Effects of Chopping Length and Additive on the Fermentation Quality and Aerobic Stability in Silage of Leymus chinensis
Abstract
1. Introduction
2. Materials and Methods
2.1. Forage Harvest and Silage Preparation
2.2. Fermentation Quality and Microbial Counts
2.3. Chemical Composition Analyzes
2.4. Aerobic Stability
2.5. Statistical Analysis
3. Results
3.1. Chemical Composition of Fresh Forage
3.2. Fermentation Traits of L. chinensis Silage for Ensiling 30 d
3.3. Fermentation Traits of L. chinensis Silage for Ensiling 90 d
3.4. Aerobic Stability of L. chinensis Silage
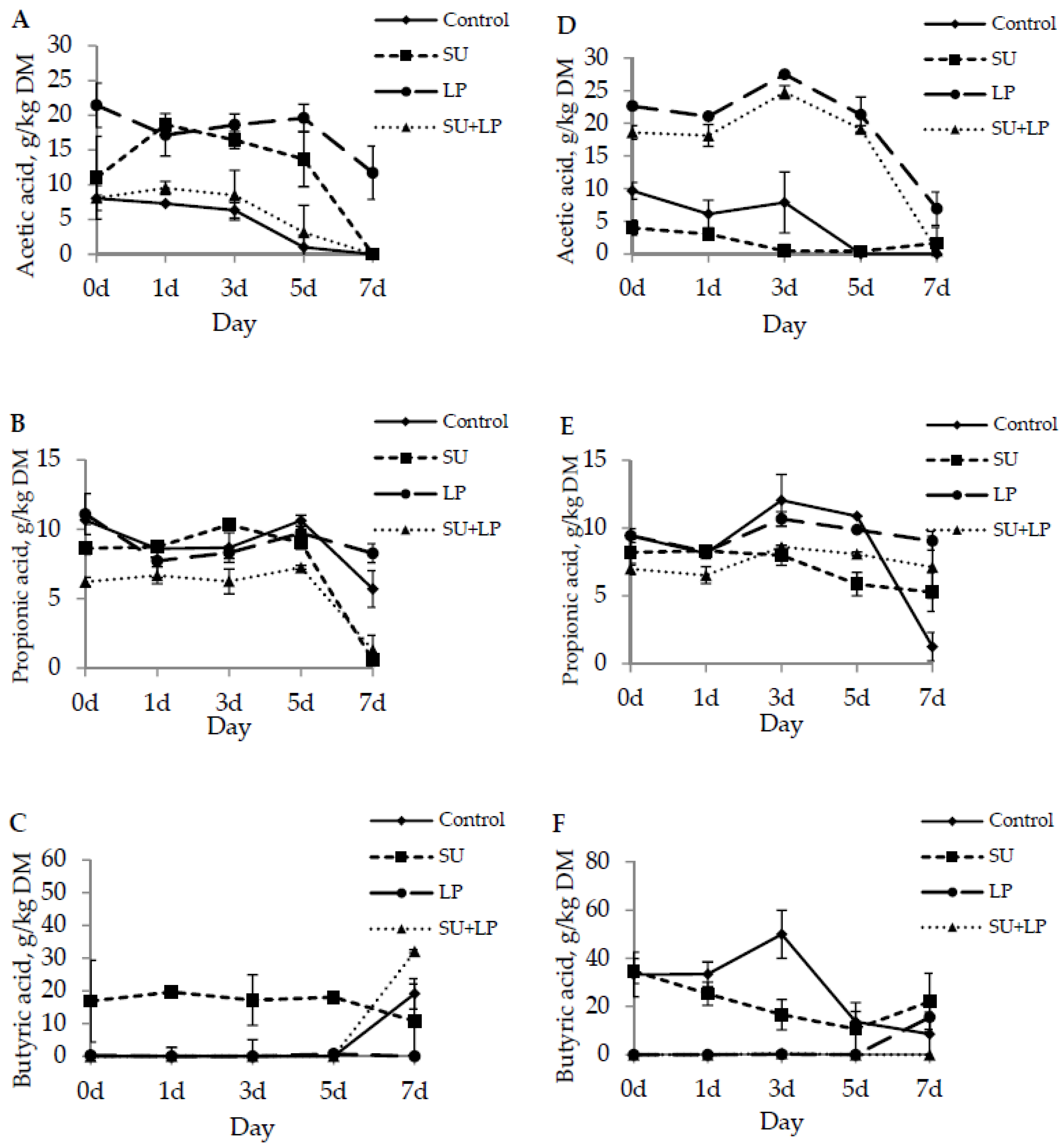
3.5. Changes of pH Value and Acidic Substances of L. chinensis Silage
4. Discussion
5. Conclusions
Author Contributions
Funding
Acknowledgments
Conflicts of Interest
References
- Zhang, Q.; Yu, Z.; Na, R.S. Effects of different additives on fermentation quality and aerobic stability of Leymus chinensis silage. Grass Forage Sci. 2018, 73, 413–419. [Google Scholar] [CrossRef]
- Peng, X.; Zhang, L.; Zhang, L.; Liu, Z.; Cheng, L.; Yang, Y.; Shen, S.; Chen, S.; Liu, G. The transcriptional factor LcDREB2 cooperates with LcSAMDC2 to contribute to salt tolerance in Leymus chinensis. Plant Cell Tiss. Org. 2013, 113, 245–256. [Google Scholar] [CrossRef]
- Chen, S.; Huang, X.; Yan, X.; Liang, Y.; Wang, Y.; Li, X.; Peng, X.; Ma, X.; Zhang, L.; Cai, Y. Transcriptome analysis in sheepgrass (Leymus chinensis): A dominant perennial grass of the Eurasian steppe. PLoS ONE 2013, 8, e67974. [Google Scholar] [CrossRef] [PubMed]
- Niu, W.; He, Y.; Wang, H.; Xia, C.; Shi, H.; Cao, B.; Su, H. Effects of Leymus chinensis replacement with whole-crop wheat hay on blood parameters, fatty acid composition, and microbiomes of Holstein bulls. J. Dairy Sci. 2018, 101, 246–256. [Google Scholar] [CrossRef]
- Zhang, Q.; Li, X.J.; Zhao, M.M.; Yu, Z. Isolating and evaluating LAB strains for effectiveness of Leymus chinensis silage fermentation. Lett. Appl. Microbiol. 2014, 59, 391–397. [Google Scholar] [CrossRef]
- Bondarev, V.A.; Pobednov, Y.A. Improving technologies for fodder production and storage. Kormoproizvodstvo 2001, 3, 27–32. [Google Scholar]
- McDonald, P.; Henderson, A.R.; Heron, S.J.E. The Biochemistry of Silage; Chalcombe Publications: Marlow, UK, 1991; 340p. [Google Scholar]
- Coblentz, W.K.; Akins, M.S. Silage review: Recent advances and future technologies for baled silages. J. Dairy Sci. 2018, 101, 4075–4092. [Google Scholar] [CrossRef]
- Tian, J.; Yu, Y.; Zhu, Y.; Tao, S.; Zhao, M. Effects of LAB inoculants and cellulase on fermentation quality and in vitro digestibility of Leymus chinensis silage. Grassl. Sci. 2014, 60, 199–205. [Google Scholar] [CrossRef]
