Abstract
We previously developed a conjugate consisting of 10B cluster BSH and tri-arginine peptide (BSH-3R). This could potentially be used as a boron agent for boron neutron capture therapy; however, it possesses poor water solubility and thus needs to be improved for use as medicine. In this study, we devised several means of improving the water solubility of BSH-3R. As one of them, we used cyclodextrin (CD), which was expected to improve the water solubility resulting from interaction of the BSH-3R with CD. We evaluated the solubility of BSH-3R in aqueous CD solution by using reverse-phase high-performance liquid chromatography. As we expected, the solubility of BSH-3R was increased in a manner dependent on the addition of β-CD and γ-CD in aqueous solution. Furthermore, we synthesized BSH conjugated to oligoarginine having various chain lengths (BSH-nR) and BSH-3R with ethylene glycol linkers introduced between BSH and 3R (BSH-nEg-3R). The water solubility of these BSH peptides was also evaluated and the results showed that the introduction of nEg to BSH-3R markedly improved the water solubility. Furthermore, we found that the water solubility of these peptides can be further improved by also applying CD.
1. Introduction
BSH, a boron cluster, is a thiol derivative composed of 12 10B. It is expected to be available as a boron agent for boron neutron capture therapy (BNCT), a cancer treatment method, similar to 4-borono-L-phenylalanine (BPA) [1,2]. After introducing the boron agent into the tumor, 10B generates α and 7Li particles from a fission reaction upon the irradiation of epithermal neutrons. These particles can kill tumor cells by damaging DNA in the nucleus. Since the range of radiation due to 10B fission is short (4–9 μm), corresponding to approximately the diameter of one cell, the killing of only cells into which 10B has been introduced can be achieved in a radiation-specific manner.
However, since BSH alone is hardly delivered into cells, the cell-killing effect including that for cancer cells is limited. While various researchers have developed boron delivery agents to replace BPA and BSH [3,4,5,6], we have developed BSH-3R, BSH conjugated with cell-penetrating peptide, for spontaneous introduction into cells [7]. Compared with the case for BSH, BSH-3R was more successfully delivered into cells, and it was clarified that such cancer cells could be effectively killed by irradiation with epithermal neutrons. This clarified the potential of BSH-3R as a boron agent for BNCT. However, previous studies also revealed that this compound is less soluble in water due to the −2 charge from the BSH moiety and the +3 charge from the 3R moiety relative to that of BSH. In other words, BSH-3R precipitates from water due to the formation of aggregates generated by these charges.
In previous studies by other groups, BSH was administered to patients at 65–100 mg/kg (body weight) [1,8,9]. Considering that blood constitutes one-thirteenth of the weight of the human body, and 50% of blood is water, this value will mean 810–1250 μmol (170–260 mg) BSH/100 g-H2O. On the other hand, as shown below, the solubility of BSH-3R in aqueous solution is about 200 μmol BSH/100 g-H2O at room temperature, and the administration will be not expected as much as BSH. Therefore, we worked on improving the water solubility of BSH-3R. As one method for such improvement, we first mixed BSH-3R with CD. BSH and carborane, an analog of BSH, is known to be included in CDs [10,11,12,13,14,15,16,17], and BSH is also included in one of the inclusion compounds, calixarene [18]. If BSH-3R interacts with CD, it can be expected that the water solubility of BSH-3R would be improved by eliminating intramolecular and intermolecular electrostatic interactions and imparting high water solubility from CD. As another method for achieving improvement of water solubility, we inserted an ethylene glycol linker between BSH and 3R. It is expected that the water solubility of BSH-3R would be improved by giving the linker high water solubility. This study describes these methods for improving the water solubility.
2. Materials and Methods
2.1. Materials
Undecahydro-mercaptocloso-dodecaborate (Na2B12H11SH; BSH) was purchased from Katchem (Prague, Czech Republic). 9-Fluorenylmethyloxycarbonyl group (Fmoc)-derivatized amino acids [Fmoc-Arg(Pbf)-OH and Fmoc-Gly-OH], an Fmoc-derivatized ethylene glycol linker containing two ethylene glycol units (Fmoc-AEEA-OH), Fmoc-derivatized super acid labile-poly(ethylene)glycol (Fmoc-NH-SAL-PEG) resin, piperidine, O-(1H-benzotriazol-1-yl)-N,N,N′,N′-tetramethyluronium hexafluorophosphate (HBTU), N-methylmorpholine (NMM), N,N-diisopropylethylamine (DIEA), trifluoroacetic acid (TFA), and triisopropylsilane (TIPS) were purchased from Watanabe Chemicals (Hiroshima, Japan). An Fmoc-derivatized ethylene glycol linker containing six ethylene glycol units, (Fmoc-amino)-PEG6-carboxylic acid, and a maleimide linker, N-succinimidyl 4-maleimidobutyrate, were purchased from Tokyo Chemical Industry (Tokyo, Japan). Fmoc-derivatized ethylene glycol linkers containing 12 and 28 ethylene glycol units [Fmoc-NH-(PEG)11-COOH and Fmoc-NH-(PEG)27-COOH, respectively] were purchased from Merck (Darmstadt, Germany). N,N′-Dimethylformamide (DMF), diethyl ether, acetonitrile, dimethyl sulfoxide (DMSO), and maltoheptaose, were purchased from Fujifilm Wako Pure Chemical Corporation (Osaka, Japan). α-Cyclodextrin (α-CD), β-cyclodextrin (β-CD), γ-cyclodextrin (γ-CD), D-(+)-glucose, and maltose monohydrate were purchased from Nacalai Tesque (Kyoto, Japan). Maltohexaose was purchased from Toronto Research Chemicals (North York, ON, Canada).
