Abstract
Bulk, solventless anionic ring-opening polymerization (AROP) of ε-caprolactam (CPL) with high yields, without side products and with short reaction times, initiated by caprolactamate-carbamoylcaprolactam initiating systems belong to green polymerization processes, leading to poly(ε-caprolactam) (Polyamide 6, PA6, Nylon 6). However, the effect of post-polymerization heat (i.e., slow, technically feasible cooling) on the fundamental characteristics of the resulting polymers such as yield and molecular weight distributions (MWDs) have not been revealed thus far. Significant post-polymerization effect was found by us in terms of both monomer conversions and MWDs by carrying out CPL polymerization with industrial components under conditions mimicking thermoplastic reaction transfer molding (T-RTM). Remarkably, higher monomer conversions and molecular weights (MWs) were obtained for Polyamide 6 samples prepared without quenching than that for the quenched polymers at the same reaction times. Independent of quenching or non-quenching, Mn of the resulting polymers as a function of conversion fell in the theoretical line of quasiliving AROP of CPL. At high monomer conversions, significant increase of the MW and broadening of the MWDs occurred, indicating pronounced chain–chain coupling. These findings have fundamental importance for designing processing conditions for in situ polymerization processes of ε-caprolactam by various techniques such as T-RTM, reaction injection molding (RIM), and other processing methods of Polyamide 6.
Keywords:
ε-caprolactam (CPL); Polyamide 6; Nylon 6; anionic ring-opening polymerization (AROP); sodium caprolactamate; hexamethylene-1,6-dicarbamoylcaprolactam; quasiliving polymerization; post-polymerization effect; chain branching; chain-chain coupling; thermoplastic reaction transfer molding (T-RTM) 1. Introduction
According to the major requirements of green chemical processes [1], the most efficient green techniques do not use solvents and reach quantitative conversions without by-products, aside from minimal energy consumption. Polymers with recycling possibilities [2,3] from renewable resources [4,5] and with minimal or no waste [6] are among the recent approaches used to obtain such green polymer products. Under certain conditions, the bulk (melt) anionic ring-opening polymerization (AROP) of ε-caprolactam (CPL) to prepare poly(ε-caprolactam) (PCPL, Polyamide 6, PA6, Nylon 6) can be a green industrial process. This can be carried out without any side products and with nearly quantitative yields [7,8,9,10,11,12,13,14,15,16,17,18,19,20]. Not only is the process is “green”, but the monomer, CPL, can be obtained from renewable resources [21,22,23,24] and the product (Polyamide 6) can be recycled either by physical processes or chemically (via depolymerization) to regenerate the ε-caprolactam starting material [25,26,27]. Since the discovery of synthetic polyamides nine decades ago [28], these aspects make Polyamide 6 an attractive material among this class of polymers both for academia and industry, generating continuous interest and intensive research and developments.
The AROP of ε-caprolactam with a metal (e.g., sodium, potassium, magnesium) lactamate initiator is a slow process with significant induction periods. However, if such initiators are used in conjunction with activators such as carbamoylcaprolactams, the bulk (melt) polymerization of CPL leads to high, near quantitative yields in a short time (min) at elevated temperatures (see e.g., [7,8,9,10,11,12,13,14,15,16,17,18,19] and references therein). The resulting Polyamide 6 of these types of polymerizations is a unique member of the nylon family with high strength-to-weight ratio, stiffness, elasticity, resilience, low friction, good chemical and thermal stability, and durability, etc. [13,14,15,16,17,18,29,30,31,32,33]. These allow to use this polymer in a broad range of products ranging from fibers to medical devices, membranes, construction materials, and engineering plastics, mainly for automotive and aerospace applications, etc.
The usual processing of plastics including nylons takes place by the melting and subsequent processing of preformed polymers by a variety of techniques such as extrusion, molding, calendering, film forming, pressing, fiber forming, etc. Recently, polymerizations of suitable monomers in situ in the mold have become the focus of polymer processing research and developments. Such processes are called thermoplastic reaction transfer molding (T-RTM) and are performed in the presence of additives such as reinforcing agents, fillers, and other compounds (e.g., flame retardants, stabilizers, colorants etc.). The T-RTM of ε-caprolactam is widely investigated worldwide nowadays (see e.g., [7,8,9,10,11,12,13,14,15,16,34,35,36,37,38,39] and references therein). However, despite the broad interest in the T-RTM processing of Polyamide 6 goods, important characteristics of this process are still lacking. Usually, the conversion of the CPL monomer and molecular weight distributions of the polymers obtained in such bulk polymerizations are not determined at all in most cases. These are crucial parameters in relation to polymer properties, and thus to processing and application possibilities.
