Next Article in Journal
Effect of Bone Morphogenic Protein-2-Loaded Mesoporous Strontium Substitution Calcium Silicate/Recycled Fish Gelatin 3D Cell-Laden Scaffold for Bone Tissue Engineering
Next Article in Special Issue
Greening the Gas Grid—Evaluation of the Biomethane Injection Potential from Agricultural Residues in Austria
Previous Article in Journal
Investigations on Ozone-Based and UV/US-Assisted Synergistic Digestion Methods for the Determination of Total Dissolved Nitrogen in Waters
Previous Article in Special Issue
Biodrying of the Light Fraction from Anaerobic Digestion Pretreatment in Order to Increase the Total Recovery Rate
 
 
Font Type:
Arial Georgia Verdana
Font Size:
Aa Aa Aa
Line Spacing:
Column Width:
Background:
Article

Optimisation and Modelling of Anaerobic Digestion of Whiskey Distillery/Brewery Wastes after Combined Chemical and Mechanical Pre-Treatment

1
School of Biotechnology and DCU Water Institute, Dublin City University, Dublin 9 Glasnevin, Ireland
2
School of Mechanical & Manufacturing Engineering, Dublin City University, Dublin 9 Glasnevin, Ireland
3
School of Business and DCU Water Institute, Dublin City University, Dublin 9 Glasnevin, Ireland
4
Alltech European Bioscience Centre, Summerhill Road, Co. Meath Dunboyne, Ireland
5
Qatar Environment and Energy Research Institute (QEERI), Hamad Bin Khalifa University, Doha P.O. Box 34110, Qatar
*
Author to whom correspondence should be addressed.
Processes 2020, 8(4), 492; https://doi.org/10.3390/pr8040492
Submission received: 8 March 2020 / Revised: 27 March 2020 / Accepted: 29 March 2020 / Published: 23 April 2020
(This article belongs to the Special Issue Current Trends in Anaerobic Digestion Processes)

Abstract

Whiskey distillery waste streams consisting of pot ale (liquid residue) and spent grain (solid residue) are high strength organic wastes and suitable feedstock for anaerobic digestion (AD) from both economic and environmental stand points. Anaerobic digestion of pot ale and pot ale/spent grain mixtures (with mixing ratios of 1:1, 1:3, and 1:5 by wet weight) was performed after implementation of a novel hybrid pre-treatment (combined chemical and mechanical) in order to modify lignocellulosic structure and ultimately enhance digestion yield. Lignin, hemicellulose, and cellulose fractions were determined before and after chemical pre-treatment. Effects of different inoculum rates (10–30–50% on wet basis) and beating times (0–7.5–15 min) on anaerobic digestion of pot ale alone and of pot ale/spent grain mixtures were investigated in lab scale batch mode with a major focus of optimising biogas yield by using response surface methodology (RSM) in Design Expert Software. The highest biogas yields of 629 ± 8.5 mL/g vs. (51.3% CH4) and 360 ± 10 mL/g vs. (55.0 ± 0.4) with anaerobic digestion of pot ale alone and spent grain mix after 1M NaOH and 7.5 min beating pre-treatments with 50% inoculum ratio respectively. The optimum digestion conditions to maximise the biogas quality and quantity were predicted as 10 and 13 min beating times and 32 and 38 °C digestion temperatures for anaerobic digestion of pot ale alone and spent grain mix respectively.

Graphical Abstract

1. Introduction

Widespread usage of fossil fuels as non-renewable energy source has been targeted for reduction because of many ecological and environmental concerns for impact on climate conditions and human migration due to continuous greenhouse gas emissions such as CO2 [1,2]. Therefore, the European Union aims to reduce the total greenhouse emissions to 80–95% of 1990 levels by 2050 in developed countries [3]. In addition, European Council Directive 999/31/EC aims to reduce landfilling of organic waste [4]. As a result of increasing energy demand as well as environmental concerns, exploration of alternative energy sources has arisen [5]. Among the renewable energy sources, biogas, which is methane rich gas produced by anaerobic digestion (AD) of organic waste, is considered to be among the most environmentally friendly fuel sources [6] owing to its non-toxic characteristics and potential for simplicity of use as an alternative over traditional fossil fuels, as well as its potential reduction in wastes sent to landfill [7].
Typical waste disposal levels of whiskey distilleries and breweries and the potential environmental concerns associated with those waste streams was outlined by [8]. Due to the high organic content, large disposal volume, and the acidic nature, pot ale is the major concern of the waste management of whiskey distilleries. As such, AD with advantages over other waste management methods like low energy requirement, odour limitation, less by-product generation, and higher ability to cope with recalcitrant nature of whiskey distillery/brewery waste streams is a suitable alternative waste treatment method [9,10,11,12]. There are four main stages in the AD process—namely hydrolysis, acidogenesis, acetogenesis, and methanogenesis—and the reactions in each stage are carried out by different bacteria. The thermodynamics of each AD stage and potential bacterial competitions have been reported in detail by [13,14]. In order to have a balanced AD, identical reaction rates are desired, however, the hydrolysis step is considered to be the rate limiting step for the digestion of lignocellulosic matter due to the impact of high lignin content on mass transfer [5,15,16,17]. Although the impact of various pre-treatment technologies have been investigated on lignocellulosic materials—such as municipal organic waste [18], wheat straw and sugarcane bagasse [19], maple, oak and corn leaves and stalks [20], maize straw [21], corn stove [22], palm waste [23], lignocellulosic biomass [24], algal biomass [25] with an ultimate goal of achieving lignin solubilisation as well as reducing the crystal structure of cellulose to render readily degradable materials accessible to bacterial attack [26,27,28]—implementation of pre-treatment on whiskey distillery and brewery wastes and its impact on lignocellulose fractions have received scant attention in the literature [29].
Chemical pre-treatment is a well-studied and widely accepted method in AD for a variety of lignocellulosic feedstocks [4,30]. Alkaline pre-treatment with NaOH was suggested as an effective alkaline pre-treatment [31,32] due to its ability to disturb the lignin structure by breaking the link between lignin and the carbohydrate fractions in the biomass, hence rendering the carbohydrates more accessible in the hetero matrix. Removing lignin increases the reactivity of the remaining polysaccharides [26] since biodegradability of many lignocellulosic compounds are associated with the fractions of hemicellulose, cellulose, and lignin [33]. Mechanical pre-treatments increase the specific surface area of the feedstock available for the microbes as well as resulting in intracellular compound release [34,35]. Furthermore, it provides a greater digestate dewaterability and no odour generation [36]. In addition to chemical and mechanical pre-treatments, thermal pre-treatments are widely studied pre-treatment methods and have been successfully applied as a conditioning process for the sludge at industrial scale due to its ability to improve the pathogen elimination and dewaterability of the wastes [4,36]. The main effect of thermal pre-treatment of feedstock is dispersion of cell membranes, therefore resulting in solubilisation of organic compounds. A wide range of thermal pre-treatments may be performed, from 60 to 270 °C [37,38], however, the most commonly accepted optimum range is 160–180 °C. Therefore, thermal pre-treatments are considered as energy intensive methods [39]. Formation of inhibitory compounds are seen though Maillard reactions between amino acids and carbohydrates resulting in the generation of complex substrates and melanoidins (high-molecular-weight heterogeneous polymers), which are difficult to degrade [32,38,39,40,41,42] during the thermal pre-treatments. Therefore, chemical and mechanical pre-treatments are the most commonly applied techniques treating lignocellulosic biomass due to their implementation, simplicity and lower energy requirements with regard to thermal pre-treatments.
In this study, the organic, inorganic and lignocellulosic characterization of pot ale from a whisky distillery and a novel hybrid chemical/mechanical pre-treatment method (combined alkaline and beating) for anaerobic digestion is introduced to the literature for the first time. In addition, the impact of alkaline pre-treatment is evaluated by observing the changes in the lignocellulosic fraction of pot ale and spent grain prior to and after pre-treatment. To the best of the authors’ knowledge, these topics were not addressed before. A lab scale batch reactor was employed to carry out the reactions and concentration of the common volatile fatty acids (VFA) (acetic acid, propionic acid, isobutyric acid, butyric acid, isovaleric acid and valeric acid [43,44,45]) which are related to inhibition were measured before and after AD. Mathematical models were developed to elucidate the interactions of operating parameters for AD of pot ale alone and mixed with spent grain.

2. Materials and Methods

Pot ale and spent grain were supplied by a small-scale whiskey distillery in Dublin. Seed sludge was used as inoculum and it was collected from an anaerobic digestion plant processing mixed food waste operating within the mesophilic range based in Ireland.

2.1. Sample Characterisation

Pot ale samples were initially characterised in terms of solid content; total solids (TS), volatile solids (VS), and moisture content (MC) in accordance with [46]. The concentrations of phosphorous (Molybdovanate Hach Method 8114) and nitrogen in forms of nitrate (Cadmium Reduction Hach Method 8039), nitrite (Ferrous Sulphate Hach Method 8153) were determined by using Hach DR 2000 Spectrometer and ammonia (Salicylate Test N Tube Hach Method 10031) was measured by using Hach DR 900 Spectrometer as part of sample characterisation. The concentrations of copper, iron, magnesium, manganese, and zinc of the pot ale were determined using ICP—OES (Agilent 5100).
Hemicellulose, cellulose, and lignin contents of pot ale and spent grain were measured according to the detergent method developed by [47,48] prior to and after the implementation of each pre-treatment for evaluation of amendment of lignocellulosic structure with regard to the applied pre-treatment to enhance AD yield.
Chemical oxygen demand (COD), biological oxygen demand (BOD), and sulphate concentration were measured prior to and after AD in order to evaluate the efficiency of organic matter removals and bacterial competition between methanogenic and sulphate reducing bacteria as well as for characterising pot ale as received. COD and sulphate concentration were measured according to Hach Method 8000 by using standard Hach high range plus vials (0–15,000 ppm) and USEPA Sulfa-Ver 4 Hach Method 8051 provided by Hach Lange Company respectively, and DR 2000 spectrometer was used for the measurement. BOD was measured using the Lovibon BD600 unit provided by Lennox. To prevent the risk of sludge masking on organic content removals, the supernatant of all samples was analysed in the form of a mix of sludge after centrifuging at 10,000 rpm for 30 min using a Sorvall RC 5B Plus centrifuge [49,50]. Similarly, concentrations of acetic acid, propionic acid, isobutyric acid, butyric acid, isovaleric acid and valeric acid were determined using gas chromatography (Agilent 7890) with an Agilent CP 7686 column, in order to calculate total short chain volatile fatty acids in substrate (pot ale) for sample characterisation as well as substrate and inoculum mixture prior to and after AD to assess potential VFA inhibition [51].

2.2. Hollander Beater Specifications

The Hollander Beater specifications were explained in detail by [52], having been shown to be an excellent tool for pre-treatment of solid wastes prior to anaerobic digestion. The beater can perform a cutting action as a result of rotation of the bladed drum and a high-pressure homogenisation action caused by an inclined plate located at the exit of the drum concurrently. Therefore, the Hollander beater combines the effects of particle size reduction and substrate homogenization which is essential for pre-treatment of high solid content biomass.