2.2. BSH Peptides
Figure 1 shows the nine BSH peptides used in this study. In the five BSH-nRs, the oligoarginine peptide (nR) is linked to the BSH by a -10B-S-CH- bond via a maleimide linker (Mal) at the N-terminus. The nR chain includes three to seven monomers and has potential for use as a cell-penetrating peptide in the future [7,19,20,21]. In addition, more arginine units may help improve the water solubility of the compound. The four BSH-nEg-3Rs also have a structure in which the triarginine (3R) is linked to the BSH by bonding via a Mal at the N-terminus. Furthermore, an ethylene glycol linker (nEg) is inserted between the Mal and 3R. In terms of the chain length of the nEg, it can include 2, 6, 12, or 28 monomers, and the above-mentioned insertion is expected to improve the water solubility of the BSH peptides.
Figure 1.
Upper: Chemical structures of cyclodextrins (CDs) (n = 1; α-CD, n = 2; β-CD, and n = 3; γ-CD), BSH-nR (n = 3–7), and BSH-nEg-3R (n = 2, 6, 12, and 28). Lower: The sequences of BSH-nR and BSH-nEg-3R. The counter anion of the guanidinium group contained in the arginine units of BSH peptides is expected to be CF3COO−.
2.3. Synthesis of BSH Peptides
All BSH peptides, BSH-nR (n = 3–7) and BSH-nEg-3R (n = 2, 6, 12, and 28) shown in Figure 1, were prepared on Fmoc-NH-SAL-PEG resin containing 30.0 μmol Fmoc on a resin surface using conventional Fmoc-based solid-phase peptide synthesis. Deprotection and coupling processes were carried out at room temperature without a capping process. The deprotection of Fmoc was carried out using 20% piperidine in DMF for 7 min at room temperature. For each coupling process, 4.0 parts of Fmoc-derivatized amino acids or Fmoc-derivatized ethylene glycol linkers, 3.6 parts of HBTU, and 11.5 parts of NMM were dissolved in DMF and added to the resin. The reaction was allowed to proceed for 45 min at room temperature. For the final coupling process, 4 parts of a maleimide linker and 10.0 parts of DIEA dissolved in DMF were added to the resin and the mixture was stirred overnight at room temperature. Peptides were globally deprotected and cleaved from the resin by treatment with 95.0:2.5:2.5 (v/v) TFA/TIPS/water for 90 min at room temperature. Crude peptides were precipitated in diethyl ether and washed twice with ether until a neutral pH was reached. Peptides were then air-dried and dissolved in 50:50 (v/v) acetonitrile/0.1% TFA in water. The purification was performed on a high performance liquid chromatographic (HPLC) equipped with two prominence LC pumps (LC-20AT) and a SPD-20A prominence UV/Vis detector at 230 nm (Shimadzu, Kyoto, Japan). The preparative column was Cadenza 5CD-C18 column (250 × 20 mm i.d.; Imtakt, Kyoto, Japan). The mobile phase consisted of 0.1% TFA aq. (A solvent) and acetonitrile (B solvent) at the flow rate of 10.0 mL/min and was used as linear gradient from 5% to 50% of B solvent at room temperature (25 °C). The sample injection volume was 4 mL and run time was 30 min. Data acquisition and processing was performed with Chromato-PRO (Runtime Instruments, Tokyo, Japan). Next, the obtained peptides were dissolved in phosphate-buffered saline (0.1 mol/L PBS, pH 7.0) and BSH was dissolved in PBS (pH 7.0). These solutions were mixed and stirred overnight at room temperature. The mixed solution containing the precipitate generated by the reaction was dissolved by adding DMSO. The crude BSH peptides were purified using RP-HPLC on the C18 preparative column mentioned above using a linear gradient from 10% to 50% of B solvent. Final product identification was performed on the HPLC system mentioned above using a C18 analytical column [Cadenza CD-C18 (CD003), 75 × 4.6 mm i.d.; Imtakt, Kyoto, Japan] using a linear gradient from 0% to 100% of B solvent, and matrix-assisted laser desorption/ionization-time-of-flight (MALDI-TOF) mass spectrometry (Shimadzu AXIMA Confidence) (see Supporting Information: Figures S1–S18).
