Experimental and Comparative RANS/URANS Investigations on the Effect of Radius of Volute Tongue on the Aerodynamics and Aeroacoustics of a Sirocco Fan
Abstract
1. Introduction
2. Numerical Methods
2.1. Fan Configuration
2.2. Numerical Simulation Method
2.3. Grid Independence Study
2.4. Experiment Details
3. Results and Discussion
3.1. Aerodynamic Performances
3.2. General Characteristics of Internal Flow
3.3. Reversed Flow in Impeller Near the Volute Tongue
3.3.1. Reversed Flow Predicted by RANS
3.3.2. Reversed Flow Predicted by URANS
3.4. Near-Wall Flow of the Volute Surface
3.4.1. Distribution of Skin Friction Coefficient on the Volute Surface
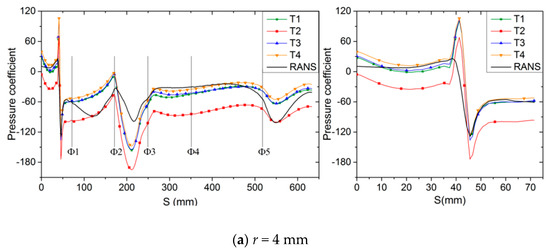
3.4.2. Distribution of Pressure Coefficient on the Volute Surface
3.5. Staic Pressure Fluctuation and Its Propagation
3.5.1. Static Pressure Fluctuation along the Circumference of the Impeller Outlet
3.5.2. Static Pressure Fluctuation along the Radial Direction in the Volute
3.5.3. Static Pressure Fluctuation Near the Volute Tongue
3.5.4. Characteristics of Static Pressure Pulsation at the Volute Tongue
3.6. Aeroacoustic Characteristics
4. Conclusions
- The volute with small tongue radius could improve the static pressure and static pressure efficiency of the fan until r = 9 mm by affecting the flow patterns in the tongue region as well as far away from the volute tongue. The steady-state RANS simulation fails to accurately predict the static pressure for all models, while the URANS results are highly consistent with the experimental data.
- Reversed flow forms within the impeller passages close to the volute tongue, as captured by both RANS and URANS simulations by monitoring the passage flow at a fixed point for the whole revolution of the impeller. The volute tongue with small radius could reduce the size and velocity magnitude of reversed flow; the variation amplitude of velocity of passage flow is small near the front disc, while is larger for that near the central disc.
- The near-wall flow of the volute surface is affected by the volute tongue radius in the vicinity of the volute tongue as well as far away from it, as revealed by the distribution of pressure coefficient and skin friction coefficient. The reduction of volute tongue radius produces FPG and APG field in the tongue region and thus affects the local near-wall flow. For models with small volute tongue radius, the pressure coefficient and skin friction coefficient on the volute surface exhibit notable unsteady pulsations depending on the circumferential position.
- The pressure fluctuation is monitored by URANS at the outlet of the impeller, in the volute and around the volute tongue. The fluctuating amplitude is substantially large for the r = 4 mm model which shows time-periodicity regarding the passing of single blade as well as the revolution of whole impeller, while the pressure fluctuation for all monitors of the other models is comparably minor. It is also found that the steady-state RANS simulation could over-predict or under-predict the pressure depending on the position of the monitor and the volute model and the discrepancy could up to more than 30%.
- The comparison between RANS and URANS results shows that generally, the RANS approach could reasonably reveal the flow patterns within the fan. However, the quantitative analysis on the local flow shows discrepancy compared with the time-average value obtained from URANS simulation and the difference can be large for certain quantities. The RANS approach may not be a suitable choice even if results of engineering accuracy are required.
- The experimental results show the noise of the fan generally decreases with the volute tongue radius and the sound pressure level is the most pronounced for the r = 4 mm model because of the highly fluctuating flow. The noise measured at the inlet of the fan is less affected by the volute tongue radius.
