Red Wine Aging by Different Micro-Oxygenation Systems and Oak Wood—Effects on Anthocyanins, Copigmentation and Color Evolution
Abstract
1. Introduction
2. Materials and Methods
2.1. Aging Systems
2.2. Barrel and Alternative oak Wood Products
2.3. Wine
2.4. Wine Analysis
2.4.1. Anthocyanin Global Determination and Index
2.4.2. Color Analysis
2.4.3. Copigmentation Determination
2.4.4. Anthocyanin Individual Determination
2.5. Statistical Analysis
3. Results and Discussion
3.1. Oxygen Management
3.2. Wine Evolution
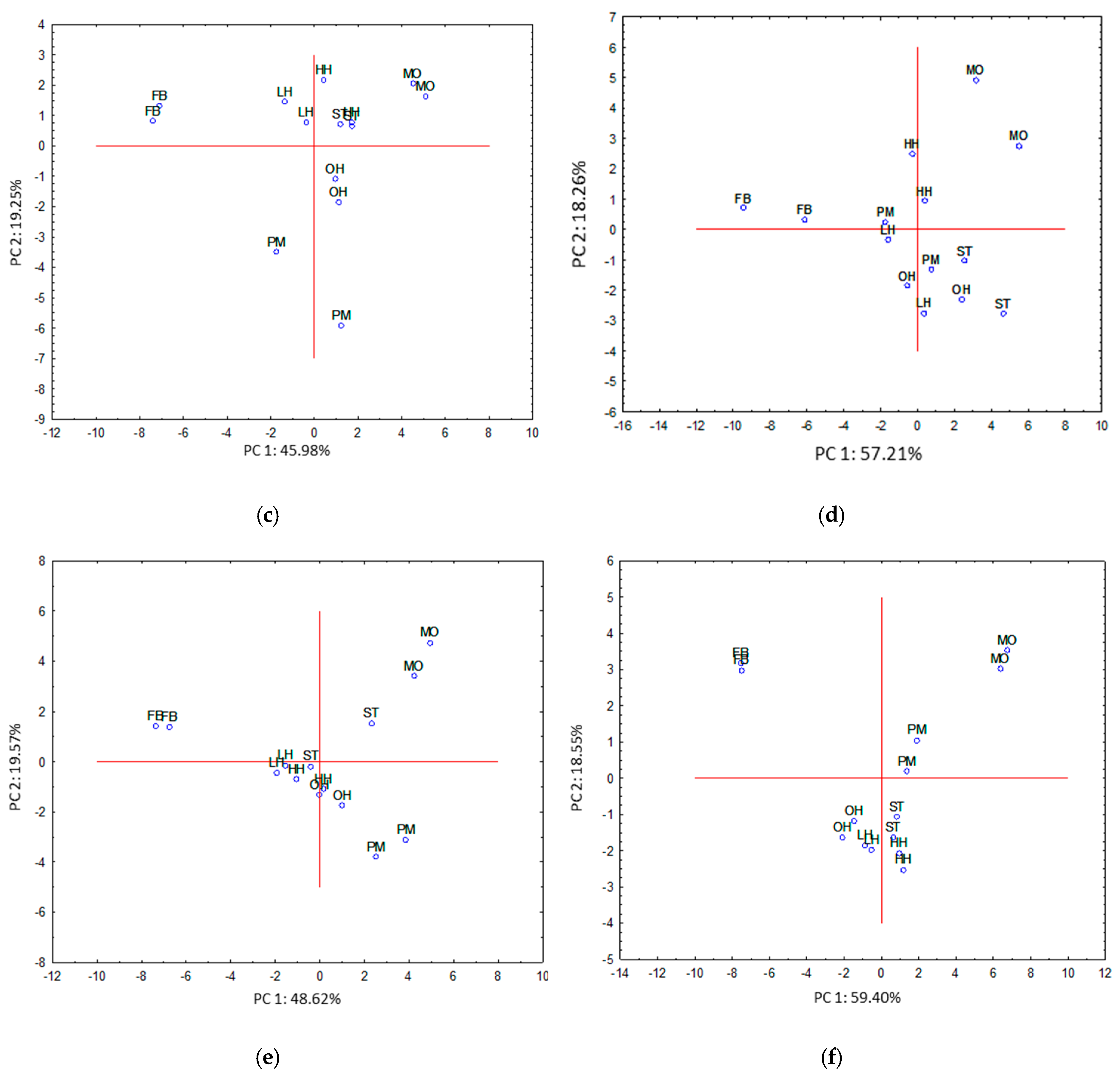
3.3. Principal Component Analysis
4. Conclusions
Author Contributions
Funding
Acknowledgments
Conflicts of Interest
References
- Oberholster, A.; Elmendorf, B.L.; Lerno, L.A.; King, E.S.; Heymann, H.; Brenneman, C.E.; Boulton, R.B. Barrel maturation, oak alternatives and micro-oxygenation: Influence on red wine aging and quality. Food Chem. 2015, 173, 1250–1258. [Google Scholar] [CrossRef] [PubMed]
- Del Alamo-Sanza, M.; Nevares, I. Wine aging technologies. In Recent Advances in Wine Stabilization and Conservation Technologies; Jordão, A.M., Cosme, F., Eds.; Nova Science Publishers, Inc.: New York, NY, USA, 2016; pp. 209–245. ISBN 9781634848831. [Google Scholar]
- Nevares, I.; Del Alamo-Sanza, M. New materials for the ageing of wines and beverages. Evaluation and comparison. In Food Packaging and Preservation; Grumezescu, A., Holban, A.M., Eds.; Elsevier Academic Press: London, UK, 2017; pp. 375–404. ISBN 9780128115169. [Google Scholar]
- Toit, W.d.; Marais, J.; Pretorius, I.S.; Toit, M. Du Oxygen in must and wine: A review. S. Afr. J. Enol. Vitic. 2006, 27, 76–94. [Google Scholar]
- Nevares, I.; del Álamo, M. Measurement of dissolved oxygen during red wines tank aging with chips and micro-oxygenation. Anal. Chim. Acta 2008, 621, 68–78. [Google Scholar] [CrossRef] [PubMed]
- Del Alamo-Sanza, M.; Laurie, V.F.; Nevares, I. Wine evolution and spatial distribution of oxygen during storage in high-density polyethylene tanks. J. Sci. Food Agric. 2015, 95, 1313–1320. [Google Scholar] [CrossRef] [PubMed]
- Del Alamo-Sanza, M.; Nevares, I. Recent advances in the evaluation of the oxygen transfer rate in oak barrels. J. Agric. Food Chem. 2014, 62, 8892–8899. [Google Scholar] [CrossRef] [PubMed]
- Del Alamo-Sanza, M.; Nevares, I. Oak wine barrel as an active vessel: A critical review of past and current knowledge. Crit. Rev. Food Sci. Nutr. 2017, 58, 2711–2726. [Google Scholar] [CrossRef] [PubMed]
- Ercoli, G.; Cavini, F. Ossigeno e legni alternativi alla barrique. In Ossigeno e Vino; Biondi Bartolini, A., Cavini, F., Basquiat, M.d., Eds.; Parsec, s.r.l.: Firenze, Italy, 2008; pp. 105–117. ISBN 978-88-903722-0-9. [Google Scholar]