Recently, due to the disadvantageous effect of moisture on CPL polymerization by the caprolactamate–carbamoylcaprolactam initiating systems, Wendel et al. [9,10] investigated the effect of water on CPL polymerization by the T-RTM method, and found that additional amounts of initiator–activator combinations can compensate the undesired effect of water. Kang and coworkers [11] attempted to determine the effect of the injection rate of the components of CPL of AROP to produce carbon fiber reinforced Polyamide 6 composites, and reported high CPL yields under certain optimized conditions. One of the drawbacks of these and other reports on T-RTM and other in situ polymerization processes of molten CPL is related to the lack of information on the effect of additional heat present in the processed Polyamide 6 materials while cooling slowly in open air after finishing the processing step. The influence of such slow post-polymerization cooling on the monomer conversion and molecular weight distribution (MWD) along with the average molecular weights has not been reported for the polymerization of CPL thus far. Herein, we report on the effect of the post-polymerization heat (i.e., slow cooling) with a comparison to immediate quenching on the major parameters (monomer conversion, MWD, and average molecular weights) of Polyamide 6 prepared by bulk (melt) CPL polymerization. Industrial components were used via a method mimicking the thermoplastic reaction transfer molding (T-RTM) and other reaction injection molding (RIM) processes.
2. Materials and Methods
2.1. Materials
The ε-caprolactam (CPL) monomer (AP-NYLON® Caprolactam, Brüggemann Chemical, Heilbronn, Germany) (Tm = 71 °C, Tb = 270 °C, 4.87 mPa·s viscosity at 100 °C) was dried under vacuum at 35 °C overnight before use to reach a low moisture level in this compound. Sodium caprolactamate (Tm = 64 °C) initiator (Brüggolen C10, 17–19% in CPL; Brüggemann Chemical, Heilbronn, Germany) and the bifunctional hexamethylene-1,6-dicarbamoylcaprolactam (Tm = 77 °C) activator (Brüggolen C20P, 17% in CPL, Brüggemann Chemical, Heilbronn, Germany) were also dried under vacuum at 35 °C overnight before the polymerization reaction.
2.2. Polymerization of ε-Caprolactam with and without Quenching
Poly(ε-caprolactam) (PA6) was synthesized by anionic ring-opening polymerization (AROP) of CPL with 93.6/3.2/3.2 wt% CPL/C10/C20P ratios on the basis of our recent findings on optimal polymerization conditions with these components [40]. In this process, C10 initiator (0.075 g) and a half portion of CPL (1.1 g) (mixture A) were added in a glass vial, and this mixture was dried under vacuum for one hour at 40 °C, and subsequently it was flushed with nitrogen for 5 min. Then, the vial was closed by a septum. The C20P activator (0.075 g) and the other half portion of CPL (1.1 g) (mixture B) were added in another glass vial, and then dried and flushed the same way as mixture A. Then, both mixtures were heated to 110 °C to obtain low viscosity melts. Subsequently, mixture B was added into mixture A through the septum with a preheated glass syringe. After quick homogenization, the final mixture was immediately heated to the reaction temperature of 170 °C in a preheated aluminum heating device. The polymerization was either quenched by cooling the reaction mixture immediately with a cold water bath at predetermined reaction times, or the reaction vials were removed from the heating device and were allowed to cool to room temperature in open air in a laboratory hood in the non-quenched cases. The products were cooled by liquid nitrogen, and the cooled samples were crushed to obtain powdery materials, which were then dried in vacuum at 40 °C until constant weight.
2.3. Measurements
The monomer conversion was determined gravimetrically. The crushed samples were stirred in water at 95 °C overnight to extract the water soluble unreacted monomer and smaller oligomers, and then filtered. The remaining water insoluble powdery solid polymer samples were dried under vacuum at 40 °C until constant weight, and the measured weights provided the monomer conversion values.
Gel permeation chromatography (GPC) (also called size exclusion chromatography, SEC) of the resulting Polyamide 6 samples was carried out with a chromatographic setup equipped with a Waters 515 HPLC pump and Shodex HFIP-806M column (both from Waters Hungary Ltd., Budapest, Hungary) and Agilent 1260 Infinity RI detector (Agilent Technologies Ltd., Craven Arms, UK). 2,2,2-Trifluorethanol (TFE) (Fluorochem Ltd., Hadfield, UK) was used as the eluent with added sodium trifluoracetate salt (Sigma-Aldrich) with a flow rate of 0.5 mL/min at 40 °C. For calibration, narrow molecular weight distribution poly(methyl methacrylate) (PMMA) standards were used.
3. Results and Discussion
It is widely accepted that the anionic ring-opening polymerization (AROP) of ε-caprolactam (CPL) initiated by the industrially used sodium caprolactamate initiator in conjunction with carbamoylcaprolactam (CCPL) activators proceeds via rapid ring-opening and insertion of the caprolactamate in the CCPL, as shown in Scheme 1. The resulting imide anion abstracts a proton from a monomer by which a new, strongly nucleophilic caprolactamate anion is formed. Chain growth occurs by repeating ring-opening and insertion in the carbamoylcaprolactam ring. This leads to the formation of a highly reactive amide anion, where abstracting a proton from a monomer leads to a new caprolactamate anion. In the absence of chain breaking side reactions until the monomer is present, repeating this process yields Polyamide 6 with well-defined average molecular weights determined by the ratio of monomer to activator. It is well established that all the elementary processes of AROP are reversible reactions including the polymerization–depolymerization equilibrium [7,9,13,33,41,42,43]. With hexamethylene-1,6-dicarbamoylcaprolactam (HDCC) as a bifunctional activator, the chains grow in both directions. From technical point of views, systematic investigations on the fate of polymer chains at high monomer conversions (i.e., under monomer starved conditions) and the effect of post-polymerization heat, that is slow cooling of the resulting polymers, have not been reported thus far, according to our knowledge. Both aspects are of paramount importance for the production of Polyamide 6 and end products, especially for products obtained by the in situ polymerization of CPL with T-RTM and other injection molding techniques. Usually there is no capacity for quick quenching, which would actually require additional equipment and extra production costs, not to mention the environmental effects of cooling with water. In order to reveal the impact of post-polymerization, polymerizations of CPL with and without quenching were carried out with an industrial sodium caprolactamate initiator (C10) in conjunction with HDCC (C20P) at 170 °C for predetermined polymerization times.