2.3. Bioreactor Set-Up

A lab scale batch system was used as anaerobic digester. The bioreactors consist of 2 main parts which are 500 mL conical flasks with an active working volume of 400 mL, and the 5 L capacity biogas compatible sampling bag (Figure 1). The connection in between those parts is provided by plastic tubing, quick release tubing connectors, and three-way valves. The system was flushed with nitrogen twice for 2 min to ensure anaerobic conditions [53,54]. Water baths were employed to keep the reactors at a constant mesophilic reaction temperature. A biogas analyser, BIOGASS 5000, was used for the qualitative and quantitative analysis of the generated biogas. The biogas quality and quantity was measured based upon DIN 2006 standard 38 414-8 explained by [54] which is commonly used for biomethane potential tests (BMP) at lab and pilot scales. The residence time was 21 days due to significant decrease in biogas generation (less than 1% of the previous measurement) after that time period.

2.4. Experimental Methodologies

Pot ale was chosen as the main substrate of AD. Biodegradability of pot ale was assessed and the effects of increased solids content within the reactors was tested by anaerobic co-digestion (AcoD) of pot ale and spent grain.

2.4.1. Assessment of the Pre-Treatments

Initial screening experiments were performed to assess the impact of alkaline and beating pre-treatment on AD of pot ale. Alkaline pre-treatment was performed in accordance with the literature [31,32] in 400 mL batches by dropwise addition of 1 M NaOH into the pot ale sample until pH 10 was obtained. Once pH 10 [29] was achieved the sample was kept stirred for 6 min at 600 rpm. For alkaline pre-treatment of spent grain, the total volume of 400 mL was kept constant and spent grain was treated with required amount of pH 10 adjusted DI water by dropwise addition of 1 M NaOH to obtain a spent grain:DI water ratio of 1:5 by weight. For beating pre-treatment, the beater was fed with 25 L of alkali pot ale sample to have a full circulation in the beating tub. Beating pre-treatment was performed on pot ale prior to, after and without pH 10 1M NaOH treatment for 0, 5, and 7.5 min. All samples were seeded with 50% of sludge (by volume, on wet basis).
The modifications in the lignocellulosic character of pot ale and spent grains were measured prior to and after the application of the alkali pre-treatment. Samples were subjected to sequential steps of hydrolysis and extraction using different reactants (neutral detergent, acid detergent, and 72% H2SO4 solution), in order to assess the lignocellulosic fractions with respect to their sensitivity to acid hydrolysis [48]. However, influences of beating pre-treatment on the lignocellulosic structure could not be assessed because of grinding requirement (particle size between 0.5 mm and 1 mm) of the Van Soest method [48].

2.4.2. Evaluating the Effects of Increased Solid Content on Anaerobic Digestion Performance

In order to evaluate the impacts of increased solid content on anaerobic digestion, spent grain and pot ale were seeded with 50% sludge (on wet basis) of the total working volume of 400 mL with different mixing ratios (1:1, 1:3, and 1:5 by wet weight); the experiments were performed at 35 °C. Impacts of alkaline pre-treatment stands alone and in combination with 7.5 and 15 min beating pre-treatment on biogas generation and quality were investigated while a non-treated sample was kept as the control for each mixing ratio. The pre-treatments were performed according to Section 2.4.1.

2.4.3. DOE for AD of Pot Ale and Pot Ale and Spent Grain Mix (5:1 by Wet Weight)

A Box Behnken design of experiments (for process optimisation using Response Surface Modelling (RSM) involving three numerical factors, A: beating time, B: temperature, C: sludge%, was adopted as the RSM.
Pot ale samples were treated with 1M NaOH first, then beaten for 0, 7.5, and 15 min. The required ratio of sample and sludge (10, 30, and 50% sludge) for 400 mL of total volume were place into 500 mL conical flasks and AD experiments were performed at three different temperatures under mesophilic conditions (32, 35, and 38 °C), as specified in Table 1. All experiments were performed in triplicate as indicated for each parameter (beating time, sludge percentages, and temperature). The same design parameters were followed for AcoD of pot ale and spent grain mix.
Experimental data was examined by stepwise regression and the best fit was achieved by a second order polynomial Equation (1) in order to identify the relevant mathematical model terms. Sequential F-test, lack of fit test, as well as adequacy measures were then implemented in obtaining the best models. The same statistical software was used to generate response plots [52,55,56,57]
Y = b0 + ∑biXi + ∑biiX2ii + ∑bijXiXj
Both probability > F (also called as p-value) of the model and the value of each term in the model was computed by analysis of variance (ANOVA). Only if a Prob. > F of the model and of each term in the model was smaller than the level of significance (in this study α = 0.05), in the confidence interval (1-α), the model is considered to be adequate. Developed models were then challenged and validated by independent experiments. The reduced model passed all the required statistical tests to be used to predict system responses and optimisation [56]. Paired t-tests were conducted on the predicted and the independent experiment results for statistical analysis. Both designs were then optimised by using a combination of numerical and graphical optimisation by employing the desirability function explained in detail by [58] offered by DOE software.

3. Results

3.1. Results of Initial Screening

3.1.1. Sample Characterisation and Assessment of Pre-Treatments

Characteristics of pot ale sample as received in terms of in terms of TS, VS, moisture content, COD, BOD, sulphate, phosphorous, nitrogen-nitrate, nitrogen-nitrite, nitrogen-ammonium, hemicellulose, cellulose, lignin, VFAs, and dissolved copper are given in Table 2.
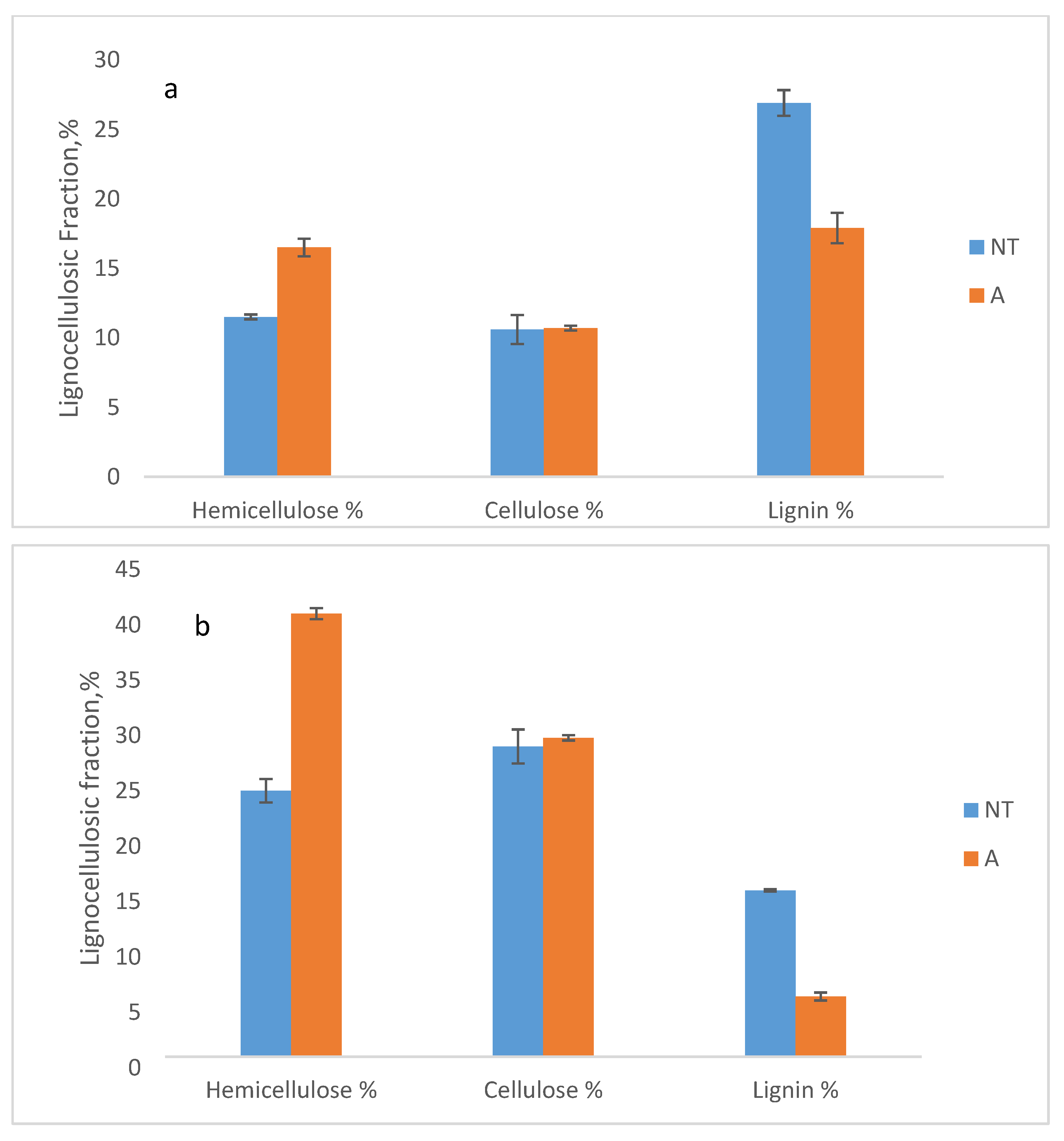
The effects of alkaline pre-treatment on lignocellulosic structure was assessed for pot ale and spent grain. After implementation of alkaline pre-treatment on both pot ale and spent grain, significant increases and decreases were seen in the hemicellulose and lignin contents respectively while cellulose remained static (Figure 2a,b). One-way ANOVA tests indicated that 1 M NaOH pre-treatment led to a significant increase (5%) in hemicellulose fraction and a significant decrease (9%) in lignin fraction of pot ale with the p-values of 0.032 and 0.0254 respectively. In case of spent grain, alkaline pre-treatment achieved a significant increase in hemicellulose fraction (16%) and a significant decrease (10%) in lignin fraction with the p-values of 0.00032 and 0.000032, respectively.
The biogas results of the initial screening experiments for combined 1M NaOH and beating pre-treatment for 5, 7.5, and 15 min are given in Table 3.
The highest cumulative biogas production was achieved with alkaline pre-treatment following by beating for 7.5 min (AB7.5) as 629 ± 8.5 mL/g vs. where the control could only reach 205 ± 21.4 mL/g vs. indicating that hybrid pre-treatment resulted in 3-fold enhancement (p: 0.0029) in biogas yield. Similarly, the highest CH4 content was seen as 51.3% in AB7.5. Moreover, a p-value of 0.0032 (<0.05) was found by application of a one-way ANOVA, indicating that the order in which the pre-treatments were performed had a significant effect on total biogas generation. As such, alkaline pre-treatment followed by beating pre-treatment was selected as the baseline hybrid pre-treatment for further experiments.

