Next Article in Journal
Enzyme-Assisted Ultrasonic Extraction of Total Flavonoids from Acanthopanax senticosus and Their Enrichment and Antioxidant Properties
Next Article in Special Issue
Special Issue “Optimization Technology of Greenhouse Gas Emission Reduction”
Previous Article in Journal
Design Optimization of Deep Eutectic Solvent Composition and Separation Performance of Cyclohexane and Benzene Mixtures with Extractive Distillation
Previous Article in Special Issue
Quantifying the Impact of Production Globalization through Application of the Life Cycle Inventory Methodology and Its Influence on Decision Making in Industry
 
 
Font Type:
Arial Georgia Verdana
Font Size:
Aa Aa Aa
Line Spacing:
Column Width:
Background:
Article

Influence of Maintenance Actions in the Drying Stage of a Paper Mill on CO2 Emissions

by
Luis Miguel Calvo
1 and
Rosario Domingo
2,*
1
Department de Mechanical Engineering, Energy and Materials, Universidad Pública de Navarra, C/Tarazona, km 2, 31500 Tudela, Spain
2
Department of Construction and Manufacturing Engineering, Universidad Nacional de Educación a Distancia (UNED), C/Juan del Rosal 12, 28040 Madrid, Spain
*
Author to whom correspondence should be addressed.
Processes 2021, 9(10), 1707; https://doi.org/10.3390/pr9101707
Submission received: 2 June 2021 / Revised: 16 September 2021 / Accepted: 18 September 2021 / Published: 23 September 2021
(This article belongs to the Special Issue Optimization Technology of Greenhouse Gas Emission Reduction)

Abstract

:
Greenhouse gases from industrial activities have become a global problem. Emissions management is being developed to raise awareness of the importance of controlling pollution in general and atmospheric emissions in particular. In 2017, the deficit of the rights of issuance in the industrial sectors increased up to 8.3% (verified emissions in 2017 versus allocation in 2017). This trend will increase more at the end of Phase III due to a progressive reduction in allocation. Phase IV will be much more restrictive in allocating emission rights than Phase III. The extra cost of this deficit reinforces the need for industry in general to reduce CO2 and for the paper industry to reduce GHG emissions and generate credits. Old factories are typically identified as sources of pollution in addition to being inefficient compared to new factories. This article discusses the possibilities offered by maintenance actions, whose integration into a process can successfully reduce the environmental impact of industrial plants, particularly by reducing the CO2 equivalent emissions (CO2-eq units henceforth CO2) they produce. This case study analyzes the integration of maintenance rules that enable significant thermal energy savings and consequently CO2 emissions reduction associated with papermaking. Managing Key Performance Indicators (KPIs), such as the amount of cold water added to the boiler circuit and the conditions of the air blown into the dryer section hood, can be used as indicators of CO2 emissions generated. The control of the water and temperature reduces these emissions. A defined measure—in this case, t CO2/t Paper—indicates an achievement of a 21% reduction in emissions over the past 8 years.

1. Introduction

In recent years, the relationship between greenhouse gas (GHG) emissions from industrial activities and global warming has been highlighted by the United Nations Climate Change Conferences [1] and the European Commission [2]. GHG emissions from the use of fossil fuels, such as natural gas, often occur because of manufacturing processes, which is considered necessary and inevitable. Most industrial plants have reduced GHG emissions by replacing equipment with more modern, energy-efficient technology as can be seen in the application of additive manufacturing technology to a radiant tube used to improve its radiant heat efficiency [3], in the use of innovative design solutions in drive unit control systems of mobile wood-chipping machines [4], or in the use of finite element methods to optimize parameters of piercing punch [5]. Equipment deteriorates with use and, after some time, does not run at its designed parameters. The activity linked to maintenance is fundamental in the industry. Alsyouf [6] finds that approximately 13% of his time is spent planning maintenance activities and 33% is dedicated to unplanned tasks. The implementation of periodic maintenance tasks is related to the improvement in production indicators [7,8]. Domingo and Aguado [9] also investigated the relationship of sustainability with the main indicator of the TPM, the OEE (Overall Equipment Effectiveness). This deterioration may be due to various reasons (e.g., waste increases [10], changes in the operating parameters [11], and deficient maintenance [12]), resulting in far lower and less efficient performance than initially desired. These GHGs may be grouped according to the Kyoto Protocol into carbon dioxide (CO2), methane (CH4), nitrogen oxide (N2O), hydrofluorocarbons (HFC), perfluorocarbons (PFC), and sulfur hexafluoride (SF6) (IPCC 2014). The GHG emissions can be determined by aggregation into CO2 equivalent (CO2-eq) units (henceforth CO2 in this article).
In the European Union (EU), the paper industry uses a fuel mixture consisting of 32% renewable energy from biomass, 3% fuel oil, and 65% natural gas [13,14]. Biomass is considered to be carbon neutral by the Intergovernmental Panel on Climate Change (IPCC) [15]. Almost all pulp and paper mills are a part of the EU Emissions Trading System (ETS), which has been in place since 2005. The direct emissions falling under the EU ETS mainly come from natural gas combustion and must be covered by credits, some of which are received for free and the remainder of which are bought at government auctions. This is a burden that competition in the pulp and paper industry in non-European regions does not have to bear. Among the GHG emissions by the European paper industry, the most important indicator in terms of amount and effect on global warming is CO2 emissions. The great concern regarding the effects of CO2 emissions in the intermediate and long term has led to awareness that such emissions must be curtailed to achieve a sustainable society [13,14].
Austin [16] showed that it is possible to reduce power consumption by controlling the variables associated with processes. Virtanen et al. [17] demonstrated the relationship between energy efficiency and productivity. In the pulp and paper industry, the current concepts of energy efficiency apply only to fossil fuels and are based on optimizing the use of energy to reduce consumption. Siitonen et al. [18] and Moya and Pardo [19] discussed the relationship between energy efficiency and CO2 emissions in terms of the paper industry. Moya and Pardo [19] also observed how the adoption of the Best Available Technologies (BAT) enhanced by energy efficiency policies can help to reduce CO2 emissions and be economically viable through the savings produced. However, the papermaking sector is very reluctant to prove new techniques due to the large investment required and the long life of the production facilities [20].
There are process variables that affect both energy efficiency and emissions as indicators for the paper industry [18], but they are not typically used to establish emissions reduction strategies as a result of planned maintenance measures or to address CO2 emissions. Calvo and Domingo [21] demonstrated the relationship between the effectiveness of machinery processes and the influence of process conditions, equipment maintenance and operational parameters, and the generation of CO2 emissions. Supervision and knowledge of the actual state of machinery operation and maintenance can lead to significant energy savings. This may result in a reduction in CO2 emissions associated with the process. Investments in plant maintenance and improvement in energy efficiency can result in reduced CO2 emissions [22] and can be profitable by themselves.
Due to the pulp and papermaking process, which is an energy-intensive process, a study on installations and the reductions in CO2 emissions are required. Papermaking has established indicators that relate CO2 emissions to the energy efficiency of the drying process, called product benchmarks, which record emissions levels of 10% for the more efficient production processes for each grade of paper within the European Union [23,24,25]. This benchmark provides a valid measure of the effectiveness of the process indicators and allows us to compare the studied process to those of other factories in the same sector that produce the same products. The proper control of emissions can provide a competitive advantage for a particular industrial plant over others or could compromise its continuity due to inadequate management.