Scheme 1.
Anionic ring-opening polymerization (AROP) of ε-caprolactam (CPL) by the lactamate–carbamoylcaprolactam initiator–activator combination.
The monomer conversions at different reaction times are shown in Table 1. According to the data, significant differences were observed for the monomer conversions between the quenched and non-quenched samples in the first 2 min of CPL polymerizations. In the first 0.5 min, the monomer conversions were 8.0% and 36.6% with and without quenching, respectively. At 1–2 min polymerization times, 14.3% and 75.0%, and 74.6% and 85.5% conversions were reached with and without quenching, respectively. This effect is well illustrated in Figure 1, which displays the monomer conversions as a function of the reaction time for both the quenched and unquenched samples. It can be clearly seen that remarkable differences exist in the first 2 min between the monomer conversions for samples with and without quenching. This means that the post-polymerization heat provides sufficient conditions for additional CPL polymerization as the reaction mixture slowly cools to room temperature. These results corroborate the claims in the literature, according to which bulk polymerization of CPL with the caprolactamate–carbamoylcaprolactam initiating systems can be carried out at temperatures above about 120 °C. Consider the fact that usual T-RTM and other reaction injection molding (RIM) processes for the preparation of Polyamide 6 products by in situ AROP of CPL are carried out at significantly higher temperatures. The temperature range of cooling to reach low or zero polymerization rates is relatively broad. This means that the polymerization active temperature and time window provide sufficient conditions for polymerizations, even during the cooling of the products without quenching. At 3 min or higher polymerization times, nearly quantitative monomer conversions can be reached independent of quenching or non-quenching. These findings clearly indicate that the post-polymerization heat, that is, slow cooling of Polyamide 6 objects, obtained via bulk (melt) in situ polymerization of CPL plays a significant role in the extent of monomer conversion. This post-polymerization heat effect can be taken into account in industrial Polyamide 6 production by optimizing the reaction time, and thus save energy by reducing the polymerization time to a level that still allows high conversions via the usually applied natural slow cooling of the products. Considering this effect in production processes may even also increase the productivity.
Table 1.
Reaction time, monomer conversion, number average molecular weight (Mn), and polydispersity index (PDI = Mw/Mn) of Polyamide 6 samples obtained by bulk (melt) anionic ring-opening polymerization of ε-caprolactam (CPL) with the C10-C20P initiating system with and without quenching (without quenching is assigned by star (*); CPL/C10/C20 = 93.6/3.2/3.2 wt% 170 °C reaction temperature).
Figure 1.
The conversion of ε-caprolactam in bulk (melt) AROP with and without quenching as a function of polymerization time (CPL/C10/C20 = 93.6/3.2/3.2 wt%, 170 °C reaction temperature).
GPC curves of the resulting polymers obtained at different reaction times with and without quenching are displayed in Figure 2. The monomer peak at ~28.7 mL of elution volume decreased and simultaneously the polymer peaks appeared and increased at lower elution volumes with increasing polymerization time. For non-quenched samples, with the exception of the polymer prepared with 5 min reaction time, a small peak appeared at ~27.5 mL of elution volume in the GPC curves (i.e., between the main polymer and monomer peaks (Figure 2)). This was assigned by Russo and coworkers [41,42] to the formation of cycles by transamidation and backbiting between the polymer chains. Our findings contradict their results to some extent, because these authors detected cyclics by GPC in the case of quenched Polyamide 6 samples obtained by AROP of CPL [42]. In our case, the formation of cyclic products was more pronounced in the course of slow cooling than for polymers prepared via the quick quenching process. As to the main polymer peaks, these shifted to lower elution volumes (i.e., to higher molecular weights) with increasing reaction time. In other words, the molecular weight increased with increasing monomer conversions up to about 3 min polymerization, as the data indicate in Table 1. These data also reveal that the Mn values were higher for the non-quenched samples than that for the polymers prepared by quenching at the same polymerization times. Surprisingly, the molecular weights increased with increasing reaction time even after reaching nearly quantitative conversions (i.e., at 4 and 5 min). At the same time, the polydispersities also increased, indicating molecular weight distribution (MWD) broadening.
Figure 2.
The Gel permeation chromatography (GPC) chromatograms of Polyamide 6 samples prepared by bulk (melt) AROP of ε-caprolactam with different polymerization times with and without quenching (without quenching is assigned by star (*); CPL/C10/C20 = 93.6/3.2/3.2 wt%, 170 °C reaction temperature).