3.1.2. AcoD of Pot Ale and Spent Grain Mixture

The total solids, volatile solids, and moisture content of spent grain and pot ale mixed in ratios of 1:1, 1:3, and 1:5 by wet weight are given in Table 4. The cumulative biogas quantity and quality is given in Figure 3 and Table 5, respectively. The unknown content within the produced biogas was referred as BAL.
The highest biogas yields were achieved with the mixing ratio of 1:5 regardless of the condition of pre-treatments. Among the sample group with 1:5 spent grain pot ale mixing 1 M NaOH pre-treatment followed by 7.5 min beating had the highest yield of 469 ± 7 mL/g vs. with a CH4 content of 53.3 ± 1%. It also found to be significantly higher than both 1 M NaOH pre-treatment alone and followed by 15 min beating with the p-values of 0.0033 and 0.00016 respectively.
On the other hand, no significant difference was found in the biogas quality regarding the different pre-treatment conditions or mixing ratios. The pH drops from 7 to around 5.5 was observed with all samples. For modelling of AcoD of spent grain and pot ale, a mixing ratio of 1:5 was chosen based on preliminary experiment results.

3.2. Design of Experiments and Organic Removals

The Box–Behnken design matrix for AD of Pot ale is given in Table 6 with experiment results. A variety of methane content was seen in the generated biogas. The maximum biogas quality and quantity were achieved with the std. no. 12 as 550 ± 6 mL/g vs. and 54.3% CH4 in respectively. Although all reactions were started at the neutral pH, mainly low final pH values were seen in all samples with a slight difference (higher) in the ones seeded 50% sludge, however it was still lower than optimum pH range for methanogens (std. no. 7, 8, 11, and 12). The same particular samples also had significantly higher CH4 percentages than the rest.
The percentage removals of the organic compounds are given in Table 7. Mainly higher COD and BOD removals were achieved with the samples seeded with 50% sludge (std. no. 7, 8, 11, and 12 in Table 7) suggesting the higher sludge amount delayed the pH drops thus methanogens could survive longer to transform the organic matter into CH4. The pH drops were explained with VFA (acetic acid, propionic acid, isobutyric acid, butyric acid, isovaleric acid, and valeric acid) accumulation in the reactors. The total VFAs concentrations before and after AD are given in Figure 4.
In contrast, the highest SO4 decompositions were seen the samples which contain 10 and 30% sludge while SO4 removal of 50% sludge contain samples was almost one-third of the values obtained with 30% sludge. Due to the bacterial competition, the sludge seeding ratio lower than 50% results in unsuitable environment for methanogenic bacteria growth, and it triggers the activity of the sulphate reducing bacteria. Digestion under these conditions results in low CH4 generation and high (> 10,000 ppm) H2S generation.
The VFA concentration after AD was found to be significantly higher for all samples. The std. no. 5, 6, 9, 10, 7, 11 and 12 (which were seeded with 30 and 50% sludge) had lower total VFAs concentrations after AD in comparison to 10% sludge seeding. Moreover, 50% sludge containing samples (std. no. 7, 8, 11, and 12) had significantly higher biogas yields with significantly higher methane contents (Table 6) indicating that they were not affected by VFA inhibition as much as the ones containing a lower sludge amount. The std. no. 12 in particular had the lowest total VFA value (16.12 mM) after AD and it had the highest biogas quality and the quantity (Table 6).
The same design was followed in order to evaluate the impact of process parameters on increased solid content after adding spent grain into pot ale (1:5, by wet weight). Design matrix with the corresponding responses is given in Table 8. A similar range of CH4 generation was seen with the previous design for AD of pot ale. The highest biogas quality and quantity were obtained with the std. no. 12 as 55 ± 0.4% CH4 in 360 ± 10 mL/g vs. biogas. Moreover, the final pH value for this particular sample was maintained within the neutral areas, whereas it dropped around the level of 5.5 for the other samples.
The percentage removal of COD, BOD, and SO4 due to bacterial activity is given in Table 9. The experiments performed with 10% and 30% sludge resulted in low COD and BOD removal percentage levels regardless of the application of the pre-treatments, correspondingly low levels of biogas yields were seen in those samples. Pre-treatments, however, had a significant impact on biogas quality for the same samples i.e., the std. no. 1,2 and 5,6 in (Table 8), CH4% increased 2- and 5-fold over due to the effect of 15 min beating pre-treatment, respectively. It can be explained by, in early stage of anaerobic digestion, the extended active surface area on solid material in the reactors stimulated microbial activity which resulted in higher CH4 generation. However, the availability of large amounts of fresh feedstock caused imbalanced reaction rates, sequentially sharp pH drops inhibitory level in particular for the acetoclastic methanogens. The percentage of sulphate removal was found to be significantly higher for the samples seeded with 10 and 30% sludge, which also indicating higher activity of sulphate reducing bacteria with regard to methanogenic bacteria. Moreover, excessive H2S production levels (reaching beyond the sensor range >10 000 ppm) in the samples contain 10 and 30% sludge supported the same statement.
Significantly higher COD and BOD removals were achieved with the samples seeded with 50% sludge along with the lower SO4 removals (Table 9) in comparison to the lower sludge seeding ratios. In case of std. no. 7 and 8, 15 min beating pre-treatment resulted in a significant rises in both biogas yield (from 207 ± 19 to 279 ± 11 mL/g VS, p: 0.0093) and quality 28.0 ± 2.1 to 48.5 ± 2.3% (p: 0.0008) CH4 due to higher COD and BOD removals (Table 9). Moreover, the std. no. 8 had lower H2S production (p: 0.0030) than 7 because of 9% less SO4 reduction (Table 9). Different digestion temperatures were seen to significantly influence biogas production and CH4 content (std. no. 11 and 12, Table 8). The digestion at 38 °C increased the biogas generation yield from 258 ± 8 to 360 ± 10 mL/g vs. and the percentage, because of higher COD, BOD removals which are given in Table 9, the of CH4 from 29.3 ± 2.1 to 55.0 ± 0.4 with respect to the digestion at 35 °C. Furthermore, likewise in the std. no. 8, a lower H2S production was achieved with experiment no. 12 along with lower SO4 removal percentages (Table 9).
Results of the VFA analysis of pot ale spent grain mix before and after anaerobic digestion is given in Figure 5.
Although total VFA concentration of all samples after AD was so much higher than the initial corresponding values, samples which were seeded with 50% sludge (sample nos. 7,11 in Figure 5) had the lowest final total VFAs values indicating that these particular samples were not affected by the VFA inhibition as much as the others [59]. Therefore, their biogas yields as well as methane percentage of the produced biogas is significantly higher than the samples seeded with lower sludge (Table 8). AD of pot ale spent grain mix have much higher final VFA concentration than pot ale alone even though the same design factors are applied for both feedstock types. This is attributed to higher impact of the lack of internal agitation within the system for AD of the mixed compounds, since it has higher solid content. In other words, microbes are physically blocked to reach spent grain which lead a competition for limited amount of pot ale as the feedstock.

3.3. Mathematical Model Estimations

The mathematical models were statistically analysed by ANOVA (using the coding format given in Table 10) and the summary of analysis is given in (Table 11 and Table 12), (Table 13 and Table 14) and (Table 15 and Table 16) for biogas production, CH4 and CO2% for AD of pot ale, and spent grain and pot ale co-digestion respectively. For each experiment, developed models achieved an adequate fit with produced data within the identified significance threshold since the value of lack of fit was <0.05 for all models except for biogas generation by AD of spent grain and pot ale mix <0.1. In other words, estimated model on biogas production by AD of spent grain and pot ale had no significant lack of fit within 90% confidence interval, whereas the confidence interval is 95% for all other models. Furthermore, the values of R2, adjusted R2 (Adj. R2) and predicted R2 (Pred. R2) were close to 1 for all models indicating a sufficient regression for the models, plus the difference between the adjusted R2 (Adj. R2) and predicted R2 (Pred. R2) was less than 0.2. An adequate precision value greater than 4 indicates adequate model discrimination [60] achieved here in all cases. Mathematical models were built based on actual and coded factors allowing to plot different design factors with different units in the same graph to compare their individual effects on the response of interest.
For biogas yield, the first and the second order of sludge percentage (C, C2) were significant parameters regardless of feedstock type according to ANOVA. In case of AD of pot ale the first and second order of the beating time (A, A2) was found to be a significant parameter (Table 11) whereas in case of AD of spent grain and pot ale temperature (B) the interaction between temperature and sludge percentage (BC) were the significant factors (Table 12).
Final equations showed the biogas generation (Y) as a function of the independent variables in terms of coded and actual factors on biogas production by AD of pot ale and spent grain and pot ale mixture given in Equations (2) and (3) and Equations (4) and (5) respectively.
Coded:
Y   ( m l g V S ) { p o t   a l e } = 208.74 + 26 × A + 185.5 × C 37.16 × A 2 + 122.34 × C 2
Y   ( m l g V S ) { p o t   a l e   &   s p e n t   g r a i n }                                                         = 63.26 + 17.52 × B + 113.37 × C + 27.57 × B × C + 99.54 × C 2
Actual:
Y   ( ml gVS ) { pot   ale } = 142.60 + 13.38 ×   Beating   Time 9.08 ×   Sludge % 0.66 × Beating   Time 2 + 0.31 ×   Sludge % 2
Y ( ml gVS ) { pot   ale   &   spent   grain } = 395.14 7.94 × Temperature 25.34 × Sludge   % + 0.46 × Temerature × Sludge % + 0.25 × Sludge % 2
The coefficients of the final equation in terms of coded factors (Equations (2) and (3)) indicates the power of the design parameters on biogas generation as C > C2 > A2 > A and C > C2 > BC > B for AD of pot ale and spent grain pot ale mixture.
ANOVA results for CH4% modelling, showed the digestion temperature (B), the first and second order effects of sludge (C, C2), as well as interaction between temperature and sludge percentage (BC) as significant parameters for AD of pot ale in 95% confidence interval (Table 13).The beating time (A), first and the second order effects of temperature (B, B2) and sludge% (C, C2), as well as the interaction effect of temperature and sludge percentage (BC) were the significant model terms for AD spent grain and pot ale mixture (Table 14). Influence strength of the significant parameters on CH4 concentration within the biogas generated by AD of pot ale and pot ale and spent grain mixture was identified as C > C2 > BC > B and C > C2 > BC > B > A > B2 respectively by considering coefficient of the final equation in terms of coded factors Equations (6) and (7). The final models in terms of actual factors are given in Equations (8) and (9) for AD of pot ale and AcoD of spent grain and pot ale mixture respectively.
Coded:
CH 4   ( % ) { pot   ale } = 3.93 + 1.54 × B + 23.48 × C + 2.57 × B × C + 20.94 × C 2
CH 4   ( % ) { pot   ale   &   spent   grain } = 12.98 + 4.03 ×   A + 4.86 × B + 18.90 × C + 5.75 × B × C 2.95 × B 2 + 12.42 × C 2
Actual:
CH 4   ( % ) { pot   ale } = 42.96 0.78 × Temperature 3.47 × Sludge % + 0.043   Temperature   ×   Sludge % + 0.05 ×   Sludge % 2
CH 4   ( % ) { pot   ale   &   spent   grain } = 349.18 + 0.54 × Beating   Time + 21.69 × Temperature 4.27 × Sludge % + 0.10 × Temperature × Sludge % 0.33 ×   Temperature 2 + 0.031 × Sludge % 2
For modelling CO2 concentrations, ANOVA analysis defined the second order effect of sludge% (C2) and the interaction between temperature and sludge percentage (BC) as significant model terms within a 95% confidence interval for AD of pot ale (Table 15). The first order effects of temperature (B) and sludge% (C) were added to the model by the software to support hierarchy. The first and second order effects of sludge percentages (C, C2) were the significant parameters for CO2 modelling by AD of spent grain and pot ale mixture (Table 16). However, temperature (B) and the interaction effect of temperature and sludge% (BC) were also added to the model after the stepwise regression to improve the model by the software. The strength of the model terms on CO2 content of generated biogas by AD pot ale and spent grain pot ale mixture was defined as C2 > BC > B >C and C2 > C > BC > B based on the coefficient of the final equation in terms of coded factor (Equations (10) and (11)). The final mathematical models on CO2 content of produced biogas are given in Equations (12) and (13).
Coded:
CO 2   ( % ) { pot   ale } = 40.69 2.86 × B + 2.71 × C + 6.22 × B × C 17.68 ×   C 2
CO 2   ( % ) { pot   ale   &   spent   grain } = 55.90 1.52 × B 6.64 × C 3.03 × B × C 9.67 × C 2
Actual:
CO 2   ( % ) { pot   ale } = 139.18 4.07 × Temperature 0.84 × Sludge % + 0.10 × Temperature × Sludge % 0.044 × Sludge % 2
CO 2 ( % ) { pot   ale   &   spent   grain } = 8.70 + 1.01 × Temperature + 2.89 × Sludge % 0.05 × Temperature × Sludge % 0.02 × Sludge % 2