1.1. Sustainability and Efficiency in Papermaking

Sustainability and efficiency are difficult to implement simultaneously in manufacturing plants [26]. This difficulty arises from identifying tools needed and quantifying the improvements achieved. This issue was addressed by the indicator identified by Calvo and Domingo [21], ‘t CO2/t Paper’. The identified indicator was considered during the drying stage of the papermaking process and indicates the relationships among energy consumption, process efficiency, CO2 emissions, and machine availability variables.
Calvo and Domingo [27] studied the influence of several other factors, including web paper input to the thermal drying section, how it affects the indicator ‘t CO2/t Paper’, and whether it affects the measures of efficiency and sustainability in papermaking.
Moya and Pardo [19] investigated how adopting the BATs can be a cost-effective contribution to reducing CO2 emissions and achieving European Union targets through energy-efficient policies. However, Del Río González [28] noted how difficult it was for the papermaking industry to introduce the BATs or cleaner technologies due to the large investments required and the technical complexity associated with the papermaking process. The intention of the European Authorities with Decision 2010/2/UE [29] is to create a costly EU ETS to force industries to significantly reduce their emissions levels.
Ghose and Chinga-Carrasco [30] reviewed CO2 emissions through a life cycle assessment and found that up to 85% of the total energy in papermaking, depending on the paper product, is used for paper drying. The drying process in papermaking affects paper characteristics and cannot be designed by considering only the energy efficiency. Karlsson [31] reviewed the main parameters that affect the evaporation process in the drying phase, and Hostetler et al. [32] studied web temperature throughout the drying process to determine the drying conditions that ensure optimal paper quality at minimal cost.
There is considerable information regarding the drying phase. Laurijssen et al. [33] studied the influence of dryer elements on the drying process and proposed actions to decrease heat use in conventional multicylinder drying sections and calculated their effect on energy use. The main optimization measures to be implemented in the drying phase include decreasing the heat used to evaporate water by increasing the air dew point temperature of the dryer section, as noted by Laurijssen et al. [33]. This measure is difficult to implement due to the poor insulation condition of the drying hood.
Other measures increase the amount of heat recovered by using the exhaust air to preheat the blown air and water. Ruohonen et al. [34] described the energy required to heat air in the papermaking process and the steam needed to heat the inlet air provided to the drying hood after heat recovery, highlighting the importance of heat recovery systems. The influence in this case is clear; Calvo and Domingo [21] identified the relationship between the external air conditions and energy utilization in the drying stage and found that recovering the energy to preheat blown air requires less steam energy to heat the air hood.
By focusing on the conditions in the drying stage, Sivill et al. [35] found that the humidity of the hood exhaust air affects the efficiency of the heat recovery rate and inlet blown air temperature. Heat recovery is used in the drying stage to reduce the energy used to dry the paper. Sivill and Ahtila [36] studied the recovery of energy from the exhaust air, which directly results in reduced CO2 emissions. Zvolinschi et al. [37] found that regulating the temperature of steam in each dryer section can reduce the energy demand by up to 3%, and they also discussed the effect of humidity in the exhaust air, which can achieve energy savings of up to 35%. Ruohonen et al. [34] indicated that all previously considered options can be used to reduce the CO2 emissions of a mill. Kong et al. [38] compiled the available information on energy savings, environmental costs, and commercialization status for 25 emerging technologies to reduce the energy use and CO2 emissions in the paper production process. Including four drying sections (gas-fired dryers, boost drying, and microwaves) may be an alternative in the future for improving the multicylinder drying efficiency; however, this measure is not widely used. In line with the previous study, Kong et al. [39] used the conservation supply curve to measure the potential savings, from both the engineering and economic perspectives of energy, to show potential opportunities for achieving savings. We conclude that the drying section has three of the most important fuel-saving technologies: cost-effective and significant energy and CO2 emissions savings in the steam and condensate loop and enclosure hood. Calvo and Domingo [40] analyzed the importance of the monitoring and control of the drying parameters to achieve an efficient use of the energy in the drying process of the paper and the savings obtained in both energy used and CO2 emissions by improving the control of the parameters involved in drying enclosure hood sections.
A stricter environmental legislative framework can achieve emissions reductions if it considers the implications of the regulatory framework on industrial activity. Silvo et al. [41] studied the influence of European IPPC regulations in Finnish pulp and paper mills with regard to BATs. Wang et al. [42] studied the effect of stricter environmental regulations in Shandong Province and found that most of the efficiency indicators (except CO2 emissions) improved significantly with the implementation of stricter regulations. These facts necessitate a review of the equipment and operating parameters associated with papermaking, particularly with regard to the energy efficiency of the drying process. Control of the CO2 emissions associated with energy consumption is even more necessary.
As illustrated above, CO2 emissions are significantly affected by the condition and operating parameters of the drying process. Placing a limit on CO2 emissions may represent an actual limit on facility use. Thus, the importance of monitoring and controlling such emissions is clear. In addition, we need to know the influence of maintenance tasks in this type of facility, which has been studied by analyzing the evolution of some typical indicators such as the overall equipment efficiency and mean time to failure [43] or the influence of downtimes on CO2 emissions [21]. Although Nakajima [44] showed the advantages of involving workers in maintenance tasks, the effect of the involvement of workers on the definition of new indicators and the analysis of its evolution has not been considered in the literature on papermaking.

1.2. Objectives

In 2017, the deficit of the rights of issuance in the industrial sectors, the verified emissions in 2017 versus the allocation in 2017 increased to 8.3% according to the European Commission [45]. This trend will increase due to a progressive reduction in allocation.
Reductions in emissions have been frequently associated with the adoption of new technologies and/or the replacement of fossil fuels with renewable energy sources.
Approximately 70% of the total primary energy in China comes from coal according to Zhang and Liu [46]. In China, Peng et al. [47] pointed out that the savings in total energy consumption was due mainly to technology updates, policy changes, and fuel substitution. Another measure for reducing emissions and improving energy efficiency is declaring many plants obsolete and decommissioning production facilities. Regarding the pulp and paper industry in China, the authors indicate the potential for CO2 reductions through energy efficiency improvements and the application of wide-scale development of the BAT [48]. The predominant fuel used in China is coal. A priority strategy for reducing CO2 emissions is fuel substitution.
The implementation of maintenance related to the improvement in production indicators [7,8] and the relationship of sustainability with OEEs analyzed by Domingo and Aguado [9] do not specify maintenance guidelines that jointly improve the efficiency and sustainability of the production process.
This article adopts the methodology of the case study to identify methods for reducing emissions without substituting machinery or fuel sources. The case study is widely accepted in the scientific literature, and Fidel [49] recommends its use when there are many factors and relationships in the phenomenon to be studied and when the factors or relationships can be directly observed or measured, and without these premises, you can determine its importance. The systematic collection of data provides rigor to research and avoids biases in interpretation, the lack of which is a weakness sometimes attributed to this methodology, but this can be addressed, according to Flyvbjerg [50].
The current work investigates options for reducing emissions without machinery replacement or fuel substitution by focusing only on the maintenance of machinery and minor reforms of maintenance guidelines.
The study does not seek to determine OEEs, characterized by relating the availability of equipment, their performance, and the quality rate [44], but analyzes some of these elements together with CO2 emissions and the identification of patterns that facilitate their increase while reducing emissions.
The main aim of this study is to analyze the management of environmental indicators, such as ‘t CO2/t Paper’, and its decomposition into several subcomponents to identify their effects and the variables involved in the drying process on CO2 emissions.
This work does not consider indirect emissions, such as those from other companies, including purchased electrical power, raw materials, the transport of finished products, or wastewater treatment.

2. Methodology

The methodology is based on the case study, which is focused on papermaking. The facility under analysis uses 77% of its total energy on drying paper using steam. This section includes a description of the papermaking process, the methodology used to determine the CO2 emissions, the data collection strategy, and the maintenance levels.
This work considers the CO2-eq emissions produced by the plant from the combustion of natural gas used to generate steam for drying paper (in the studied factory, this is the only source of thermal energy used in the dryer section). These emissions are included in the ETS scheme.

2.1. Levels of Maintenance

To manage these indicators, TPM and techniques such as total employee involvement (TEI) and continuous performance improvement (CPI) are analyzed and implemented [51].
TEI is implemented to motivate maintenance and production personnel, creating mixed work teams to analyze conditions where participation is facilitated and encouraged to generate action guidelines. Three levels of action are proposed depending on the frequency of analysis, follow-up, and/or action required.
CPI actions are small changes; in particular, employee observations are considered, and initially, major reforms or new installations are not, making improvements that are measurable and repeatable and that are as inexpensive as possible. Employees are made accountable for improvements.
This methodology begins to be implemented at the end of 4 years, and regarding maintenance, three levels are defined to verify the influence of several indicators, called subindicators, on the indicator ‘t CO2/t Paper’:
The first level of action involves maintenance and manufacturing workers, who collect and monitor the process data that relate directly or significantly to the parameters they can control. These records are collected frequently enough that maintenance or production workers can involve themselves in follow-up.
The second level reviews the monthly data collected by the first action level; this involves technical personnel and environmental management staff, who check whether the values obtained are compatible with the historical consumption and recent measures taken to reduce the indicator.
The third level of action features bimonthly meetings involving a small group of people from the second and third levels. This level analyzes the variation in the identified subindicators that affect the main indicator ‘t CO2/t Paper’. This third level takes the necessary actions to adjust the desired value of each subindicator to reduce the main indicator, ‘t CO2/t Paper’.