- García-Estévez, I.; Alcalde-Eon, C.; Martínez-Gil, A.M.; Rivas-Gonzalo, J.C.; Escribano-Bailón, M.T.; Nevares, I.; Del Alamo-Sanza, M. An approach to the study of the interactions between ellagitannins and oxygen during oak wood aging. J. Agric. Food Chem. 2017, 65, 6369–6378. [Google Scholar] [CrossRef]
- Nevares, I.; Menéndez-Miguélez, M.; Martínez-Martínez, V.; del Alamo-Sanza, M. Analysis of the oxygen released and consumed during wine aging with oak wood staves. In Proceedings of the In Vino Analytica Scientia, Salamanca, Spain, 17–20 July 2017. [Google Scholar]
- Del Alamo, M.; Nevares, I.; Gallego, L.; Fernández de Simón, B.; Cadahía, E. Micro-oxygenation strategy depends on origin and size of oak chips or staves during accelerated red wine aging. Anal. Chim. Acta 2010, 660, 92–101. [Google Scholar] [CrossRef]
- Atanasova, V.; Fulcrand, H.; Cheynier, V.; Moutounet, M. Effect of oxygenation on polyphenol changes occurring in the course of wine-making. Anal. Chim. Acta 2002, 458, 15–27. [Google Scholar] [CrossRef]
- Fernandes, A.; Oliveira, J.; Teixeira, N.; Mateus, N.; de Freitas, V. A review of the current knowledge of red wine colour. J. Int. Sci. Vigne Vin 2016, 51, 1–21. [Google Scholar]
- Brouillard, R.; Lang, J. The hemiacetal-cis-chalcone equilibrium of malvin, a natural anthocyanin. Can. J. Chem. 1990, 68, 755–761. [Google Scholar] [CrossRef]
- Santos, H.; Turner, D.; Lima, J.C.; Figueiredo, P.; Pina, F.S.; Macanita, A.L. Elucidation of the multiple equilibria of malvin in aqueous-solution by onedimensional and 2-dimensional NMR. Phytochemistry 1993, 33, 1227–1232. [Google Scholar] [CrossRef]
- Oliveira, J.; Mateus, N.; de Freitas, V. Wine-inspired chemistry: Anthocyanin transformations for a portfolio of natural colors. Synlett 2017, 28, 898–906. [Google Scholar] [CrossRef]
- Revilla, E.; López, J.F.; Ryan, J.M. Anthocyanin pattern of Tempranillo wines during ageing in oak barrels and storage in stainless-steel tanks. Eur. Food Res. Technol. 2005, 220, 592–596. [Google Scholar] [CrossRef]
- Prat-García, S.; Nevares, I.; Martínez-Martínez, V.; del Alamo-Sanza, M. Customized oxygenation barrels as a new strategy for controlled wine aging. Food Res. Int. 2020, 131, 108982. [Google Scholar] [CrossRef]
- OIV. Compendium of Internationals Methods of Wine and Must Analysis; OIV: Paris, France, 2003; Volume 444. [Google Scholar]
- Ribéreau-Gayon, P.; Stonestreet, E. Le dosage des anthocyannes dans le vin rouge. Bull. Société Chim. Fr. 1965, 9, 2649–2652. [Google Scholar]
- Somers, T.C.C.; Evans, M.E.M.E.M.E. Spectral evaluation of young red wines: Anthocyanin equilibria, total phenolics, free and molecular SO2, “chemical age”. J. Sci. Food Agric. 1977, 28, 279–287. [Google Scholar] [CrossRef]