3.4. Validation of the Estimated Models

The diagnosis of the estimated models was performed by the same software as part of the post statistical analysis. The diagnostic plots, the normal plot of residuals and the predicted vs. actual plot for AD of pot ale, are given in Figure 6 and Figure 7 respectively.
The normal distribution of residual data in Figure 6 proves that ANOVA can be applied to the dataset. Figure 7 gives the comparison between the actual data set and the predicted data set by developed model. It is seen that the residuals are minimum since all the design points tend to be close to the diagonal line. The developed mathematical model is therefore adequate. The similar trend in both normal plot of residuals and actual vs. predicted plot is seen for the built models on CH4 and CO2 percentages for AD pot ale as well as all models developed for AD of spent grain and pot ale mixture.
In addition to post analysis, the models were challenged by independent experiments for a further validation step. Three validation points for validating the models on AD of pot ale and two validation points for validating models on AD pot ale and spent grain (which were not used for model development) were decided and the results of the experiments were given in Table 17 and Table 18 respectively along with the predicted values by the models in terms of actual factors for each interest of response. The Equations (4), (8), and (12) were used to predict the results, given in Table 17, of the validation for biogas yield, CH4% and CO2% by AD of pot ale respectively. Likewise, the Equations (5), (9), and (13) were used for the predictions, given in Table 18 on biogas yield, CH4% and CO2% respectively though AD of spent grain and pot ale mix. The difference between the predicted and the experimental results were then statistically analysed by t-test (2-tailed distribution with unequal variance). The modelling of the biogas quality and the quantity was validated for both designs within a 95% confidence interval in accordance according to the p-values in Table 17 and Table 18.

3.5. Model Graphs

The perturbation plots give the effect of all factors, which have different units, on the same graph since it is plotted in terms of coded factors. The lines show the individual behaviour of each factor while keeping the other at a constant ratio (their centre points by default). It can be used to identify which factor affects the response of interest the most. Figure 8a–c and d–f shows the perturbation graphs for biogas yield, CH4% and CO2% for AD of pot ale and AcoD of spent grain pot ale mix respectively. In both cases, the curvature related to the sludge percentages (C) showed that this factor had a greater impact on the response than the beating time (A) and the digestion temperature (B). Although results were different, the digestion temperature (B) and the sludge ratio (C) had similar effects on CH4% and CO2% for both DOE experiments (Figure 8b,e) and Figure 8c,f respectively.
Figure 9a–c and d–f give the contour graphs for biogas yield, CH4% and CO2% for AD of pot ale and AcoD of spent grain pot ale mix respectively. The effects of temperature and sludge percentages mainly have straight lines on all responses. However, a peak was seen for the area around 20–30% sludge for biogas yield, CH4 and CO2% for AcoD of spent grain and pot ale (Figure 9d–f) as well as CO2% of the biogas produced by AD of pot ale (Figure 9c). In both experiments, the greatest biogas generation and the highest CH4 percentage are achieved under the condition of higher sludge seeding ratio and digestion temperature, while the same conditions resulted in lower CO2%.
There was no interaction between the factors for the model developed on biogas yield for AD of pot ale. The interactions between the sludge percentages and the digestion temperatures for the quality of biogas produced by AD of pot ale is given in Figure 10a,b along with the interactions for biogas yield CH4 and CO2 percentages for AcoD for spent grain pot ale. The digestion temperature had no significant influence at low sludge seeding ratios (<20%). However, once the sludge ratio was increased, the digestion at 38 °C has significantly increased the biogas production by AcoD of spent grain and pot ale and its CH4 content (Figure 10c,d) as well as the biogas quality of AD of pot ale (Figure 10a). In contrast, a completely opposite interaction was seen on CO2 contents of the biogas produced by AD of pot ale and AcoD of spent grain pot ale mix. Digestion at 38 °C had a significantly lower CO2% within the biogas produced by AD of pot ale (Figure 10b). However, the effect of digestion temperature on it became insignificant once the sludge seeding ratio is increased. An opposite figure was seen on CO2 content of for AcoD of spent grain pot ale (Figure 10e).

3.6. Optimisation of the Developed Models

The design factors were kept in range however biogas yield and CH4% were maximised with the importance of 5 whereas CO2% was minimised with the same importance level. The optimisation conditions for AD pot ale and spent grain and pot ale mix are outlined in Table 19 and Table 20 respectively. Corresponding suggested solutions are given in Table 21 and Table 22 respectively. The first solutions were selected based on its higher desirability to define lower and upper limits of graphical optimisation.
The graphical optimisation of AD of pot ale and spent grain pot ale mix is given in Figure 11a,b respectively. The target area coloured with yellow is delimited by constraints set according to the numerical optimisation solutions (Table 21 and Table 22). For example, in the case of AD of pot ale, lower and upper limits of the optimum area are 520 and 521 mL/g vs. for biogas generation with 22 and 24% for CO2 content. In the case of CH4%, only the lower limit (48.3%) is visible on the chart because the lower limit does not overlap with the other criteria. In the case of AD of spent grain, pot ale mix defining lines for the target area are 317.03 mL/g vs. biogas production, 53.2 CH4 and 36% CO2 percentages.

4. Discussion

The characteristics of non-treated pot ale were mainly found to be in agreement with the literature in terms of the concentrations of COD (38,867 ± 115 mg/L), BOD (30,965 ± 666 mg/L), SO4 (190 ± 31 mg/L) within the reported ranges 30,000–50,000 mg/L for COD [61,62,63,64], 25,000–35,000 mg/L for BOD [49,64,65], and 223–284.8 mg/L for SO4 [66]. The pH (3.7) was also within the reported range of 3.5–4.5 [67,68]. A slight difference was found between the concentrations of PO43− (778 ± 7 mg/L), N-NH3 (45 ± 7 mg/L), N-NO3 (111 ± 20 mg/L), N-NO2 (33 ± 4 mg/L), and Cu (14.7 ± 1 mg/L) and the corresponding reported concentrations: 714mg/L [63,69] for PO43−, 0.12–7.9 mg/L for N-NH3 [70], 8.3–53 mg/L for N-NO3, 16–20 mg/L for N-NO2, and 2–6 mg/L for Cu [64]. These differences were attributed to use of different source of raw materials and process parameters of the sampling distillery. Biogas yield and quality obtained from AD of whiskey distillery/brewery waste streams (pot ale and spent grain pot ale mix) was examined using lab scale batch experiments. The effect of alkaline pre-treatment (1M NaOH) on the lignocellulosic structure of pot ale and spent grain was found to be a significant parameter on lignin degradation as well as on hemicellulose solubilisation which was then associated with overall AD performance. A hybrid alkaline and beating pre-treatment was introduced. In order to assess the efficiency of the digestion, organic matter removals in terms of COD and BOD were measured before and after AD, while the potential bacterial competition between acetoclastic methanogenic archaea and sulphate reducing bacteria was traced with SO4 removal. Up to 78 ± 5% COD and 61 ± 4% BOD removals were achieved by AD of pot ale along with 25±1% SO4 degradation, while COD and BOD removals up to 73 ± 6 and 63 ± 7% respectively were achieved by AcoD of spent grain and pot ale along with a 31 ± 7 SO4 removal. The maximum biogas yields of 629 ± 8.5 mL/g vs. with a 51.3% CH4 content (Table 3) and 360 ± 10 mL/g vs. with a 55.0 ± 0.4 CH4%content (std. 12 in Table 8) over 21 days of digestion period was achieved for samples subjected to alkaline and subsequent 7.5 min beating pre-treatments; seeded with 1:1 sludge ratio on wet basis at 35 (for pot ale) and 38 °C (for pot ale and spent grain) digestion temperature. A methane yield of 554 ± 67 mL/g vs. was reported by [70] with AD of non-treated pot ale with a substrate inoculum ratio of 1:2 (on wet basis) at lab scale batch experiments, while in this study the highest methane yield was found as 322 ± 4 mL/g vs. (Table 3) by AD of alkaline and 7.5 min beating pre-treated pot ale with a substrate to inoculum ratio of 1:1. The difference between the two yields was attributed to the lower inoculum ratio in the experiments as the reactor configurations and alkali conditions were similar in both works. The efficiency of AD was evaluated based on the removal of organic matter by the treatment and various COD and BOD degradations have been reported for different reactor configurations and pre-treatment conditions for AD of pot ale. During the first 140 days of digestion, a typical COD removal was reported as 70–90% by AD of alkaline (NaHCO3) pre-treated pot ale using a UASB [61]. Enhanced levels of COD (96%) and BOD (99%) removals were obtained by [63] for AD of pot ale with addition of NaHCO3 and nutrient supplement for accelerated growth of culture using two stage UASB. On the other hand, 13 and 50% COD reductions were obtained by AD of pot ale without and with enzymatic pre-treatment using 10% papain in a lab scale batch reactor [67]. In this work, the highest levels of organic matter removals (78 ± 5% for COD and 61 ± 4% for BOD) were seen in AD of pot ale (std. no. 8 in Table 7), it was slightly higher than co-digestion of pot ale and draff mixture. Organic degradation rates were found to be in an agreement with published works [61,67].
The sludge percentages had the biggest impact on all responses according to the perturbation plots given Figure 8 as well as the mathematical models in terms of coded factors. Sludge percentage was found to be the most powerful factor on interest of responses. Therefore, samples containing low sludge percentage (10 and 30%) had low biogas generation and methane quality regardless of the pre-treatment. The optimum digestion conditions were identified as 10- and 13-min beating times, 32 and 38 °C digestion temperature for AD of pot ale and AcoD of spent grain pot ale mixture respectively as well as 50% sludge seeding ratio for both cases.

