Simulation of the Reactivation of Partially Inactivated Biocatalysts in Sequential Batch Reactors
Abstract
1. Introduction
2. Process Description and Mathematical Formulation
2.1. Mathematical Formulation
- Michaelis–Menten enzymatic kinetics
- First-order catalytic inactivation kinetics
- Fixed temperature at 25 °C
- 90% conversion in each production lot
- 25% residual activity as the limit of each operation
- Equimolar reaction with 1:1 substrate:product ratio
- No dead times between each production batch
- Including a reactivation stage after each productive batch
2.2. Simulation Flow Diagram
3. Results and Discussion
3.1. Simulation with and without Reactivation
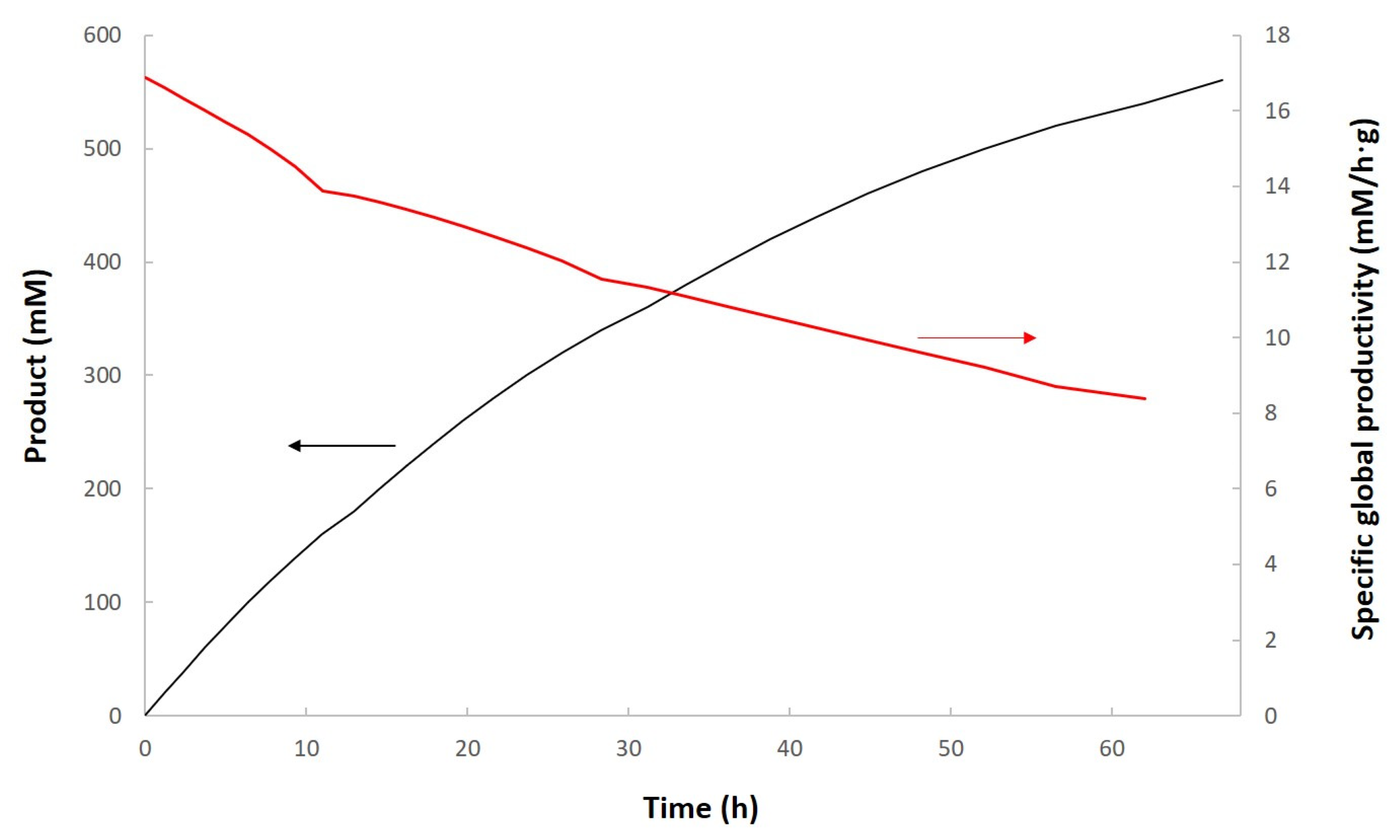
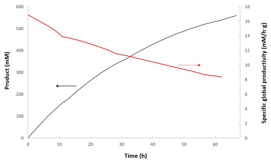
3.2. Evaluation of Specific Global Productivity with Different Parameters and Statistical Analysis
4. Conclusions
Author Contributions
Funding
Conflicts of Interest
Abbreviations
| Si | Initial substrate concentration (mM) |
| X | Conversion |
| e | Specific activity at time t (mM/g·h) |
| e0 | Specific activity at time 0 (mM/g·h) |
| v | Reaction rate (mM/h) |
| K | Affinity constant (mM) |
| k | Catalytic constant (1/h) |
| kd | Inactivation constant (1/h) |
| t | Time (h) |
| mbiocat | Biocatalyst mass (g) |
| γ | Relationship between the specific activities of the reactivated species and e0 |
| β | Relationship between species-specific activities inactivated at the end of the batch and e0 |
| kr | Reactivation constant (1/h) |
| V | Reaction volume (L) |
References
- Timson, D.J. Four challenges for better biocatalysts. Fermentation 2019, 5, 39. [Google Scholar] [CrossRef]
- Chapman, J.; Ismail, A.E.; Dinu, C.Z. Industrial applications of enzymes: Recent advances, techniques, and outlooks. Catalysis 2018, 8, 238. [Google Scholar] [CrossRef]
- Global Markets for Enzymes in Industrial Applications. Available online: https://www.bccresearch.com/market-research/biotechnology/enzymes-industrial-applications-bio030h.html (accessed on 6 August 2020).
- Sulman, E.M.; Matveeva, V.G.; Bronstein, L.M. Design of biocatalyst for efficient catalytic processes. Curr. Opin. Chem. Eng. 2019, 26, 1–8. [Google Scholar] [CrossRef]
- Wu, M.-H.; Lin, M.-C.; Lee, C.-C.; Yu, S.-M.; Wang, A.H.-J.; David Ho, T.-H. Enhancement of laccase activity by pre-incubation with organic solvents. Sci. Rep. 2019, 9. [Google Scholar] [CrossRef] [PubMed]
- Mohtashami, M.; Fooladi, J.; Haddad-Mashadrizeh, A.; Housaindokht, M.R.; Monhemi, H. Molecular mechanism of enzyme tolerance against organic solvents: Insights from molecular dynamics simulation. Int. J. Biol. Macromol. 2019, 122, 914–923. [Google Scholar] [CrossRef]