2.2. Description of the Papermaking Process

Pulp and paper can be separated into two clearly differentiated and interconnected subsectors: pulp production and papermaking, which can be in a single location or separate.
The first, pulp production, uses mainly wood as a raw material or recycled paper to transform into pulp. The pulp or furnish is screened to remove impurities.
The papermaking plant can also be divided into four main phases: the sheet section, press section, drying section, and finishing section.
As seen in Figure 1, the pulp is converted into paper. In the first section (forming section), a sheet is formed by feeding the pulp in a fourdrinier machine, with a moving belt of fine mesh screening to remove water initially by gravity and later by applying a progressive vacuum, reaching a fiber content of 25%. Subsequently, progressive mechanical pressing begins (press section), eliminating the water until a dryness of approximately 52% is reached. A final dryness of 6% is reached in the drying section, which is composed of a series of steam-heated drying cylinders, and the water is removed by thermal means. The process can have a section of smoothing and/or calendering; later, the paper is cut to the measure requested by the client and packed for later issue.
This study is focused on the drying section, in which the water remaining in the incoming paper sheet is eliminated by thermal means; the initial moisture coming into this section is close to 52%, which the drying process reduces to approximately 6%, depending on the type of paper and the customer’s requirements. The drying section of the studied facility has 38 drying cylinders internally heated by steam, which is supplied by only one steam generator. The steam energy is transferred to the sheet when the paper contacts the drying cylinders. The energy transferred to the sheet causes water evaporation and consequently dries the sheet. A ventilation hood system is used to remove this evaporated water from the sheet; this system controls the main variables associated with air circulation inside the hood. The air extracted from the hood passes through a heat recovery system to heat the air blown into the hood (which compensates for the air previously extracted, maintaining a slight reduction in air). This system ensures energy recovery and directly affects emissions. This section produces direct emissions of CO2, which are included in the EU ETS scheme.
The facility under study produces 55,000 tons per year of uncoated carton board using 100% recycled paper as a raw material. The grammage ranges from 200 to 650 g/m2, and the unit used for grammage is the surface density, according to ISO 536 [52], the international reference in this industrial sector. The machine speed varies between 1.30 m/s for heavy paper and 4.16 m/s for light paper. Figure 1 shows the installation studied.
Note that the emission level of the plant under study is close to the corresponding product benchmark. The emissions associated with the factory are in accordance with the benchmark or even lower than the benchmark.
Before the study, no special actions were carried out to maintain the isolation facilities of the enclosure hood. Due to maintenance operations, some panels had deteriorated, and the adjustment between them due to disassembly and assembly operations was far from optimal. Regarding the cold water system, the maintenance was outsourced, and control and tracking of the associated KPI or main parameters were carried out only monthly by the external company.
The air exchangers of the enclosure hood were checked only once a year without cleaning and maintenance routines.

2.2.1. System of Cold Water Added to the Boiler Circuit

The drying section heats the paper sheet to remove the remaining moisture by thermal processes. The energy is supplied from steam generated in the boiler. When the latent heat of the steam is transferred to heat the paper sheet, the steam condenses into water, which is also known as ‘condensate’. The factory has a closed circuit to recover all the condensate generated in the dryer section.
Most of this condensate is used to heat the air blown to the dryer hood and is then fed to the boiler feedtank. The feedtank is the major location where cold reserve water and condensate return meet. The feedtank provides a reserve of water to cover any interruption of the cold water supply and should have sufficient capacity above its normal working level to accommodate any surge in the rate of condensate return. In the dryer section, the steam passes through various regulation valves to adjust the dryer temperature and enters the cylinder section through a rotating joint; here, the steam changes state back to condensate, which is high-quality hot water.
Condensate is an ideal boiler feedwater. From an economic perspective, reuse is desirable; however, in practice, reuse is not possible due to rotating joint and valve losses, and there will typically be water loss from the boiler via blowdown.
A high condensate return rate can occur at start-up when the condensate is lying in the plant and pipework is suddenly returned to the tank, where it may be lost to the drain through the overflow.
This subindicator affects the boiler efficiency, hood heat recovery, condensate recovery, and steam transport.
The condensate return rate represents the addition of cold water needed by the feedtank to maintain the feedtank level and to supply the steam demanded by the dryer section. The return of condensate represents considerable potential for energy savings in energy and CO2 emissions.
Blowdown is necessary for the correct quality and amount of steam to be generated by the boiler. The boiler generates steam, and any impurities in the boiler feedwater that do not boil off with the steam concentrate in the boiler water. The dissolved solids become increasingly concentrated, and the steam bubbles tend to become more stable, failing to burst as they reach the water surface of the boiler. There comes a point (depending on the boiler pressure, size, and steam load) at which a substantial part of the steam space in the boiler becomes filled with bubbles, and foam is carried over into the main steam. This is undesirable because this steam is excessively wet as it leaves the boiler and contains a high level of dissolved and perhaps suspended solids, which can contaminate and possibly damage control valves and heat exchangers. The control of the total dissolved solids (TDS) in the boiler water level ensures that the risks of foaming and carryover are minimized.
The rate of theoretical blowdown Bdr (m3) is calculated as the balance of the TDS by Equation (1). The difference between them and the total cold water added to the feedtank represents the installation losses. Cw is an indirect indicator of these installation losses.
Bdr = (Feed water TDS⋯Steam generation)/(Required boiler water TDS − Feed water TDS),
where:
Feed water TDS refers to the current TSD contained in the water (ppm).
Steam generation corresponds to the steam flow rate generated by the boiler (kg/h).
Required boiler water TDS is measured according to EN 12953 [53].
The difference between the theoretical blowdown rate and cold water added in Equation (2) represents the total installation losses Il (m3) due to leakage from control valves, drying cylinders, and gaskets.
Il = Cw − Bdr,
To control these parameters, the plant implements a system to monitor the basic boiler, steam consumption, and condensate recovery parameters. To manage these indicators, the first-level-of-action personnel are assigned the task of tracking the parameters three times a week instead of laboratory personnel. This approach involves the maintenance staff in preventing the overconsumption of water Il and reviewing steam production and distribution leakages.
TPM and techniques such as TEI and CPI are analyzed and implemented [51].
The personnel are trained in TEI and CPI techniques to perform these checks; every fortnight, the analyzed values are contrasted by laboratory personnel to verify that the parameter measurements and the interpretation of the results are correct. New forms are created to record the main parameters of the steam and condensate installation at least three times a week.
If the TDS in the boiler water decreases (Equation (2)), the blowdown is higher than needed, and the blowdown frequency must be adjusted. In contrast, the blowdown flow must be increased if the TDS increases.
When the blowdown is correctly adjusted, Il comes from the distribution and consumption system. Then, the first-level-of-action personnel look for other losses and act to correct them.
Historical maintenance data indicate that major losses come from rotary joints in the drying cylinders installed in the dryer section. Rotary joints are responsible for introducing steam into the dryer cylinder and removing the condensate formed due to the energy transferred by the steam to the web. Assuming proper installation, the major causes of steam losses in the rotary joints come from carbon seal wear. Initially, the factory rules said to change the entire rotary joint (to repair it) only when steam leaks were detected. If the lost steam had no greater importance, the joint was generally kept running as long as the leak was small. Its replacement was postponed until the next technical or maintenance shutdown. The supply of steam to the dryer cylinder was closed only when the leak affected the quality of the paper produced. A closed dryer cylinder resulted in a smaller heating area, lower drying capacity, and inefficiency in the dryer section.
A previously unused maintenance strategy is developed to control carbon seal wear. Instead of applying the manufacturer’s maintenance rules, which require qualified personnel to disassemble part of the rotary joint, a new rule is developed based on taking the absolute and angular positions of the item. The establishment of this rule provides a preventive maintenance program as an alternative to waiting to detect steam leakage to reduce steam spills and maximizes the amount of condensate recovery. This rule identifies the state of wear in the carbon seal, thus providing the necessary time to organize appropriate maintenance.
This action controlling the wear state of the rotary joint has been performed since the responsibility of controlling the fresh water (Cw) boiler transferred to maintenance personnel. The maintenance personnel now understand the entire circuit of steam and condensate and are aware of the amount of steam lost by rotating joints in poor condition and the benefits of controlling its maintenance state. This control is fundamental for reducing the scheduled maintenance of the drying section recommended by the manufacturer and preventing steam losses.