Author Contributions

Conceptualization, B.G., P.D., C.C., and J.L.; Data curation, M.C.; Formal analysis, B.G., K.B. and J.L.; Funding acquisition, P.D., C.C., and J.L.; Investigation, B.G., M.C., C.C., and J.L.; Methodology, B.G., K.B., J.S., P.D., C.C., and J.L.; Project administration, J.L.; Resources, C.C.; Supervision, J.S., P.D., C.C., and J.L.; Visualization, K.B.; Writing—original draft, B.G.; Writing—review and editing, J.S., P.D., C.C., and J.L. All authors have read and agreed to the published version of the manuscript.

Funding

This project was fully funded by Alltech Ireland Ltd., Project ID 15-S-ST-10568.

Acknowledgments

The authors acknowledge the immense support of Alltech Ireland Ltd. for funding the project and for unwavering support. The authors are most grateful to Brian Fay and Indre Sinkunaite at Alltech Ltd. for their help in analysis to produce relevant data. The internship of Maxime Carrié was funded with the support of the Erasmus+ programme of the European Union.

Disclaimer

The European Commission support for the production of this publication does not constitute an endorsement of the contents which reflects the views only of the authors, and the Commission cannot be held responsible for any use which may be made of the information contained therein.

Conflicts of Interest

The authors declare no conflict of interest.