Author Contributions
Funding
Conflicts of Interest
References
- Rafael, B.T.; Sandra, V.S.; Juan, P.H.C.; Carlos, S.M. Numerical calculation of pressure fluctuations in the volute of a centrifugal fan. J. Fluids Eng. 2006, 128, 359–369. [Google Scholar] [CrossRef]
- Dilin, P.; Sakai, T.; Wilson, M.; Whitfield, A. Computational and experimental evaluation of the performance of a centrifugal fan volute. Proc. Inst. Mech. Eng. Part A J. Power Energy 1998, 212, 235–246. [Google Scholar] [CrossRef]
- Okauchi, H.; Suzuka, T.; Sakai, T.; Whitfield, A. The effect of volute tongue and passage configuration on the performance of centrifugal fan. In Proceedings of the International Compressor Engineering Conference, West Lafayette, IN, USA, 16–19 July 2002. [Google Scholar]
- Whitfield, A.; Johnson, M.A. The effect of volute design on the performance of a turbocharger compressor. International. In Proceedings of the Compressor Engineering Conference, West Lafayette, IN, USA, 16–19 July 2002. [Google Scholar]
- Xiao, M.N.; Xiao, Q.; Dou, H.S.; Ma, X.Y.; Chen, Y.N.; He, H.J.; Ye, X.X. Study of flow instability in a centrifugal fan based on energy gradient theory. J. Mech. Sci. Technol. 2016, 30, 507–517. [Google Scholar] [CrossRef]
- Pan, D.; Whitfield, A.; Wilson, M. Design considerations for the volutes of centrifugal fans and compressors. Proc. Inst. Mech. Eng. Part C J. Mech. Eng. Sci. 1999, 213, 401–410. [Google Scholar] [CrossRef]
- Lun, Y.X.; Lin, L.L.; He, H.J.; Ye, X.X.; Zhu, Z.C.; Wei, Y.K. Effects of vortex structure on performance characteristics of a multiblade fan with inclined tongue. Proc. Inst. Mech. Eng. Part A J. Power Energy 2019, 233, 1–15. [Google Scholar] [CrossRef]
- Sandra, V.S.; Rafael, B.T.; Carlos, S.M.; Jose, G.P. Unsteady flow pattern characteristics downstream of a forward-curved blades centrifugal fan. J. Fluids Eng. 2001, 123, 265–270. [Google Scholar] [CrossRef]
- Sina, S.; Javad, A. Experimental and numerical analysis of eight different volutes with the same impeller in a squirrel-cage fan. In Proceedings of the 13th WSEAS International Conference on Automatic Control, Modelling &Simulation, Lanzarote, Spain, 27–29 May 2011; pp. 198–203. [Google Scholar]
- Zhou, S.Q.; Li, Y.B. Volute characteristics of centrifugal fan based on dynamic moment correction method. Proc. Inst. Mech. Eng. Part A J. Power Energy 2019, 233, 176–185. [Google Scholar] [CrossRef]
- Sunil, R.P.; Sandip, T.C.; Nitin, S.J.; Shivaraj, S.V. Effect of volute tongue clearance variation on performance of centrifugal blower by numerical and experimental analysis. Mater. Today-Proc. 2018, 5, 3883–3894. [Google Scholar] [CrossRef]
- Zhang, L.; Wang, S.L.; Hu, C.X.; Zhang, Q. Multi-objective optimization design and experimental investigation of centrifugal fan performance. Chin. J. Mech. Eng. 2013, 26, 1267–1276. [Google Scholar] [CrossRef]
- Lee, Y.T.; Vineet, A.; Ashvin, H.; Michael, E.S.; Lawrence, P.M.; Roger, B.; Roderick, M.C. Impeller design of a centrifugal fan with blade optimization. Int. J. Rotating Mach. 2011, 2011, 537824. [Google Scholar] [CrossRef]
- Wang, Y.; Dong, Q.L.; Zhang, Y.L. Meridional shape design and the internal flow investigation of centrifugal impeller. Proc. Inst. Mech. Eng. Part C J. Mech. Eng. Sci. 2017, 231, 4319–4330. [Google Scholar] [CrossRef]
- Kim, J.H.; Cha, K.H.; Kim, K.Y. Parametric study on a forward-curved blades centrifugal fan with an impeller separated by annular plate. J. Mech. Sci. Technol. 2013, 27, 1589–1595. [Google Scholar] [CrossRef]