- Glories, Y. La couleur des vins rouges 2. Mesure, origine et interprétation. OENO One 1984, 18, 253–271. [Google Scholar] [CrossRef]
- OIV. Compendium of International Analysis of Methods—OIV Chromatic Characteristics. Available online: http://www.oiv.int/public/medias/2478/oiv-ma-as2-11.pdf (accessed on 31 October 2019).
- Boulton, R. The Copigmentation of anthocyanins and its role in the color of red wine: A critical review. Am. J. Enol. Vitic. 2001, 52, 67–87. [Google Scholar]
- Del Alamo Sanza, M.; Nevares Domínguez, I.; García Merino, S. Influence of different aging systems and oak woods on aged wine color and anthocyanin composition. Eur. Food Res. Technol. 2004, 219, 124–132. [Google Scholar] [CrossRef]
- Nevares Domínguez, I.; del Alamo-Sanza, M. Oxygène et barriques: Actualisation des connaissances Quantité et voies de pénétration de l’oxygène dans la barrique. Rev. Oenologues Tech. Vitivinic. Oenologicques 2014, 41, 41–44. [Google Scholar]
- Prat-García, S.; Martínez-Martínez, V.; del Alamo-Sanza, M.; Müller, B.J.; Mayr, T.; Nevares, I. Image of O2 dynamics released by oak wood submerged in model wine with nanoparticle sensors. Sens. Actuators B Chem. 2019, 284, 337–345. [Google Scholar] [CrossRef]
- Fan, L.; Wang, Y.; Xie, P.; Zhang, L.; Li, Y.; Zhou, J. Copigmentation effects of phenolics on color enhancement and stability of blackberry wine residue anthocyanins: Chromaticity, kinetics and structural simulation. Food Chem. 2019, 275, 299–308. [Google Scholar] [CrossRef] [PubMed]
- García-Marino, M.; Escudero-Gilete, M.L.; Heredia, F.J.; Escribano-Bailón, M.T.; Rivas-Gonzalo, J.C. Color-copigmentation study by tristimulus colorimetry (CIELAB) in red wines obtained from Tempranillo and Graciano varieties. Food Res. Int. 2013, 51, 123–131. [Google Scholar] [CrossRef]
- Darias-Martín, J.; Carrillo-López, M.; Echavarri-Granado, J.F.; Díaz-Romero, C. The magnitude of copigmentation in the colour of aged red wines made in the Canary Islands. Eur. Food Res. Technol. 2007, 224, 643–648. [Google Scholar] [CrossRef]
- Zhang, X.K.; He, F.; Zhang, B.; Reeves, M.J.; Liu, Y.; Zhao, X.; Duan, C.Q. The effect of prefermentative addition of gallic acid and ellagic acid on the red wine color, copigmentation and phenolic profiles during wine aging. Food Res. Int. 2018, 106, 568–579. [Google Scholar] [CrossRef]
- Figueiredo-González, M.; Cancho-Grande, B.; Simal-Gándara, J.; Teixeira, N.; Mateus, N.; De Freitas, V. The phenolic chemistry and spectrochemistry of red sweet wine-making and oak-aging. Food Chem. 2014, 152, 522–530. [Google Scholar] [CrossRef]