2.4. Evaluation of the Water Solubility of BSH Peptides by RP-HPLC
To determine the water solubility of the BSH peptides by HPLC, we first created a calibration curve. A total of 1.0 mg of the synthesized BSH-3R was completely dissolved in DMSO/0.1% TFAaq. [=1/1 (v/v)] to prepare a 1.26 mmol/L solution. A C18 column [Cadenza CD-C18 (CD003)] was used as an RP-HPLC analytical column. The volume of sample loop was 100 μL. The eluent was 0.1% TFA aq./acetonitrile, the gradient was 0–100% acetonitrile, and the measurement was performed at room temperature for 20 min. The peak was detected by measuring absorption at 230 nm derived from the amide binding of BSH-3R. The amount applied to the C18 column corresponded to 20 μL (BSH-3R; 25 nmol), 40 μL (50 nmol), 60 μL (76 nmol), or 80 μL (101 nmol). In each of the HPLC charts, a single peak was confirmed at around 10 min. From the results of MALDI-TOF mass spectrometry, it was confirmed that this peak represented BSH-3R. The calibration curve was created by plotting the value of this peak area and the amount (nmol) of applied BSH-3R (Figure S19). Similar calibration curves were created for the other BSH peptides.
Next, we added 0.80 μmol of BSH-3R or the derivatives to 80 μL of PBS (pH 7.0) or PBS containing CDs, treated it with ultrasonic waves at 40 °C for 10 min, and stirred at room temperature (25 °C) overnight. The solution was separated into the supernatant and the precipitate by centrifugation (12,000 rpm for 10 min at room temperature; FB-4000, Kurabo, Osaka, Japan). After centrifugation, a portion of the supernatant (10 μL) was quickly taken out, supplemented with 90 μL 0.1% TFA aq./MeCN = 1/1 (v/v), and then injected into HPLC at room temperature. The measurement conditions were the same as those for the calibration curve. The solubility of BSH-3R in PBS (pH 7.0) was estimated based on the peak area of BSH-3R and the calibration curve. The concentration of CDs was adjusted considering the water solubility of CDs (α-CD; 149 mM, β-CD; 16.3 mM, and γ-CD; 179 mM at 25 °C in PBS, pH 7.4) [22].
3. Results and Discussion
3.1. Solubility of BSH-3R with or without CD
To improve the water solubility of BSH-3R, we investigated its solubility in PBS (pH 7.0) containing various CDs at room temperature (Figure 2). CD is a kind of cyclized oligosaccharide, and various pore sizes of CD can be obtained depending on the number of glucose units contained within it. α-CD, β-CD, and γ-CD are composed of 6, 7 and 8 glucose units, respectively, and the pore size increases as the number of glucose units increases.
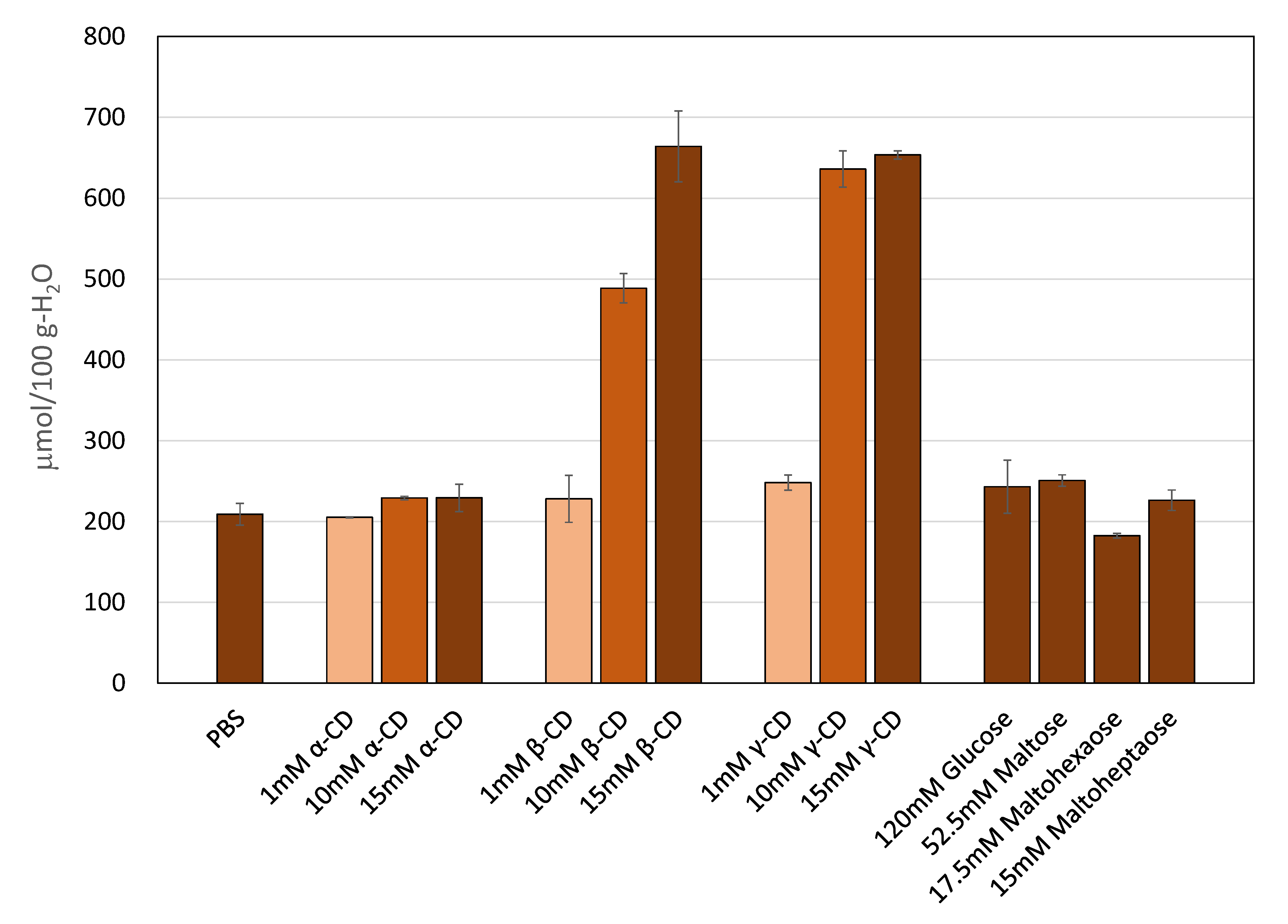
Figure 2.
