Simultaneous Electrochemical Generation of Ferrate and Oxygen Radicals to Blue BR Dye Degradation
Abstract
1. Introduction
- (a)
- (b)
- (c)
- A higher redox potential than other oxidizers commonly used for water treatment such as chlorine (1.358 V vs. SHE), hydrogen peroxide (1.776 V vs. SHE), and ozone (2.076 V vs. SHE) [15].
- (d)
- Ferrate use prevents the formation of carcinogenic disinfection byproducts (mainly trihalomethanes).
- (e)
- It generates non-toxic reduction byproducts such as Fe(III) and Fe(II), which can be used for other purposes.
- (f)
2. Materials and Methods
2.1. Materials
2.2. Electrochemical Characterization
2.3. Electrochemical Set Up
3. Results and Discussion
3.1. Cyclic Voltammetric (CV) Study
3.2. BBR Dye Degradation
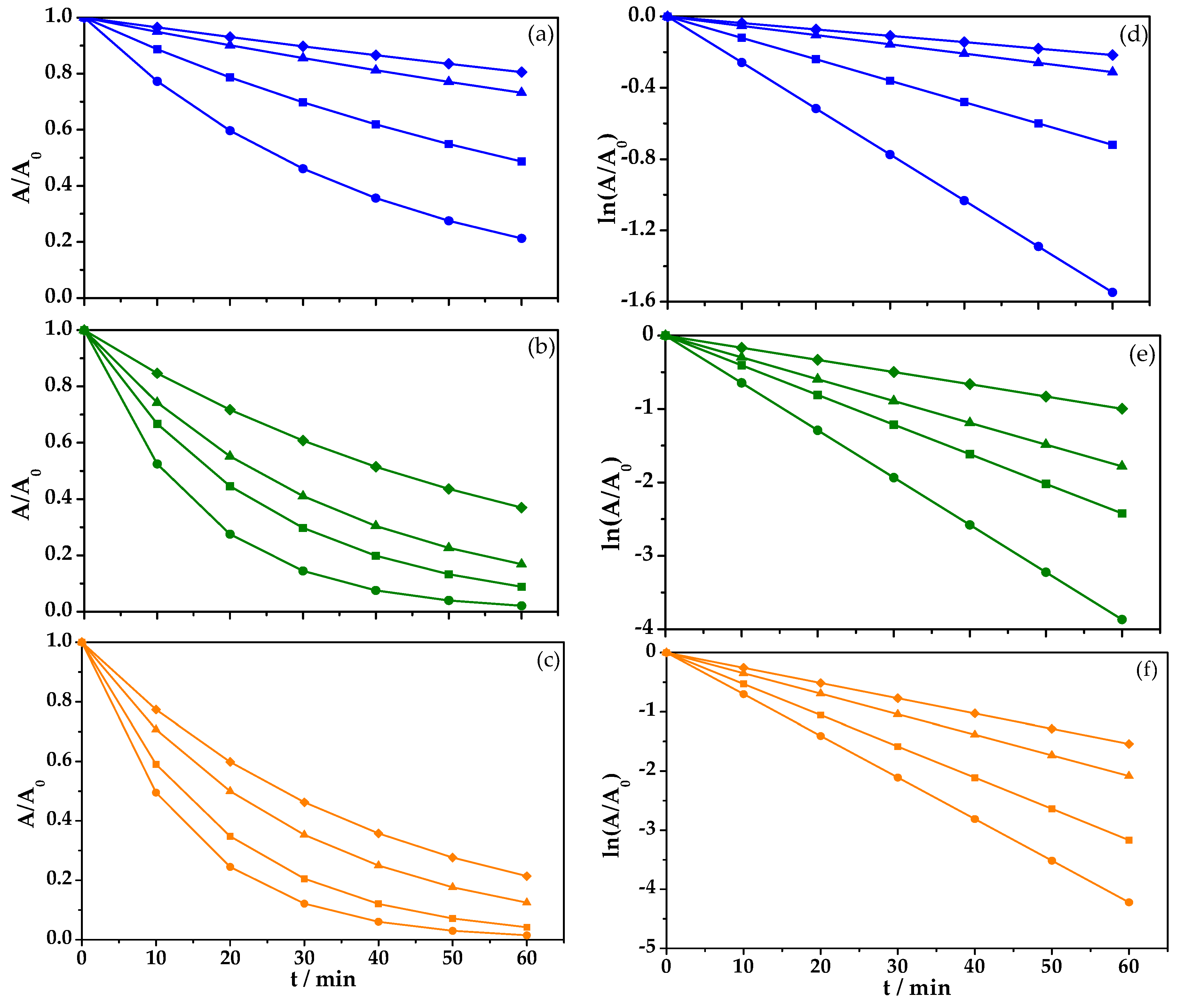
3.2.1. Effect of the Electrolyte on the EOx Discoloration Process
3.2.2. BBR Dye Degradation at Different Current Densities in 0.1 M HClO4 and FeSO4
3.2.3. BBR Dye Degradation at Different Current Densities in 0.05 M of Na2SO4 and FeSO4
- Discharge of water into the system and generation of oxygen radicals (•OH).