Plotting the average molecular weights and the polydispersity values (PDI = Mw/Mn) as a function of polymerization time in Figure 3a,b, respectively, definitely revealed this tendency. As displayed in Figure 3a, the Mn values were significantly higher for all the non-quenched polymers than that for the quenched Polyamide 6 samples prepared with the same polymerization times. It can also be seen in this figure that the average molecular weights increased with reaction time in both cases independent of the quenching/non-quenching process. The polydispersities were nearly constant up to about 2 min of polymerization time in the case of the quenched samples, then gradually increased, as shown in Figure 3b and Table 1. In contrast, the Mw/Mn values were significantly higher in the cases of the non-quenched samples than those for the quenched ones at polymerization times longer than 1 min, and reached the same value at 5 min reaction times. These findings indicate that processes leading to molecular weight increase and MWD broadening occur at polymerization times with high monomer conversions during the melt anionic ring-opening polymerization of ε-caprolactam. These are in accordance with the results of Russo et al. [42], who found molecular weight increase with increasing polymerization time from 3 min to 10 min by carrying out CPL polymerization with a monofunctional carbamoyl activator at 155 °C, but Mn and Mw/Mn data were not reported by these authors.
Figure 3.
The average molecular weights (Mn) (a) and the polydispersity index (PDI = Mw/Mn) (b) of Polyamide 6 samples prepared by bulk (melt) AROP of ε-caprolactam with and without quenching as a function of polymerization time (CPL/C10/C20 = 93.6/3.2/3.2 wt%, 170 °C reaction temperature).
The Mn and Mw/Mn versus monomer conversion plots in Figure 4a,b, respectively, corroborates the conclusions presented above, and the correlations between these data and conversion affords even more insight into the ongoing processes in the AROP of CPL. As shown in Figure 4a, the Mn of the resulting Polyamide 6 increased linearly with monomer conversion up to about 80% conversion, independent of whether the samples were obtained with or without quenching. Surprisingly, these data fit very well with the theoretical straight line calculated by assuming quasiliving AROP of CPL with initial rapid quantitative consumption of the activator for chain initiation and without any side reaction. In such a case, the average molecular weight (Mn) of the polymer in the case of faster initiation than propagation can be calculated by the following Equation (1):
where MA, MCL, XP, C0, and CA stand for the molecular weight of the activator, the molecular weight of the monomer, the monomer conversion, initial molar amount of the CPL monomer, and the molar amount of the activator, respectively. This result is equivalent with the mechanism shown in Scheme 1, according to which the AROP of CPL by the lactamate–carbamoylcaprolactam initiating system proceeds without interruption until the monomer is present in the absence of side reactions. Considering the fact that all elementary reactions of CPL polymerization displayed in this Scheme are reversible reactions, such polymerization belongs to the class of quasiliving polymerizations as mentioned already by Russo et al. [42] and Hashimoto [43]. The term “living-reversible” polymerization was also used for these polymerizations [42]. Indeed, polymerizations that proceed with equilibria between polymer chains able to react with the monomer (propagating, living chains) and those that are not reacting with the monomer (nonpropagating, nonliving chains) in the absence of permanent chain breaking reactions such as irreversible termination and/or chain transfer are defined as quasiliving polymerizations [44,45,46].
Mn = MA + MCL · XP · C0/CA
Figure 4.
The average molecular weights (Mn) (a) and the polydispersity index (PDI = Mw/Mn) (b) of Polyamide 6 samples prepared by AROP of ε-caprolactam with and without quenching as a function of monomer conversion (CPL/C10/C20 = 93.6/3.2/3.2 wt%, 170 °C reaction temperature).
In Figure 4a, it is eye-catching that the Mn values fell high above the theoretical line of quasiliving CPL polymerization in the Mn versus conversion plot when the conversion exceeded 80%, especially when it reached nearly 100%. This means that chain–chain coupling occurs at high conversions, that is, under monomer starved conditions. The changes in the macromolecular structure are also reflected by the increase of the polydispersity at high conversions, as shown in Figure 4b. As presented in this figure, the Mw/Mn, independent of quenching or non-quenching, was relatively low and approximately constant in the range of 1.3–1.4, up to about 80% monomer conversion. Close to 100% conversions, high Mw/Mn values were observed up to close to 4, indicating significant chain–chain coupling at high conversions in both the quenched and non-quenched samples.