2.2.2. Temperature of the Air Blown into the Dryer Section Hood

The drying section enclosure hood has two exhausts—hot air from inside the hood and a fan that blows hot air at the same flow rate to compensate for the extracted air. This air stream is passed through a series of three heat exchangers that harness the heat energy contained in the exhaust air stream, generate flash steam in the last condensate collection tank, and collect water condensate, which is returned to the boiler.
To determine the airflow, all the technical fan characteristics, including the consumption curve airflow (m3) through which the flow of air is introduced into the hood, must be known. The motor power consumption is determined by the operating parameters of the fan.

2.3. Data Collection

The calculation of the subinstallation output production (Pp) to set the indicator in reference periods is based on the following guidelines indicated in methodological guidelines for ECOFYS for the European Commission [54,55,56]. The study is based on a representative period of production in which there are neither changes in machine conditions nor alterations that change the production capacity. The following parameters are collected to determine the amount of paper produced and energy consumption:
  • Pp: Paper production (t).
  • Ms: Machine speed (m/min).
  • Pd: Manufactured paper density (g/m2) (area density, according to ISO 536 [52].
  • Pwi: Paper width entering the drying section (mm).
  • Paper conditions before and after the drying section:
  • Twt: Water temperature at the entrance to the drying section (°C).
  • Pti: Paper temperature entering the drying section (°C).
  • Pmi: Moisture content of the paper entering the drying section (%).
  • Pto: Paper temperature leaving the drying section (°C).
  • Pmo: Moisture of the paper leaving the drying section (%).
  • Drying section conditions:
  • Sf: Drying section feed steam flow rate (kg).
  • St: Drying section feed steam temperature (°C).
  • Sp: Drying section feed steam pressure (bar).
  • Ct: Temperature of the condensates extracted from the drying section (°C)
  • Cp: Pressure of the condensates extracted from the drying section (bar).
  • Eat: Temperature of the exhaust air (°C).
  • Eam: Moisture content of the exhaust air (% saturation).
  • Ebt: Temperature of the blown air (°C).
  • Ebm: Moisture content of the blown air (% saturation).
  • Ot: Outside temperature (°C)
The parameters indicated above are used in this work as follows:
Ms, Pwi, and Pd are used to calculate the subfacility output Pp in a period and later to calculate the indicator under study.
Sf, St, Sp, Ct, and Cp are used to calculate the activity data (Equation (3)).
To perform this analysis, we use the machine’s control instrumentation based on Beckhoff hardware with the SCADA Wonderware display system ‘Smart Control’ Quality Control System (QCS) and Process Control System.
The study begins by analyzing the historical available data of the indicators related to ‘t CO2/t Paper’, the patterns for maintenance and minor reforms that have been proposed and implemented. The introduced indicators have been detailed in terms of their relation with energy-efficiency saving opportunities in the subsections identified by Kong et al. [57] on paper machines (boiler efficiency, the implementation of heat recovery, and exhaust humidity control). Energy-saving opportunities are directly related to the CO2 emissions. In addition, other energy-saving opportunities such as steam transport and condensate recovery are included in these subsections. The enclosure hood of the drying section is an important part of the paper drying process in terms of energy efficiency but is beyond the scope of this article.
For the analysis of CO2 emissions, the indicators are defined in terms of the main physical variables involved in the process of drying paper identified by Karlsson [31] and related to the consumption of thermal energy, the energy aspects from the theoretical perspective of paper drying [35,37], and the maximization of energy recovery [33,36]. The reforms and maintenance guidelines proposed, based on data provided by the defined indicators, are those that reduce the indicator ‘t CO2/t Paper’.
The drying process significantly affects the characteristics of the paper produced and the efficiency of the process; thus, it is necessary to analyze whether the improvements and maintenance guidelines are favorable for maintaining product quality and reducing internal rejections.
Data are collected from the machine’s control instrumentation and are supplemented by daily collection data from the environmental management system. The factory has only one energy supplier, and all of its energy is used by the paper dryer. In this case, it is possible to assume that the difference between the energy used and theoretical needs are energy losses that can be saved.

2.4. Determination of ‘t CO2/t Paper’

This study is focused on a paper manufacturing plant. The data are collected mainly from the paper drying section. The facility has only one natural gas supply source, which is used only in one boiler to generate the demanded steam for thermal paper drying. The direct emissions of CO2 produced by the plant come only from the combustion of the natural gas mentioned above. This natural gas combustion is included in the EU ETS scheme and, in this case, generates all the plant’s direct CO2 emissions. Figure 1 shows a schematic process flow in which the boiler (steam generator) can be identified as the only point of natural gas consumption, and the dryer section is the only point that consumes the steam produced by the boiler. We consider the direct emissions of CO2 produced in the installation from the combustion of natural gas, which is under the EU ETS.
The analysis of data availability, paper-produced air dry tons (ADTs) and emissions, are collected with regular frequency and measured in accordance with Spanish law [58,59,60]. Other variables associated with the processes and the drying section were collected. The variables regarding the temperatures of the paper, steam, and condensate system and balance of air in the enclosure hood (identifying each flow, temperature, moisture, and other associated enthalpy characteristics) are analyzed to find the relations among them and the CO2 emissions through the considered indicator, ‘t CO2/t Paper’.
The conditions of the dryer hood, mainly steam pressure in dryer cylinders and inside hood air conditions, affect the evaporation capacity of the drying system and the speed of the process. This issue determines the difference between the theoretical capacity and actual production yielded. This also affects the indicator ‘t CO2/t Paper’ and thus the CO2 emissions.
The indicator ‘t CO2/t Paper’ is obtained as a direct ratio between CO2 emissions, determined according to Spanish law, and the tons of paper produced at the plant in the same period. A month is taken as a period to determine the effect of each change in the operating parameters of papermaking. The period of one month provides sufficient data to study and compare to other periods.
The CO2 emissions are calculated following the methodology outlined in the ‘Calculation of emissions and emission factors’ from the ‘GHG Inventory Report for the Implementation of the Trading Directive’ [61]. The calculation is performed as shown in Equation (3), where Activity Data represents the energy consumed in the period under consideration.
CO2 (t) = Activity Data (TJ)⋯Emission Factor (t CO2/TJ)⋯Oxidation Factor,
The calculation of Activity Data considers the total energy supplied during the period, in terajoules, calculated with the invoiced energy data from the external natural gas supplier.
The emission factor and oxidation factor correspond to natural gas [61], the fuel used by the factory to produce the steam required to dry the paper.
The calculation of paper manufactured requires an indicator in the periods of reference based on European Commission [54,55] methodological guidelines.
The CO2 emissions have been checked with annual statements of emissions by the factory; this is public data that can be checked according to the European Climate Registry Rules (the EU ETS registry) approved by the Climate Change Committee as well as other annual statements, such as the European Pollutant Release and Transfer Register (E-PRTR); this Europe-wide register provides information about environmental data from industrial facilities in European Union Member States, replacing and improving on the previous European Pollutant Emission Register (EPER), PRTR.
The study is based on historical papermaking data from 10 years, which is a representative period in which there were neither major changes in machine conditions nor alterations that changed their production capacity.

3. Results and Discussion

The most important subindicators are detailed in this section, and the influence of each subindicator on ‘t CO2/t Paper’ is analyzed. These subindicators are cold water (Cw) added to the boiler circuit and the temperature of blown air in the drying section enclosure hood (Ebt), the two elements with most significant thermal losses of this process.

3.1. Cold Water Added to the Boiler Circuit

The main sources of loss in the steam and condensate loop (Il) that cause more water (Cw) to be needed by the circuit than that required by Bdr are as follows: excess blowdown in steam generators, steam traps, rotary joints in drying cylinders installed in the dryer section, losses through pump mechanical seals, valve seals, and other components, and steam flash produced in atmospheric tanks.
Figure 2 shows the daily average steam production and cold water added to the circuit due to boiler blowdown in each year considered. As expected, the evolution of the consumption of steam, cold water, and blowdown follow the same trend. A similar trend can be seen for the energy losses, which decrease starting in period 4 such as the other variables mentioned, while the paper production increases (see Figure 3). The latter is important because although paper production has increased over the years, in this dryer section and in particular in the boiler circuit, the energy losses are reduced. The amount of cold water added to the boiler circuit could be a good environmental indicator that could also be used to check the efficiency of maintenance routines.
In Figure 4, the factory CO2 emissions and CO2 losses due to the boiler circuit can be observed; starting in period 4, the CO2 emissions and CO2 losses decrease; the latter yields percentages of 15.7, 11.2, 7.5, 6.3, 4.8, 2.6, and 4.0 in periods 4, 5, 6, 7, 8, 9, and 10, respectively. The losses of total emissions indicated in Figure 4 represent the associated emissions regarding energy losses due to the energy contained in the blowdown water stream and the reduction in steam losses from rotary joints. The minimum reached in the last three periods indicates that the point of stability has been reached.
With the data in Figure 4, the conclusion that the total energy consumption and the energy losses display similar tendencies is drawn. As we observed in Figure 3, lower losses imply a greater availability of energy and consequently an increase in production.
Note in Figure 4 that the % of total losses increase with the % of factory emissions due to global factory emissions reduction.