- Zhang, Q.; Li, X.; Zhao, M.; Yu, Z. Lactic acid bacteria strains for enhancing the fermentation quality and aerobic stability of Leymus chinensis silage. Grass Forage Sci. 2016, 71, 472–481. [Google Scholar] [CrossRef]
- Zhang, Q.; Yu, Z. Characterization, identification and application of LAB isolated from Leymus chinensis silage. Grassl. Sci. 2017, 63, 111–117. [Google Scholar] [CrossRef]
- Savoie, P.; Tremblay, D.; Tremblay, G.F.; Wauthy, J.M.; Flipot, P.M.; Theriault, R. Effect of length of cut on quality of stack silage and milk-production. Can. J. Anim. Sci. 1992, 72, 253–263. [Google Scholar] [CrossRef]
- Huisden, C.M.; Adesogan, A.T.; Kim, S.C.; Ososanya, T. Effect of applying molasses or inoculants containing homofermentative or heterofermentative bacteria at two rates on the fermentation and aerobic stability of corn silage. J. Dairy Sci. 2009, 92, 690–697. [Google Scholar] [CrossRef] [PubMed]
- Heinritz, S.N.; Martens, S.D.; Avila, P.; Hoedtke, S. The effect of inoculant and sucrose addition on the silage quality of tropical forage legumes with varying ensilability. Anim. Feed Sci. Technol. 2012, 174, 201–210. [Google Scholar] [CrossRef]
- Wu, B.; Nishino, N. Identification and isolation of Lactobacillus fructivorans from wilted alfalfa silage with and without molasses. J. Appl. Microbiol. 2016, 120, 543–551. [Google Scholar] [CrossRef] [PubMed]
- McEniry, J.; King, C.; O’Kiely, P. Silage fermentation characteristics of three common grassland species in response to advancing stage of maturity and additive application. Grass Forage Sci. 2014, 69, 393–404. [Google Scholar] [CrossRef]
- Thomson, A.L.; Humphries, D.J.; Kliem, K.E.; Dittmann, M.T.; Reynolds, C.K. Effects of replacing maize silage with lucerne silage and lucerne silage chop length on rumen function and milk fatty acid composition. J. Dairy Sci. 2017, 100, 7127–7138. [Google Scholar] [CrossRef] [PubMed]
- Xu, Q.F.; Yu, Z.; Han, J.G. HPLC method for organic acid of alfalfa silages. Grassl. Turf. 2007, 2, 63–67. [Google Scholar] [CrossRef]
- Zhang, Q.; Yu, Z.; Yang, H.; Na, R.S. The effects of stage of growth and additives with or without cellulase on fermentation and invitro degradation characteristics of Leymus chinensis silage. Grass Forage Sci. 2016, 71, 595–606. [Google Scholar] [CrossRef]
- Vansoest, P.J.; Robertson, J.B.; Lewis, B.A. Methods for dietary fiber, neutral detergent fiber, and nonstarch polysaccharides in relation to animal nutrition. J. Dairy Sci. 1991, 74, 3583–3597. [Google Scholar] [CrossRef]