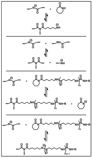
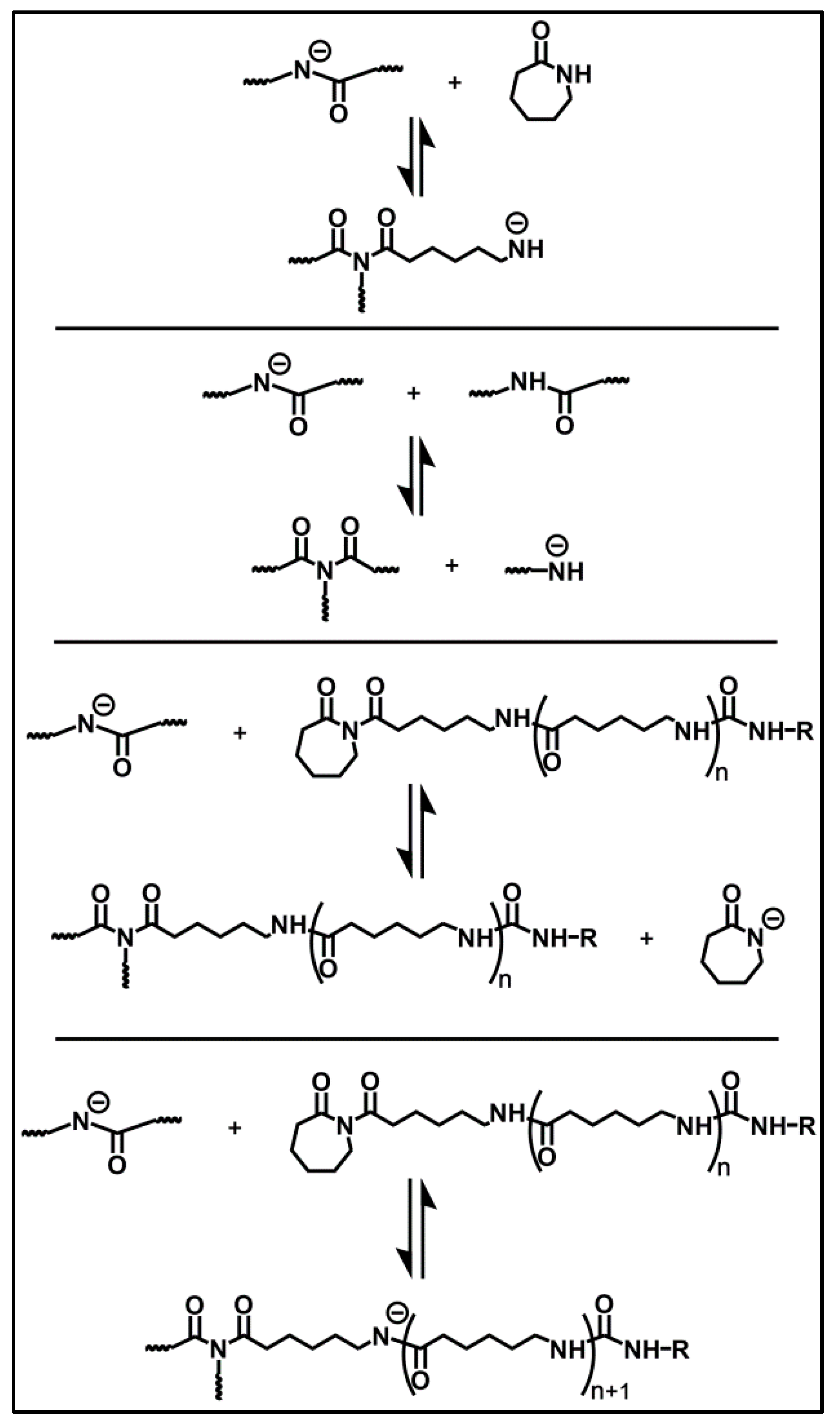
A closer look at the mechanism in Scheme 1 and the structure of the monomer and the polymer chain, both with amide groups, evidently indicates that both the caprolactamate anion and the amide anion in the polymer chain can abstract protons from any amide group in the polyamide chains. These reactions, resulting in reactive in-chain amide anions, are depicted in Scheme 2. These processes can obviously take place with much higher frequency in the absence of the monomer than in the course of the polymerization at lower monomer conversions. This explains the occurrence of chain branching at high monomer conversions. As already mentioned in previous publications [42,47,48], the reaction of the in-chain amide anions with the CPL monomer or another polymer chain can lead to acylation and transamidation, and thus to branching or even to crosslinking [47]. The possible branching reactions are displayed in Scheme 3. As shown at the top of Scheme 3, branching may occur by a reaction of the in-chain amide anion with the CPL monomer. However, because of the low concentration of the monomer at high conversions, this reaction is expected to have a negligible role in Polyamide 6 branching. Reaction of the amide anion with an amide linkage in another polymer chain (second reaction in Scheme 3) may lead to a branched chain and another polymer with reactive amine anion terminus, which can easily abstract a proton from an amide group of a monomer unit, and thus form a new in-chain amide anion. When this reacts with the carbamoyl chain end, then in addition to branching, either a caprolactamate anion can be formed (third reaction in Scheme 3), or ring-opening with insertion occurs (fourth reaction in Scheme 3).
Scheme 2.
Reactions of the caprolactamate monomeric (top) and propagating polymeric (bottom) amide anions with an amide group in the polymer chain to form in-chain reactive amide anions.
Scheme 3.
Possible branching reactions in the course of the anionic ring-opening polymerization of ε-caprolactam.
It has to be noted that in the presence of larger amounts of the CPL monomer, these branching reactions are largely suppressed due to the much higher overall rate of the polymerization process shown in Scheme 1, than that of the formation and reactions of the in-chain amide anions. Due to the fact that from practical industrial point of views, ideally quantitative monomer conversions are required, our findings should be taken into account in order to determine the optimal reaction conditions and time for avoiding undesired branching and crosslinking, especially in T-RTM and RIM processes utilizing in situ polymerization of ε-caprolactam.