Solubility of BSH-3R in an aqueous solution (PBS; pH 7.0) containing α-CD, β-CD, γ-CD, glucose, maltose, maltohexaose, and maltoheptaose at room temperature.
As a control, the solubility of BSH-3R in PBS was estimated to be 209 ± 13 μmol/100 g-H2O. This value was considerably lower than the dose of BSH used in clinical trials (810–1250 μmol BSH/100 g-H2O). Next, the solubility of BSH-3R in 1, 10, and 15 mM α-CD aqueous solutions (0.1, 1.0, and 2.0 equivalents to added BSH-3R powder, respectively) was estimated. These values were almost the same as the value in PBS (205 ± 1, 229 ± 2, and 229 ± 17 μmol/100 g-H2O in 1, 10, and 15 mM α-CD, respectively). On the other hand, the HPLC peak area of BSH-3R in β-CD aqueous solution was larger than that in PBS (Figure S20). This indicates that BSH-3R was dissolved in the aqueous solution under the influence of β-CD. Using this peak area, the solubility of BSH-3R in 1, 10, and 15 mM β-CD aqueous solutions was calculated to be 228 ± 29, 489 ± 18, and 664 ± 44 μmol/100 g-H2O, respectively. This shows that the water solubility of BSH-3R was improved depending on the concentration of β-CD. A similar concentration-dependent increase in BSH-3R solubility was confirmed in γ-CD aqueous solution (248 ± 9, 636 ± 22, and 653 ± 5 μmol/100 g-H2O in 1, 10, and 15 mM γ-CD, respectively). The change in the improvement of solubility by addition of β-CD is slower than that of γ-CD. This result indicates that addition of γ-CD improves the solubility of BSH-3R over β-CD. The solubility estimated for BSH-3R in 15 mM γ-CD is about 3 times that in PBS, close to the solubility of BSH required for clinical trials. These results indicated that the water solubility of BSH-3R was improved by adding CD to the aqueous solution. It was also found that this improvement in water solubility depended on the concentration and shape of CD. In other words, the water solubility of BSH-3R was improved with β-CD and especially γ-CD, having larger pore sizes, compared with that with α-CD, having a smaller pore size. This implies that interaction of the BSH-3R with CD improves the water solubility of BSH-3R.
Non-cyclized sugars (120 mM glucose, 52.5 mM maltose, 17.5 mM maltohexaose, and 15 mM maltoheptaose) were prepared as sugars other than CD such that the number of glucose units was the same as the number of glucose units of γ-CD of 2.0 equivalents of BSH-3R. Then, the solubility of BSH-3R was calculated. The solubility in these sugars was 243 ± 33, 251 ± 7, 183 ± 3, and 226 ± 13 μmol/100 g-H2O, respectively, the levels of which were almost the same as the solubility of BSH-3R in PBS. These results indicate that the presence of a simple sugar (glucose) is not important for improving the water solubility of BSH-3R, but the presence of a cyclized sugar is important. These results also support the assertion that CD may interact with BSH-3R.
From the above results, we concluded that the addition of CD may improve the water solubility by interaction of BSH-3R with CD. In particular, the addition of γ-CD was found to effectively improve the water solubility of BSH-3R.