- AOAC. Official Methods of Analysis of the Association of Official Analytical Chemists, 15th ed.; The Association: Arlington, VA, USA, 1990. [Google Scholar]
- McDonald, P.; Henderson, A.R. Determination of water-soluble carbohydrates in grass. J. Sci. Food Agric. 1964, 15, 395–398. [Google Scholar] [CrossRef]
- Ranjit, N.K.; Kung, L. The effect of Lactobacillus buchneri, Lactobacillus plantarum, or a chemical preservative on the fermentation and aerobic stability of corn silage. J. Dairy Sci. 2000, 83, 526–535. [Google Scholar] [CrossRef]
- Seale, D.R.; Henderson, A.R.; Pettersson, K.O.; Lowe, J.F. The effect of addition of sugar and inoculation with 2 commercial inoculants on the fermentation of lucerne silage in laboratory silos. Grass Forage Sci. 1986, 41, 61–70. [Google Scholar] [CrossRef]
- Nadeau, E.M.G.; Buxton, D.R.; Russell, J.R.; Allison, M.J.; Young, J.W. Enzyme, bacterial inoculant, and formic acid effects on silage composition of orchardgrass and alfalfa. J. Dairy Sci. 2000, 83, 1487–1502. [Google Scholar] [CrossRef]
- Xue, Y.; Bai, C.; Sun, J.; Sun, L.; Chang, S.; Sun, Q.; Yu, Z.; Yin, G.; Zhao, H.; Ding, H. Effects of locations and growth stages on nutritive value and silage fermentation quality of Leymus chinensis in Eurasian steppe of northern China. Grassl. Sci. 2018, 64, 40–50. [Google Scholar] [CrossRef]
- Randby, A.T.; Gismervik, K.; Andersen, A.; Skaar, I. Effect of invasive slug populations (Anon vulgaris) on grass silage I. Fermentation quality, in-silo losses and aerobic stability. Anim. Feed Sci. Technol. 2015, 199, 10–19. [Google Scholar] [CrossRef]
- Muck, R.E.; Nadeau, E.M.G.; McAllister, T.A.; Contreras-Govea, F.E.; Santos, M.C.; Kung, L., Jr. Silage review: Recent advances and future uses of silage additives. J. Dairy Sci. 2018, 101, 3980–4000. [Google Scholar] [CrossRef]
- Queiroz, O.C.M.; Arriola, K.G.; Daniel, J.L.P.; Adesogan, A.T. Effects of 8 chemical and bacterial additives on the quality of corn silage. J. Dairy Sci. 2013, 96, 5836–5843. [Google Scholar] [CrossRef]
- Danner, H.; Holzer, M.; Mayrhuber, E.; Braun, R. Acetic acid increases stability of silage under aerobic conditions. Appl. Environ. Microbiol. 2003, 69, 562–567. [Google Scholar] [CrossRef]
- Spoelstra, S.F. Comparison of the content of Costridial spores in wilted grass-silage ensiled in either laboratory, pilot-scale or farm silos. Neth. J. Agr. Sci. 1990, 38, 423–434. [Google Scholar] [CrossRef]
- Tabacco, E.; Righi, F.; Quarantelli, A.; Borreani, G. Dry matter and nutritional losses during aerobic deterioration of corn and sorghum silages as influenced by different LAB inocula. J. Dairy Sci. 2011, 94, 1409–1419. [Google Scholar] [CrossRef]