4. Conclusions
In order to gain insights into the bulk (melt) AROP of ε-caprolactam (CPL) by a caprolactamate initiator in conjunction with a carbamoylcaprolactam activator with and without quenching, systematic polymerization reactions were carried out. It was found that high yields without any side products could be achieved in short times (3–5 min) in this green polymerization process. Significant polymerization occurs without quenching (i.e., by slow cooling of the reaction mixture due to the post-polymerization heat). Analyzing the resulting polymers by GPC revealed that quasiliving polymerization of CPL took place up to about 80% of monomer conversion independent of quenching or non-quenching. This is followed by significant chain–chain coupling at high conversions, that is, under monomer starved conditions. This is due to the reaction of the amide anions in the polymer chains with amide groups in other polymer molecules. The gained results indicate that shorter reaction times than those usually applied are sufficient to reach near to quantitative monomer conversions. This provides the possibility of increasing both the productivity and energy saving efficiency in this green, solventless process. It is also noteworthy, that in order to avoid branching and especially crosslinking after reaching high monomer conversions, the shorter possible polymerization times are recommended. These findings are substantial for designing and executing in situ CPL polymerizations, especially by thermoplastic reaction transfer molding (T-RTM) and other reaction injection molding (RIM) techniques and processes for the production of Polyamide 6 products such as composites, laminates, fibers, etc.
Author Contributions
Z.O., A.S., S.P., G.S., L.B.Z., and B.I. conceptualized and designed the experiments; Z.O., A.S., S.P., G.S., and L.B.Z. performed the experiments; Z.O., A.S., S.P., G.S., L.B.Z., and B.I. analyzed and evaluated the data; all authors contributed to writing the paper and reviewed the draft. All authors have read and agreed to the published version of the manuscript.
Funding
This research was funded by the National Research, Development, and Innovation Office, Hungary (NVKP_16-1-2016-0046).
Acknowledgments
Support by the National Research, Development, and Innovation Office, Hungary (NVKP_16-1-2016-0046) is acknowledged.
Conflicts of Interest
The authors declare no conflicts of interest.
References
- Anastas, P.T.; Warner, J.C. Green Chemistry: Theory and Practice, 1st ed.; Oxford University Press: Oxford, UK, 1998; pp. 1–135. [Google Scholar]
- Hong, M.; Chen, E.Y.X. Chemically recyclable polymers: A circular economy approach to sustainability. Green Chem. 2017, 19, 3692–3706. [Google Scholar] [CrossRef]
- Bari, S.S.; Chatterjee, A.; Mishra, S. Biodegradable polymer nanocomposites: An overview. Polym. Rev. 2016, 56, 287–328. [Google Scholar] [CrossRef]
- Meier, M.A.; Metzger, J.O.; Schubert, U.S. Plant oil renewable resources as green alternatives in polymer science. Chem. Soc. Rev. 2007, 36, 1788–1802. [Google Scholar] [CrossRef] [PubMed]
- Sahu, P.; Bhowmick, A.K.; Kali, G. Terpene based elastomers: Synthesis, properties, and applications. Processes 2020, 8, 553. [Google Scholar] [CrossRef]
- Okan, M.; Aydin, H.M.; Barsbay, M. Current approaches to waste polymer utilization and minimization: A review. J. Chem. Technol. Biotechnol. 2019, 94, 8–21. [Google Scholar] [CrossRef]
- Osváth, Z.; Szőke, A.; Pásztor, S.; Závoczki, L.; Szarka, G.; Iván, B. Recent advances in the synthesis and analysis of Polyamide 6 and products therefrom: From polymerization chemistry of ε-caprolactam to thermoplastic resin transfer molding (T-RTM). Acad. J. Polym. Sci. 2020, 4, 555629. [Google Scholar]
- Russo, S.; Maniscalco, S.; Ricco, L. Some new perspectives of anionic polyamide 6 (APA 6) synthesis. Polym. Adv. Technol. 2015, 26, 851–854. [Google Scholar] [CrossRef]
- Wilhelm, M.; Wendel, R.; Aust, M.; Rosenberg, P.; Henning, F. Compensation of water influence on anionic polymerization of ε-caprolactam: 1. Chemistry and experiments. J. Compos. Sci. 2020, 4, 7. [Google Scholar] [CrossRef]
- Wendel, R.; Rosenberg, P.; Wilhelm, M.; Henning, F. Anionic polymerization of ε-caprolactam under the influence of water: 2. Kinetic model. J. Compos. Sci. 2020, 4, 8. [Google Scholar] [CrossRef]