References

  1. Bundhoo, M.A.Z.; Mohee, R.; Hassan, M.A. Effects of pre-treatment technologies on dark fermentative biohydrogen production: A review. J. Environ. Manag. 2015, 157, 20–48. [Google Scholar] [CrossRef] [PubMed]
  2. Cuellar, A.D.; Herzog, H. A Path Forward for Low Carbon Power from Biomass. Energies 2015, 8, 1701–1715. [Google Scholar] [CrossRef]
  3. Bryngelsson, D.; Wirsenius, S.; Hedenus, F.; Sonesson, U. How can the EU climate targets be met? A combined analysis of technological and demand-side changes in food and agriculture. Food Policy 2016, 59, 152–164. [Google Scholar] [CrossRef]
  4. Cesaro, A.; Belgiorno, V. Pretreatment methods to improve anaerobic biodegradability of organic municipal solid waste fractions. Chem. Eng. J. 2014, 240, 24–37. [Google Scholar] [CrossRef]
  5. Saady, N.M.C.; Massé, D.I. Impact of Organic Loading Rate on Psychrophilic Anaerobic Digestion of Solid Dairy Manure. Energies 2015, 8, 1990–2007. [Google Scholar] [CrossRef]
  6. Ramachandran, A.; Rustum, R.; Adeloye, A.J. Review of Anaerobic Digestion Modeling and Optimization Using Nature-Inspired Techniques. Processes 2019, 7, 953. [Google Scholar] [CrossRef]
  7. Ghanavati, H.; Nahvi, I.; Karimi, K. Organic fraction of municipal solid waste as a suitable feedstock for the production of lipid by oleaginous yeast Cryptococcus aerius. Waste Manag. 2015, 38, 141–148. [Google Scholar] [CrossRef]
  8. Gunes, B.; Stokes, J.; Davis, P.; Connolly, C.; Lawler, J. Pre-treatments to enhance biogas yield and quality from anaerobic digestion of whiskey distillery and brewery wastes: A review. Renew. Sustain. Energy Rev. 2019, 113, 109281. [Google Scholar] [CrossRef]
  9. Akunna, J.C.; Clark, M. Performance of a granular-bed anaerobic baffled reactor (GRABBR) treating whisky distillery wastewater. Bioresour. Technol. 2000, 74, 257–261. [Google Scholar] [CrossRef]
  10. Jáuregui-Jáuregui, J.A.; Méndez-Acosta, H.O.; González-Alvarez, V.; Snell-Castro, R.; Alcaraz-Gonzalez, V.; Godon, J.J. Anaerobic treatment of tequila vinasses under seasonal operating conditions: Start-up, normal operation and restart-up after a long stop and starvation period. Bioresour. Technol. 2014, 168, 33–40. [Google Scholar] [CrossRef]
  11. Handous, N.; Gannoun, H.; Hamdi, M.; Bouallagui, H. Two-Stage Anaerobic Digestion of Meat Processing Solid Wastes: Methane Potential Improvement with Wastewater Addition and Solid Substrate Fermentation. Waste Biomass Valorization 2017, 10, 131–142. [Google Scholar] [CrossRef]
  12. Chow, W.L.; Chong, S.; Lim, J.W.; Chan, Y.J.; Chong, M.; Tiong, T.J.; Chin, J.; Pan, G.-T. Anaerobic Co-Digestion of Wastewater Sludge: A Review of Potential Co-Substrates and Operating Factors for Improved Methane Yield. Processes 2020, 8, 39. [Google Scholar] [CrossRef]
  13. Stams, A.J.M.; Plugge, C.; De Bok, F.; Van Houten, B.; Lens, P.N.L.; Dijkman, H.; Weijma, J. Metabolic interactions in methanogenic and sulfate-reducing bioreactors. Water Sci. Technol. 2005, 52, 13–20. [Google Scholar] [CrossRef]
  14. Moraes, B.S.; Zaiat, M.; Bonomi, A. Anaerobic digestion of vinasse from sugarcane ethanol production in Brazil: Challenges and perspectives. Renew. Sustain. Energy Rev. 2015, 44, 888–903. [Google Scholar] [CrossRef]
  15. Izumi, K.; Okishio, Y.-K.; Nagao, N.; Niwa, C.; Yamamoto, S.; Toda, T. Effects of particle size on anaerobic digestion of food waste. Int. Biodeterior. Biodegradation 2010, 64, 601–608. [Google Scholar] [CrossRef]
  16. Deepanraj, B.; Sivasubramanian, V.; Jayaraj, S. Experimental and kinetic study on anaerobic digestion of food waste: The effect of total solids and pH. J. Renew. Sustain. Energy 2015, 7, 63104. [Google Scholar] [CrossRef]
  17. Mackintosh, A.F.; Shin, T.; Yang, H.; Choe, K. Hydrothermal Polymerization Catalytic Process Effect of Various Organic Wastes on Reaction Time, Yield, and Temperature. Processes 2020, 8, 303. [Google Scholar] [CrossRef]
  18. Fdez-Güelfo, L.A.; Álvarez-Gallego, C.; Sales Márquez, D.; Romero García, L.I. Biological pretreatment applied to industrial organic fraction of municipal solid wastes (OFMSW): Effect on anaerobic digestion. Chem. Eng. J. 2011, 172, 321–325. [Google Scholar] [CrossRef]
  19. Bolado-Rodríguez, S.; Toquero, C.; Martín-Juárez, J.; Travaini, R.; Garcia-Encina, P.A.; Bolado, S. Effect of thermal, acid, alkaline and alkaline-peroxide pretreatments on the biochemical methane potential and kinetics of the anaerobic digestion of wheat straw and sugarcane bagasse. Bioresour. Technol. 2016, 201, 182–190. [Google Scholar] [CrossRef]
  20. Jin, G.; Bierma, T. Low-heat alkaline pretreatment of biomass for dairy anaerobic codigestion. J. Environ. Sci. Heal. Part B Pesticides Food Contam. Agric. Wastes 2014, 49, 786–796. [Google Scholar] [CrossRef]
  21. Khatri, S.; Wu, S.; Kizito, S.; Zhang, W.; Li, J.; Dong, R. Synergistic effect of alkaline pretreatment and Fe dosing on batch anaerobic digestion of maize straw. Appl. Energy 2015, 158, 55–64. [Google Scholar] [CrossRef]
  22. Zhu, J.; Wan, C.; Li, Y. Enhanced solid-state anaerobic digestion of corn stover by alkaline pretreatment. Bioresour. Technol. 2010, 101, 7523–7528. [Google Scholar] [CrossRef] [PubMed]
  23. Khadaroo, S.N.B.A.; Poh, P.E.; Gouwanda, D.; Grassia, P. Applicability of various pretreatment techniques to enhance the anaerobic digestion of Palm oil Mill effluent (POME): A review. J. Environ. Chem. Eng. 2019, 7, 103310. [Google Scholar] [CrossRef]
  24. Chen, X.; Gu, Y.; Zhou, X.; Zhang, Y. Asparagus stem as a new lignocellulosic biomass feedstock for anaerobic digestion: Increasing hydrolysis rate, methane production and biodegradability by alkaline pretreatment. Bioresour. Technol. 2014, 164, 78–85. [Google Scholar] [CrossRef]
  25. Tedesco, S.; Barroso, T.M.; Olabi, A.-G. Optimization of mechanical pre-treatment of Laminariaceae spp. biomass-derived biogas. Renew. Energy 2014, 62, 527–534. [Google Scholar] [CrossRef]
  26. Agbor, V.B.; Cicek, N.; Sparling, R.; Berlin, A.; Levin, D.B. Biomass pretreatment: Fundamentals toward application. Biotechnol. Adv. 2011, 29, 675–685. [Google Scholar] [CrossRef]
  27. Gao, J.; Chen, L.; Yuan, K.; Huang, H.; Yan, Z. Ionic liquid pretreatment to enhance the anaerobic digestion of lignocellulosic biomass. Bioresour. Technol. 2013, 150, 352–358. [Google Scholar] [CrossRef]
  28. Pant, D.; Adholeya, A. Biological approaches for treatment of distillery wastewater: A review. Bioresour. Technol. 2007, 98, 2321–2334. [Google Scholar] [CrossRef]
  29. Sežun, M.; Zupančič, G.D.; Logar, R.M.; Grilc, V. Anaerobic Digestion of Brewery Spent Grain/: Inhibition by Phenolic Degradation Products. Acta Chim. Slov. 2011, 58, 158–166. [Google Scholar]
  30. Mohana, S.; Acharya, B.K.; Madamwar, D. Distillery spent wash: Treatment technologies and potential applications. J. Hazard. Mater. 2009, 163, 12–25. [Google Scholar] [CrossRef]
  31. Kim, J.; Park, C.; Kim, T.-H.; Lee, M.; Kim, S.; Kim, S.W.; Lee, J. Effects of various pretreatments for enhanced anaerobic digestion with waste activated sludge. J. Biosci. Bioeng. 2003, 95, 271–275. [Google Scholar] [CrossRef]
  32. Carrère, H.; Dumas, C.; Battimelli, A.; Batstone, D.; Delgenes, J.P.; Steyer, J.; Ferrer, I. Pretreatment methods to improve sludge anaerobic degradability: A review. J. Hazard. Mater. 2010, 183, 1–15. [Google Scholar] [CrossRef]
  33. Bayard, R.; Benbelkacem, H.; Gourdon, R.; Buffière, P. Characterization of selected municipal solid waste components to estimate their biodegradability. J. Environ. Manag. 2018, 216, 4–12. [Google Scholar] [CrossRef]
  34. Esposito, G.; Frunzo, L.; Panico, A.; Pirozzi, F. Modelling the effect of the OLR and OFMSW particle size on the performances of an anaerobic co-digestion reactor. Process. Biochem. 2011, 46, 557–565. [Google Scholar] [CrossRef]
  35. Le, T.M.; Vo, P.T.; Do, T.A.; Tran, L.T.; Truong, H.T.; Le, T.T.X.; Chen, Y.-H.; Chang, C.-C.; Chang, C.-Y.; Tran, Q.T.; et al. Effect of Assisted Ultrasonication and Ozone Pretreatments on Sludge Characteristics and Yield of Biogas Production. Processes 2019, 7, 743. [Google Scholar] [CrossRef]
  36. Ariunbaatar, J.; Panico, A.; Esposito, G.; Pirozzi, F.; Lens, P.N.L. Pretreatment methods to enhance anaerobic digestion of organic solid waste. Appl. Energy 2014, 123, 143–156. [Google Scholar] [CrossRef]
  37. Appels, L.; Baeyens, J.; Degreve, J.; Dewil, R. Principles and potential of the anaerobic digestion of waste-activated sludge. Prog. Energy Combust. Sci. 2008, 34, 755–781. [Google Scholar] [CrossRef]
  38. Appels, L.; Degreve, J.; Van Der Bruggen, B.; Van Impe, J.F.M.; Dewil, R. Influence of low temperature thermal pre-treatment on sludge solubilisation, heavy metal release and anaerobic digestion. Bioresour. Technol. 2010, 101, 5743–5748. [Google Scholar] [CrossRef]
  39. Liao, X.; Li, H.; Zhang, Y.; Liu, C.; Chen, Q. Accelerated high-solids anaerobic digestion of sewage sludge using low-temperature thermal pretreatment. Int. Biodeterior. Biodegradation 2016, 106, 141–149. [Google Scholar] [CrossRef]
  40. Mottet, A.; Steyer, J.P.; Déléris, S.; Vedrenne, F.; Chauzy, J.; Carrère, H. Kinetics of thermophilic batch anaerobic digestion of thermal hydrolysed waste activated sludge. Biochem. Eng. J. 2009, 46, 169–175. [Google Scholar] [CrossRef]
  41. Zhen, G.; Lu, X.; Kato, H.; Youcai, Z.; Li, Y.-Y. Overview of pretreatment strategies for enhancing sewage sludge disintegration and subsequent anaerobic digestion: Current advances, full-scale application and future perspectives. Renew. Sustain. Energy Rev. 2017, 69, 559–577. [Google Scholar] [CrossRef]
  42. Mata-Alvarez, J.; Dosta, J.; Romero-Güiza, M.S.; Fonoll, X.; Peces, M.; Astals, S. A critical review on anaerobic co-digestion achievements between 2010 and 2013. Renew. Sustain. Energy Rev. 2014, 36, 412–427. [Google Scholar] [CrossRef]
  43. Wang, K.; Yin, J.; Shen, D.; Li, N. Anaerobic digestion of food waste for volatile fatty acids (VFAs) production with different types of inoculum: Effect of pH. Bioresour. Technol. 2014, 161, 395–401. [Google Scholar] [CrossRef] [PubMed]
  44. Ward, A.J.; Hobbs, P.J.; Holliman, P.J.; Jones, D.L. Optimisation of the anaerobic digestion of agricultural resources. Bioresour. Technol. 2008, 99, 7928–7940. [Google Scholar] [CrossRef]
  45. Heiske, S.; Jurgutis, L.; Kádár, Z. Evaluation of Novel Inoculation Strategies for Solid State Anaerobic Digestion of Yam Peelings in Low-Tech Digesters. Energies 2015, 8, 1802–1816. [Google Scholar] [CrossRef]
  46. Sluiter, A.; Hames, B.; Hyman, D.; Payne, C.; Ruiz, R.; Scarlata, C.; Sluiter, J.; Templeton, D.; Wolfe, J. Determination of Total Solids in Biomass and Total Dissolved Solids in Liquid Process Samples; National Renewable Energy Laboratory: Golden, CO, USA, 2008; Volume 9. [Google Scholar]
  47. Van Soest, P.J.; Wine, R.H. Use of Detergents in the Analysis of Fibrous Feeds. IV. Determination of Plant Cell-Wall Constituents. J. Assoc. Off. Agric. Chem. Int. 1967, 50, 50–55. [Google Scholar] [CrossRef]
  48. Van Soest, P.J. Use of Detergents in the Analysis of Fibrous Feeds. II. A Rapid Method for the Determination of Fiber and Lignin. J. Assoc. Off. Agric. Chem. Int. 1963, 46, 829–835. [Google Scholar] [CrossRef]
  49. Tokuda, M.; Ohta, N.; Morimura, S.; Kida, K. Methane fermentation of pot ale from a whisky distillery after enzymatic or microbial treatment. J. Ferment. Bioeng. 1998, 85, 495–501. [Google Scholar] [CrossRef]
  50. Meixner, K.; Fuchs, W.; Valkova, T.; Svardal, K.; Loderer, C.; Neureiter, M.; Bochmann, G.; Drosg, B. Effect of precipitating agents on centrifugation and ultrafiltration performance of thin stillage digestate. Sep. Purif. Technol. 2015, 145, 154–160. [Google Scholar] [CrossRef]
  51. Kang, X.; Liu, Y. Chemically Enhanced Primary Sludge as an Anaerobic Co-Digestion Additive for Biogas Production from Food Waste. Processes 2019, 7, 709. [Google Scholar] [CrossRef]
  52. Tedesco, S.; Benyounis, K.Y.; Olabi, A.-G. Mechanical pretreatment effects on macroalgae-derived biogas production in co-digestion with sludge in Ireland. Energy 2013, 61, 27–33. [Google Scholar] [CrossRef]
  53. Valero, D.; Montes, J.A.; Rico, J.L.; Rico, C. Influence of headspace pressure on methane production in Biochemical Methane Potential (BMP) tests. Waste Manag. 2016, 48, 193–198. [Google Scholar] [CrossRef] [PubMed]
  54. Verein Deutscher Ingenieure (VDI). Fermentation of Organic Materials: Characterization of the Substrate, Sampling, Collection of Material Data, Fermentation Tests; VDI: Berlin, Germany, 2006. [Google Scholar]
  55. Benyounis, K.Y.; Olabi, A.-G.; Hashmi, M.S.J. Effect of laser welding parameters on the heat input and weld-bead profile. J. Mater. Process. Technol. 2005, 164–165, 978–985. [Google Scholar] [CrossRef]
  56. Eltawahni, H.A.; Olabi, A.-G.; Benyounis, K.Y. Investigating the CO2 laser cutting parameters of MDF wood composite material. Opt. Laser Technol. 2011, 43, 648–659. [Google Scholar] [CrossRef]
  57. Ali, S.; Rani, A.A.; Mufti, R.A.; Ahmed, S.; Baig, Z.; Hastuty, S.; Razak, M.A.A.; Aliyu, A.A. Optimization of Sintering Parameters of 316L Stainless Steel for In-Situ Nitrogen Absorption and Surface Nitriding Using Response Surface Methodology. Processes 2020, 8, 297. [Google Scholar] [CrossRef]
  58. Pandian, M.; Sivapirakasam, S.P.; Udayakumar, M. Investigation on the effect of injection system parameters on performance and emission characteristics of a twin cylinder compression ignition direct injection engine fuelled with pongamia biodiesel–diesel blend using response surface methodology. Appl. Energy 2011, 88, 2663–2676. [Google Scholar] [CrossRef]
  59. Kazemi, P.; Steyer, J.-P.; Bengoa, C.; Capafons, J.F.; Giralt, J. Robust Data-Driven Soft Sensors for Online Monitoring of Volatile Fatty Acids in Anaerobic Digestion Processes. Processes 2020, 8, 67. [Google Scholar] [CrossRef]
  60. Montgomery, D.C. Time Series Analysis and Forecasting; Springer: Cham, Switzerland, 2016. [Google Scholar] [CrossRef]
  61. Goodwin, J.A.S.; Finlayson, J.M.; Low, E.W. A further study of the anaerobic biotreatment of malt whisky distillery pot ale using an UASB system. Bioresour. Technol. 2001, 78, 155–160. [Google Scholar] [CrossRef]
  62. Sankaran, K.; Premalatha, M.; Vijayasekaran, M.; Somasundaram, V.T. DEPHY project: Distillery wastewater treatment through anaerobic digestion and phycoremediation—A green industrial approach. Renew. Sustain. Energy Rev. 2014, 37, 634–643. [Google Scholar] [CrossRef]
  63. Uzal, N.; Gökçay, C.F.; Demirer, G.N. Sequential (anaerobic/aerobic) biological treatment of malt whisky wastewater. Process. Biochem. 2003, 39, 279–286. [Google Scholar] [CrossRef]
  64. Graham, J.; Peter, B.; Walker, G.M.; Wardlaw, A.; Campbell, E. Characterisation of the Pot ale Profile from a Malt Whisky Distillery; Nottingham University Press/The Institute of Brewing and Distilling: Nottingham, UK, 2012; Volume 43, pp. 1–7. [Google Scholar]
  65. Goodwin, J.A.S.; Stuart, J.B. Anaerobic digestion of malt whisky distillery pot ale using upflow anaerobic sludge blanket reactors. Bioresour. Technol. 1994, 49, 75–81. [Google Scholar] [CrossRef]
  66. Kida, K.; Morimura, S.; Mochinaga, Y.; Tokuda, M. Efficient removal of organic matter and NH4+ from pot ale by a combination of methane fermentation and biological denitrification and nitrification processes. Process. Biochem. 1999, 34, 567–575. [Google Scholar] [CrossRef]
  67. Mallick, P.; Akunna, J.C.; Walker, G.M. Anaerobic digestion of distillery spent wash: Influence of enzymatic pre-treatment of intact yeast cells. Bioresour. Technol. 2010, 101, 1681–1685. [Google Scholar] [CrossRef]