- Chatonnet, P. Productos alternativos a la crianza en barrica. 3a parte: El tostado. In Proceedings of the IV Encuentro Enológico: Crianza en Barricas y otras Alternativas; Fundación para la Cultura del Vino: Madrid, Spain, 20 March 2007; p. 5. [Google Scholar]
- Crawford, K.; Benton, A.; Grigg, A.; Plumb, D. Oak Inserts. Grain Orientation Effect on Extraction of Oak Flavor Compounds; Practical Winery & Vineyard: San Rafael, CA, USA, 2010; pp. 19–26. [Google Scholar]
- Del Alamo, M.; Nevares, I.; Gallego, L.; Martin, C.; Merino, S. Aging markers from bottled red wine aged with chips, staves and barrels. Anal. Chim. Acta 2008, 621, 86–99. [Google Scholar] [CrossRef]
- Durner, D.; Nickolaus, P.; Weber, F.; Trieu, H.L.; Fischer, U. Evolution of anthocyanin-derived compounds during micro-oxygenation of red wines with different anthocyanin-flavanol ratios. ACS Symp. Ser. 2015, 1203, 253–274. [Google Scholar] [CrossRef]
- Sánchez-Gómez, R.; Nevares, I.; Martínez-Gil, A.; del Alamo-Sanza, M. Oxygen consumption by red wines under different micro-oxygenation strategies and Q. pyrenaica chips. effects on color and phenolic characteristics. Beverages 2018, 4, 69. [Google Scholar] [CrossRef]
- Del Alamo Sanza, M.; Nevares Domínguez, I. Wine aging in bottle from artificial systems (staves and chips) and oak woods: Anthocyanin composition. Anal. Chim. Acta 2006, 563, 255–263. [Google Scholar] [CrossRef]
- Laqui-Estaña, J.; López-Solís, R.; Peña-Neira, Á.; Medel-Marabolí, M.; Obreque-Slier, E. Wines in contact with oak wood: The impact of the variety (Carménère and Cabernet Sauvignon), format (barrels, chips and staves), and aging time on the phenolic composition. J. Sci. Food Agric. 2018, 99, 436–448. [Google Scholar] [CrossRef] [PubMed]
- Jingren, H.E.; Santos-Buelga, C.; Silva, A.M.S.; Mateus, N.; De Freitas, V. Isolation and structural characterization of new anthocyanin-derived yellow pigments in aged red wines. J. Agric. Food Chem. 2006, 54, 9598–9603. [Google Scholar] [CrossRef]
- Es-Safi, N.-E.; Cheynier, V. Flavanols and anthocyanins as potent compounds in the formation of new pigments during storage and aging of red wine. In Red Wine Color; ACS Symposium Series; ACS: Washington, DC, USA, 23 July 2009; pp. 143–159. [Google Scholar]
- Escribano-Bailón, T.; Álvarez-García, M.; Rivas-Gonzalo, J.G.; Heredia, F.J.; Santos-Buelga, C. Color and stability of pigments derived from the acetaldehyde-mediated condensation between malvidin 3-O-glucoside and (+)-catechin. J. Agric. Food Chem. 2001, 49, 1213–1217. [Google Scholar] [CrossRef] [PubMed]






| Aging Time (Days) | Aging Systems | ||||||
|---|---|---|---|---|---|---|---|