- Oxidation of contaminants by oxygen radicals (•OH).
- Oxidation of contaminants on BDD.
- Generation of [Fe(VI)] from FeSO4 on BDD.
- Oxidation of organic compounds by [Fe(VI)] and :
3.2.4. COD Determinations and Byproduct Evolution
4. Conclusions
Author Contributions
Funding
Acknowledgments
Conflicts of Interest
References
- Alcocer, S.; Picos, A.; Uribe, A.R.; Pérez, T.; Peralta-Hernández, J.M. Comparative study for degradation of industrial dyes by electrochemical advanced oxidation processes with BDD anode in a laboratory stirred tank reactor. Chemosphere 2018, 205, 682–689. [Google Scholar] [CrossRef]
- Alsheyab, M.; Jiang, J.-Q.; Stanford, C. On-line production of ferrate with an electrochemical method and its potential application for wastewater treatment—A review. J. Environ. Manag. 2009, 90, 1350–1356. [Google Scholar] [CrossRef]
- Ambauen, N.; Muff, J.; Mai, N.L.; Hallé, C.; Trinh, T.T.; Meyn, T. Insights into the kinetics of intermediate formation during electrochemical oxidation of the organic model pollutant salicylic acid in chloride electrolyte. Water 2019, 11, 1322. [Google Scholar] [CrossRef]
- Bennett, J.A.; Wang, J.; Show, Y.; Swain, G.M. Effect of sp2-Bonded Nondiamond Carbon Impurity on the Response of Boron-Doped Polycrystalline Diamond Thin-Film Electrodes. J. Electrochem. Soc. 2004, 151, E306. [Google Scholar] [CrossRef]
- Cataldo-Hernández, M.A.; Govindarajan, R.; Bonakdarpour, A.; Mohseni, M.; Wilkinson, D.P. Electrosynthesis of ferrate in a batch reactor at neutral conditions for drinking water applications. Can. J. Chem. Eng. 2018, 96, 1648–1655. [Google Scholar] [CrossRef]
- Cataldo-Hernández, M.; Stewart, M.; Bonakdarpour, A.; Mohseni, M.; Wilkinson, D.P. Degradation of ferrate species produced electrochemically for use in drinking water treatment applications. Can. J. Chem. Eng. 2018, 96, 1045–1052. [Google Scholar] [CrossRef]
- Cerreta, G.; Roccamante, M.A.; Oller, I.; Malato, S.; Rizzo, L. Contaminants of emerging concern removal from real wastewater by UV/free chlorine process: A comparison with solar/free chlorine and UV/H2O2 at pilot scale. Chemosphere 2019, 236, 124354. [Google Scholar] [CrossRef] [PubMed]
- Cho, M.; Lee, Y.; Choi, W.; Chung, H.; Yoon, J. Study on Fe (VI) species as a disinfectant: Quantitative evaluation and modeling for inactivating Escherichia coli. Water Res. 2006, 40, 3580–3586. [Google Scholar] [CrossRef]
- Coria, G.; Pérez, T.; Sirés, I.; Brillas, E.; Nava, J.L. Abatement of the antibiotic levofloxacin in a solar photoelectro-Fenton flow plant: Modeling the dissolved organic carbon concentration-time relationship. Chemosphere 2018, 198, 174–181. [Google Scholar] [CrossRef]
- Dávila, O.O.; Bergeron, L.L.; Gutiérrez, P.R.; Jiménez, M.M.D.; Sirés, I.; Brillas, E.; Roig Navarro, A.F.; Arandes, J.B.; Llopis, J.V.S. Electrochemical oxidation of dibenzothiophene compounds on BDD electrode in acetonitrile–water medium. J. Electroanal. Chem. 2019, 847, 113172. [Google Scholar] [CrossRef]
- Deng, Y.; Jung, C.; Liang, Y.; Goodey, N.; Waite, T.D. Ferrate (VI) decomposition in water in the absence and presence of natural organic matter (NOM). Chem. Eng. J. 2018, 334, 2335–2342. [Google Scholar] [CrossRef]
