High-Performance Mg–Al–Bi Alloy Anode for Seawater Batteries and Related Mechanisms
Abstract
1. Introduction
2. Materials and Methods
2.1. Preparation of Materials
2.2. Electrochemical Measurements
2.3. Structural Characterization
3. Results
3.1. Open Circuit Potential Analyses
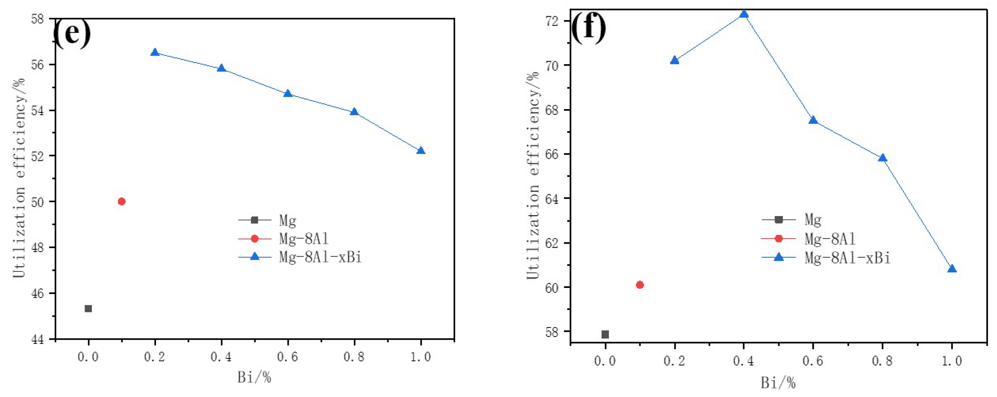
3.2. Galvanostatic Discharging Analyses
3.3. Microstructures
3.4. XPS Analyses
3.5. SEM and EDS Analyses
3.6. Electrochemical Impedance Spectroscopy (EIS) Analyses
3.7. Immersion Test Analyses
4. Discussion
5. Conclusions
- The electrode performance of the as-cast Mg–8%Al–0.4%Bi alloy shows that compared with pure Mg or Mg–8%Al alloy, it has a more negative discharge potential of −1.185 V and a higher utilization rate of 72.4%.
- EIS research and immersion tests show that the chemical resistance of the Mg alloy surface protective film follows the following order: Mg < Mg–8%Al < Mg–8%Al–0.4%Bi. Therefore, the corrosion rate of the Mg–8%Al–0.4%Bi alloy in seawater is the slowest.
- Different phases in the magnesium alloy play an important role in electrochemical performance. The Mg17Al12 and BiOCl phases in the as-cast Mg–8%Al–0.4%Bi alloy can increase the alloy utilization rate and promote the dissolution of α-Mg in seawater during discharge. Moreover, the Bi element is environmentally friendly and pollution-free, which means that Mg–8%Al–0.4%Bi alloy is a promising electrode material for the anode of seawater-activated batteries.
Author Contributions
Funding
Conflicts of Interest
References
- Kerr, S.; Watts, L.; Colton, J.; Conway, F.; Hull, A.; Johnson, K.; Jude, S.; Kannen, A.; MacDougall, S.; McLachlan, C.; et al. Vergunst, Establishing an agenda for social studies research in marine renewable energy. Energy Policy 2014, 67, 694–702. [Google Scholar] [CrossRef]
- Skjong, E.; Volden, R.; Rodskar, E.; Molinas, M.; Johansen, T.A.; Cunningham, J. Past, Present, and Future Challenges of the Marine Vessel’s Electrical Power System. IEEE Trans. Transp. Electrif. 2016, 2, 522–537. [Google Scholar] [CrossRef]
- Zhou, W.; Hao, F.; Fang, D. The effects of elastic stiffening on the evolution of the stress field within a spherical electrode particle of lithium-ion batteries. Int. J. Appl. Mech. 2013, 5, 1350040. [Google Scholar] [CrossRef]
- Zhou, W. Effects of external mechanical loading on stress generation during lithiation in Li-ion battery electrodes. Electrochim. Acta 2015, 185, 28–33. [Google Scholar] [CrossRef]
- Wen, L.; Yu, K.; Xiong, H.; Dai, Y.; Yang, S.; Qiao, X.; Teng, F.; Fan, S. Composition optimization and electrochemical properties of Mg-Al-Pb-Zn alloys as anodes for seawater activated battery. Electrochim. Acta 2016, 194, 40–51. [Google Scholar] [CrossRef]
- Wang, N.; Wang, R.; Peng, C.; Feng, Y.; Chen, B. Effect of hot rolling and subsequent annealing on electrochemical discharge behavior of AP65 magnesium alloy as anode for seawater activated battery. Corros. Sci. 2012, 64, 17–27. [Google Scholar] [CrossRef]
- Yu, K.; Tan, X.; Hu, Y.; Chen, F.; Li, S. Microstructure effects on the electrochemical corrosion properties of Mg-4.1% Ga-2.2% Hg alloy as the anode for seawater-activated batteries. Corros. Sci. 2011, 53, 2035–2040. [Google Scholar] [CrossRef]
- Wilcock, W.S.D.; Kauffman, P.C. Development of a seawater battery for deep-water applications. J. Power Sources 1977, 66, 71–75. [Google Scholar] [CrossRef]