- Janati-Fard, F.; Housaindokht, M.R.; Monemi, H.; Esmaeili, A.A.; Nakhaei Pour, A. The influence of two imidazolium-based ionic liquids on the structure and activity of glucose oxidase: Experimental and theoretical studies. Int. J. Biol. Macromol. 2018, 114, 656–665. [Google Scholar] [CrossRef]
- Soler, G.; Bastida, A.; Blanco, R.M.; Fernández-Lafuente, R.; Guisán, J.M. Reactivation strategies by unfolding/refolding of chymotrypsin derivatives after inactivation by organic solvents. Biochim. Biophys. Acta 1997, 1339, 167–175. [Google Scholar] [CrossRef]
- Henley, J.P.; Sadana, A. Deactivation theory. Biotechnol. Bioeng. 1986, 28, 1277–1285. [Google Scholar] [CrossRef]
- Veille, C.; Zeikus, G.J. Hyperthermophilic enzymes: Sources, uses, and molecular mechanisms for thermostability. Microbiol. Mol. Biol. Rev. 2001, 65, 1–43. [Google Scholar] [CrossRef] [PubMed]
- Zaks, A.; Klibanov, A.M. Enzymatic catalysis in organic media at 100 °C. Science 1984, 224, 1249–1251. [Google Scholar] [CrossRef] [PubMed]
- Klibanov, A. Why are enzymes less active in organic solvents than in water? Trends Biotechnol. 1997, 15, 97–101. [Google Scholar] [CrossRef]
- Klibanov, A.; Mozhaev, V.V. On the mechanism of irreversible thermoinactivation of enzymes and possibilities for reactivation of “irreversibly” inactivated enzymes. Biochem. Biophys. Res. Commun. 1978, 83, 1012–1017. [Google Scholar] [CrossRef]
- Rios, N.S.; Mendez-Sanchez, C.; Arana-Peña, S.; Rueda, N.; Ortiz, C.; Goçalves, L.R.B.; Fernandez-Lafuente, R. Immobilization of lipase from Pseudomonas fluorescens on glyoxyl-octyl-agarose beads: Improved stability and reusability. Biochim. Biophys. Acta Proteins Proteom. 2019, 1867, 741–747. [Google Scholar] [CrossRef]
- Stepankova, V.; Bidmanova, S.; Koudelakova, T.; Prokop, Z.; Chaloupkova, R.; Damborsky, J. Strategies for stabilization of enzymes in organic solvents. ACS Catal. 2013, 3, 2823–2836. [Google Scholar] [CrossRef]
- Cao, L. Carrier-Bound Immobilized Enzymes: Principles, Applications and Design, 1st ed.; Wiley-VCH: Weinheim, Germany, 2005; pp. 169–293. [Google Scholar]
- Rodrigues, R.C.; Virgen-Ortíz, J.J.; dos Santos, J.C.S.; Berenguer-Murcia, Á.; Alcántara, A.R.; Barbosa, O.; Ortiz, C.; Fernandez-Lafuente, R. Immobilization of lipases on hydrophobic supports: Immobilization mechanism, advantages, problems, and solutions. Biotechnol. Adv 2019, 37, 746–770. [Google Scholar] [CrossRef]