3.2. Plots of Water Solubility of BSH-3R against CD
To characterize the improvement of water solubility of BSH-3R by CD, we varied γ-CD in aqueous solution to 0, 0.2, 0.5, 0.8, 1.0, 1.5, and 2.0 equivalents against 10 mM BSH-3R and plotted the solubility of BSH-3R (Figure 3). The results showed that the solubility of BSH-3R increased linearly and sharply from 0 to 1.0 equivalent of γ-CD (186 ± 5, 283 ± 3, 434 ± 20, 552 ± 27, and 551 ± 25 μmol/100 g-H2O, respectively). On the other hand, when γ-CD exceeded 1.0 equivalent, its solubility changed to a linear and gentle increase (551 ± 20, and 652 ± 30 μmol/100 g-H2O, respectively). This result indicates that the solubility of BSH-3R changes around 1.0 equivalent of γ-CD. In other words, the interaction between BSH-3R and γ-CD is shown to saturate at BSH-3R:γ-CD = 1:1. We conclude from this result that BSH-3R and γ-CD interact at a 1:1 ratio. That is, γ-CD interacts with BSH-3R, and CD increases water solubility by preventing contact between BSH containing negative charges and 3R containing positive charges. It is also considered that CD, which has high water solubility, interacts with BSH-3R to increase water solubility. This also supports the results in Figure 2.
Figure 3.
Plot of solubility of BSH-3R against concentration of γ-CD in aqueous solution. The concentration of BSH-3R was kept constant at 10 mM. The concentrations of γ-CD were 0, 2, 5, 10, 15, and 20 mM.
3.3. Solubility of BSH-nR with or without γ-CD
We attempted extension of the arginine unit of the BSH peptides to improve the water solubility of the BSH-peptide in a manner different from the addition of CD. This is because increasing the number of the basic and water soluble amino acid, Arg in BSH peptide, is expected to improve water solubility. We synthesized BSH-nR (BSH-4R, BSH-5R, BSH-6R, and BSH-7R) consisting of oligoarginine chains with lengths of 4, 5, 6 and 7 monomers other than BSH-3R. Recently, the intracellular delivery of different types of BSH containing octaarginine has been reported by Nakase et al. [23]. We estimated their solubility in PBS as described in Section 3.1 (Figure 4). The solubility of BSH-4R, BSH-5R, BSH-6R, and BSH-7R was 120 ± 9, 143 ± 18, 94 ± 17, and 138 ± 17 μmol/100 g-H2O, respectively. All of these values were lower than the solubility of BSH-3R in PBS (209 ± 13 μmol/100 g-H2O; Figure 2). These results indicate that, even if n in BSH-nR increases, the solubility does not increase, but instead decreases.
Figure 4.
Solubility of BSH-nR (n = 3, 4, 5, 6, and 7) with or without γ-CD in PBS (pH 7.0) at room temperature.
BSH-3R has a negative charge of −2 derived from BSH and a positive charge of +3 derived from triarginine within the molecule. Therefore, it is considered that BSH-3R precipitates from aqueous solution by forming an aggregate due to electrostatic interaction between BSH-3R molecules or within BSH-3R molecule. It is generally known that the water solubility of dodecaborate anions depends on the counter cation [24]. While the counter ions of dodecaborate clusters are highly water-soluble with sodium ions, they are drastically less water-soluble when replaced with guanidinium ions. Therefore, the low water solubility of BSH peptides may be due to the interaction between the anionic cluster and the guanidinium group of the arginine unit in the peptide. For BSH-nR (BSH-4R-BSH-7R), which contains more arginine residues, the net charge of the whole molecule is more positive (+2 to +5). From this, we expected that increasing the number of arginine residues in BSH-nR would improve its water solubility. However, the results do not appear to prevent the formation of BSH-nR aggregates in aqueous solution. Thus, it was found that increasing the chain length of oligoarginine does not improve the water solubility of BSH-nR.
On the other hand, the solubility of BSH-nR in 15 mM γ-CD aqueous solution (1.5 equivalent for added BSH-3R powder) was drastically higher than that of PBS (pH 7.0) (653 ± 1, 405 ± 8, 526 ± 6, 355 ± 8, and 438 ± 3 μmol/100 g-H2O at n = 3, 4, 5, 6, and 7, respectively). These results indicate that γ-CD interacts BSH-nR arginine irrespective of the chain length of BSH-nR to prevent the formation of aggregates due to contact between BSH and oligoarginine. In other words, it suggests that the CD shields the contact between the anionic cluster and the cationic peptide. These results also indicate that CD confers high water solubility on BSH-nR. It seems that this effect tends to be higher as the chain length of oligoarginine decreases. This may imply that the steric hindrance of oligoarginine in BSH-nR affects the interaction of the BSH with γ-CD.
3.4. Solubility of BSH-nEg-3R with or without γ-CD
We attempted to improve the water solubility of the BSH peptides by inserting an ethylene glycol linker (nEg) as methods different from the addition of CD and the extension of arginine units. We synthesized BSH peptides (BSH-nEg-3R) in which nEg was inserted between BSH and 3R (Figure 1), and investigated their solubility in aqueous solution. As the result, the solubility of BSH-nEg-3R (n = 2, 6, 12, and 28) was 525 ± 4, 745 ± 53, 1251 ± 88, and 1033 ± 68 μmol/100 g-H2O, respectively (Figure 5). This result revealed that the insertion of nEg improved the water solubility compared with the solubility of BSH-3R without nEg (209 ± 13 μmol/100 g-H2O). The water solubility of the BSH peptide is also drastically improved depending on the extension of the Eg linker, indicating that the improvement is due to the nEg linker. The solubility estimated for BSH-12Eg-3R in PBS is about 6 times that for BSH-3R in PBS, being comparable to the solubility of BSH required for clinical trials. Furthermore, this result indicates that the extension of the Eg linker gives better water solubility to the BSH peptide than the extension of the arginine units (nR). The improvement in water solubility of BSH peptides by inserting nEg is due to the effect of adding water-soluble ethylene glycol units and the effect of preventing interactions between BSH and oligoarginine peptides by keeping them away from each other. On the other hand, BSH-28Eg-3R showed slightly less water soluble than BSH-12Eg-3R, which probably indicates that the contribution of the Eg linker to the water solubility is saturated with a certain number of Eg units.