- Hasvold, Ø.; Størkersen, N. Electrochemical power sources for unmanned underwater vehicles used in deep sea survey operations. J. Power Sources 2001, 96, 252–258. [Google Scholar] [CrossRef]
- Hwang, S.M.; Park, J.S.; Kim, Y.; Go, W.; Han, J.; Kim, Y.; Kim, Y. Rechargeable Seawater Batteries—From Concept to Applications. Adv. Mater. 2019, 31, 1804936. [Google Scholar] [CrossRef]
- Shinohara, M.; Araki, E.; Mochizuki, M.; Kanazawa, T.; Suyehiro, K. Practical application of a sea-water battery in deep-sea basin and its performance. J. Power Sources 2009, 187, 253–260. [Google Scholar] [CrossRef]
- Hasvold, Ø.; Lian, T.; Haakaas, E.; Størkersen, N.; Perelman, O.; Cordier, S. CLIPPER: A long-range, autonomous underwater vehicle using magnesium fuel and oxygen from the sea. J. Power Sources 2004, 136, 232–239. [Google Scholar] [CrossRef]
- Feng, Y.; Wang, R.; Peng, C. Researches and applications of magnesium anode materials in seawater battery. Chin. J. Nonferrous Metals 2011, 21, 259–268. [Google Scholar]
- Feng, Y.; Xiong, W.; Zhang, J.; Wang, R.; Wang, N. Electrochemical discharge performance of the Mg–Al–Pb–Ce–Y alloy as the anode for Mg–air batteries. J. Mater. Chem. 2016, 4, 8658–8668. [Google Scholar] [CrossRef]
- Wang, N.; Li, W.; Huang, Y.; Wu, G.; Hu, M.; Li, G.; Shi, Z. Wrought Mg-Al-Pb-RE alloy strips as the anodes for Mg-air batteries. J. Power Sources 2019, 436, 226855. [Google Scholar] [CrossRef]
- Wu, J.; Wang, R.; Feng, Y.; Peng, C. Effect of hot rolling on the microstructure and discharge properties of Mg-1.6 wt%Hg-2 wt%Ga alloy anodes. J. Alloys Compd. 2018, 765, 736–746. [Google Scholar] [CrossRef]
- Wang, H.H.; Du, M.; Liang, H.; Gao, Q.Y. Study on Al-Zn-In Alloy as Sacrificial Anodes in Seawater Environment. J. Ocean Univ. 2019, 18, 889–895. [Google Scholar] [CrossRef]
- Liu, X.; Xue, J.; Zhang, D. Electrochemical behaviors and discharge performance of the as-extruded Mg-1.5 wt%Ca alloys as anode for Mg-air battery. J. Alloys Compd. 2019, 790, 822–828. [Google Scholar] [CrossRef]
- Li, J.; Wan, K.; Jiang, Q.; Sun, H.; Li, Y.; Hou, B.; Zhu, L.; Liu, M. Corrosion and Discharge Behaviors of Mg-Al-Zn and Mg-Al-Zn-In Alloys as Anode Materials. Metals 2016, 6, 65. [Google Scholar] [CrossRef]
- Wang, N.; Wang, R.; Peng, C.; Feng, Y.; Zhang, X. Influence of aluminium and lead on activation of magnesium as anode. Trans. Nonferrous Metals Soc. China 2010, 20, 1403–1411. [Google Scholar] [CrossRef]
- Lin, M.; Uan, J. Preparation of bcc Mg-Li-Al-Zn Alloy by Electrolysis in Molten Salt LiCl-KCl and the Alloy’s Electrochemical Performance as Anode Material for Magnesium Batteries. Electrochemistry 2009, 77, 604–607. [Google Scholar] [CrossRef]
- Liu, X.; Liu, S.; Xue, J. Discharge performance of the magnesium anodes with different phase constitutions for Mg-air batteries. J. Power Sources 2018, 396, 667–674. [Google Scholar] [CrossRef]
- Yu, Z.; Ju, D.; Zhao, H.; Hu, X. Effects of Zn-In-Sn elements on the electric properties of magnesium alloy anode materials. J. Environ. Sci. 2011, 23, S95–S99. [Google Scholar] [CrossRef]
- Yin, M.; Hou, L.; Liu, X.; Wang, Z.; Liu, B.; Jia, J.; Zhang, S.; Wei, Y. Tailoring the micromorphology of the as-cast Mg–Sn–In alloys to corrosion-resistant microstructures via adjusting In concentration. J. Alloys Compd. 2019, 811, 152024. [Google Scholar] [CrossRef]