| PDMS 1 | H-HDPE 1 | L-HDPE 1 | Ö-HDPE 2 | StW 1 | MOX | Barrel 1 | |
| 45 | 1.92 | 1.94 | 1.55 | 2.39 | 2.20 | 2.36 | 2.39 |
| 90 | 3.06 | 3.08 | 2.32 | 4.00 | 3.60 | 3.85 | 3.75 |
| 135 | 4.19 | 4.23 | 3.08 | 5.60 | 5.01 | 5.33 | 4.87 |
| 180 | 5.33 | 5.38 | 3.85 | 7.20 | 6.41 | 6.82 | 5.88 |
| PDMS | H-HDPE | L-HDPE | Ö-HDPE | StW | MOX | Barrel | F 1 | |
|---|---|---|---|---|---|---|---|---|
| Copigmentation | ||||||||
| ACY | 319 ± 7 | 306 ± 14 | 318 ± 6 | 320 ± 3 | 315 ± 12 | 319 ± 2 | 318 ± 6 | 0.67 |
| Io-In | 29.53 ± 1.13 | 31.39 ± 1.58 | 30.20 ± 0.16 | 28.80 ± 1.29 | 30.03 ± 1.05 | 29.08 ± 0.81 | 27.85 ± 0.32 | 2.45 |
| C | 0.64 ± 0.03 c | 0.34 ± 0.01 a | 0.35 ± 0.03 a | 0.55 ± 0.06 b | 0.54 ± 0.00 b | 0.80 ± 0.04 d | 1.00 ± 0.05 e | 89.00 **** |
| COP | 0.10 ± 0.01 c | 0.05 ± 0.00 a | 0.05 ± 0.00 a | 0.08 ± 0.01 b | 0.07 ± 0.00 b | 0.11 ± 0.00 d | 0.13 ± 0.01 e | 78.44 **** |
| TA | 3.68 ± 0.04 a | 4.26 ± 0.01 cd | 4.31 ± 0.01 d | 4.31 ± 0.02 d | 4.24 ± 0.01 c | 3.71 ± 0.01 a | 4.10 ± 0.06 b | 178.35 **** |
| AL | 0.55 ± 0.01 b | 0.59 ± 0.00 de | 0.60 ± 0.01 e | 0.58 ± 0.01 cd | 0.57 ± 0.00 c | 0.52 ± 0.01 a | 0.53 ± 0.01 ab | 32.67 **** |
| Ep | 2.48 ± 0.01 a | 2.58 ± 0.01 b | 2.57 ± 0.01 b | 2.62 ± 0.01 bc | 2.61 ± 0.01 bc | 2.67 ± 0.01 c | 2.66 ± 0.08 c | 7.25 *** |
| PP | 0.37 ± 0.01 cd | 0.36 ± 0.00 bcd | 0.36 ± 0.01 abc | 0.35 ± 0.00 ab | 0.35 ± 0.00 ab | 0.37 ± 0.00 d | 0.35 ± 0.01 a | 7.56 *** |
| FC | 8.25 ± 0.04 a | 8.88 ± 0.00 de | 8.85 ± 0.01 d | 8.96 ± 0.03 e | 8.85 ± 0.07 d | 8.55 ± 0.01 b | 8.65 ± 0.01 c | 105.67 **** |
| TP | 58.47 ± 0.21 a | 61.84 ± 0.00 e | 61.96 ± 0.00 e | 60.68 ± 0.03 b | 61.53 ± 0.01 d | 61.03 ± 0.07 c | 63.76 ± 0.03 f | 688.91 **** |
| Color | ||||||||
| Abs420 | 4.25 ± 0.01 d | 4.23 ± 0.01 d | 4.16 ± 0.01 c | 4.08 ± 0.01 b | 4.16 ± 0.02 c | 4.38 ± 0.01 e | 3.97 ± 0.03 a | 140.27 **** |
| Abs520 | 6.77 ± 0.01 d | 6.79 ± 0.00 d | 6.74 ± 0.01 c | 6.69 ± 0.01 b | 6.74 ± 0.01 c | 6.87 ± 0.01 e | 6.36 ± 0.03 a | 350.33 **** |
| Abs620 | 1.74 ± 0.01 c | 1.74 ± 0.01 d | 1.71 ± 0.01 c | 1.67 ± 0.01 b | 1.73 ± 0.01 c | 1.99 ± 0.01 e | 1.57 ± 0.02 a | 173.27 **** |
| Color intensity | 12.76 ± 0.02 d | 12.75 ± 0.01 d | 12.60 ± 0.03 c | 12.44 ± 0.01 b | 12.62 ± 0.04 c | 13.22 ± 0.01 e | 11.89 ± 0.07 a | 264.06 **** |
| Abs420% | 33.32 ± 0.00 e | 33.15 ± 0.01 d | 33.00 ± 0.00 b | 32.80 ± 0.06 a | 32.96 ± 0.05 b | 33.08 ± 0.00 c | 33.38 ± 0.01 e | 96.69 **** |
| Abs520% | 53.09 ± 0.05 b | 53.25 ± 0.06 bc | 53.46 ± 0.01 d | 53.76 ± 0.11 e | 53.36 ± 0.15 cd | 51.94 ± 0.04 a | 53.48 ± 0.10 d | 93.22 **** |
| Abs620% | 13.60 ± 0.05 bc | 13.61 ± 0.05 c | 13.55 ± 0.01 bc | 13.44 ± 0.06 b | 13.69 ± 0.10 c | 14.98 ± 0.04 d | 13.14 ± 0.11 a | 144.28 **** |