Figure 5.
Solubility of BSH-nEg-3R (n = 2, 6, 12, and 28) with or without γ-CD in PBS (pH 7.0) at room temperature.
Next, we investigated the solubility of BSH-nEg-3R in an aqueous solution containing 1.5 equivalents of γ-CD. As the result, the solubility of BSH-nEg-3R (n = 2, 6, 12 and 28) was 578 ± 137, 977 ± 12, 920 ± 3, and 1014 ± 83 μmol/100 g-H2O, respectively. In BSH-nEg-3R inserted shorter Eg linker (2Eg and 6Eg), improvement in water solubility was observed by the addition of CD. This result indicates that the combined use of nEg insertion of six ethylene glycol units or less and interaction of BSH-nEg-3R with CD leads to a further improvement of water solubility. Whereas, in BSH-12Eg-3R and BSH-28Eg-3R, the water solubility was slightly reduced by the addition of CD. This result may indicate that a longer nEg linker inhibits interaction of BSH peptide with CD.
4. Conclusions
While various boron agents have been developed as new boron delivery agents to replace BPA and BSH, we have developed BSH-3R, which links BSH and the cell-penetrating peptide. However, the water solubility of BSH-3R was low and it requires further improvement for in vivo use. In this study, it was clarified that the water solubility of BSH-3R was improved by adding CD to the aqueous solution. The 1:1 interaction between BSH-3R and γ-CD, as shown in Figure 3, also supports the conclusion.
We clarified that the water solubility of BSH peptides was not improved even if the arginine chain length of BSH-nR was increased, but the water solubility was improved by introducing an ethylene glycol linker into BSH-3R. Further improvement of the water solubility of BSH-nR and BSH-nEg-3R was observed by the addition of CD. For example, the solubility of BSH-3R in PBS (209 ± 13 μmol/100 g-H2O) was not as high as the concentration of BSH aqueous solution used in clinical trials (810–1250 μmol/100 g-H2O), however, the solubility of BSH-12Eg-3R (1251 ± 88 μmol/100 g-H2O) and BSH-6Eg-3R (977 ± 12 μmol/100 g-H2O) in 15 mM γ-CD aqueous solution was comparable to the concentration of BSH aqueous solution used in clinical trials.
The evaluation of the water solubility of the compound by HPLC used in this study is easy and convenient, however, a more detailed analysis of the inclusion of the peptides in CDs needs to be performed by NMR, DSC, and so on [25,26,27,28,29]. In the future, we would like to initiate animal testing on this approach for improving the water solubility of BSH peptides as carried out in this study.
Supplementary Materials
The following are available online at https://www.mdpi.com/2227-9717/9/1/167/s1: Figures S1–S9: MALDI-TOF mass spectra of BSH peptides, Figures S10–S18: RP-HPLC charts of BSH peptides, Figure S19: calibration curve for estimation of the water solubility of BSH-3R, Figure S20: HPLC charts of BSH-3R treated with β-CD.
Author Contributions
Conceptualization, H.M.; methodology, M.K.; software, M.K.; validation, M.K. and H.M.; formal analysis, A.N.-T., Y.I. and M.K.; investigation, A.N.-T., Y.I. and M.K.; resources, M.K. and H.M.; data curation, M.K.; writing—original draft preparation, M.K.; writing—review and editing, H.M.; visualization, M.K.; supervision, M.K.; project administration, M.K.; funding acquisition, M.K. and H.M. All authors have read and agreed to the published version of the manuscript.
Funding
This research was funded by Takeda Science Foundation.
Institutional Review Board Statement
Not applicable.
Informed Consent Statement
Not applicable.
Data Availability Statement
Not applicable.
Acknowledgments
We thank Ueda Ai (Okayama University) for providing technical support.
Conflicts of Interest
The authors declare no conflict of interest. The funding sponsors had no role in the design of the study; in the collection, analyses, or interpretation of data; in the writing of the manuscript; nor in the decision to publish the results.