- Ni, S.S.; Cao, W.B.; Xu, J.; Wang, Y.D.; Zhang, W. Effects of an inclined blade on the performance of a sirocco fan. Appl. Sci. 2019, 9, 3154. [Google Scholar] [CrossRef]
- Kim, K.Y.; Seo, S.J. Shape optimization of forward-curved-blade centrifugal fan with Navier-Stokes analysis. J. Fluids Eng. 2004, 126, 735–742. [Google Scholar] [CrossRef]
- Tarek, M.; Seung, O.P. A study of impeller-diffuser-volute interaction in a centrifugal fan. J. Turbomach. 2005, 127, 84–90. [Google Scholar] [CrossRef]
- Koen, H.; Rene, A.V.D.B. Numerical simulation of impeller-volute interaction in centrifugal compressors. J. Turbomach 1999, 121, 603–608. [Google Scholar] [CrossRef]
- Karanth, K.V.; Sharma, N.Y. CFD analysis on the effect of radial gap on impeller-diffuser flow interaction as well as on the flow characteristics of a centrifugal fan. Int. J. Rotating Mach. 2009, 2009, 293508. [Google Scholar] [CrossRef]
- Lee, Y.T. Impact of fan gap flow on the centrifugal impeller aerodynamics. J. Fluids Eng. 2010, 132, 091103. [Google Scholar] [CrossRef]
- Jose, G.; Joaquin, F.; Eduardo, B.; Carlos, S. Numerical simulation of the dynamic effects due to impeller-volute interaction in a centrifugal pump. J. Fluids Eng. 2002, 124, 348–355. [Google Scholar] [CrossRef]
- Daniel, O.B.; Lutz, K.; Ronald, D.F. Effect of relative impeller-to-volute position on hydraulic efficiency and static radial force distribution in a circular volute centrifugal pump. J. Fluids Eng. 2000, 122, 598–605. [Google Scholar] [CrossRef]
- Younsi, M.; Bakir, F.; Kouidri, S.; Rey, R. Numerical and experimental study of unsteady flow in a centrifugal fan. Proc. Inst. Mech. Eng. Part A J. Power Energy 2007, 221, 1025–1036. [Google Scholar] [CrossRef]
- Bechara, W.; Bailly, C.; Lafon, P.; Candel, S.M. Stochastic approach to noise modeling for free turbulent flows. AIAA J. 1994, 32, 455–463. [Google Scholar] [CrossRef]
- Billson, M.; Eriksson, L.E.; Davidson, L. Jet noise prediction using stochastic turbulence modeling. In Proceedings of the 9th AIAA/CEAS Aeroacoustics Conference and Exhibit, Hilton Head, SC, USA, 12–14 May 2003. [Google Scholar] [CrossRef]
- Ewert, R. Slat Noise Trend Predictions using CAA with Stochastic Sound Sources from a Random Particle Mesh method (RPM). In Proceedings of the 12th AIAA/CEAS Aeroacoustics Conference (27th AIAA Aeroacoustics Conference), Cambridge, MA, USA, 8–10 May 2006. [Google Scholar] [CrossRef]
- Ewert, R. Broadband slat noise prediction based on CAA and stochastic sound sources from a fast random particle-mesh (RPM) method. Comput. Fluids 2008, 37, 369–387. [Google Scholar] [CrossRef]
- Bailly, C.; Bogey, C.; Marsden, O. Progress in direct noise computation. J. Aeroacoust. 2010, 9, 123–143. [Google Scholar] [CrossRef]
- Sandberg, D.; Jones, L.E. Direct numerical simulations of airfoil self-noise. Procedia Eng. 2010, 6, 274–282. [Google Scholar] [CrossRef]
- Dawi, A.H.; Akkermans, R.A.D. Spurious noise in direct noise computation with a finite volume method for automotive applications. Int. J. Heat Fluid Flow 2018, 72, 243–256. [Google Scholar] [CrossRef]
- Dawi, A.H.; Akkermans, R.A.D. Direct and integral noise computation of two square cylinders in tandem arrangement. J. Sound Vib. 2018. [Google Scholar] [CrossRef]
- Deuse, M.; Sandberg, R.D. Parametric study of multiple aerofoil self-noise sources using direct noise computation. In Proceedings of the 25th AIAA/CEAS Aeroacoustics Conference, Melbourne, Australia, 20–23 May 2019. [Google Scholar] [CrossRef]
