Effects of Different Softening Processes on the Hardness and Quality of Thawed Neritic Squid (Uroteuthis edulis) Muscle
Abstract
1. Introduction
2. Materials and Methods
2.1. Raw Materials and Controls
2.2. Experimental Squid Samples
2.3. Chromaticity Testing
2.4. pH and Total Volatile Basic Nitrogen (TVBN)
2.5. Light Microscopy of Squid Mantle Muscle Tissue
2.6. Sodium Dodecyl Sulfate-Polyacrylamide Gel Electrophoresis (SDS-PAGE)
2.7. Texture Analysis
2.8. Sensory Evaluation
2.9. Statistical Analysis
3. Results and Discussion
3.1. Effects of Alkali Soaking and Ultrasonic Cleaning on Hardness and pH of Squid Muscle
3.2. Enzyme Treatment and Color
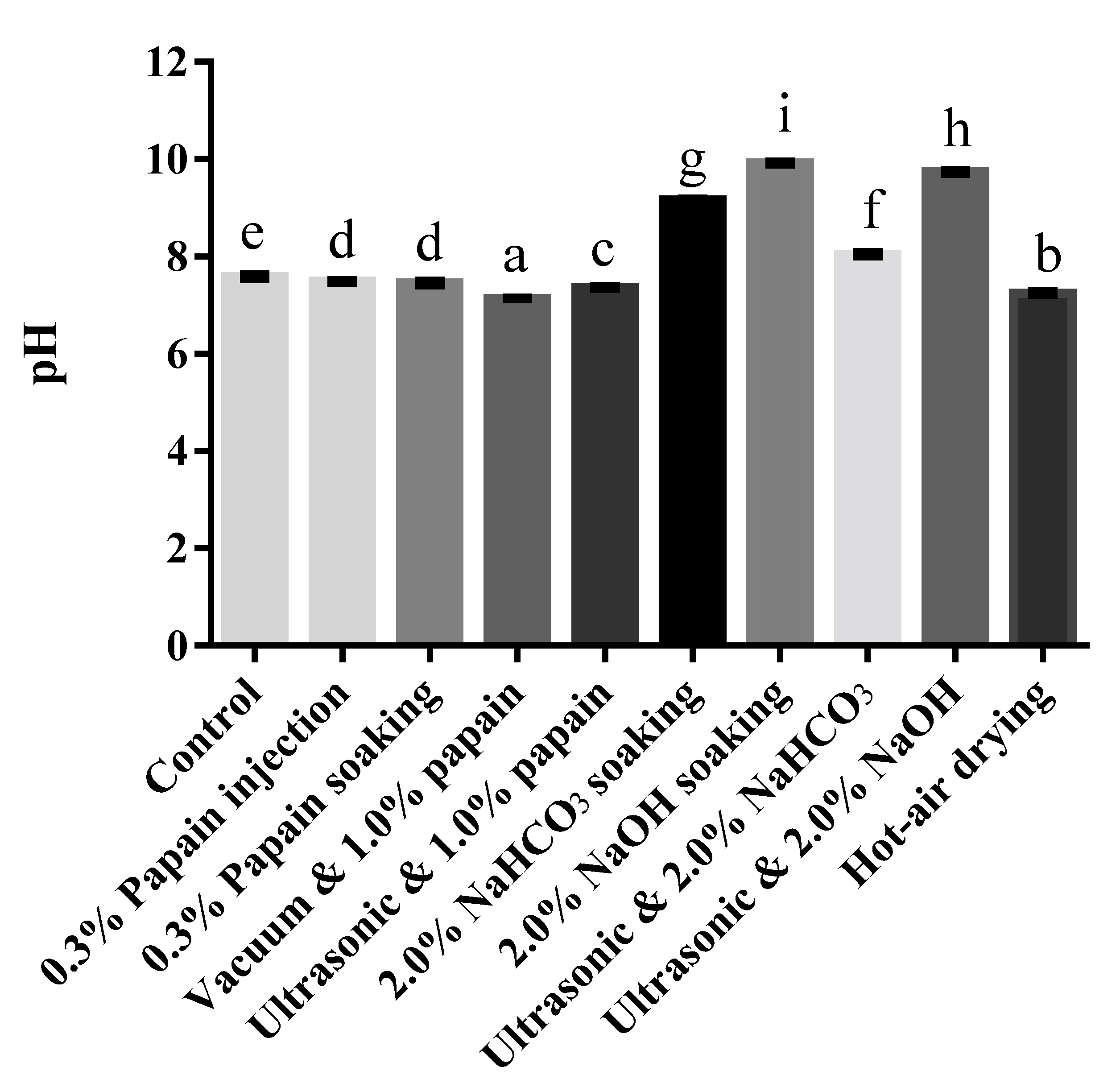
3.3. pH and Total Volatile Nitrogen (TVBN)
3.4. Histological Observations by Light Microscopy
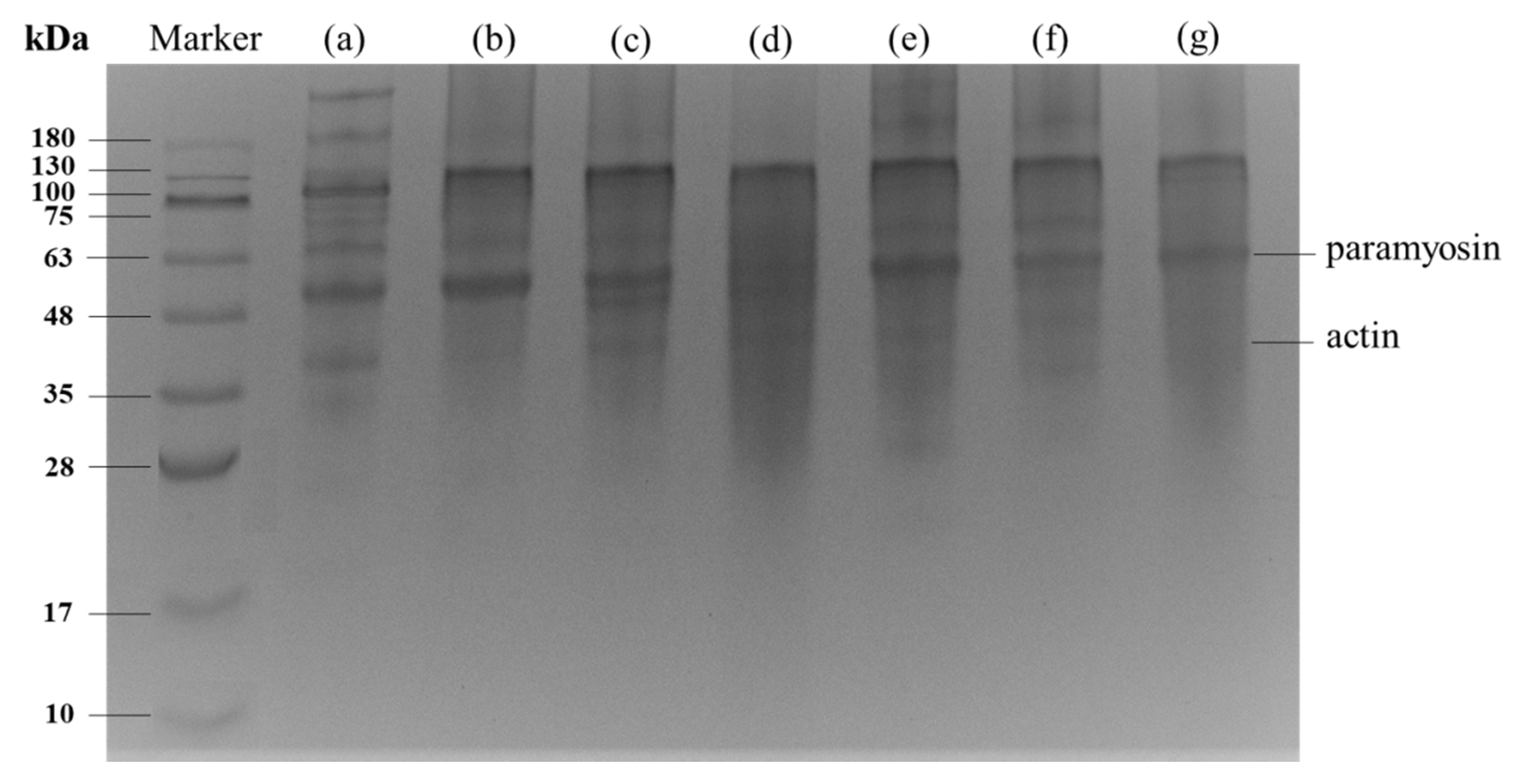
3.5. SDS-PAGE
3.6. Texture Analysis
3.7. Sensory Evaluation
4. Conclusions
Author Contributions
Funding
Acknowledgments
Conflicts of Interest
References
- Fisheries Agency. Fisheries Agency. Fisheries production. In Fisheries Statistical Year Book, Taiwan, Kinmen and Matsu Area, 2015; Council of Agriculture, Executive Yuan: Taipei, Taiwan, 2015. [Google Scholar]
- Bourre, J.M.; Paquotte, P. Seafood (wild and farmed) for the elderly: Contribution to the dietary intakes of iodine, selenium, DHA and vitamins B12 and D. J. Nutr. Heal. Aging 2008, 12, 186–192. [Google Scholar] [CrossRef] [PubMed]
- Thanonkaew, A.; Benjakul, S.; Visessanguan, W. Chemical composition and thermal property of cuttlefish (Sepia pharaonis) muscle. J. Food Compos. Anal. 2006, 19, 127–133. [Google Scholar] [CrossRef]
- Melendo, J.A.; Beltrán, J.A.; Roncalés, P. Tenderization of squid (Loligo vulgaris and Illex coindetii) with bromelain and a bovine spleen lysosomal-enriched extract. Food Res. Int. 1997, 30, 335–341. [Google Scholar] [CrossRef]
- Tabe, K.; Kim, Y.-J.; Ohnuma, S.; Ogoshi, H.; Suzuki, A.; Nishiumi, T. Improvement of texture and palatability of chicken breast: Effect of high hydrostatic pressure and sodium hydrogen carbonate. High Press. Res. 2013, 33, 348–353. [Google Scholar] [CrossRef]
