procedures for Airborne Equipment of Civil Airplane—Part 14: Fire Flammability Test”. Available online: https://www.miit.gov.cn/datainfo/zysjk/bzgf/art/2020/art_5a0d8504976046d68055c2b65a620e5c.html (accessed on 20 June 2021).
- Peng, L.; Qiu, P.; Cui, H.; Yuan, L. Experimental study on charring of crossliaminated timber exposed to standard fire. Fire Sci. Technol. 2020, 39, 1499–1503. [Google Scholar]












| Sample | Sample Number | Materials | Fire Source | Size of Partition Boards (mm) |
|---|---|---|---|---|
| Partition board | A-20 | Pine glulam | 15-cm-diameter pool fire | 500 × 500 × 20 |
| A-25 | 500 × 500 × 25 | |||
| B-15 | Methane Bunsen burner | 500 × 500 × 15 | ||
| B-20 | 500 × 500 × 20 | |||
| B-25 | 500 × 500 × 25 |
| Name | Parameter | TC1 | TC2 | TC3 | TC4 | TC5 | TC6 | TC7 | TC8 | TC9 |
|---|---|---|---|---|---|---|---|---|---|---|
| Sample A-20 | I (mm) | 20 | ||||||||
| R (mm) | 0 | 3 | 12 | 4 | 0 | 15 | 19 | 16 | 14 | |
| C (%) | 100 | 85 | 40 | 80 | 100 | 25 | 5 | 20 | 30 | |
| S (mm/min) | 0.435 | 0.37 | 0.174 | 0.348 | 0.435 | 0.109 | 0.022 | 0.087 | 0.13 | |
| Sample A-25 | I (mm) | 25 | ||||||||
| R (mm) | 0 | 10 | 0 | 6 | 19 | 19 | 18 | 20 | 23 | |
| C (%) | 100 | 60 | 100 | 76 | 24 | 24 | 28 | 20 | 8 | |
| S (mm/min) | 0.263 | 0.158 | 0.263 | 0.2 | 0.063 | 0.063 | 0.074 | 0.053 | 0.021 | |
| Sample B-15 | I (mm) | 15 | ||||||||
| R (mm) | 0 | 5 | 6 | 3 | 7 | 15 | 15 | 10 | 15 | |
| C (%) | 100 | 67 | 60 | 80 | 53 | 0 | 0 | 33 | 0 | |
| S (mm/min) | 1.25 | 0.83 | 0.75 | 1 | 0.667 | 0 | 0 | 0.417 | 0 | |
| Sample B-20 | I (mm) | 20 | ||||||||
| R (mm) | 0 | 17 | 13 | 4 | 14 | 20 | 20 | 13 | 20 | |
| C (%) | 100 | 15 | 35 | 80 | 30 | 0 | 0 | 35 | 0 | |
| S (mm/min) | 1 | 0.15 | 0.35 | 0.8 | 0.3 | 0 | 0 | 0.35 | 0 | |
| Sample B-25 | I (mm) | 25 | ||||||||
| R (mm) | 0 | 16 | 14 | 0 | 15 | 25 | 25 | 11 | 25 | |
| C (%) | 100 | 36 | 44 | 100 | 40 | 0 | 0 | 56 | 0 | |
| S (mm/min) | 0.481 | 0.173 | 0.211 | 0.481 | 0.192 | 0 | 0 | 0.269 | 0 | |
Publisher’s Note: MDPI stays neutral with regard to jurisdictional claims in published maps and institutional affiliations. |
© 2021 by the authors. Licensee MDPI, Basel, Switzerland. This article is an open access article distributed under the terms and conditions of the Creative Commons Attribution (CC BY) license (https://creativecommons.org/licenses/by/4.0/).
Share and Cite
Gao, B.; Wei, S.; Du, W.; Yang, H.; Chu, Y. Experimental Study on the Fire Resistance Performance of Partition Board under the Condition of Small Fire Source. Processes 2021, 9, 1818. https://doi.org/10.3390/pr9101818
Gao B, Wei S, Du W, Yang H, Chu Y. Experimental Study on the Fire Resistance Performance of Partition Board under the Condition of Small Fire Source. Processes. 2021; 9(10):1818. https://doi.org/10.3390/pr9101818
Chicago/Turabian StyleGao, Butong, Shanyang Wei, Wei Du, Huan Yang, and Yunyun Chu. 2021. "Experimental Study on the Fire Resistance Performance of Partition Board under the Condition of Small Fire Source" Processes 9, no. 10: 1818. https://doi.org/10.3390/pr9101818
APA StyleGao, B., Wei, S., Du, W., Yang, H., & Chu, Y. (2021). Experimental Study on the Fire Resistance Performance of Partition Board under the Condition of Small Fire Source. Processes, 9(10), 1818. https://doi.org/10.3390/pr9101818