- Denvir, A.; Pletcher, D. Electrochemical generation of ferrate Part I: Dissolution of an iron wool bed anode. J. Appl. Electrochem. 1996, 26, 815–822. [Google Scholar] [CrossRef]
- Diaz, M.; Cataldo, M.; Ledezma, P.; Keller, J.; Doederer, K. Unravelling the mechanisms controlling the electro-generation of ferrate using four iron salts in boron-doped diamond electrodes. J. Electroanal. Chem. 2019, 854, 113501. [Google Scholar] [CrossRef]
- Dos Santos, A.B.; Cervantes, F.J.; van Lier, J.B. Review paper on current technologies for decolourisation of textile wastewaters: Perspectives for anaerobic biotechnology. Bioresour. Technol. 2007, 98, 2369–2385. [Google Scholar] [CrossRef] [PubMed]
- Elgrishi, N.; Rountree, K.J.; McCarthy, B.D.; Rountree, E.S.; Eisenhart, T.T.; Dempsey, J.L. A Practical Beginner’s Guide to Cyclic Voltammetry. J. Chem. Educ. 2018, 95, 197–206. [Google Scholar] [CrossRef]
- Eng, Y.Y.; Sharma, V.K.; Ray, A.K. Ferrate(VI): Green chemistry oxidant for degradation of cationic surfactant. Chemosphere 2006, 63, 1785–1790. [Google Scholar] [CrossRef]
- Espinoza-Montero, P.J.; Vasquez-Medrano, R.; Ibanez, J.G.; Frontana-Uribe, B.A. Efficient anodic degradation of phenol paired to improved cathodic production of H2O2 at BDD electrodes. J. Electrochem. Soc. 2013, 160, G3171–G3177. [Google Scholar] [CrossRef]
- Espinoza, C.; Romero, J.; Villegas, L.; Cornejo-Ponce, L.; Salazar, R. Mineralization of the textile dye acid yellow 42 by solar photoelectro-Fenton in a lab-pilot plant. J. Hazard. Mater. 2016, 319, 24–33. [Google Scholar] [CrossRef]
- Wood, R.H. The Heat, Free Energy and Entropy of the Ferrate(VI) Ion. J. Am. Chem. Soc. 2002, 80, 2038–2041. [Google Scholar] [CrossRef]
- Ibanez, J.G.; Tellez-Giron, M.; Alvarez, D.; Garcia-Pintor, E. Laboratory Experiments on the Electrochemical Remediation of the Environment. Part 6: Microscale Production of Ferrate. J. Chem. Educ. 2004, 81, 251. [Google Scholar] [CrossRef]
- Jiang, J.-Q.; Lloyd, B. Progress in the development and use of ferrate(VI) salt as an oxidant and coagulant for water and wastewater treatment. Water Res. 2002, 36, 1397–1408. [Google Scholar] [CrossRef]
- Jiang, J.Q. Advances in the development and application of ferrate(VI) for water and wastewater treatment. J. Chem. Technol. Biotechnol. 2014, 89, 165–177. [Google Scholar] [CrossRef]
- Kanari, N.; Ostrosi, E.; Diliberto, C.; Filippova, I.; Shallari, S.; Allain, E.; Diot, F.; Patisson, F.; Yvon, J. Green Process for Industrial Waste Transformation into Super-Oxidizing Materials Named Alkali Metal Ferrates (VI). Materials 2019, 12, 1977. [Google Scholar] [CrossRef] [PubMed]
- Lee, J.; Tryk, D.A.; Fujishima, A.; Park, S.-M. Electrochemical generation of ferrate in acidic media at boron-doped diamond electrodes. Chem. Commun. 2002, 486–487. [Google Scholar] [CrossRef]
- Lescuras-Darrou, V.; Lapicque, F.; Valentin, G. Electrochemical ferrate generation for waste water treatment using cast irons with high silicon contents. J. Appl. Electrochem. 2002, 32, 57–63. [Google Scholar] [CrossRef]
- Liu, J.; Zhang, Z.; Liu, Z.; Zhang, X. Integration of ferrate (VI) pretreatment and ceramic membrane reactor for membrane fouling mitigation in reclaimed water treatment. J. Membr. Sci. 2018, 552, 315–325. [Google Scholar] [CrossRef]