- Baghni, I.M.; Wu, Y.S.; Li, J.Q.; Zhang, W. Corrosion behavior of magnesium and magnesium alloys. Trans. Nonferrous Metals Soc. China 2004, 14, 1–10. [Google Scholar]
- Zhou, W.; Lin, J.; Dean, T.A.; Wang, L. Feasibility studies of a novel extrusion process for curved profiles: Experimentation and modelling. Int. J. Mach. Tools Manuf. 2018, 126, 27–43. [Google Scholar] [CrossRef]
- Xiong, H.; Yu, K.; Yin, X.; Dai, Y.; Yan, Y.; Zhu, H. Effects of microstructure on the electrochemical discharge behavior of Mg-6wt%Al-1wt%Sn alloy as anode for Mg-air primary battery. J. Alloys Compd. 2004, 708, 652–661. [Google Scholar] [CrossRef]
- Malyi, O.I.; Tan, T.L.; Manzhos, S. In search of high performance anode materials for Mg batteries: Computational studies of Mg in Ge, Si, and Sn. J. Power Sources 2013, 233, 341–345. [Google Scholar] [CrossRef]
- Yuasa, M.; Huang, X.; Suzuki, K.; Mabuchi, M.; Chino, Y. Discharge properties of Mg–Al–Mn–Ca and Mg–Al–Mn alloys as anode materials for primary magnesium–air batteries. J. Power Sources 2015, 297, 449–456. [Google Scholar] [CrossRef]
- Deng, M.; Höche, D.; Lamaka, S.V.; Wang, L.; Zheludkevich, M.L. Revealing the impact of second phase morphology on discharge properties of binary Mg-Ca anodes for primary Mg-air batteries. Corros. Sci. 2019, 153, 225–235. [Google Scholar] [CrossRef]
- Balasubramanian, R.; Veluchamy, A.; Venkatakrishnan, N.; Gangadharan, R. Electrochemical characterization of magnesium/silver chloride battery. J. Power Sources 1995, 56, 197–199. [Google Scholar] [CrossRef]
- Ma, J.; Wang, G.; Li, Y.; Qin, C.; Ren, F. Electrochemical Investigations on AZ Series Magnesium Alloys as Anode Materials in a Sodium Chloride Solution. J. Mater. Eng. Perform. 2019, 28, 2873–2880. [Google Scholar] [CrossRef]
- Wang, N.; Wang, R.; Peng, C.; Feng, Y. Enhancement of the discharge performance of AP65 magnesium alloy anodes by hot extrusion. Corros. Sci. 2014, 81, 85–95. [Google Scholar] [CrossRef]
- Feng, Y.; Wang, R.; Yu, K.; Peng, C.; Zhang, J.; Zhang, C. Activation of Mg–Hg anodes by Ga in NaCl solution. J. Alloys Compd. 2009, 473, 215–219. [Google Scholar] [CrossRef]
- Feng, Y.; Wang, R.; Yu, K.; Peng, C.; Li, W. Influence of Ga and Hg on microstructure and electrochemical corrosion behavior of Mg alloy anode materials. Trans. Nonferrous Metals Soc. China 2009, 17, 1363–1366. [Google Scholar] [CrossRef]
- Feng, Y.; Wang, R.; Peng, C. Influence of aging treatments on microstructure and electrochemical properties in Mg–8.8Hg–8Ga (wt%) alloy. Intermetallics 2013, 33, 120–125. [Google Scholar]
- Liu, R.L.; Scully, J.R.; Williams, G.; Birbilis, N. Reducing the corrosion rate of magnesium via microalloying additions of group 14 and 15 elements. Electrochim. Acta 2018, 260, 184–195. [Google Scholar] [CrossRef]
- Xiong, H.; Zhu, H.; Luo, J.; Yu, K.; Shi, C.; Fang, H.; Zhang, Y. Effects of Heat Treatment on the Discharge Behavior of Mg-6wt.%Al-1wt.%Sn Alloy as Anode For Magnesium-Air Batteries. J. Mater. Eng. Perform. 2017, 26, 2901–2911. [Google Scholar] [CrossRef]
- Zhao, M.-C.; Schmutz, P.; Brunner, S.; Liu, M.; Song, G.-l.; Atrens, A. An exploratory study of the corrosion of Mg alloys during interrupted salt spray testing. Corros. Sci. 2009, 51, 1277–1292. [Google Scholar] [CrossRef]