- Choi, C.W.; Jin, J.W.; Lee, H.; Huh, M.; Kang, K.W. Optimal polymerization conditions in thermoplastic-resin transfer molding process for mechanical properties of carbon fiber-reinforced PA6 composites using the response surface method. Fibers Polym. 2019, 20, 1021–1028. [Google Scholar] [CrossRef]
- Andres, J.; Hoto, R.; Molle, G.; García, J.A. An efficient equipment for control and monitoring in green composites LCM manufacturing. A new proposal for anionic reactive injection molding of caprolactam. Int. Rev. Chem. Eng. 2010, 2, 904–908. [Google Scholar]
- Ageyeva, T.; Sibikin, I.; Karger-Kocsis, J. Polymers and related composites via anionic ring-opening polymerization of lactams: Recent developments and future trends. Polymers 2018, 10, 357. [Google Scholar] [CrossRef] [PubMed]
- Jang, J.U.; Lee, H.S.; Kim, J.W.; Kim, S.Y.; Kim, S.H.; Hwang, I.; Kang, B.J.; Kang, M.K. Facile and cost-effective strategy for fabrication of polyamide 6 wrapped multi-walled carbon nanotube via anionic melt polymerization of ε-caprolactam. Chem. Eng. J. 2019, 373, 251–258. [Google Scholar] [CrossRef]
- Rusu, E. Nylon 612/TiO2 composites by anionic copolymerization-molding process: Comparative evaluation of thermal and mechanical performance. J. Compos. Mater. 2020, 54, 345–362. [Google Scholar] [CrossRef]
- Xu, Q.; Zhang, N.; Li, W.; Zhang, S.; He, W. Preparation of ZnO nanoparticle-reinforced polyamide 6 composite by in situ-coproduced method and their properties. J. Polym. Sci. Part A Polym. Chem. 2019, 57, 165–170. [Google Scholar] [CrossRef]
- Fang, H.; Li, D.H.; Wu, F.J.; Peng, X.F.; Chen, A.L.; Zhang, J.; Chen, S. In situ Polymerization of Polyamide 6/boron nitride composites to enhance thermal conductivity and mechanical properties via boron nitride covalently grafted polyamide 6. Polym. Eng. Sci. 2020, 60, 710–716. [Google Scholar] [CrossRef]
- Nagel, K.; Spange, S. Polyamide/silica hybrid materials by anionic melt polymerization of lactam-substituted silane monomers with epsilon-caprolactam. Eur. Polym. J. 2019, 113, 385–394. [Google Scholar] [CrossRef]
- Ricco, L.; Russo, S.; Orefice, G.; Riva, F. Anionic poly (ε-caprolactam): Relationships among conditions of synthesis, chain regularity, reticular order, and polymorphism. Macromolecules 1999, 32, 7726–7731. [Google Scholar] [CrossRef]
- Naumann, S.; Epple, S.; Bonten, C.; Buchmeiser, M.R. Polymerization of ε-caprolactam by latent precatalysts based on protected N-heterocyclic carbenes. ACS Macro Lett. 2013, 2, 609–612. [Google Scholar] [CrossRef]
- Lee, Y.; Lin, K.Y.A.; Kwon, E.E.; Lee, J. Renewable routes to Monomeric Precursors of Nylon 66 and Nylon 6 from Food Waste: A Review. J. Cleaner Prod. 2019, 227, 624–633. [Google Scholar] [CrossRef]
- Trujillo-Vera, D.A.; Vélez-Salazar, Y. Study of different routes of renewable synthesis for caprolactam production. Dyna 2018, 85, 231–237. [Google Scholar] [CrossRef]
- Han, J. Biorenewable strategy for catalytic ε-caprolactam production using cellulose- and hemicellulose-derived γ-valerolactone. ACS Sustain. Chem. Eng. 2017, 5, 1892–1898. [Google Scholar] [CrossRef]
- Beerthuis, R.; Rothenberg, G.; Shiju, N.R. Catalytic routes towards acrylic acid, adipic acid and ε-caprolactam starting from biorenewables. Green Chem. 2015, 17, 1341–1361. [Google Scholar] [CrossRef]
- Ozmen, S.C.; Ozkoc, G.; Serhatli, E. Thermal, mechanical and physical properties of chain extended recycled polyamide 6 via reactive extrusion: Effect of chain extender types. Polym. Degrad. Stab. 2019, 162, 76–84. [Google Scholar] [CrossRef]
- Kamimura, A.; Shiramatsu, Y.; Kawamoto, T. Depolymerization of Polyamide 6 in hydrophilic ionic liquids. Green Energy Environ. 2019, 4, 166–170. [Google Scholar] [CrossRef]
- Alberti, C.; Figueira, R.; Hofmann, M.; Koschke, S.; Enthaler, S. Chemical recycling of end-of-life Polyamide 6 via ring closing depolymerization. ChemistrySelect 2019, 4, 12638–12642. [Google Scholar] [CrossRef]
- Carothers, W.H. Studies on polymerization and ring formation. I. Introduction to the general theory of condensation polymers. J. Am. Chem. Soc. 1929, 51, 2548–2559. [Google Scholar] [CrossRef]
- Yilmaz, S.; Gul, O.; Yilmaz, T. Effect of chain extender and terpolymers on tensile and fracture properties of polyamide 6. Polymer 2015, 65, 63–71. [Google Scholar] [CrossRef]
- Jeon, S.; Karkhanechi, H.; Fang, L.; Cheng, L.; Ono, T.; Nakamura, R.; Matsuyama, H.J. Novel preparation and fundamental characterization of polyamide 6 selfsupporting hollow fiber membranes via thermally induced phase separation (TIPS). Membr. Sci. 2018, 546, 1–14. [Google Scholar] [CrossRef]