| L* | 7.41 ± 0.13 b | 7.48 ± 0.13 b | 7.81 ± 0.02 bc | 8.32 ± 0.19 c | 7.40 ± 0.45 b | 4.34 ± 0.07 a | 9.17 ± 0.43 d | 68.58 **** |
| a* | 37.03 ± 0.23 b | 37.18 ± 0.23 b | 37.71 ± 0.01 bc | 38.49 ± 0.30 cd | 36.94 ± 0.87 b | 27.11 ± 0.31 a | 39.51 ± 0.67 d | 141.68 **** |
| b* | 12.74 ± 0.22 b | 12.85 ± 0.21 b | 13.40 ± 0.03 bc | 14.27 ± 0.32 c | 12.70 ± 0.77 b | 7.44 ± 0.12 a | 15.71 ± 0.74 d | 68.20 **** |
| C* | 39.16 ± 0.29 b | 39.34 ± 0.29 b | 40.02 ± 0.01 bc | 41.05 ± 0.39 c | 39.06 ± 1.07 b | 28.75 ± 0.33 a | 42.52 ± 0.90 d | 118.66 **** |
| H* | 18.98 ± 0.19 b | 19.07 ± 0.18 b | 19.57 ± 0.02 bc | 20.34 ± 0.27 c | 18.96 ± 0.65 b | 15.00 ± 0.06 a | 21.67 ± 0.59 d | 63.61 **** |
| Anthocyanins | ||||||||
| Df-3-Gl | 14.96 ± 0.29 b | 15.57 ± 0.42 b | 16.40 ± 0.63 b | 15.17 ± 2.28 b | 16.19 ± 0.55 b | 12.65 ± 0.78 a | 20.53 ± 0.50 c | 22.49 **** |
| Cy-3-Gl | 1.09 ± 0.01 b | 1.13 ± 0.03 b | 1.12 ± 0.04 b | 1.07 ± 0.11 b | 1.10 ± 0.02 b | 0.98 ± 0.05 a | 1.31 ± 0.02 c | 15.78 **** |
| Pt-3-Gl | 19.84 ± 0.17 b | 20.82 ± 0.70 b | 21.58 ± 0.82 b | 19.97 ± 2.68 b | 21.17 ± 0.54 b | 17.35 ± 1.04 a | 26.12 ± 0.45 c | 19.68 **** |
| Pn-3-Gl | 4.06 ± 0.05 b | 4.20 ± 0.09 bc | 4.29 ± 0.08 c | 4.22 ± 0.29 bc | 4.23 ± 0.07 bc | 3.78 ± 0.14 a | 4.97 ± 0.09 d | 26.20 **** |
| Mv-3-Gl | 75.01 ± 1.28 b | 79.08 ± 3.22 b | 81.83 ± 3.33 b | 74.70 ± 12.06 b | 80.65 ± 2.53 b | 66.66 ± 5.02 a | 100.10 ± 2.41 c | 14.47 **** |
| Mv-3-Gl-Py | 0.66 ± 0.03 a | 0.70 ± 0.05 a | 0.70 ± 0.05 a | 0.70 ± 0.12 a | 0.70 ± 0.02 a | 0.62 ±0.03 a | 0.88 ± 0.05 b | 7.29 **** |
| Mv-3-Gl-Ac-Py | 0.65 ± 0.01 cd | 0.66 ± 0.03 d | 0.60 ± 0.03 bc | 0.56 ± 0.05 b | 0.58 ± 0.05 b | 0.49 ± 0.03 a | 0.72 ± 0.02 e | 18.78 **** |
| Cy-3-Gl-Ac | 0.12 ± 0.01 a | 0.12 ± 0.01 a | 0.11 ± 0.01 a | 0.13 ± 0.02 a | 0.13 ± 0.02 a | 0.12 ± 0.02 a | 0.16 ± 0.02 b | 4.92 *** |
| Mv-3-Gl-Ethyl | 0.18 ± 0.01 | 0.17 ± 0.01 | 0.18 ± 0.01 | 0.17 ± 0.02 | 0.17 ± 0.02 | 0.17 ± 0.02 | 0.19 ± 0.01 | 1.64 |
| Pt-3-Gl-Ac | 0.50 ± 0.02 ab | 0.54 ± 0.03 bc | 0.56 ± 0.02 c | 0.52 ± 0.04 bc | 0.56 ± 0.02 c | 0.47 ± 0.03 a | 0.71 ± 0.02 d | 28.68 **** |
| Mv-3-Gl-Ac | 3.77 ± 0.02 b | 3.90 ± 0.06 bc | 3.97 ± 0.07 bc | 3.82 ± 0.28 bc | 3.99 ± 0.11 c | 3.50 ± 0.19 a | 4.71 ± 0.09 d | 27.30 **** |
| Mv-3-Gl-Cm | 7.33 ± 0.06 b | 7.62 ± 0.21 b | 7.69 ± 0.16 b | 7.32 ± 0.58 b | 7.58 ± 0.14 b | 6.76 ± 0.28 a | 9.03 ± 0.05 c | 26.43 **** |
| PDMS | H-HDPE | L-HDPE | Ö-HDPE | StW | MOX | Barrel | |
|---|---|---|---|---|---|---|---|
| Copigmentation | |||||||
| ACY | −0.9923 **** | −0.9749 **** | −0.9734 **** | −0.9775 **** | −0.9887 **** | −0.9634 **** | −0.9468 *** |
| Io-In | −0.2515 | −0.1560 | −0.4266 | −0.5613 | −0.2989 | −0.4182 | −0.0128 |