- Sullivan, G.A.; Calkins, C. Application of exogenous enogenous enzymes to beef muscle of high and low-connective tissue. Meat Sci. 2010, 85, 730–734. [Google Scholar] [CrossRef]
- Nadar, S.S.; Rathod, V.K. Ultrasound assisted intensification of enzyme activity and its properties: A mini-review. World J. Microbiol. Biotechnol. 2017, 33, 1–12. [Google Scholar] [CrossRef]
- Hu, Y.; Yu, H.; Dong, K.; Yang, S.; Ye, X.; Chen, S. Analysis of the tenderization jumbo squid (Dosidicus gigas) meat by ultrasonic treatment using response surface methodology. Food Chem. 2014, 160, 219–222. [Google Scholar] [CrossRef]
- Boirie, Y. Physiopathological mechanism of sarcopenia. J. Nutr. Heal. Aging 2009, 13, 717–723. [Google Scholar] [CrossRef]
- Takahashi, T.; Saitoh, A.; Kawano, A.; Asaga, K.; Wada, K.; Ogoshi, H. Influence of tenderizing by sodium hydrogen carbonate soaking on the hardness and sensory evaluation of beef and pork. J. Home Econ. Jpn. 2002, 53, 347–354. [Google Scholar]
- Morris, M.C.; Evans, D.A.; Tangney, C.C.; Bienias, J.L.; Wilson, R.S. Fish consumption and cognitive decline with age in a large community study. Arch. Neurol. 2005, 62, 1849–1853. [Google Scholar] [CrossRef]
- Bai, Y.-X.; Sun, B. Study of electrohydrodynamic (Ehd) drying technique for shrimps. J. Food Process. Preserv. 2011, 35, 891–897. [Google Scholar] [CrossRef]
- Deng, Y.; Luo, Y.; Wang, Y.; Yue, J.; Liu, Z.; Zhong, Y.; Zhao, Y.; Yang, H. Drying-induced protein and microstructure damages of squid fillets affected moisture distribution and rehydration ability during rehydration. J. Food Eng. 2014, 123, 23–31. [Google Scholar] [CrossRef]
- Vega-Gálvez, A.; Miranda, M.; Clavería, R.; Quispe, I.; Vergara, J.; Uribe, E.; Paez, H.; Di Scala, K.; Quispe-Fuentes, I. Effect of air temperature on drying kinetics and quality characteristics of osmo-treated jumbo squid (Dosidicus gigas). LWT-Food Sci. Technol. 2011, 44, 16–23. [Google Scholar] [CrossRef]