- Illanes, A. Enzyme Biocatalysis: Principles and Applications; Springer: Dordrecht, The Netherlands, 2008. [Google Scholar]
- Mozhaev, V.V.; Berezin, I.V.; Martinek, K. Reactivation of immobilized enzymes. Application of immobilized enzymes/cells. Methods Enzymol. 1987, 135, 586–596. [Google Scholar] [PubMed]
- Romero, O.; Vergara, J.; Fernández-Lafuente, R.; Guisán, J.M.; Illanes, A.; Wilson, L. Simple strategy of reactivation of a partially inactivated penicillin g-acylase biocatalyst in organic solvent and its impact on the synthesis of β-lactam antibiotics. Biotechnol. Bioeng. 2009, 103, 472–479. [Google Scholar] [CrossRef] [PubMed]
- Rueda, N.; dos Santos, J.C.S.; Torres, R.; Barbosa, O.; Ortiz, C.; Fernández-Lafuente, R. Reactivation of lipases by the unfolding and refolding of covalently immobilized biocatalysts. RSC Adv. 2015, 5, 55588–55594. [Google Scholar] [CrossRef]
- Bolivar, J.M.; Rocha-Martín, J.; Godoy, C.; Rodrigues, R.C.; Guisan, J.M. Complete reactivation of immobilized derivatives of a trimeric glutamate dehydrogenase from Thermus thermophilus. Process Biochem. 2010, 45, 107–113. [Google Scholar] [CrossRef]
- Rodrigues, R.C.; Bolivar, J.M.; Palau-Orsa, A.; Volpato, G.; Ayubb, M.A.Z.; Fernandez-Lafuente, R.; Guisan, J.M. Positive effects of the multipoint covalent immobilization in the reactivation of partially inactivated derivatives of lipase from Thermomyces lanuginosus. Enzyme Microb. Technol. 2009, 44, 386–393. [Google Scholar] [CrossRef]
- Mateo, C.; Abian, O.; Bernedo, M.; Cuenca, E.; Fuentes, M.; Fernández-Lorente, G.; Palomo, J.M.; Grazú, V.; Pessela, B.B.C.; Giacomini, C.; et al. Some special features of glyoxyl supports to immobilize proteins. Enzyme Microb. Technol. 2005, 37, 456–462. [Google Scholar] [CrossRef]
- Romero, O.; Araya, E.; Illanes, A.; Wilson, L. Evaluation of kinetic parameters of immobilized penicillin G acylase subject to an inactivation and reactivation process. J. Mol. Catal. B Enzym. 2014, 104, 70–74. [Google Scholar] [CrossRef]
- Wilson, L.; Illanes, A.; Romero, O. Effect of inactivation and reactivation conditions on activity recovery of enzyme catalysts. Electron. J. Biotechnol. 2013, 16. [Google Scholar] [CrossRef]
- Guajardo, N.; Ahumada, K.; Domínguez de María, P.; Schrebler, R.A. Remarkable stability of Candida antarctica lipase B immobilized via cross-linking aggregates (CLEA) in deep eutectic solvents. Biocatal. Biotransform. 2019, 37, 106–114. [Google Scholar] [CrossRef]