- Wilkinson, J.M.; Davies, D.R. The aerobic stability of silage: Key findings and recent developments. Grass Forage Sci. 2013, 68, 1–19. [Google Scholar] [CrossRef]
- Hu, W.; Schmidt, R.J.; McDonell, E.E.; Klingerman, C.M.; Kung, L., Jr. The effect of Lactobacillus buchneri 40788 or Lactobacillus plantarum MTD-1 on the fermentation and aerobic stability of corn silages ensiled at two dry matter contents. J. Dairy Sci. 2009, 92, 3907–3914. [Google Scholar] [CrossRef] [PubMed]
- Jonsson, A. Growth of clostridium-tyrobutyricum during fermentation and aerobic deterioration of grass-silage. J. Sci. Food Agric. 1991, 54, 557–568. [Google Scholar] [CrossRef]
- Ferrero, F.; Piano, S.; Tabacco, E.; Borreani, G. Effects of conservation period and Lactobacillus hilgardii inoculum on the fermentation profile and aerobic stability of whole corn and sorghum silages. J. Sci. Food Agric. 2019, 99, 2530–2540. [Google Scholar] [CrossRef]
- Arriola, K.G.; Kim, S.C.; Adesogan, A.T. Effect of applying inoculants with heterolactic or homolactic and heterolactic bacteria on the fermentation and quality of corn silage. J. Dairy Sci. 2011, 94, 1511–1516. [Google Scholar] [CrossRef]
Publisher’s Note: MDPI stays neutral with regard to jurisdictional claims in published maps and institutional affiliations. |




| Item | L. chinensis |
|---|---|
| Dry matter (g/kg) | 450.06 ± 0.77 |
| Crude protein (g/kg DM) | 67.08 ± 0.34 |
| Water soluble carbohydrates (g/kg DM) | 62.86 ± 1.59 |
| Neutral detergent fiber (g/kg DM) | 619.75 ± 12.01 |
| Acid detergent fiber (g/kg DM) | 329.62 ± 5.81 |
| Item | Length | Additive | SEM | p-Value | |||||
|---|---|---|---|---|---|---|---|---|---|
| Control | SU | LP | SU+LP | Length | Additive | Interaction | |||
| pH | 1–2 cm | 4.20 aB | 4.00 bB | 4.06 bB | 3.88 cB | 0.014 | <0.001 | <0.001 | <0.001 |
| 4–5 cm | 4.64 aA | 4.58 aA | 4.14 bA | 3.99 bA | |||||
| Lactic acid (g/kg) | 1–2 cm | 32.53 bA | 40.20 bA | 51.77 aA | 38.50 b | 0.801 | <0.001 | <0.001 | <0.001 |
| 4–5 cm | 4.60 bB | 3.77 bB | 34.36 aB | 37.03 a | |||||
| Acetic acid (g/kg) | 1–2 cm | 6.37 bB | 3.53 bB | 5.97 bB | 13.50 a | 0.433 | <0.001 | 0.007 | 0.002 |
| 4–5 cm | 18.70 A | 19.83 A | 21.90 A | 19.33 | |||||
| Propionic acid (g/kg) | 1–2 cm | 10.47 a | 8.87 b | 7.90 bB | 9.33 ab | 0.186 | 0.017 | 0.589 | 0.008 |
| 4–5 cm | 9.57 | 9.70 | 11.27 A | 9.97 | |||||
| Butyric acid (g/kg) | 1–2 cm | 1.23 | 1.53 | 1.76 | 1.56 | 0.212 | 0.672 | 0.235 | 0.678 |
| 4–5 cm | 0.70 b | 1.00 ab | 2.63 a | 1.03 ab | |||||
| Item | Length | Additive | SEM | p-Value | |||||