- Dawi, A.H.; Akkermans, R.A.D. Direct noise computation of a generic vehicle model using a finite volume method. Comput. Fluids 2019, 191, 104243. [Google Scholar] [CrossRef]
- Dierke, J.; Akkermans, R.A.D.; Delfs, J.W.; Ewert, R. Installation Effects of a Propeller Mounted on a Wing with Coanda Flap. Part II: Numerical Investigation and Experimental Validation. In Proceedings of the 20th AIAA/CEAS Aeroacoustics Conference, Atlanta, GA, USA, 16–20 June 2014. [Google Scholar] [CrossRef]
- Dobrzynski, W.; Ewert, R.; Pott-Pollenske, M.; Herr, M.; Delfs, J. Research at DLR towards airframe noise prediction and reduction. Aerosp. Sci. Technol. 2008, 12, 80–90. [Google Scholar] [CrossRef]
- Ewert, R.; Dierke, J.; Siebert, J.; Neifeld, A.; Appel, C.; Siefert, M.; Kornow, O. CAA broadband noise prediction for aeroacoustic design. J. Sound Vib. 2011, 330, 4139–4160. [Google Scholar] [CrossRef]



























| Specification | Value |
|---|---|
| Flow rate, Qn (m3/h) | 365 |
| Rotation speed of impeller (rpm) | 1200 |
| Impeller outer diameter, D2 (mm) | 140 |
| Impeller inner diameter, D1 (mm) | 55 |
| Volute width, B (mm) | 228 |
| Impeller width, b (mm) | 190 |
| Number of blades, Z | 41 |
| Volute tongue radius, r (mm) | 11 |
| Component | Number of Grids (103) |
|---|---|
| Impeller | 5685 |
| Inlet | 904 |
| Outlet | 204 |
| Volute | 1513 |
| Total | 8306 |
| Method | r = 4 mm | r = 9 mm | r = 11 mm | r = 13 mm |
|---|---|---|---|---|
| Experiment | 70.68 | 72.98 | 73.04 | 71.33 |
| RANS | 78.37 | 77.38 | 76.69 | 75.83 |
| URANS averaged | 79.43 | 72.91 | 72.65 | 70.84 |
| Method | r = 4 mm | r = 9 mm | r = 11 mm | r = 13 mm |
|---|---|---|---|---|
| Experiment | 30.66% | 32.01% | 31.22% | 30.53% |
| RANS | 31.00% | 30.17% | 29.86% | 29.00% |
| URANS averaged | 37.18% | 33.27% | 33.75% | 32.33% |
| Model | A | B | C | D | E |
|---|---|---|---|---|---|
| r = 4 mm | 44.41 | 46.99 | 46.39 | 45.43 | 43.03 |
| r = 9 mm | 41.68 | 41.77 | 41.89 | 41.17 | 42.76 |
| r = 11 mm | 41.04 | 41.06 | 41.12 | 40.27 | 42.47 |
| r = 13 mm | 40.97 | 40.97 | 41.66 | 40.61 | 42.93 |
Publisher’s Note: MDPI stays neutral with regard to jurisdictional claims in published maps and institutional affiliations. |
© 2020 by the authors. Licensee MDPI, Basel, Switzerland. This article is an open access article distributed under the terms and conditions of the Creative Commons Attribution (CC BY) license (http://creativecommons.org/licenses/by/4.0/).
Share and Cite
Rui, X.; Lin, L.; Wang, J.; Ye, X.; He, H.; Zhang, W.; Zhu, Z. Experimental and Comparative RANS/URANS Investigations on the Effect of Radius of Volute Tongue on the Aerodynamics and Aeroacoustics of a Sirocco Fan. Processes 2020, 8, 1442. https://doi.org/10.3390/pr8111442
Rui X, Lin L, Wang J, Ye X, He H, Zhang W, Zhu Z. Experimental and Comparative RANS/URANS Investigations on the Effect of Radius of Volute Tongue on the Aerodynamics and Aeroacoustics of a Sirocco Fan. Processes. 2020; 8(11):1442. https://doi.org/10.3390/pr8111442
Chicago/Turabian StyleRui, Xiaocheng, Limin Lin, Junkui Wang, Xinxue Ye, Haijiang He, Wei Zhang, and Zuchao Zhu. 2020. "Experimental and Comparative RANS/URANS Investigations on the Effect of Radius of Volute Tongue on the Aerodynamics and Aeroacoustics of a Sirocco Fan" Processes 8, no. 11: 1442. https://doi.org/10.3390/pr8111442
APA StyleRui, X., Lin, L., Wang, J., Ye, X., He, H., Zhang, W., & Zhu, Z. (2020). Experimental and Comparative RANS/URANS Investigations on the Effect of Radius of Volute Tongue on the Aerodynamics and Aeroacoustics of a Sirocco Fan. Processes, 8(11), 1442. https://doi.org/10.3390/pr8111442