| C | −0.5125 | −0.6085 | −0.6595 * | −0.5566 | −0.6029 | −0.4828 | −0.4727 |
| COP | −0.6564 * | −0.7686 ** | −0.8116 ** | −0.7391 ** | −0.7693 ** | −0.6388 * | −0.6807 |
| TA | −0.0041 | 0.3415 | 0.4143 | 0.3415 | 0.3345 | −0.0228 | 0.4036 |
| AL | 0.5779 | 0.7978 ** | 0.8418 *** | 0.7522 ** | 0.7818 ** | 0.4380 | 0.6197 |
| Ep | 0.6780 * | 0.7792 ** | 0.7699 ** | 0.7946 ** | 0.8072 ** | 0.7685 ** | 0.7889 *** |
| PP | 0.6848 * | 0.6837 * | 0.7380 ** | 0.6625 * | 0.6876 * | 0.7159 ** | 0.6572 |
| FC | −0.2351 | 0.5387 | 0.4366 | 0.5004 | 0.4536 | −0.0297 | 0.4848 |
| TP | −0.1717 | 0.4065 | 0.3727 | 0.3208 | 0.3666 | 0.2737 | 0.4668 |
| Color | |||||||
| Abs420 | −0.3307 | −0.4393 | −0.4701 | −0.6311 * | −0.6370 * | −0.1894 | −0.6644 * |
| Abs520 | −0.6593 * | −0.3523 | −0.5829 | −0.4712 | −0.3917 | −0.4920 | −0.9019 *** |
| Abs620 | −0.4458 | 0.1847 | 0.1144 | −0.4393 | −0.1156 | 0.6218 * | −0.7879 ** |
| Color intensity | −0.5508 | −0.3668 | −0.5613 | −0.6124 | −0.6038 | −0.1783 | −0.8324 ** |
| Abs420% | 0.5253 | −0.3303 | −0.2679 | −0.4971 | −0.4601 | −0.1672 | 0.9288 **** |
| Abs520% | −0.2262 | −0.0169 | −0.0250 | 0.3439 | 0.2213 | −0.4692 | 0.1141 |
| Abs620% | −0.1147 | 0.8473 *** | 0.6788 * | 0.2663 | 0.4170 | 0.8822 *** | −0.7144 ** |
| L* | −0.3471 | −0.5279 | −0.7222 ** | 0.2176 | −0.5438 | −0.9486 **** | 0.7509 ** |
| a* | −0.6418 * | −0.5670 | −0.8158 ** | 0.1305 | −0.6204 | −0.9343 **** | 0.7444 ** |
| b* | −0.3704 | −0.5424 | −0.7441 ** | 0.1904 | −0.5591 | −0.9521 **** | 0.7512 ** |
| C* | −0.5673 | −0.5594 | −0.7968 ** | 0.1534 | −0.6053 | −0.9378 **** | 0.7448 ** |
| H* | −0.2597 | −0.5196 | −0.7013 * | 0.2219 | −0.5233 | −0.9537 **** | 0.7619 ** |
| Anthocyanins | |||||||
| Df-3-Gl | −0.5660 ** | −0.5251 ** | −0.4952 * | −0.5696 ** | −0.3318 | −0.6885 *** | −0.6039 ** |
| Cy-3-Gl | −0.5416 ** | −0.4958 * | −0.4186 | −0.5001 ** | −0.3778 | −0.6914 *** | −0.4714 * |
| Pt-3-Gl | −0.5812 ** | −0.5290 ** | −0.5128 ** | −0.5956 ** | −0.3766 | −0.6995 *** | −0.6445 *** |
| Pn-3-Gl | −0.6220 ** | −0.5634 ** | −0.5813 ** | −0.6056 ** | −0.4445 * | −0.7268 *** | −0.6738 *** |
| Mv-3-Gl | −0.6199 ** | −0.5779 ** | −0.5790 ** | −0.6379 *** | −0.4348 * | −0.6902 *** | −0.6991 *** |
| Mv-3-Gl-Py | −0.7692 **** | −0.5677 ** | −0.7206 *** | −0.7399 *** | −0.6566 *** | −0.8321 **** | −0.6976 *** |
| Mv-3-Gl-Ac-Py | 0.0062 | 0.3695 | −0.2610 | −0.4811 * | −0.0883 | −0.8527 **** | 0.2966 |
| Cy-3-Gl-Ac | −0.3649 | −0.1744 | −0.3223 | 0.0730 | −0.1063 | 0.0214 | 0.1501 |
| Mv-3-Gl-Ethyl | −0.7183 *** | −0.6789 *** | −0.6863 *** | −0.7144 *** | −0.6794 *** | −0.6759 *** | −0.7446 **** |