3.2. Temperature of Air Blown (Ebt) into the Dryer Section Hood

The maintenance state of the drying enclosure hood (Figure 1, process flow) and the characteristics of the airflows within it significantly affect both the energy consumption and total amount of water that can be evaporated from the paper, and consequently, considering that the drying section is the bottleneck of paper production, the production obtained is affected.
The enclosure hood must maintain optimum thermal conditions to favor water evaporation from the incoming sheet. The elimination of water occurs at a temperature lower than that of the water evaporation point (85 °C) by transferring the moisture contained in the paper to the circulating air inside the hood. When the air reaches a sufficient moisture content, it is expelled from the hood, sending the water content to the atmosphere. The extracted air must be replaced by another equal volume from the atmosphere, which is preheated by air–air exchangers with the extracted air stream, taking advantage of the condensation energy. The energy contained in the airflow depends on its temperature and moisture content. The energy extracted from the extraction flows comes from the energy contained in the water vapor, of which most of the water is contained as condensate in the exchangers.
Following the methodology described in Section 2, the main characteristics of each airflow and its energy before and after maintenance actions are obtained, as shown in Table 1.
The main thermal streams involved in the drying process into the enclosure hood include the paper from the press section (32 °C, moisture content 52%) and paper leaving the enclosure hood (85 °C, moisture content 6%); the water content is extracted by airflow to the atmosphere. Table 1 shows the characteristics of each airflow.
The initial engineering designed flow conditions of the enclosure hood streams are 85,000 m3/h of extraction and 59,500 m3/h of blowing, and the difference between the extraction and blowing may be 25,500 m3/h.
Inside the hood, as indicated by Calvo and Domingo [62], despite the external temperature conditions of the blowing air and the temperature of the incoming paper into the dryer section, the outlet air and paper temperature are constant at approximately 95 °C. Considering that the extracted air temperature is 85 °C, the energy added to all streams (paper and air) comes from the radiation of the dryer cylinders heated by steam supplied to the dryer section (steam in Figure 1).
To determine the actual state of the dryer system and enclosure hood, the data of the main associated variables of the airflow are collected to determine the air flow enthalpy before (taken in February of year 8) and after the cleaning and conditioning of the exchangers. The difference between the enthalpies determined by the Mollier diagram [63] gives us the energy saved after repairing and cleaning the exchanger.
Inlet air passes through three heat exchangers, each of which has a separate power source that provides energy to the blown airflow. The first-level-of-action personnel, who are responsible for cleaning the equipment, are assigned the task of tracking the parameters once a day. This approach is taken to involve the manufacturing staff in the prevention of the decrease in Ebt, which results in increased consumption of steam, and to review the cleanliness of the exchangers listed above. The maintenance actions resulting from the measurements of the temperature values are performed on July 8 on the following equipment:
The air–air exchanger harnesses the energy extracted from the airflow in the hood to warm blown air. This exchanger heats the air up to 45 °C above the external temperature.
The water–air exchanger, which harnesses the energy of the condensate, returns to the boiler to heat the blown air to 75 °C.
The flash steam exchanger harnesses flash steam generated in the last low-pressure condensate collection tank and heats the blown air to 95 °C.
The temperature reached at the end of the exchanger system for blown air is 97 °C, but only 32,892 m3/h is obtained. The difference between the air flow compensation comes from the inside of the manufacturing hall where the enclosure hood is located.
The CO2 emissions associated with energy losses are calculated through the energy supplied to the flow of hot air blowing from the actual temperature to the desired temperature. This energy comes exclusively from the boiler to generate steam supplied to the dryer section. This boiler steam generation exclusively uses natural gas as an energy source. The emissions can then be calculated using Equation (2), which considers the energy provided to the air and the emissions factors associated with the consumption of natural gas needed to heat that air.
Subsequently, the ‘energy losses/emissions’ are calculated according to Equation (3) and compared with the difference in the temperature of the blown air Ebt into the hood with an indicator defined by Calvo and Domingo [21,62], ‘t CO2/t Paper’, to determine the relevance of the losses.
The average ADT of paper produced in the factory is 5.75 t/h, and the only source of energy used in drying the paper comes from the steam generated in a single boiler. Natural gas is supplied to the plant by a single source, and the only gas consumption occurs in the boiler steam generation.
The average energy consumption for each paper ton is 1190 kWh. With these data, as shown in Table 2, the portion of energy lost in the blown air corresponds to 10.17% of the total energy used in the thermal drying of the paper. The support guidelines for the exchangers are established in months M7-M12 of year 8.

3.3. Evolution of the CO2 Emissions

The first action (Cw) is performed continuously, and the second (Ebt) is performed after 6 months. Table 3 shows the quantification of savings blow-down energy, savings exchangers energy, and total energy savings over 10 years.
The losses or reductions always refer to days of operation, a very important parameter in this type of plant, in which the start-up and shutdown processes are periods of intensive heating energy consumption and energy released not directly applied to production. These types of situations are beyond the scope of this paper. On the other hand, the impact of the measurement of the exchangers is much more significant than that of the purges, due to the amount of air conveyed in the drying installation that is expelled to the atmosphere in a more continuous manner.
Figure 5 shows the evolution of the annual average of the indicator, which gradually declines in value over time. The indicator ‘t CO2/t Paper’ decreases by an average of 21% from year 2 to 10 and by approximately 30% since year 1.
In Figure 5, there is a stable zone indicator value in the first four years that represents a period in which the indicator remains stable because there are no actions for reducing emissions.
After applying TPM techniques such as TEI to motivate maintenance and production personnel and CPI actions (small changes, especially considering employee observations) at the end of 4 years and regarding maintenance, at three levels, from year 5 onward, the indicator is starts to improve until it reaches 0.2300 in years 9 and 10.
Figure 6 is divided into three sections to clarify the data interpretation and facility analysis. The first section contains the data for the years preceding year 1 and year 1 inclusive, a period that had no active EU ETS emissions scheme. The second dataset contains data from years 2–4, which corresponds to the implementation of the first period of the EU ETS. The third section includes the data from year 5 to the present, including the second period of the EU ETS and the first year of the third period of the EU ETS.
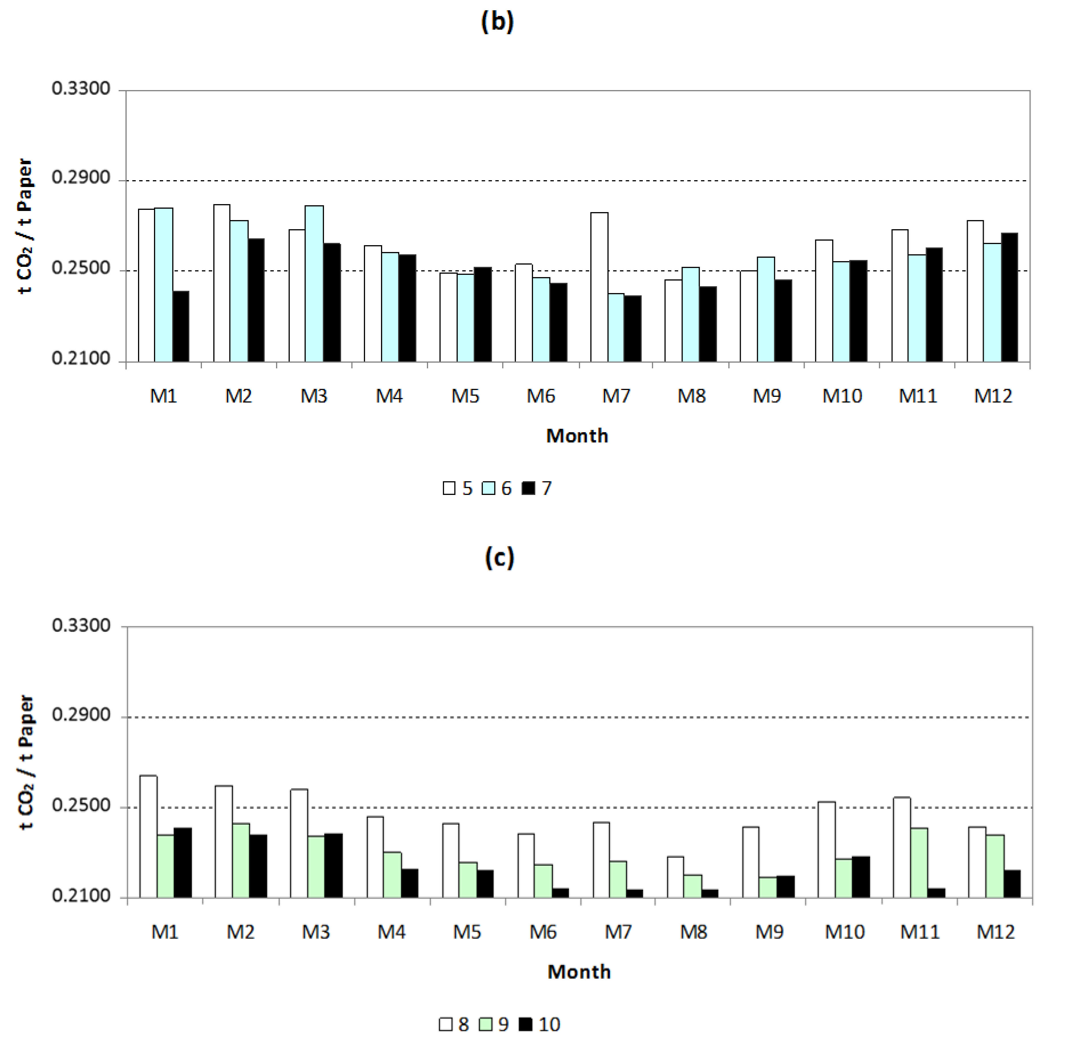
Figure 6 shows that the indicator under consideration declines gradually each year, which becomes apparent starting in year 8. Figure 6a–c also shows the variation in the index over the twelve months of the year; the outside temperature is colder in the winter months (1, 2, 11, and 12) than in the remaining months, which increases the importance of controlling the blown air temperature (Ebt).
The indicator progressively decreases in each period, as seen by the first year (white) in Figure 6a to the last year (black) in Figure 6c. In all graphs of Figure 6, the difference between the first and last years is evident. Reviewing the three graphs reveals that the same indicator level is maintained on the ordinate and decreases significantly and steadily until year 5, where we see a further decline; this coincides with the start of the leading indicator ‘t CO2/t Paper’.
Figure 6a shows that the energy consumption and emissions in the coldest months of the year (M1, M2, M11, and M12) are higher than those in the warmer months (M7 and M8). This fact is due to the strong initial influence with respect to the outside temperature (Ot), due to the poor conditions of the exchangers.
As the monitoring and continuous improvement techniques are applied, in Figure 6b, it is observed that in years 5, 6, and 7 there is a significant decrease in the global energy consumption and consequently the CO2 emissions, decreasing the initial difference between the cold and hot months. Figure 6c shows that the overall level decreases, making the difference between all months very small; the losses decrease, and the exchangers work properly, making the system almost independent of the Ot at the end of year 10.