- Gokoglu, N.; Topuz, O.K.; Yerlikaya, P.; Yatmaz, H.A.; Ucak, I. Effects of freezing and frozen storage on protein functionality and texture of some cephalopod muscles. J. Aquat. Food Prod. Technol. 2018, 27, 211–218. [Google Scholar] [CrossRef]
- Eom, S.-H.; Lee, S.-H.; Chun, Y.-G.; Kim, B.-K.; Park, D.-J. Texture softening of beef and chicken by enzyme injection process. Food Sci. Anim. Resour. 2015, 35, 486–493. [Google Scholar] [CrossRef]
- Gokoglu, N.; Topuz, O.K.; Gokoglu, M.; Tokay, F.G. Characterization of protein functionality and texture of tumbled squid, octopus and cuttlefish muscles. J. Food Meas. Charact. 2017, 11, 1699–1705. [Google Scholar] [CrossRef]
- AOAC. Official Methods of Analysis of the Association of Official Analytical Chemists, 16th ed.; Sidney, W., Ed.; AOAC: Washington, DC, USA, 1998. [Google Scholar]
- Cruz-Romero, M.; Kelly, A.; Kerry, J. Effects of high-pressure and heat treatments on physical and biochemical characteristics of oysters (Crassostrea gigas). Innov. Food Sci. Emerg. Technol. 2007, 8, 30–38. [Google Scholar] [CrossRef]
- Cobb, B.F.; Alaniz, I.; Thompson, C.A. Biochemical and microbial studies on shrimp: volatile nitrogen and amino nitrogen analysis. J. Food Sci. 1973, 38, 431–436. [Google Scholar] [CrossRef]
- Bello, R.A.; Luft, J.H.; Pigott, G.M. Improved histological procedure for microscopic demonstration of related changes in fish muscle tissue structure during holding and freezing. J. Food Sci. 1981, 46, 733–737. [Google Scholar] [CrossRef]
- Hernández-Andrés, A.; Guillén, C.G.; Montero, P.; Pérez-Mateos, M. Partial characterization of protease activity in squid (Todaropsis eblanae) mantle: Modification by high-pressure treatment. J. Food Sci. 2005, 70, C239–C245. [Google Scholar] [CrossRef]
- Wang, Y.; Zhang, M.; Mujumdar, A.S.; Mothibe, K.J. Quality changes of dehydrated restructured fish product from silver carp (Hypophthalmichthys molitrix) as affected by drying methods. Food Bioprocess Technol. 2013, 6, 1664–1680. [Google Scholar] [CrossRef]
- Fu, X.-Y.; Xue, C.-H.; Miao, B.-C.; Li, Z.-J.; Zhang, Y.-Q.; Wang, Q. Effect of processing steps on the physico-chemical properties of dried-seasoned squid. Food Chem. 2007, 103, 287–294. [Google Scholar] [CrossRef]