|---|---|---|---|---|---|---|---|---|---|
| Control | SU | LP | SU+LP | Length | Additive | Interaction | |||
| pH | 1–2 cm | 4.11 aB | 4.07 aB | 4.00 b | 3.85 c | 0.028 | <0.001 | <0.001 | <0.001 |
| 4–5 cm | 4.94 aA | 4.61 aA | 4.01 b | 3.91 b | |||||
| Lactic acid (g/kg) | 1–2 cm | 34.72 A | 27.42 A | 38.69 A | 35.44 | 1.046 | <0.001 | <0.001 | 0.054 |
| 4–5 cm | 12.30 bB | 7.32 bB | 30.27 aB | 26.25 a | |||||
| Acetic acid (g/kg) | 1–2 cm | 8.03 b | 16.79 aA | 21.44 a | 8.09 bB | 0.557 | 0.899 | <0.001 | <0.001 |
| 4–5 cm | 9.67 c | 4.01 dB | 22.65 a | 18.62 bA | |||||
| Propionic acid (g/kg) | 1–2 cm | 10.67 a | 8.19 b | 11.10 aA | 6.22 c | 0.194 | 0.262 | <0.001 | 0.156 |
| 4–5 cm | 9.70 a | 8.22 ab | 9.45 aB | 7.00 b | |||||
| Butyric acid (g/kg) | 1–2 cm | ND | 16.87 aB | 0.38 b | ND | 3.450 | 0.072 | 0.106 | 0.299 |
| 4–5 cm | 33.26 | 34.69 A | ND | ND | |||||
| Yeast (Log10 cfu/g FM) | 1–2 cm | <2 | <2 | 2.71 | <2 | ||||
| 4–5 cm | 3.63 | <2 | 2.56 | <2 | |||||
| Mold (Log10 cfu/g FM) | 1–2 cm | <2 | <2 | <2 | <2 | ||||
| 4–5 cm | 2.45 | <2 | 2.03 | <2 | |||||
| Treatments | Aerobic Stability (h) | Maximum Temperature (°C) | Time to Maximum Temperature (h) | |
|---|---|---|---|---|
| Length | <0.001 | 0.088 | <0.001 | |
| p-Value | Additive | <0.001 | 0.010 | <0.001 |
| Interaction | <0.001 | 0.825 | <0.001 | |
© 2020 by the authors. Licensee MDPI, Basel, Switzerland. This article is an open access article distributed under the terms and conditions of the Creative Commons Attribution (CC BY) license (http://creativecommons.org/licenses/by/4.0/).
Share and Cite
Sun, Z.; Jia, T.; Gao, R.; Xu, S.; Wu, Z.; Wang, B.; Yu, Z. Effects of Chopping Length and Additive on the Fermentation Quality and Aerobic Stability in Silage of Leymus chinensis. Processes 2020, 8, 1283. https://doi.org/10.3390/pr8101283
Sun Z, Jia T, Gao R, Xu S, Wu Z, Wang B, Yu Z. Effects of Chopping Length and Additive on the Fermentation Quality and Aerobic Stability in Silage of Leymus chinensis. Processes. 2020; 8(10):1283. https://doi.org/10.3390/pr8101283
Chicago/Turabian StyleSun, Zhiqiang, Tingting Jia, Run Gao, Shengyang Xu, Zhe Wu, Bing Wang, and Zhu Yu. 2020. "Effects of Chopping Length and Additive on the Fermentation Quality and Aerobic Stability in Silage of Leymus chinensis" Processes 8, no. 10: 1283. https://doi.org/10.3390/pr8101283
APA StyleSun, Z., Jia, T., Gao, R., Xu, S., Wu, Z., Wang, B., & Yu, Z. (2020). Effects of Chopping Length and Additive on the Fermentation Quality and Aerobic Stability in Silage of Leymus chinensis. Processes, 8(10), 1283. https://doi.org/10.3390/pr8101283