- Mácová, Z.; Bouzek, K.; Híveš, J.; Sharma, V.K.; Terryn, R.J.; Baum, J.C. Research progress in the electrochemical synthesis of ferrate(VI). Electrochim. Acta 2009, 54, 2673–2683. [Google Scholar] [CrossRef]
- Martínez-huitle, C.A.; Brillas, E. Electrochemical Alternatives for Drinking Water Disinfection. Angew. Int. Ed. Chem. 2008, 47, 1998–2005. [Google Scholar] [CrossRef]
- Morales, U.; Escudero, C.J.; Rivero, M.J.; Ortiz, I.; Rocha, J.M.; Peralta-Hernández, J.M. Coupling of the electrochemical oxidation (EO-BDD)/photocatalysis (TiO2-Fe-N) processes for degradation of acid blue BR dye. J. Electroanal. Chem. 2018, 808, 180–188. [Google Scholar] [CrossRef]
- Oriol, R.; del Pilar Bernícola, M.; Brillas, E.; Cabot, P.L.; Sirés, I. Paired electro-oxidation of insecticide imidacloprid and electrodenitrification in simulated and real water matrices. Electrochim. Acta 2019, 317, 753–765. [Google Scholar] [CrossRef]
- Pacheco-Álvarez, M.O.A.; Picos, A.; Pérez-Segura, T.; Peralta-Hernández, J.M. Proposal for highly efficient electrochemical discoloration and degradation of azo dyes with parallel arrangement electrodes. J. Electroanal. Chem. 2019, 838, 195–203. [Google Scholar] [CrossRef]
- Panizza, M.; Cerisola, G. Application of diamond electrodes to electrochemical processes. Electrochim. Acta 2005, 51, 191–199. [Google Scholar] [CrossRef]
- Villanueva-Rodríguez, M.; Hernández-Ramírez, A.; Peralta-Hernández, J.M.; Bandala, E.R.; Quiroz-Alfaro, M.A. Enhancing the electrochemical oxidation of acid-yellow 36 azo dye using boron-doped diamond electrodes by addition of ferrous ion. J. Hazard. Mater. 2009, 167, 1226–1230. [Google Scholar] [CrossRef] [PubMed]
- Villanueva-Rodríguez, M.; Sánchez-Sánchez, C.M.; Montiel, V.; Brillas, E.; Peralta-Hernández, J.M.; Hernández-Ramírez, A. Characterization of ferrate ion electrogeneration in acidic media by voltammetry and scanning electrochemical microscopy. Assessment of its reactivity on 2, 4-dichlorophenoxyacetic acid degradation. Electrochim. Acta 2012, 64, 196–204. [Google Scholar]
- Queiroz, N.M.P.; Sirés, I.; Zanta, C.L.P.S.; Tonholo, J.; Brillas, E. Removal of the drug procaine from acidic aqueous solutions using a flow reactor with a boron-doped diamond anode. Sep. Purif. Technol. 2019, 216, 65–73. [Google Scholar] [CrossRef]
- Rice, E.W.; Baird, R.B.; Eaton, A.D.; Clesceri, L.S. Standard Methods for the Examination of Water and Wastewater; American Public Health Association: Washington, DC, USA, 2012; p. 541. [Google Scholar]
- Ruiz, E.J.; Hernández-Ramírez, A.; Peralta-Hernández, J.M.; Arias, C.; Brillas, E. Application of solar photoelectro-Fenton technology to azo dyes mineralization: Effect of current density, Fe2+ and dye concentrations. Chem. Eng. J. 2011, 171, 385–392. [Google Scholar] [CrossRef]
- Serrano, K.; Michaud, P.A.; Comninellis, C.; Savall, A. Electrochemical preparation of peroxodisulfuric acid using boron doped diamond thin film electrodes. Electrochim. Acta 2002, 48, 431–436. [Google Scholar] [CrossRef]
- Sharma, V.K. Potassium ferrate(VI): Properties and applications. ACS Div. Environ. Chem. Prepr. 2000, 40, 131–132. [Google Scholar]
- Sharma, V.K.; Burnett, C.R.; O’Connor, D.B. Ferrate(VI) and ferrate(V) oxidation of thiocyanate. ACS Div. Environ. Chem. Prepr. 2000, 40, 600–601. [Google Scholar]