References
- Barth, R.F.; Vicente, M.G.H.; Harling, O.K.; Kiger III, W.S.; Riley, K.J.; Binns, P.J.; Franz, M.; Wagner, F.M.; Suzuki, M.; Aihara, T.; et al. Current status of boron neutron capture therapy of high grade gliomas and recurrent head and neck cancer. Radiat. Oncol. 2012, 7, 146–166. [Google Scholar] [CrossRef] [PubMed]
- Kato, I.; Ono, K.; Sakurai, Y.; Ohmae, M.; Maruhashi, A.; Imahori, Y.; Kirihata, M.; Nakazawa, M.; Yura, Y. Effectiveness of BNCT for recurrent head and neck malignancies. Appl. Radiat. Isot. 2004, 61, 1069–1073. [Google Scholar] [CrossRef]
- Hu, K.; Yang, Z.; Zhang, L.; Xie, L.; Wang, L.; Xu, H.; Josephson, L.; Liang, S.H.; Zhang, M.-R. Boron agents for neutron capture therapy. Coord. Chem. Rev. 2020, 405, 213139–213158. [Google Scholar] [CrossRef]
- Barth, R.F.; Mi, P.; Yang, W. Boron delivery agents for neutron capture therapy of cancer. Cancer Commun. 2018, 38, 35. [Google Scholar] [CrossRef] [PubMed]
- Michiue, H.; Sakurai, Y.; Kondo, N.; Kitamatsu, M.; Bin, F.; Nakajima, K.; Hirota, Y.; Kawabata, S.; Nishiki, T.; Ohmori, I.; et al. The acceleration of boron neutron capture therapy using multi-linked mercaptoundecahydrododecaborate (BSH) fused cell-penetrating peptide. Biomaterials 2014, 35, 3396–3405. [Google Scholar] [CrossRef] [PubMed]
- Hattori, Y.; Kusaka, S.; Mukumoto, M.; Uehara, K.; Asano, T.; Suzuki, M.; Masunaga, S.; Ono, K.; Tanimori, S.; Kirihata, M. Biological evaluation of dodecaborate-containing L-amino acids for boron neutron capture therapy. J. Med. Chem. 2012, 55, 6980–6984. [Google Scholar] [CrossRef] [PubMed]
- Iguchi, Y.; Michiue, H.; Kitamatsu, M.; Hayashi, Y.; Takenaka, F.; Nishiki, T.; Matsui, H. Tumor-specific delivery of BSH-3R for boron neutron capture therapy and positron emission tomography imaging in a mouse brain tumor model. Biomaterials 2015, 56, 10–17. [Google Scholar] [CrossRef] [PubMed]
- Kawabata, S.; Miyatake, S.; Kuroiwa, T.; Yokoyama, K.; Doi, A.; Iida, K.; Miyata, S.; Nonoguchi, N.; Michiue, H.; Takahashi, M.; et al. Boron neutron capture therapy for newly diagnosed glioblastoma. J. Radiat. Res. 2009, 50, 51–60. [Google Scholar] [CrossRef]
- Nakagawa, Y.; Pooh, K.; Kobayashi, T.; Kageji, T.; Uyama, S.; Matsumura, A.; Kumada, H. Clinical review of the Japanese experience with boron neutron capture therapy and a proposed strategy using epithermal neutron beams. J. Neuro-Oncol. 2003, 62, 87–99. [Google Scholar] [CrossRef]
- Assaf, K.I.; Suckova, O.; Danaf, N.A.; Glasenapp, V.; Gabel, D.; Nau, W.M. Dodecaborate-functionalized anchor dyes for cyclodextrin-based indicator displacement applications. Org. Lett. 2016, 18, 932–935. [Google Scholar] [CrossRef] [PubMed]
- Assaf, K.I.; Ural, M.S.; Pan, F.; Georgiev, T.; Simova, S.; Rissanen, K.; Gabel, D.; Nau, W.M. Water structure recovery in chaotropic anion recognition: High-affinity binding of dodecaborate clusters to γ-cyclodextrin. Angew. Chem. Int. Ed. 2015, 54, 6852–6856. [Google Scholar] [CrossRef] [PubMed]
- Ohta, K.; Konno, S.; Endo, Y. Complexation of β-cyclodextrin with carborane derivatives in aqueous solution. Tetrahedron Lett. 2008, 49, 6525–6528. [Google Scholar] [CrossRef]
- Ohta, K.; Konno, S.; Endo, Y. Complexation of α-cyclodextrin with carborane derivatives in aqueous solution. Chem. Pharm. Bull. 2009, 57, 307–310. [Google Scholar] [CrossRef][Green Version]
- Assaf, K.I.; Begaj, B.; Frank, A.; Nilam, M.; Mougharbel, A.S.; Kortz, U.; Nekvinda, J.; Grüner, B.; Gabel, D.; Nau, W.M. High-affinity binding of metallacarborane cobalt bis(dicarbollide) anions to cyclodextrins and application to membrane translocation. J. Org. Chem. 2019, 84, 11790–11798. [Google Scholar] [CrossRef] [PubMed]
- Neirynck, P.; Schimer, J.; Jonkheijm, P.; Milroy, L.-G.; Cigler, P.; Brunsveld, L. Carborane–β-cyclodextrin complexes as a supramolecular connector for bioactive surfaces. J. Mater. Chem. B 2015, 3, 539–545. [Google Scholar] [CrossRef] [PubMed]