  68. Dionisi, D.; Bruce, S.S.; Barraclough, M.J. Effect of pH adjustment, solid–liquid separation and chitosan adsorption on pollutants’ removal from pot ale wastewaters. J. Environ. Chem. Eng. 2014, 2, 1929–1936. [Google Scholar] [CrossRef]
  69. Ansa-Asare, O.D.; Marr, I.L.; Cresser, M.S. Evaluation of modelled and measured patterns of dissolved oxygen in a freshwater lake as an indicator of the presence of biodegradable organic pollution. Water Res. 2000, 34, 1079–1088. [Google Scholar] [CrossRef]
  70. Barrena, R.; Traub, J.E.; Gil, C.R.; Goodwin, J.A.; Harper, A.J.; Willoughby, N.A.; Sánchez, A.; Aspray, T.J. Batch anaerobic digestion of deproteinated malt whisky pot ale using different source inocula. Waste Manag. 2018, 71, 675–682. [Google Scholar] [CrossRef]
Figure 1. Bioreactor set up.
Figure 1. Bioreactor set up.
Processes 08 00492 g001
Figure 2. Lignocellulosic structure of pot ale (a) and, spent grain (b) before and after alkali pre-treatment. NT: non-treated, A: alkaline pre-treated average of triplicate runs.
Figure 2. Lignocellulosic structure of pot ale (a) and, spent grain (b) before and after alkali pre-treatment. NT: non-treated, A: alkaline pre-treated average of triplicate runs.
Processes 08 00492 g002
Figure 3. Biogas yields of spent grain and pot ale mixtures after alkaline and beating pre-treatments. Average of triplicate runs.
Figure 3. Biogas yields of spent grain and pot ale mixtures after alkaline and beating pre-treatments. Average of triplicate runs.
Processes 08 00492 g003
Figure 4. Total VFAs before and after AD of pot ale.
Figure 4. Total VFAs before and after AD of pot ale.
Processes 08 00492 g004
Figure 5. Total VFAs before and after AD of pot ale spent grain mix.
Figure 5. Total VFAs before and after AD of pot ale spent grain mix.
Processes 08 00492 g005
Figure 6. Normal plot of residuals on biogas generation (ml/g VS) for AD of pot ale.
Figure 6. Normal plot of residuals on biogas generation (ml/g VS) for AD of pot ale.
Processes 08 00492 g006
Figure 7. Scatter diagram biogas generation (ml/g VS) for AD of pot ale.
Figure 7. Scatter diagram biogas generation (ml/g VS) for AD of pot ale.
Processes 08 00492 g007
Figure 8. Perturbation graphs for AD of pot ale and spent grain pot ale mix on biogas yield (a,d), CH4% (b,e), and CO2% (c,f) respectively.
Figure 8. Perturbation graphs for AD of pot ale and spent grain pot ale mix on biogas yield (a,d), CH4% (b,e), and CO2% (c,f) respectively.
Processes 08 00492 g008
Figure 9. Contour graphs for AD of pot ale and spent grain pot ale mix on biogas yield (a,d), CH4% (b,e), and CO2% (c,f) respectively.
Figure 9. Contour graphs for AD of pot ale and spent grain pot ale mix on biogas yield (a,d), CH4% (b,e), and CO2% (c,f) respectively.
Processes 08 00492 g009
Figure 10. Interaction graphs for AD of pot ale and spent grain and pot ale mix on CH4% (a,d) and CO2% (b,e) respectively and on biogas yield by AD of pot ale spent grain (c).
Figure 10. Interaction graphs for AD of pot ale and spent grain and pot ale mix on CH4% (a,d) and CO2% (b,e) respectively and on biogas yield by AD of pot ale spent grain (c).
Processes 08 00492 g010
Figure 11. Graphical optimisation for AD of pot ale (a) and AD of spent grain pot ale mix (b).
Figure 11. Graphical optimisation for AD of pot ale (a) and AD of spent grain pot ale mix (b).
Processes 08 00492 g011
Table 1. Summary of the design factors, factor levels and the responses.
Table 1. Summary of the design factors, factor levels and the responses.
Parameters Under Investigation (Design Factors)LevelsResponses
Beating time (min)
  • 0
  • 7.5
  • 15
  • Biogas Yield (ml/g VS)
  • CH4%
  • CO2%
Digestion temperature (°C)
  • 32
  • 35
  • 38
Sludge seeding ratio (%)
  • 10
  • 30
  • 50
Table 2. Characteristics of pot ale as received.
Table 2. Characteristics of pot ale as received.
CompoundValue
TS (g/g sample)0.089 ± 0.0004
VS (g/g sample)0.077 ± 0.008
Moisture%91.13 ± 0.042
COD (mg/L)38,867 ± 115
BOD (mg/L)30,965 ± 666
SO42− (mg/L)190 ± 31
* VFAs (mM)134.89
Hemicellulose (%)11.5 ± 0.3
Cellulose (%)10.6 ± 1.8
Lignin (%)26.9 ± 1.6
P-PO43− (mg/L)778 ± 7
N-NO3 (mg/L)111 ± 20
N-NH3 (mg/L)45 ± 7
N-NO2 (mg/L)33 ± 4
Cu (mg/L)53.04 ± 3.21
Fe (mg/L)2.55 ± 0.21
Mg (mg/L)107.28 ± 0.44
Mn (mg/L)0.30 ± 0.01
Zn (mg/L)0.49 ± 0.01
Average of triplicate runs except for * single run.
Table 3. Biogas yields following preliminary experiments with nontreated and pre-treated pot ale.
Table 3. Biogas yields following preliminary experiments with nontreated and pre-treated pot ale.
Sample NamesTS (g/g Sample)VS (g/g Sample)* Biogas (mL/g VS)CH4%CO2%
Nontreated sample (control)0.0890.077205 ± 21.419.365.1
Alkaline (A0B)0.0880.070523 ± 10.448.135.8
5 min beaten + alkaline (B5A)0.0860.069476 ± 6.237.147.3
Alkaline + 5 min beaten (AB5)0.0950.077541 ± 19.449.545.3
7.5 min beaten + alkaline (B7.5A)0.0870.070555 ± 5.343.052.3
Alkaline + 7.5 min beaten (AB7.5)0.0900.070629 ± 8.551.342.6
* Average of duplicate runs.
Table 4. TS, VS, and Moisture% of the non- and pre-treated pot ale and spent grain mix.
Table 4. TS, VS, and Moisture% of the non- and pre-treated pot ale and spent grain mix.
Sample NameTS (g/g Sample)VS (g/g Sample)Moisture (%)
1:1 NT0.181 ± 0.0180.161 ± 0.00481.86 ± 1.8
1:1 A 0B0.183 ± 0.0040.163 ± 0.00781.70 ± 0.4
1:1 A 7.5B0.195 ± 0.1900.178 ± 0.00180.53 ± 1.9
1:1 A 15B0.197 ± 0.0120.174 ± 0.00280.34 ± 1.2
1:3 NT0.143 ± 0.0030.134 ± 0.01185.70 ± 0.3
1:3 A 0B0.147 ± 0.0100.141 ± 0.00285.35 ± 1.0
1:3 A 7.5B0.153 ± 0.0020.145 ± 0.00584.67 ± 0.2
1:3 A 15B0.137 ± 0.0150.115 ± 0.00886.26 ± 1.5
1:5 NT0.112 ± 0.0070.114 ± 0.00988.77 ± 0.7
1:5 A 0B0.121 ± 0.0040.100 ± 0.00787.85 ± 0.4
1:5 A 7.5B0.115 ± 0.0070.089 ± 0.00888.55 ± 0.7
1:5 A 15B0.117 ± 0.0140.110 ± 0.00588.27 ± 1.4
All results are average of triplicate runs.
Table 5. Components of generated biogas by anaerobic digestion of spent grain and pot ale mixtures.
Table 5. Components of generated biogas by anaerobic digestion of spent grain and pot ale mixtures.
Sample * CH4%* CO2%* BAL%H2S (ppm)Final pH
1:1 Control42.3 ± 944.0 ± 89.615725.33
1:1 A0B50.0 ± 339.1 ± 29.312735.47
1:1 A7.5B50.5 ± 534.4 ± 713.36325.57
1:1 A15B45.3 ± 240.1 ± 210.68965.48
1:3 Control50.5 ± 339.9 ± 38.416285.37
1:3 A0B52.4 ± 642.9 ± 49.313545.54
1:3 A7.5B48.5 ± 341.2 ± 310.616925.34
1:3 A15B48.4 ± 340.7 ± 19.011205.78
1:5 Control49.1 ± 234.0 ± 17.98005.44
1:5 A0B51.4 ± 334.5 ± 412.18345.67
1:5 A7.5B53.3 ± 135.2 ± 617.39135.78
1:5 A15B50.9 ± 337.9 ± 19.47575.75
* Average of triplicate runs.
Table 6. Design matrix for AD of pot ale.
Table 6. Design matrix for AD of pot ale.
Factor 1Factor 2Factor 3Response 1Response 2Response 3
Std.RunA:BTB:TempC:Sludge* BiogasCH4CO2Final
min°C%mL/g VS%%pH
11603230145 ± 93.442.15.24
25153230177 ± 115.4395.61
3803830173 ± 73.833.85.47
411153830214 ± 66.243.95.34
51203510109 ± 51.516.75.41
69153510134 ± 71.715.95.17
71003550400 ± 1946.822.46.12
84153550510 ± 1748.724.46.51
967.53210141 ± 3135.45.42
1027.53810124 ± 91.413.25.38
1117.53250532 ± 1243.626.76.45
12137.53850550 ± 654.329.46.24
13157.53530180 ± 203.141.25.71
14147.53530223 ± 124.638.45.64
1577.53530190 ± 92.537.55.24
16177.53530211 ± 73.548.45.21
1737.53530217 ± 82.941.95.43
* Average of duplicate runs.
Table 7. Percentages removal of organic after anaerobic digestion of pot ale.
Table 7. Percentages removal of organic after anaerobic digestion of pot ale.
Exp NoCODBODSO4
S% = 10
552 ± 850 ± 956 ± 1
648 ± 843 ± 460 ± 5
952 ± 747 ± 965 ± 6
1016 ± 422 ± 168 ± 5
S% = 30
143 ± 544 ± 679 ± 3
245 ± 4 49 ± 479 ± 4
339 ± 137 ± 376 ± 4
423 ± 341 ± 581 ± 7
13-1728 ± 360 ± 571 ± 2
S% = 50
758 ± 355 ± 629 ± 2
878 ± 561 ± 425 ± 1
1164 ± 449 ± 224 ± 1
1259 ± 235 ± 436 ± 6
All results are average of triplicate runs.
Table 8. Design matrix for anaerobic co-digestion of pot ale and spent grain (5:1, by weight).
Table 8. Design matrix for anaerobic co-digestion of pot ale and spent grain (5:1, by weight).
Factor 1Factor 2Factor 3Response 1Response 2Response 3
Std.RunA:BTB:TempC:SludgeBiogasCH4CO2H2SFinal
min°C%mL/g VS%%ppmpH
1160323049 ± 23.9 ± 1.156.8 ± 1.8>>> 5.5
2515323055 ± 810.0 ± 0.855.2 ± 0.8>>> 5.4
380383067 ± 138.5 ± 0.755.9 ± 0.7>>> 5.7
41115383084 ± 1116.1 ± 0.256.2 ± 1.5>>> 5.7
5120351042 ± 22.2 ± 0.350.7 ± 0.2>>> 5.4
6915351050 ± 510.8 ± 0.255.1 ± 0.8>>> 5.6
71003550207 ± 1928.0 ± 2.139.2 ± 0.817825.6
84153550279 ± 1148.5 ± 2.335.0 ± 1.77825.5
967.5321057 ± 32.2 ± 0.552.8 ± 1.6>>> 5.4
1027.5381048 ± 74.9 ± 1.452.8 ± 1.6>>> 5.3
1117.53250258 ± 829.3 ± 2.148.2 ± 8.314725.6
12137.53850360 ± 1055.0 ± 0.436.0 ± 0.313757.1
13157.5353063 ± 1114.0 ± 1.451.8 ± 2.7>>> 5.5
14147.5353069 ± 913.0 ± 0.95.70 ± 1.8>>> 5.5
1577.5353076 ± 813.8 ± 0.757.5 ± 2.1>>> 5.4
16177.5353046 ± 415.0 ± 0.559.1 ± 3.4>>> 5.3
1737.5353061 ± 714.5 ± 0.753.6 ± 3.7>>> 5.3
All results are average of triplicate runs.
Table 9. Percentage removal of organic compounds after AD of pot ale and spent grain (5:1, by weight).
Table 9. Percentage removal of organic compounds after AD of pot ale and spent grain (5:1, by weight).
Exp. No.CODBODSO4
S% = 10
512 ± 214 ± 195 ± 2
623 ± 317 ± 174 ± 4
911 ± 122 ± 387 ± 1
109 ± 116 ± 469 ± 7
S% = 30
115 ± 325 ± 271 ± 1
223 ± 114 ± 188 ± 1
329 ± 229 ± 640 ± 2
437 ± 232 ± 456 ± 6
13–1739 ± 533 ± 749 ±7
S% = 50
758 ± 740 ± 332 ± 5
866 ± 346 ± 223 ± 3
1149 ± 448 ± 538 ± 1
1273 ± 663 ± 731 ± 7
All results are average of triplicate runs.
Table 10. Coding format of the variables.
Table 10. Coding format of the variables.
Coded Factors
Variable−101
A: Beating Time07.515
B: Temperature323538
C: Sludge%103050
Table 11. ANOVA table for biogas production by AD of pot ale quadratic model α = 0.05.
Table 11. ANOVA table for biogas production by AD of pot ale quadratic model α = 0.05.
SourceSum of SquaresdfMean SquareF Valuep-Value Prob > F
Model347,790.58486,947.64125.38<0.0001significant
A-Beating Time, min5408154087.800.0162
C-Sludge,%275,2821275,282396.95<0.0001
A25829.6615829.668.410.0133
C263,196.49163,196.4991.13<0.0001
Residual8321.9012693.49
Lack of Fit6971.098871.392.580.1879not significant
Pure Error1350.84337.7
Cor Total356,112.4716
R2: 0.9766, Adj R2: 0. 9688, Pred R2: 0. 9435, Adeq Precision: 30.40.
Table 12. ANOVA table for biogas production by AD of spent grain and pot ale quadratic model α = 0.01.
Table 12. ANOVA table for biogas production by AD of spent grain and pot ale quadratic model α = 0.01.
SourceSum of SquaresdfMean SquareF Valuep-Value Prob > F
Model1.50 × 105437,568.1256.84<0.0001significant
B-Temperature2455.9512455.953.720.0779
C-Sludge,%1.03 × 10511.03 × 105155.55<0.0001
BC3039.3213039.324.60.0532
C241,961.97141,961.9763.48<0.0001
Residual7931.9412661
Lack of Fit7446.018930.757.660.0331not significant
Pure Error485.934121.48
Cor Total1.58 × 10516
R2: 0.9499, Adj R2: 0. 9332, Pred R2: 0. 8345, Adeq Precision: 20.22.
Table 13. ANOVA table for CH4% for AD of pot ale quadratic model α = 0.05.
Table 13. ANOVA table for CH4% for AD of pot ale quadratic model α = 0.05.
SourceSum of SquaresdfMean SquareF Valuep-Value Prob > F
Model6311.4441577.86692.14<0.0001significant
B-Temperature18.91118.918.300.0138
C-Sludge,%4408.6114408.611933.86<0.0001
BC26.52126.5211.630.0052
C21857.4011857.40814.76<0.0001
Residual27.36122.28
Lack of Fit24.7983.104.830.0727not significant
Pure Error2.5740.64
Cor Total6338.8016
R2: 0.9956, Adj R2: 0.9942, Pred R2: 0.9869, Adeq Precision: 63.62.
Table 14. ANOVA table for CH4% for AD of spent grain and pot ale quadratic model α = 0.05.
Table 14. ANOVA table for CH4% for AD of spent grain and pot ale quadratic model α = 0.05.
SourceSum of SquaresdfMean SquareF Valuep-Value Prob > F
Model3980.986663.50116.82<0.0001significant
A-Beating Time129.821129.8222.860.0007
B-Temperature189.331189.3333.340.0002
C-Sludge2857.1412857.14503.06<0.0001
BC132.081132.0823.260.0007
B236.74136.746.470.0292
C2650.961650.96114.62<0.0001
Residual56.80105.68
Lack of Fit46.3267.722.950.1575not significant
Pure Error10.4842.62
Cor Total4037.7716
R2: 0.9859, Adj R2: 0. 9774, Pred R2: 0.9255, Adeq Precision: 33.23 33.23.
Table 15. ANOVA table for CO2% for AD of pot ale quadratic model α = 0.05.
Table 15. ANOVA table for CO2% for AD of pot ale quadratic model α = 0.05.
SourceSum of SquaresdfMean SquareF Valuep-Value Prob > F
Model1602.754400.6918.73<0.0001significant
B-Temperature65.55165.553.060.1055
C-Sludge,%58.86158.862.750.1230
BC155.001155.007.250.0196
C21323.3411323.3461.87<0.0001
Residual256.661221.39
Lack of Fit183.19822.901.250.4433not significant
Pure Error73.47418.37
Cor Total1859.4216
R2: 0.8620, Adj R2: 0.8160, Pred R2: 0.6091, Adeq Precision: 12.89.
Table 16. ANOVA table for CO2% for AD of spent grain and pot ale quadratic model α = 0.05.
Table 16. ANOVA table for CO2% for AD of spent grain and pot ale quadratic model α = 0.05.
SourceSum of SquaresdfMean SquareF Valuep-Value Prob > F
Model803.084200.7724.11<0.0001significant
B-Temperature18.30118.302.100.1640
C-Sludge351.131351.1342.17<0.0001
BC37.21137.214.470.0561
C2396.451396.4547.61<0.0001
Residual99.92128.33
Lack of Fit63.8687.980.890.5923not significant
Pure Error36.0649.02
Cor Total903.0016
R2: 0.8893, Adj R2: 0.8524, Pred R2: 0.6959, Adeq Precision: 14.29.
Table 17. Validation experiment results versus predicted results for AD of pot ale.
Table 17. Validation experiment results versus predicted results for AD of pot ale.
Validation PointsBiogas Yield (ml/g VS)CH4%CO2%
ExperimentalPredictedExperimentalPredictedExperimentalPredicted
0B 50%S 38 °C464 ± 2653254.2 ± 946.533.1 ± 1022.5
p: 0.672p: 1.000p: 0.226
0B 10%S 38 °C91 ± 11831.2 ± 0.20.433.3 ± 10.49.7
p: 0.327p:0.084p: 0.059
0B 30%S 35 °C167 ± 141499.0 ± 2.44.7150.8 ± 6.936.9
p: 0.155p: 0.089p: 0.075
Table 18. Validation experiment results versus predicted results for AD of spent grain and pot ale mix.
Table 18. Validation experiment results versus predicted results for AD of spent grain and pot ale mix.
Validation PointsBiogas Yield (ml/g VS)CH4%CO2%
ExperimentalPredictedExperimentalPredictedExperimentalPredicted
0B 50%S 38 °C378 ± 8432544.2 ± 7.35240.1 ± 1246.5
p: 0.391p: 0.207p: 0.479
0B 10%S 38 °C78 ± 35402.2 ± 0.81.162.7± 12.654.9
p: 0.202p: 0.161p: 0.399
Table 19. Optimisation conditions for AD pot ale.
Table 19. Optimisation conditions for AD pot ale.
Variable GoalLower LimitUpper LimitImportance
A: Beating Time (min)is in range0153
B: Temperature (°C)is in range32383
C: Sludge (%)is in range10503
Biogas Yield (ml/g VS)maximize1095505
CH4%maximize154.35
CO2%minimize13.248.45
Table 20. Optimisation conditions for AD pot ale and spent grain mix.
Table 20. Optimisation conditions for AD pot ale and spent grain mix.
Variable GoalLower LimitUpper LimitImportance
A: Beating Time (min)is in range0153
B: Temperature (°C)is in range32383
C: Sludge (%)is in range10503
Biogas Yield (ml/g VS)maximize42.5359.95
CH4% maximize2.255.05
CO2%minimize35.059.15
Table 21. Numerical optimisation solutions for AD of pot ale.
Table 21. Numerical optimisation solutions for AD of pot ale.
No.A: Beating Time (min)B: Temperature (°C)C: Sludge%Biogas Yield (ml/g VS)CH4 %CO2 %Desirability
110.1432.0050.00521.1344.2422.360.82
27.6532.0050.00517.0844.2422.360.81
39.9635.0150.00521.1148.3725.740.80
411.7634.9450.00519.3748.2725.660.80
57.8136.1550.00517.5949.9227.010.79
Table 22. Numerical optimisation solutions for AD of pot ale and spent grain mix.
Table 22. Numerical optimisation solutions for AD of pot ale and spent grain mix.
No.A: Beating Time (min)B: Temperature (°C)C: Sludge%Biogas Yield (ml/g VS)CH4 %CO2 %Desirability
113.0938.0050.00321.2154.9535.050.96
211.0638.0050.00321.2553.8735.040.96
38.6938.0050.00321.2552.5935.040.95
415.0037.0950.00307.6454.3036.420.93
515.0035.6649.93285.0250.3638.680.84