- Mazur, K.; Kuciel, S.; Salasinska, K. Mechanical, fire, and smoke behaviour of hybrid composites based on polyamide 6 with basalt/carbon fibres. J. Composos. Mater. 2019, 53, 3979–3991. [Google Scholar] [CrossRef]
- Lai, C.C.; Chen, S.Y.; Chen, M.H.; Chen, H.L.; Hsiao, H.; Liu, L.; Chen, C.M. Preparation and characterization of heterocyclic Polyamide 6 (PA 6) with high transparencies and low hygroscopicities. J. Mol. Struct. 2019, 1175, 836–843. [Google Scholar] [CrossRef]
- Roda, J. Polyamides. Handbook of Ring-Opening Polymerization, 1st ed.; Dubois, P., Coulembier, O., Raquez, J., Eds.; Wiley-VCH Verlag GmbH and Co. KgaA: Weinheim, Germany, 2009; pp. 165–195. [Google Scholar]
- Ageyeva, T.; Sibikin, I.; Kovacs, J.G. A review of thermoplastic resin transfer molding: Process modeling and simulation. Polymers 2019, 11, 1555. [Google Scholar] [CrossRef] [PubMed]
- Zaldua, N.; Maiz, J.; Calle, A.; Garcia-Arrieta, S.; Elizetxea, C.; Harismendy, I.; Tercjak, A.; Muller, A.J. Nucleation and crystallization of PA6 composites prepared by T-RTM: Effects of carbon and glass fiber loading. Polymers 2019, 11, 1680. [Google Scholar] [CrossRef] [PubMed]
- Ding, W.J.; Zhou, Y.F.; Wang, W.Q.; Wang, J.K. The reactive compatibilization of montmorillonite for immiscible anionic Polyamide 6/polystyrene blends via in situ polymerization. Polym. Plast. Technol. Mater. 2020, 59, 884–894. [Google Scholar] [CrossRef]
- Yanez-Macias, R.; Hernandez-Hernandez, E.; Gallardo-Vega, C.A.; Ledezma-Rodriguez, R.; Ziolo, R.F.; Mendoza-Tolentino, Y.; Fernandez-Tavizon, S.; Avila-Orta, C.A.; Garcia-Hernandez, Z.; Gonzalez-Morones, P. Covalent grafting of unfunctionalized pristine MWCNT with Nylon-6 by microwave assist in-situ polymerization. Polymer 2019, 185, 121946. [Google Scholar] [CrossRef]
- Min, J.H.; Huh, M.; Yun, S. Effect of interface on the properties of Polyamide 6/carbon nanotube nanocomposites prepared by in-situ anionic ring-opening polymerization. Compos. Res. 2019, 32, 375–381. [Google Scholar]
- Murray, J.J.; Robert, C.; Gleich, K.; McCarthy, E.D.; Bradaigh, C.M.O. Manufacturing of unidirectional stitched glass fabric reinforced Polyamide 6 by thermoplastic resin transfer moulding. Mater. Des. 2020, 189, 108512. [Google Scholar] [CrossRef]
- Osváth, Z.; Pásztor, S.; Szőke, A.; Szarka, G.; Kasza, G.; Závoczki, L.B.; Karger-Kocsis, J.; Iván, B. Research Centre for Natural Sciences, Budapest, Hungary. Unpublished work. 2020. [Google Scholar]
- Casazza, E.; Ricco, L.; Russo, S.; Scamporrino, E. Nature of a low molar mass peak in anionic poly (ε-caprolactam). Its identification as macrocyclic ensemble. Macromolecules 2007, 40, 739–745. [Google Scholar] [CrossRef]
- Ricco, L.; Casazza, E.; Mineo, P.; Russo, S.; Scamporrino, E. Nature of low molar mass peak in anionic poly(ε-caprolactam). Main aspects of its formation. Macromolecules 2008, 41, 3904–3911. [Google Scholar] [CrossRef]
- Hashimoto, K. Ring-opening polymerization of lactams. Living anionic polymerization and its applications. Prog. Polym. Sci. 2000, 25, 1411–1462. [Google Scholar] [CrossRef]
- Kennedy, J.P.; Kelen, T.; Tüdős, F. Quasiliving carbocationic polymerization. I. Classification of living polymerizations in carbocationic systems. J. Macromol. Sci.: Part A-Chem. 1982, 18, 1189–1207. [Google Scholar] [CrossRef]
- Kennedy, J.P.; Iván, B. Designed Polymers by Carbocationic Macromolecular Engineering: Theory and Practice; Hanser Publishers: Munich, Germay; New York, NY, USA, 1992. [Google Scholar]
- Iván, B. Terminology and classification of quasiliving polymerizations and ideal living polymerizations on the basis of the logic of elementary polymerization reactions, and comments on using the term “controlled”. Macromol. Chem. Phys. 2000, 201, 2621–2628. [Google Scholar]
- Russo, S.; Imperato, A.; Mariani, A.; Parodi, F. The fast activation of ε-caprolactam polymerization in quasi-adiabatic conditions. Macromol. Chem. Phys. 1995, 196, 3297–3303. [Google Scholar] [CrossRef]
- Sebenda, J. Lactam polymerization. J. Macromol. Sci. Part A-Chem. 1972, 6, 1145–1199. [Google Scholar] [CrossRef]
© 2020 by the authors. Licensee MDPI, Basel, Switzerland. This article is an open access article distributed under the terms and conditions of the Creative Commons Attribution (CC BY) license (http://creativecommons.org/licenses/by/4.0/).