4. Conclusions

As seen in the methodology, the emissions in this case are calculated as an emission balance depending on the primary energy consumed, which in this study is natural gas. The improvement in the energy efficiency due to the reduction in energy process losses and/or the better use of available energy results in a significant reduction in the ratio of the associated CO2 emissions.
The greater availability of energy in the process bottleneck, the drying section, allows an increase in production (Figure 3) so that the energy and CO2 emissions ratio is reduced.
The reduction in CO2 emissions indicates that it is feasible to achieve significant emissions reduction through the control and maintenance of installations, as well as daily rules and processes. Establishing maintenance guidelines and minor renovations helps facilities meet their emissions reduction targets without first having to make costly investments.
This study revealed that the involvement of TPM techniques such as TEI and CPI in production and maintenance workers in controlling the process variables is critical. Moreover, it shows how introducing CO2 emissions as a principal indicator and identifying subindicators led to a significant emissions reduction in the last six years.
This method can also identify the parts of the installation in which it is possible or necessary to take urgent action to reduce emissions and predict the reduction potential, which may allow new investments in the facilities to be planned more effectively.
There is a direct relationship between the defined indicator, ‘t CO2/t Paper’, and the facility efficiency. An increase in this ratio due to the deterioration of the facilities can be considered to assess the capacity of papermaking and find the causes of a decline in output paper due to process inefficiencies.
This manuscript identifies the effect of industrial variables involved in the drying process on CO2 emissions, such as the amount of cold water added to the boiler circuit and the temperature of the blown air into the drying section (enclosure hood).

Author Contributions

Conceptualization, L.M.C. and R.D.; methodology, L.M.C.; formal analysis, L.M.C., R.D.; investigation, L.M.C.; resources, L.M.C., R.D.; writing—original draft preparation, L.M.C.; writing—review and editing, L.M.C., R.D.; supervision, R.D.; funding acquisition, R.D. All authors have read and agreed to the published version of the manuscript.

Funding

The authors thank the Spanish Ministry of Science, Innovation and Universities for supporting through RTI2018-102215-B-I00 project.

Institutional Review Board Statement

Not applicable.

Informed Consent Statement

Not applicable.

Acknowledgments

The author thanks ASPAPEL for its support.

Conflicts of Interest

The authors declare no conflict of interest.