- Rawdkuen, S.; Jamakreu, M.; Benjakul, S. Physicochemical properties and tenderness of meat samples using proteolytic extract for Calotropis procera latex. Afr. J. Biotechnol. 2012, 11, 14088–14095. [Google Scholar] [CrossRef] [PubMed]
- Kajita, T.; Takeda, Y.; Yoshida, S.; Yamada, K.; Matsumiya, M.; Fukushima, H. cDNA coloning of paramyosin from several kinds of squid mantle muscle. Adv. Biosci. Biotechnol. 2018, 9, 11–25. [Google Scholar] [CrossRef]



| Hardness (× 104 N/m2) | |||
|---|---|---|---|
| Control | 2% NaHCO3 | 2% NaOH | |
| Soaked at 4 °C for 4 days | 18.62 ± 1.18 a | 5.12 ± 0.63 b,B | 0.26 ± 0.01 c,B |
| Soaked for 30 min with ultrasonic cleaning | 18.91 ± 0.39 a | 4.94 ± 0.37 b,B | 1.60 ± 0.33 c,B |
| Soaked for 30 min without ultrasonic cleaning | 10.10 ± 0.88 a,A | 6.18 ± 0.46 b,A | |
| Hardness (× 104 N/m2) | |||||
|---|---|---|---|---|---|
| Control | B 0.5% | B 1.0% | P 0.5% | P 1.0% | |
| Soaking time | |||||
| 40 min | 18.77 ± 1.88 a,A | 14.61 ± 1.98 b,B | 14.20 ± 1.69 b,B | 12.94 ± 1.44 b,c,B | 10.11 ± 0.94 c,B |
| 60 min | 18.99 ± 1.16 a,A | 16.35 ± 1.13 a,b,A | 16.20 ± 1.56 a,b,A | 14.81 ± 1.57 b,A | 14.23 ± 1.44 b,A |
| Vacuum Orbital Shaking | |||||
| 4 h | 12.80 ± 0.42 a,A | 9.16 ± 1.34 b,B | 8.88 ± 0.71 b,B | 8.68 ± 0.70 b,B | 8.03 ± 0.97 b,B |
| 8 h | 12.70 ± 0.15 a,A | 8.29 ± 1.93 b,C | 8.56 ± 0.67 b,B | 8.56 ± 0.31 b,B | 7.69 ± 0.75 b,C |
| 12 h | 12.61 ± 0.08 a,A | 9.25 ± 0.72 b,B | 7.14 ± 1.57 c,C | 5.14 ± 1.45 d,C | 4.68 ± 0.24 d,E |
| 16 h | 12.31 ± 0.30 a,A | 9.30 ± 1.09 b,B | 8.84 ± 0.64 b,B | 8.65 ± 0.72 b,B | 6.11 ± 3.20 b,D |
| 16 h enzyme control | 10.20 ± 0.82 a,A | 10.12 ± 0.34 a,A | 10.07 ± 0.19 a,A | 10.01 ± 0.12 a,A | |
| Ultrasonic Processor | |||||
| 30 min | 15.04 ± 0.97 a | 9.76 ± 1.07 b,B | 8.15 ± 1.45 b,c,B | 8.26 ± 1.32 b,c,B | 7.23 ± 0.31 c,B |
| enzyme control | 13.53 ± 0.63 a,A | 13.01 ± 0.81 a,A | 13.15 ± 1.00 a,A | 12.62 ± 0.35 a,A | |
| Ultrasonic Cleaning | |||||