- Guajardo, N.; Domínguez de María, P.; Ahumada, K.; Schrebler, R.A.; Ramírez-Tagle, R.; Crespo, F.A.; Carlesi, C. Water as cosolvent: Nonviscous deep eutectic solvents for efficient lipase-catalyzed esterifications. ChemCatChem 2017, 9, 1393–1396. [Google Scholar] [CrossRef]
- Simulation-Reactivation-Biocatalyst-Sequential-Batch-Reactors. Available online: https://github.com/facrespo/Simulation-Reactivation-Biocatalyst-Sequential-Batch-Reactors (accessed on 5 November 2020).
- Gabrovska, K.; Marinov, I.; Godjevargova, T.; Portaccio, M.; Lepore, M.; Granoc, V.; Diano, N.; Mita, D.G. The influence of the support nature on the kinetics parameters, inhibition constants and reactivation of immobilized acetylcholinesterase. Int. J. Biol. Macromol. 2008, 43, 339–345. [Google Scholar] [CrossRef]
- Ladero, M.; Ferrero, R.; Vian, A.; Santos, A.; Garcia-Ochoa, F. Kinetic modelling of the thermal and pH inactivation of a thermostable β-galactosidase from Thermus sp. strain T2. Enzyme Microb. Technol. 2005, 37, 505–513. [Google Scholar] [CrossRef]
- Grubecki, I.; Wojcik, M. How much of enzyme can be saved in the process with the optimal temperature control? J. Food Eng. 2013, 255–259. [Google Scholar] [CrossRef]










| Parameter | Value |
|---|---|
| Si (mM) | 200 |
| K (mM) | 10 |
| kd (1/h) | 0.022 |
| kr (1/h) | 0.1 |
| k (1/h) | 1 |
| e0 (mmol/g·h) | 18 |
| mbiocat (g) | 1 |
| Reaction volume (L) | 1 |
Publisher’s Note: MDPI stays neutral with regard to jurisdictional claims in published maps and institutional affiliations. |
© 2020 by the authors. Licensee MDPI, Basel, Switzerland. This article is an open access article distributed under the terms and conditions of the Creative Commons Attribution (CC BY) license (http://creativecommons.org/licenses/by/4.0/).
Share and Cite
Guajardo, N.; Crespo, F.A.; Schrebler, R.A. Simulation of the Reactivation of Partially Inactivated Biocatalysts in Sequential Batch Reactors. Processes 2020, 8, 1419. https://doi.org/10.3390/pr8111419
Guajardo N, Crespo FA, Schrebler RA. Simulation of the Reactivation of Partially Inactivated Biocatalysts in Sequential Batch Reactors. Processes. 2020; 8(11):1419. https://doi.org/10.3390/pr8111419
Chicago/Turabian StyleGuajardo, Nadia, Fernando A. Crespo, and Rodrigo A. Schrebler. 2020. "Simulation of the Reactivation of Partially Inactivated Biocatalysts in Sequential Batch Reactors" Processes 8, no. 11: 1419. https://doi.org/10.3390/pr8111419
APA StyleGuajardo, N., Crespo, F. A., & Schrebler, R. A. (2020). Simulation of the Reactivation of Partially Inactivated Biocatalysts in Sequential Batch Reactors. Processes, 8(11), 1419. https://doi.org/10.3390/pr8111419