References

  1. United Nations Climate Change Conferences, 2018. Framework of the United Nations Framework Convection on Climate Change (UNFCCC), Yearly Formal Meeting of the UNFCCC Parties (Conference of Parties, COP Series). April 2018. Available online: www.unfccc.int/topics/education-and-outreach/resources/documents-0 (accessed on 1 March 2019).
  2. European Commission. European Commission, Energy, Climate Change, Environment; Climate Action, Climate Change. April 2018. Available online: www.ec.europa.eu/clima/change/causes_en (accessed on 12 October 2018).
  3. Ha, W.; Ha, J.; Roh, Y.; Lee, Y. Improvement of Radiant Heat Efficiency of the Radiant Tube Used for Continuous Annealing Line by Application of Additive Manufacturing Technology. Appl. Sci. 2020, 10, 8132. [Google Scholar] [CrossRef]
  4. Warguła, Ł.; Krawiec, P.; Waluś, K.J.; Kukla, M. Fuel Consumption Test Results for a Self-Adaptive, Maintenance-Free Wood Chipper Drive Control System. Appl. Sci. 2020, 10, 2727. [Google Scholar] [CrossRef] [Green Version]
  5. Wojtkowiak, D.; Talaśka, K. Determination of the effective geometrical features of the piercing punch for polymer composite belts. Int. J. Adv. Manuf. Technol. 2019, 104, 315–332. [Google Scholar] [CrossRef] [Green Version]
  6. Alsyouf, I. Maintenance practices in Swedish industries: Survey results. Int. J. Prod. Econ. 2009, 121, 212–223. [Google Scholar] [CrossRef] [Green Version]
  7. Chand, G.; Shirvani, B. Implementing of TPM in cellular manufacture. J. Mater. Process. Technol. 2000, 103, 149–154. [Google Scholar] [CrossRef] [Green Version]
  8. Álvarez Laverde, H. Aspectos intangibles del TPM. Apsoluti Technol. 2009, 2009, 1–5. [Google Scholar]
  9. Domingo, R.; Aguado, S. Overall Environmental Equipment Effectiveness as a metric of a Lean and Green Manufacturing System. Sustainability 2015, 7, 9031–9047. [Google Scholar] [CrossRef] [Green Version]
  10. Licursi, D.; Antonetti, C.; Martinelli, M.; Ribechini, E.; Zanaboni, M.; Raspolli-Galletti, A.M. Monitoring/characterization of stickies contaminants coming from a papermaking plant—Toward an innovative exploitation of the screen rejects to levulinic acid. Waste Manag. 2016, 49, 469–482. [Google Scholar] [CrossRef] [PubMed]
  11. Szpica, D. Fuel dosage irregularity of LPG pulse vapor injectors at different stages of wear. Mechanics 2016, 22, 44–50. [Google Scholar] [CrossRef] [Green Version]
  12. Badía, F.G.; Berrade, M.D.; Cha, J.H.; Lee, H. Optimal replacement policy under a general failure and repair model: Minimal versus worse than old repair. Reliab. Eng. Syst. Saf. 2018, 180, 362–372. [Google Scholar] [CrossRef]
  13. CEPI. Confederation of European Paper Industries. Sustainability Report 2013. 2013. Available online: www.cepi.org/node/16892. (accessed on 12 May 2016).
  14. ASPAPEL. Pulp and Paper Sector’s Sustainability Report of Spanish Association of Pulp, Paper and Board Manufacturers (Asociación Española de Fabricantes de Pasta, Papel y Cartón). 2019. Available online: http://www.aspapel.es/en/content/update-2019-paper-sustainability-report-spanish-only (accessed on 16 December 2020).
  15. Intergovernmental Panel on Climate Change. 2019 Refinement to the 2006 IPCC Guidelines for National Greenhouse Gas Inventories. 2020. Available online: https://www.ipcc.ch/working-group/tfi/ (accessed on 16 December 2020).
  16. Austin, P. Reducing Energy Consumption in Papermaking Using Advanced Process Control. In Proceedings of the 64th Appita Annual Conference and Exhibition, Melbourne, Australia, 18–21 April 2010; Conference Technical Papers. Appita Inc.: Carlton, Australia, 2010; pp. 323–329, ISBN 9780975746987. [Google Scholar]
  17. Virtanen, E.; Haverin, T.; Mynttinen, S. Energy efficiency, operability and cleanliness: Keys to Productivity in the drying section (Eficiencia energética, operatividad y limpieza: Claves para la productividad en la sequería). Rev. Técnica El Pap. 2010, 156, 30–35. [Google Scholar]
  18. Siitonen, S.; Tuomaala, M.; Suomunen, M.; Ahtila, P. Variables affecting energy efficiency and CO2 emissions in steel industry. Energy Policy 2009, 38, 2477–2485. [Google Scholar] [CrossRef]
  19. Moya, J.A.; Pardo, N. The potential for improvements in energy efficiency and CO2 emissions in the EU27 iron and steel industry under different payback periods. J. Clean. Prod. 2013, 52, 71–83. [Google Scholar] [CrossRef]
  20. Stenstrom, S. Drying of paper: A review 2000–2018. Dry. Technol. 2020, 38, 825–845. [Google Scholar] [CrossRef] [Green Version]
  21. Calvo, L.M.; Domingo, R. A first approach to the use of CO2 emissions as a maintenance indicator in industrial plants. Procedia Eng. 2013, 63, 678–686. [Google Scholar] [CrossRef] [Green Version]
  22. Siitonen, S.; Ahtila, P. The influence of operational flexibility on the exploitation of CO2 reduction potential in industrial energy production. J. Clean. Prod. 2010, 18, 867–874. [Google Scholar] [CrossRef]
  23. ECOFYS. Methodology for the Free Allocation of Emission Allowances in the EU ETS Post 2012. November 2009. Available online: www.ecofys.com/files/files/091102_pulpandpaper.pdf. (accessed on 16 December 2020).
  24. European Commission. Determining Revised Benchmark Values for Free Allocation of Emission Allowances for the Period from 2021 to 2025 Pursuant to Article 10a(2) of Directive 2003/87/EC of the European Parliament and of the Council. 2020. Available online: https://ec.europa.eu/clima/news/draft-implementing-regulation-determining-revised-benchmark-values-period-2021-2025-open-4-week_en (accessed on 16 December 2020).
  25. European Commission. Post-2020 Carbon Leakage Provisions. 2020. Available online: https://ec.europa.eu/clima/policies/ets/allowances/leakage_en#tab-0-1 (accessed on 16 December 2020).
  26. Aguado, S.; Alvarez, R.; Domingo, R. Model of efficient and sustainable improvements in a lean production system through processes of environmental innovation. J. Clean. Prod. 2013, 47, 141–148. [Google Scholar] [CrossRef]
  27. Calvo, L.M.; Domingo, R. Influence of process operating parameters on CO2 emissions in continuous industrial plants. J. Clean. Prod. 2015, 96, 253–262. [Google Scholar] [CrossRef]
  28. Del Río González, P. Analysing the factors influencing clean technology adoption: A study of the Spanish pulp and paper industry. Bus. Strateg. Environ. 2005, 14, 20–37. [Google Scholar] [CrossRef]
  29. Decision 2010/2/UE, determining, pursuant to Directive 2003/87/EC of the European Parliament and of the Council, a list of sectors and subsectors which are deemed to be exposed to a significant risk of carbon leakage. Off. J. Eur. Union 2010, 1, 10–18.
  30. Ghose, A.; Chinga-Carrasco, G. Environmental aspects of Norwegian production of pulp fibres and printing paper. J. Clean. Prod. 2013, 57, 293–301. [Google Scholar] [CrossRef]
  31. Karlsson, M. Papermaking Part 2, Drying; Papermaking Science and Technology Series; Finnish Paper Engineers Association; Tappi Press: Peachtree Corners, GA, USA, 2000; Volume 9, ISBN 952-5216-09-08. [Google Scholar]
  32. Hostetler, R.E.; Pelletier, D.; Cloutie, C. Effect of drying conditions on the development of binder strength in double coated SBS paperboard. In Proceedings of the TAPPI Coating Conference, Las Vegas, NV, USA, 25–29 September 2005. [Google Scholar]
  33. Laurijssen, J.; de Gream, F.J.; Worrel, E.; Faaij, A. Optimizing the energy efficiency of conventional multi-cylinder dryers in the paper industry. Energy 2010, 35, 3738–3750. [Google Scholar] [CrossRef]
  34. Ruohonen, P.; Hippinen, I.; Tuomaala, M.; Ahtila, P. Analysis of alternative secondary heat uses to improve energy efficiency-case: A Finnish mechanical pulp and paper mill. Resour. Conserv. Recycl. 2010, 54, 326–335. [Google Scholar] [CrossRef]
  35. Sivill, L.; Ahtila, P.; Taimisto, M. Thermodynamic simulation of dryer section heat recovery in paper machines. Appl. Therm. Eng. 2005, 25, 1273–1292. [Google Scholar] [CrossRef]
  36. Sivill, L.; Ahtila, P. Energy efficiency improvement of dryer section heat recovery systems in paper machines—A case of study. Appl. Therm. Eng. 2009, 29, 3663–3668. [Google Scholar] [CrossRef] [Green Version]
  37. Zvolinschi, A.; Johannessen, E.; Kjelstrup, S. The second-law optimal operation of a paper drying machine. Chem. Eng. Sci. 2005, 61, 3653–3662. [Google Scholar] [CrossRef]
  38. Kong, L.; Hasanbeigi, A.; Price, L. Assessment of emerging energy-efficiency technologies for the pulp and paper industry: A technical review. J. Clean. Prod. 2016, 122, 5–28. [Google Scholar] [CrossRef] [Green Version]
  39. Kong, L.; Hasanbeigi, A.; Price, L.; Huanbin, L. Energy conservation and CO2 mitigation potentials in the Chinese pulp and paper industry. Resour. Conserv. Recycl. 2017, 117, 74–84. [Google Scholar] [CrossRef] [Green Version]