| 30 min | 18.91 ± 0.39 a | 11.77 ± 1.55 b,B | 11.15 ± 0.68 b,B | 11.81 ± 1.20 b,B | 11.06 ± 0.20 b,B |
| enzyme control | 13.53 ± 0.63 a,A | 13.01 ± 0.81 a,A | 13.15 ± 1.00 a,A | 12.62 ± 0.35 a,A | |
| Hardness (× 104 N/m2) | |||||||
|---|---|---|---|---|---|---|---|
| Control | B 0.1% | B 0.2% | B 0.3% | P 0.1% | P 0.2% | P 0.3% | |
| Injection | 17.75 ± 1.84 a,A | 8.65 ± 0.94 b,B | 6.85 ± 1.08 c,B | 5.93 ± 0.31 c,d,B | 6.49 ± 0.77 c,d,B | 5.42 ± 0.31 d,e,B | 4.74 ± 0.20 e,B |
| Soaking | 18.75 ± 1.84 a,A | 17.52 ± 1.05 b,A | 16.77 ± 0.10 b,c,A | 15.85 ± 0.16 d,e,A | 17.10 ± 0.10 b,c,A | 16.31 ± 0.25 c,d,A | 15.23 ± 0.17 e,A |
| Control | Hot-Air Drying | Alkali Soaking | Vacuum Orbital Shaker | Enzyme | Ultrasonic Cleaning | Ultrasonic Processor | |||
|---|---|---|---|---|---|---|---|---|---|
| Injection | Soaking | Enzyme | Alkali Soaking | With Enzyme | |||||
| Hardness (104 N/m2) | 19.58 ± 0.41a | 12.06 ± 3.48 b | 5.12 ± 0.63 d | 4.68 ± 0.24 d | 4.74 ± 0.20 d | 10.11 ± 0.94 c | 11.06 ± 0.20 c | 4.94 ± 0.37 d | 7.23 ± 0.31 c,d |
| Hardness (× 104 N/m2) | |||
|---|---|---|---|
| Control | 50 °C | 60 °C | |
| Raw | 34.71 ± 0.86 a,A | 34.42 ± 1.56 a,A | 34.68 ± 1.0 a,A |
| After sterilization at 121 °C for 20 min | 18.91 ± 0.39 a,B | 12.06 ± 3.48 b,B | 12.76 ± 2.54 b,B |
| Color Values | Raw Squid | Control Sterilized Sample | S | SU | EI | VOS | UP | RAHD |
|---|---|---|---|---|---|---|---|---|
| L | 71.31 ± 0.61 a | 84.12 ± 0.11 c | 93.16 ± 0.22 e | 88.75 ± 0.84 d | 94.49 ± 0.29 e | 95.73 ± 0.01 f | 93.86 ± 0.20 e | 80.89 ± 0.25 b |
| a | −15.18 ± 0.10 a | −8.44 ± 0.06 d | −13.59 ± 0.33 b | −9.18 ± 0.35 d | −11.37 ± 0.02 c | −11.05 ± 0.03 c | −13.20 ± 0.12 b | −5.03 ± 0.93 e |
| b | 20.03 ± 0.18 a | 38.19 ± 0.08 c | 35.81 ± 1.97 c | 32.78 ± 0.17 b | 32.72 ± 1.36 b | 25.45 ± 0.11 b | 34.39 ± 0.73 c | 46.05 ± 0.27 d |
| Moisture (%) | Crude Protein (%) | Crude Fat (%) | Ash (%) | Carbohydrate * (%) | |
|---|---|---|---|---|---|
| Raw squid | 80.90 ± 0.07 a | 14.44 ± 0.19 a | 1.10 ± 0.39 a | 3.39 ± 0.49 a | 0.17 ± 0.22 a |
| Control | 80.35 ± 0.61 a | 14.46 ± 0.06 a | 1.28 ± 0.17 a | 3.79 ± 0.03 a | 0.12 ± 0.15 a |