- Sharma, V.K. Potassium ferrate(VI): An environmentally friendly oxidant. Adv. Environ. Res. 2002, 6, 143–156. [Google Scholar] [CrossRef]
- Sharma, V.K.; Kazama, F.; Jiangyong, H.; Ray, A.K. Ferrates (iron(VI) and iron(V)): Environmentally friendly oxidants and disinfectants. J. Water Health 2005, 3, 45–58. [Google Scholar] [CrossRef] [PubMed]
- Sharma, V.K.; Rivera, W.; Joshi, V.N.; Millero, F.J.; O’Connor, D. Ferrate(VI) Oxidation of Thiourea. Environ. Sci. Technol. 1999, 33, 2645–2650. [Google Scholar] [CrossRef]
- Talaiekhozani, A.; Talaei, M.R.; Rezania, S. An overview on production and application of ferrate (VI) for chemical oxidation, coagulation and disinfection of water and wastewater. J. Environ. Chem. Eng. 2017, 5, 1828–1842. [Google Scholar] [CrossRef]
- Thiam, A.; Salazar, R. Fenton-based electrochemical degradation of metolachlor in aqueous solution by means of BDD and Pt electrodes: Influencing factors and reaction pathways. Environ. Sci. Pollut. Res. 2019, 26, 2580–2591. [Google Scholar] [CrossRef]
- Pérez, T.; Sirés, I.; Brillas, E.; Nava, J.L. Solar photoelectro-Fenton flow plant modeling for the degradation of the antibiotic erythromycin in sulfate medium. Electrochim. Acta 2017, 228, 45–56. [Google Scholar] [CrossRef]
- Potts, M.E.; Churchwell, D.R. Removal of Radionuclides in Wastewaters Utilizing Potassium ferrate(VI). Water Environ. Res. 1994, 66, 107–109. [Google Scholar] [CrossRef]
- Ye, Z.; Brillas, E.; Centellas, F.; Cabot, P.L.; Sirés, I. Electro-Fenton process at mild pH using Fe(III)-EDDS as soluble catalyst and carbon felt as cathode. Appl. Catal. B Environ. 2019, 257, 117907. [Google Scholar] [CrossRef]
- Lee, Y.; Cho, M.K.; Kim, J.Y.; Yoon, J. Chemistry of Ferrate (Fe(VI)) in Aqueous Solution and its Applications as a Green Chemical. J. Ind. Eng. Chem. 2004, 10, 161–171. [Google Scholar]










© 2020 by the authors. Licensee MDPI, Basel, Switzerland. This article is an open access article distributed under the terms and conditions of the Creative Commons Attribution (CC BY) license (http://creativecommons.org/licenses/by/4.0/).
Share and Cite
Chiliquinga, M.; Espinoza-Montero, P.J.; Rodríguez, O.; Picos, A.; Bandala, E.R.; Gutiérrez-Granados, S.; Peralta-Hernández, J.M. Simultaneous Electrochemical Generation of Ferrate and Oxygen Radicals to Blue BR Dye Degradation. Processes 2020, 8, 753. https://doi.org/10.3390/pr8070753
Chiliquinga M, Espinoza-Montero PJ, Rodríguez O, Picos A, Bandala ER, Gutiérrez-Granados S, Peralta-Hernández JM. Simultaneous Electrochemical Generation of Ferrate and Oxygen Radicals to Blue BR Dye Degradation. Processes. 2020; 8(7):753. https://doi.org/10.3390/pr8070753
Chicago/Turabian StyleChiliquinga, Mauricio, Patricio J. Espinoza-Montero, Oscar Rodríguez, Alain Picos, Erick R. Bandala, S. Gutiérrez-Granados, and Juan M. Peralta-Hernández. 2020. "Simultaneous Electrochemical Generation of Ferrate and Oxygen Radicals to Blue BR Dye Degradation" Processes 8, no. 7: 753. https://doi.org/10.3390/pr8070753
APA StyleChiliquinga, M., Espinoza-Montero, P. J., Rodríguez, O., Picos, A., Bandala, E. R., Gutiérrez-Granados, S., & Peralta-Hernández, J. M. (2020). Simultaneous Electrochemical Generation of Ferrate and Oxygen Radicals to Blue BR Dye Degradation. Processes, 8(7), 753. https://doi.org/10.3390/pr8070753