Share and Cite

MDPI and ACS Style

Gunes, B.; Carrié, M.; Benyounis, K.; Stokes, J.; Davis, P.; Connolly, C.; Lawler, J. Optimisation and Modelling of Anaerobic Digestion of Whiskey Distillery/Brewery Wastes after Combined Chemical and Mechanical Pre-Treatment. Processes 2020, 8, 492. https://doi.org/10.3390/pr8040492

AMA Style

Gunes B, Carrié M, Benyounis K, Stokes J, Davis P, Connolly C, Lawler J. Optimisation and Modelling of Anaerobic Digestion of Whiskey Distillery/Brewery Wastes after Combined Chemical and Mechanical Pre-Treatment. Processes. 2020; 8(4):492. https://doi.org/10.3390/pr8040492

Chicago/Turabian Style

Gunes, Burcu, Maxime Carrié, Khaled Benyounis, Joseph Stokes, Paul Davis, Cathal Connolly, and Jenny Lawler. 2020. "Optimisation and Modelling of Anaerobic Digestion of Whiskey Distillery/Brewery Wastes after Combined Chemical and Mechanical Pre-Treatment" Processes 8, no. 4: 492. https://doi.org/10.3390/pr8040492

APA Style

Gunes, B., Carrié, M., Benyounis, K., Stokes, J., Davis, P., Connolly, C., & Lawler, J. (2020). Optimisation and Modelling of Anaerobic Digestion of Whiskey Distillery/Brewery Wastes after Combined Chemical and Mechanical Pre-Treatment. Processes, 8(4), 492. https://doi.org/10.3390/pr8040492

Note that from the first issue of 2016, this journal uses article numbers instead of page numbers. See further details here.

Article Metrics

Back to TopTop