  40. Calvo, L.M.; Domingo, R. CO2 emissions reduction and energy efficiency improvements in paper making drying process control by sensors. Sustainability 2017, 9, 514. [Google Scholar] [CrossRef] [Green Version]
  41. Silvo, K.; Jouttijärvi, T.; Melanen, M. Implications of regulation based on the IPPC directive—A review on the Finnish pulp and paper industry. J. Clean. Prod. 2009, 17, 713–723. [Google Scholar] [CrossRef]
  42. Wang, Y.; Liu, J.; Hansson, L.; Zhang, K.; Wang, R. Implementing stricter environmental regulation to enhance eco-efficiency and sustainability: A case study of Shandong Province’s pulp and paper industry, China. J. Clean. Prod. 2011, 19, 303–310. [Google Scholar] [CrossRef]
  43. Rodríguez-Padial, N.; Marín, M.; Domingo, R. An approach to integrating tactical decision-making in industrial maintenance balance scorecards using principal components analysis and machine learning. Complexity 2017, 2017, 3759514. [Google Scholar] [CrossRef] [Green Version]
  44. Nakajima, S. An Introduction to TPM; Productivity Press: Cambridge, MA, USA, 1988. [Google Scholar]
  45. European Commission, 2018b. European Commission, Energy, Climate Change, Environment, Climate Action, EU Action; EU Emissions Trading System (EU ETS). April 2018. Available online: https://ec.europa.eu/clima/policies/ets/registry_en#tab-0-1 (accessed on 16 December 2020).
  46. Zhang, C.; Liu, C. The impact of ICT industry on CO2 emissions: A regional analysis in China. Renew. Sustain. Energy Rev. 2015, 44, 12–19. [Google Scholar] [CrossRef]
  47. Peng, L.; Zeng, X.; Wang, Y.; Hong, G. Analysis of energy efficiency and carbon dioxide reduction in the Chinese pulp and paper industry. Energy Policy 2015, 80, 65–75. [Google Scholar] [CrossRef]
  48. IPCC. The Fifth Assessment Report. Intergovernmental Panel on Climate Change; IPCC: Geneva, Switzerland, 2014. [Google Scholar]
  49. Fidel, R. The case study method: A case study. Libr. Inf. Sci. Res. 1984, 6, 273–288. [Google Scholar]
  50. Flyvbjerg, B. Five misunderstandings about case-study research. Qual. Inq. 2006, 12, 219–245. [Google Scholar] [CrossRef] [Green Version]
  51. Maggard, M.; Bailey, L.; Moss, D. Total Productive Maintenance; TPM that works. In Proceedings of the Seventh IEEE/CHMT International Electronic Manufacturing Technology Symposium, San Francisco, CA, USA, 25–27 September 1989; pp. 13–17. [Google Scholar] [CrossRef]
  52. ISO 536, 2012. Paper and Board—Determination of Grammage; International Organization for Standardization: Geneva, Switzerland, 2012. [Google Scholar]
  53. EN 12953, 2003. Shell Boilers—Part 10: Requirements for Feedwater and Boiler Water Quality; European Committee for Standardization: Brussels, Belgium, 2003. [Google Scholar]
  54. ECOFYS. European Commission—Climate Action. Methodological Guidelines. 2011. Available online: ec.europa.eu (accessed on 25 May 2021).
  55. ECOFYS. European Commission. Benchmarks for Free Allocation. 2013. Available online: ec.europa.eu (accessed on 25 May 2021).
  56. European Commission. Guidance Document n°9 on the Harmonised Free Allocation Methodology for the EU-ETS Post 2020. Final Version Issued on 15 February 2019 and Updated on 29 July 2019. 2020. Available online: https://ec.europa.eu/clima/policies/ets/allowances_en#tab-0-1 (accessed on 16 December 2020).
  57. Kong, L.; Price, L.; Hasanbeigi, A.; Liu, H.; Li, J. Potential for reducing paper mill energy use and carbon dioxide emissions through plant-wide energy audits: A case study in China. Appl. Energy 2013, 102, 1334–1342. [Google Scholar] [CrossRef] [Green Version]
  58. R.D. 1315/2005. Royal Decree 1315/2005, Establishing the Bases of the Greenhouse Gas Emissions Monitoring and Verification Systems in Facilities. BOE (Spanish Official State Bulletin) 136 of 4 November 2005. Available online: https://www.boe.es/buscar/doc.php?id=BOE-A-2005-18425 (accessed on 1 March 2019).
  59. Law 1/2005, Regulating the Greenhouse Gas Emissions Trading Scheme. BOE (Spanish Official State Bulletin) 59 of 9 March 2005. Available online: https://climate-laws.org/geographies/spain/laws/law-no-1-2005-regulating-the-greenhouse-gas-emission-rights-trading-scheme-and-creating-the-climate-change-policy-coordination-commission-ccpcc (accessed on 1 March 2019).
  60. Decision 2007/589/EC, Establishing Guidelines for the Monitoring and Reporting of Greenhouse Gas Emissions Pursuant to Directive 2003/87/EC of the European Parliament and of the Council. OJEU L 229, of 18 July 2007. Available online: https://op.europa.eu/en/publication-detail/-/publication/329cbcd4-66d9-449c-a41c-81333a0963a5/language-en (accessed on 1 March 2019).
  61. Ministry of Environment. GHG Inventory Report May 2011, Appendix 8, Reference of the Inventory for the Application of the Emissions Trading Directive. Spanish Ministry of Environment: Madrid, Spain, 2011. [Google Scholar]
  62. Calvo, L.M.; Domingo, R. CO2 emissions and its relationship with the product quality and process availability. In Proceedings of the 17th International Congress on Project Management and Engineering, Logroño, Spain, 17–19 July 2013; AEIPRO: Madrid, Spain, 2013; pp. 17–19. [Google Scholar]
  63. Mollier, R. The i/x-chart for steam-air mixtures. J. Assoc. Ger. Eng. 1929, 73, 1009–1013. [Google Scholar]
Figure 1. Process flow.
Figure 1. Process flow.
Processes 09 01707 g001
Figure 2. Daily average steam production and cold water added to the circuit due to boiler blowdown.
Figure 2. Daily average steam production and cold water added to the circuit due to boiler blowdown.
Processes 09 01707 g002
Figure 3. Daily and drying steam losses.
Figure 3. Daily and drying steam losses.
Processes 09 01707 g003
Figure 4. Yearly CO2 emissions and CO2 losses.
Figure 4. Yearly CO2 emissions and CO2 losses.
Processes 09 01707 g004
Figure 5. Evolution of the indicator—“t CO2/t Paper” over 10 years.
Figure 5. Evolution of the indicator—“t CO2/t Paper” over 10 years.
Processes 09 01707 g005
Figure 6. Monthly evolution of the indicator “t CO2/t Paper” over 10 years: (a) Years 1, 2, 3 and 4; (b) Years 5, 6 and 7; (c) Years 8, 9 and 10.
Figure 6. Monthly evolution of the indicator “t CO2/t Paper” over 10 years: (a) Years 1, 2, 3 and 4; (b) Years 5, 6 and 7; (c) Years 8, 9 and 10.
Processes 09 01707 g006aProcesses 09 01707 g006b
Table 1. Data of air before and after the repair of the exchangers.
Table 1. Data of air before and after the repair of the exchangers.
Input and/Output AirTypeTemperature (°C)RH (%)g H2O/kg Dry AirBarometric Pressure
(Pa)
Density (kg/m3)Flow Rate (m3/h)Enthalpy (kJ/kg)Energy (kJ)
Before maintenanceExtractionOutlet499378.1101,325.00.964,50623815,322,110
Blown airInlet97315101,325.00.932,8921244,078,279
CompensationInlet21188101,325.01.031,000601,844,500
After maintenanceExtractionOutlet54.76672.5101,325.00.985,00024420,706,000
Blown airInlet92.4215101,325.00.959,5001116,583,675
CompensationInlet21188101,325.01.125,500601,530,000
Table 2. Emissions balance.
Table 2. Emissions balance.
Energy (kWh)CO2 Emissions (t)
HourHourTotal Year%
Difference in blowing air695.940.1258211011.6010.17
Total energy consumption6842.501.2370699946.04
Table 3. Total energy savings over 10 years.
Table 3. Total energy savings over 10 years.
Year12345678910
Production days344.5351.0350.2345.0341.0313.7339.0335.0334.0317.0
Paper production (t)121.3124.2127.6133.2131.3133.5134.9135.6134.1137.6
Blowdown loses MJ983311,52313,64710,686711144043951291714492129
Savings Blowdown energy MJ 431070177470850499729292
Savings Exchangers energy MJ000000024,19123,92325,547
Total Energy consumption144,347147,798151,844158,508150.995152.857153,786137,172135,655139,196
Total Energy Savings 43107017747032,69533.89534,839
Publisher’s Note: MDPI stays neutral with regard to jurisdictional claims in published maps and institutional affiliations.

Share and Cite

MDPI and ACS Style

Calvo, L.M.; Domingo, R. Influence of Maintenance Actions in the Drying Stage of a Paper Mill on CO2 Emissions. Processes 2021, 9, 1707. https://doi.org/10.3390/pr9101707

AMA Style

Calvo LM, Domingo R. Influence of Maintenance Actions in the Drying Stage of a Paper Mill on CO2 Emissions. Processes. 2021; 9(10):1707. https://doi.org/10.3390/pr9101707

Chicago/Turabian Style

Calvo, Luis Miguel, and Rosario Domingo. 2021. "Influence of Maintenance Actions in the Drying Stage of a Paper Mill on CO2 Emissions" Processes 9, no. 10: 1707. https://doi.org/10.3390/pr9101707

APA Style

Calvo, L. M., & Domingo, R. (2021). Influence of Maintenance Actions in the Drying Stage of a Paper Mill on CO2 Emissions. Processes, 9(10), 1707. https://doi.org/10.3390/pr9101707

Note that from the first issue of 2016, this journal uses article numbers instead of page numbers. See further details here.

Article Metrics

Back to TopTop