- Xiong, H.; Zhou, D.; Zheng, X.; Qi, Y.; Wang, Y.; Jing, X.; Huang, Y. Stable amphiphilic supramolecular self-assembly based on cyclodextrin and carborane for the efficient photodynamic therapy. Chem. Commun. 2017, 53, 3422–3425. [Google Scholar] [CrossRef] [PubMed]
- Nekvinda, J.; Grüner, B.; Gabel, D.; Nau, W.M.; Assaf, K.I. Host–guest chemistry of carboranes: Synthesis of carboxylate derivatives and their binding to cyclodextrins. Chem. Eur. J. 2018, 24, 12970–12975. [Google Scholar] [CrossRef]
- Assaf, K.I.; Hennig, A.; Peng, S.; Guo, D.-S.; Gabel, D.; Nau, W.M. Hierarchical host–guest assemblies formed on dodecaborate-coated gold nanoparticles. Chem. Commun. 2017, 53, 4616–4619. [Google Scholar] [CrossRef]
- Futaki, S. Membrane-permeable arginine-rich peptides and the translocation mechanisms. Adv. Drug Deliv. Rev. 2005, 57, 547–558. [Google Scholar] [CrossRef]
- Kosuge, M.; Takeuchi, T.; Nakase, I.; Jones, A.T.; Futaki, S. Cellular internalization and distribution of arginine-rich peptides as a function of extracellular peptide concentration, serum, and plasma membrane associated proteoglycans. Bioconjugate Chem. 2008, 19, 656–664. [Google Scholar] [CrossRef]
- Hitsuda, T.; Michiue, H.; Kitamatsu, M.; Fujimura, A.; Wang, F.; Yamamoto, T.; Han, X.-J.; Tazawa, H.; Uneda, A.; Ohmori, I.; et al. A protein transduction method using oligo-arginine (3R) for the delivery of transcription factors into cell nuclei. Biomaterials 2012, 33, 4665–4672. [Google Scholar] [CrossRef]
- Irie, T.; Otagiri, M.; Sunada, M.; Uekama, K.; Ohtani, Y.; Yamada, Y.; Sugiyama, Y. Cyclodextrin induced hemolysis and shape changes of human erythrocytes in vitro. J. Pharm. Dyn. 1982, 5, 741–744. [Google Scholar] [CrossRef]
- Nakase, I.; Katayama, M.; Hattori, Y.; Ishimura, M.; Inaura, S.; Fujiwara, D.; Takatani-Nakase, T.; Fujii, I.; Futaki, S.; Kirihata, M. Intracellular target delivery of cell-penetrating peptide-conjugated dodecaborate for boron neutron capture therapy (BNCT). Chem. Commun. 2019, 55, 13955–13958. [Google Scholar] [CrossRef]
- Sharon, P.; Afri, M.; Mitlin, S.; Gottlieb, L.; Schmerling, B.; Grinstein, D.; Welner, S.; Frimer, A.A. Preparation and characterization of bis(guanidinium) and bis(aminotetrazolium)dodecahydroborate salts: Green high energy nitrogen and boron rich compounds. Polyhedron 2019, 157, 71–89. [Google Scholar] [CrossRef]
- Linde, G.A.; Junior, A.L.; de Faria, E.V.; Colauto, N.B.; de Moraes, F.F.; Zanin, G.M. The use of 2D NMR to study β-cyclodextrin complexation and debittering of amino acids and peptides. Food Res. Int. 2010, 43, 187–192. [Google Scholar] [CrossRef]
- Huh, K.M.; Ooya, T.; Sasaki, S.; Yui, N. Polymer inclusion complex consisting of poly(ε-lysine) and α-cyclodextrin. Macromolecules 2001, 34, 2402–2404. [Google Scholar] [CrossRef]
- Zhao, R.; Sandström, C.; Zhang, H.; Tan, T. NMR study on the inclusion complexes of β-cyclodextrin with isoflavones. Molecules 2016, 21, 372. [Google Scholar] [CrossRef]
- Kost, B.; Brzeziński, M.; Zimnicka, M.; Socka, M.; Wielgus, E.; Słowianek, M.; Biela, T. PLA stereocomplexed microspheres modified with methyl-b-cyclodextrin an an atropine delivery system. Synthesis and characterization. Mater. Today Commun. 2020, 25, 101605–101615. [Google Scholar] [CrossRef]
- Crupi, V.; Ficarra, R.; Guardo, M.; Majolino, D.; Stancanelli, R.; Venuti, V. UV-vis and FTIR-ATR spectroscopic technique to study the inclusion complexes of genistein with β-cyclodextrins. J. Pharm. Biomed. Anal. 2007, 44, 110–117. [Google Scholar] [CrossRef]
Publisher’s Note: MDPI stays neutral with regard to jurisdictional claims in published maps and institutional affiliations. |
© 2021 by the authors. Licensee MDPI, Basel, Switzerland. This article is an open access article distributed under the terms and conditions of the Creative Commons Attribution (CC BY) license (http://creativecommons.org/licenses/by/4.0/).