| VOS | 78.19 ± 0.05 b | 16.50 ± 1.33 b | 1.36 ± 0.10 a | 3.85 ± 1.05 a | 0.10 ± 0.54 a |
| Treatments: | Control | Enzyme | Alkali Soaking | |
|---|---|---|---|---|
| Features | Injection | Vacuum Orbital Shaker | Ultrasonic Cleaning | |
| All Panelists (n = 51), Mean Age 67 years | ||||
| Color | 73 a | 174 c | 149 c | 114 b |
| Texture | 92 a | 149 c | 149 c | 120 b |
| Appearance | 72 a | 170 c | 164 c | 104 b |
| Flavor | 90 a | 152 b | 158 b | 111 a |
| Overall acceptability | 72 a | 162 c | 168 c | 105 b |
| Fishy smell | 94 a | 146 b | 147 b | 123 b |
| Older Panelists (n = 21), Age > 70 years | ||||
| Color | 20 a | 59 c | 49 c | 42 b |
| Texture | 33 a | 46 a | 44 a | 47 a |
| Appearance | 22 a | 55 b | 51 b | 42 b |
| Flavor | 28 a | 52 b | 48 b | 42 a |
| Overall acceptability | 26 a | 56 b | 50 b | 38 a |
| Fishy smell | 31 a | 50 b | 45 b | 44 b |
© 2020 by the authors. Licensee MDPI, Basel, Switzerland. This article is an open access article distributed under the terms and conditions of the Creative Commons Attribution (CC BY) license (http://creativecommons.org/licenses/by/4.0/).
Share and Cite
Grygier, M.J.; Fan, Y.-W.; Sung, W.-C. Effects of Different Softening Processes on the Hardness and Quality of Thawed Neritic Squid (Uroteuthis edulis) Muscle. Processes 2020, 8, 135. https://doi.org/10.3390/pr8020135
Grygier MJ, Fan Y-W, Sung W-C. Effects of Different Softening Processes on the Hardness and Quality of Thawed Neritic Squid (Uroteuthis edulis) Muscle. Processes. 2020; 8(2):135. https://doi.org/10.3390/pr8020135
Chicago/Turabian StyleGrygier, Mark J., Yu-Wen Fan, and Wen-Chieh Sung. 2020. "Effects of Different Softening Processes on the Hardness and Quality of Thawed Neritic Squid (Uroteuthis edulis) Muscle" Processes 8, no. 2: 135. https://doi.org/10.3390/pr8020135
APA StyleGrygier, M. J., Fan, Y.-W., & Sung, W.-C. (2020). Effects of Different Softening Processes on the Hardness and Quality of Thawed Neritic Squid (Uroteuthis edulis) Muscle. Processes, 8(2), 135. https://doi.org/10.3390/pr8020135