- Song, G.; Atrens, A.; Dargusch, M. Influence of microstructure on the corrosion of diecast AZ91D. Corros. Sci. 1998, 41, 249–273. [Google Scholar] [CrossRef]
- Chen, F.; Leong, Z.Y.; Yang, H.Y. An aqueous rechargeable chloride ion battery. Energy Storage Mater. 2017, 7, 189–194. [Google Scholar] [CrossRef]
- Cao, D.; Wu, L.; Wang, G.; Lv, Y. Electrochemical oxidation behavior of Mg–Li–Al–Ce–Zn and Mg–Li–Al–Ce–Zn–Mn in sodium chloride solution. J. Power Sources 2008, 183, 799–804. [Google Scholar] [CrossRef]
- Wang, N.; Wang, R.; Peng, C.; Peng, B.; Feng, Y.; Hu, C. Discharge behaviour of Mg-Al-Pb and Mg-Al-Pb-In alloys as anodes for Mg-air battery. Electrochim. Acta 2014, 149, 193–205. [Google Scholar] [CrossRef]
- Andrei, M.; di Gabriele, F.; Bonora, P.L.; Scantlebury, D. Corrosion behaviour of magnesium sacrificial anodes in tap water. Mater. Corros. 2003, 54, 5–11. [Google Scholar] [CrossRef]
- Ramirez, O.M.P.; Queiroz, F.M.; Tunes, M.A.; Antunes, R.A.; Rodrigues, C.L.; Lanzutti, A.; Pogatscher, S.; Olivier, M.-G.; de Melo, H.G. Tartaric-sulphuric acid anodized clad AA2024-T3 post-treated in Ce-containing solutions at different temperatures: Corrosion behaviour and Ce ions distribution. Appl. Surf. Sci. 2020, 534, 147634. [Google Scholar] [CrossRef]
- Song, G.L.; Unocic, K.A. The anodic surface film and hydrogen evolution on Mg. Corros. Sci. 2015, 98, 758–765. [Google Scholar] [CrossRef]













| Sample | Bi | Al | Mg |
|---|---|---|---|
| 1 | 0% | 0% | 100% |
| 2 | 0% | 8% | 92.0% |
| 3 | 0.2% | 8% | 91.8% |
| 4 | 0.4% | 8% | 91.6% |
| 5 | 0.6% | 8% | 91.4% |
| 6 | 0.8% | 8% | 91.2% |
| 7 | 1.0% | 8% | 91.0% |
| Sample | Grain Size/Å | Lattice Parameters/Å | ||
|---|---|---|---|---|
| a | b | c | ||
| Mg | 753 | 3.2294 | 3.2294 | 5.1599 |
| Mg–8%Al | 251 | 3.1825 | 3.1825 | 5.3346 |
| Mg–8%Al–0.4%Bi | 244 | 3.1971 | 3.1971 | 5.3540 |
| Sample | Rs/Ω | CPEct/μF | Rct/Ω | CPEfilm/mF | Rfilm/Ω | L/H | R/Ω |
|---|---|---|---|---|---|---|---|
| Mg | 3.008 | 0.4493 | 5.751 | 0.2322 | 14.19 | 0.6358 | 6.6100 |
| Mg–8Al | 5.662 | 5.676 | 70.92 | 0.1200 | 68.74 | 6.685 | 60.0641 |
| Mg–8Al–0.4Bi | 6.612 | 9.877 | 106.5 | 0.1120 | 98.50 | 10.1 | 74.8830 |
Publisher’s Note: MDPI stays neutral with regard to jurisdictional claims in published maps and institutional affiliations. |
© 2020 by the authors. Licensee MDPI, Basel, Switzerland. This article is an open access article distributed under the terms and conditions of the Creative Commons Attribution (CC BY) license (http://creativecommons.org/licenses/by/4.0/).
Share and Cite
Wu, C.; Meng, X.; Wang, W. High-Performance Mg–Al–Bi Alloy Anode for Seawater Batteries and Related Mechanisms. Processes 2020, 8, 1362. https://doi.org/10.3390/pr8111362
Wu C, Meng X, Wang W. High-Performance Mg–Al–Bi Alloy Anode for Seawater Batteries and Related Mechanisms. Processes. 2020; 8(11):1362. https://doi.org/10.3390/pr8111362
Chicago/Turabian StyleWu, Changqing, Xu Meng, and Wei Wang. 2020. "High-Performance Mg–Al–Bi Alloy Anode for Seawater Batteries and Related Mechanisms" Processes 8, no. 11: 1362. https://doi.org/10.3390/pr8111362
APA StyleWu, C., Meng, X., & Wang, W. (2020). High-Performance Mg–Al–Bi Alloy Anode for Seawater Batteries and Related Mechanisms. Processes, 8(11), 1362. https://doi.org/10.3390/pr8111362