| Pt-3-Gl-Ac | −0.6684 *** | −0.5957 ** | −0.5647 ** | −0.5858 ** | −0.4562 * | −0.6664 *** | −0.6242 *** |
| Mv-3-Gl-Ac | 0.7295 *** | 0.7333 *** | 0.7435 *** | 0.7531 **** | 0.7806 **** | 0.7582 **** | 0.7217 *** |
| Mv-3-Gl-Cm | −0.7317 *** | −0.6816 *** | −0.7055 *** | −0.7364 *** | −0.5900 ** | −0.7922 **** | −0.7636 **** |
| Evolution Over the Time | After 45 Days of Aging | After 90 Days Of Aging | After 135 Days of Aging | After 180 Days of Aging | ||||||
|---|---|---|---|---|---|---|---|---|---|---|
| PC 1 | PC 2 | PC 1 | PC 2 | PC1 | PC 2 | PC 1 | PC 2 | PC 1 | PC 2 | |
| % variance | 53.04 | 14.64 | 45.98 | 19.25 | 57.21 | 18.26 | 48.62 | 19.57 | 59.40 | 18.55 |
| ACY | 0.7401 | −0.6009 | 0.6574 | 0.1055 | 0.5975 | −0.2809 | −0.6680 | 0.3440 | −0.0470 | 0.2805 |
| Io-In | 0.2389 | 0.1565 | −0.5706 | −0.0815 | −0.4826 | −0.1941 | 0.6021 | −0.3828 | 0.3546 | −0.6425 |
| COP | −0.1387 | −0.8916 | 0.8093 | 0.4356 | 0.7977 | −0.3725 | −0.1299 | 0.4369 | −0.1666 | 0.9542 |
| AL | 0.0248 | 0.7927 | −0.6542 | −0.4185 | −0.6690 | 0.4173 | −0.3335 | −0.2848 | −0.1375 | −0.9611 |
| PP | 0.3116 | 0.8926 | −0.7848 | −0.3731 | −0.7364 | 0.1435 | 0.6610 | −0.3656 | 0.8234 | 0.2119 |
| FC | 0.6919 | 0.5674 | −0.8122 | −0.3134 | −0.6036 | 0.3185 | −0.3109 | −0.4095 | −0.2534 | −0.6231 |
| Tp | −0.6585 | 0.1166 | −0.1430 | −0.1744 | −0.4389 | 0.3004 | −0.4496 | 0.4332 | −0.5781 | 0.1288 |
| Color intensity | 0.5009 | −0.0556 | −0.7655 | 0.4912 | −0.7718 | −0.2704 | 0.7718 | 0.1410 | 0.9935 | −0.0319 |
| Abs420% | −0.6207 | 0.3458 | −0.1047 | 0.5314 | 0.6243 | −0.4551 | −0.5253 | −0.0863 | −0.2519 | 0.5639 |
| Abs520% | −0.5779 | −0.2740 | 0.6829 | −0.6311 | 0.3286 | 0.8823 | −0.6148 | −0.6931 | −0.7705 | −0.5924 |
| Abs620% | 0.7708 | 0.1476 | −0.7126 | 0.6015 | −0.6862 | −0.6481 | 0.7449 | 0.6480 | 0.8643 | 0.4004 |
| L* | −0.8706 | −0.0614 | 0.7190 | −0.6572 | 0.7450 | 0.6583 | −0.7928 | −0.5761 | −0.9174 | −0.3247 |
| a* | −0.9071 | −0.0055 | 0.7139 | −0.6673 | 0.6702 | 0.7254 | −0.7473 | −0.6483 | −0.8284 | −0.4766 |
| b* | −0.8729 | −0.0613 | 0.7171 | −0.6596 | 0.7419 | 0.6616 | −0.7900 | −0.5810 | −0.9155 | −0.3281 |
| C* | −0.9045 | −0.0135 | 0.7168 | −0.6687 | 0.6939 | 0.7074 | −0.7624 | −0.6276 | −0.8496 | −0.4467 |
| H* | −0.7996 | −0.1130 | 0.6701 | −0.5922 | 0.7530 | 0.6489 | −0.7886 | −0.5814 | −0.9364 | −0.2785 |
| Df-3-Gl | 0.9236 | −0.0212 | 0.8884 | 0.3980 | 0.9576 | −0.2194 | −0.9220 | 0.3262 | −0.9830 | 0.1403 |
| Cy-3-Gl | 0.8980 | −0.0382 | 0.6306 | 0.2083 | 0.8873 | −0.2236 | −0.9236 | 0.1985 | −0.9529 | 0.2054 |
| Pt-3-Gl | 0.9293 | −0.0316 | 0.8833 | 0.4123 | 0.9302 | −0.2942 | −0.9149 | 0.3666 | −0.9771 | 0.1385 |
| Pn-3-Gl | 0.9268 | −0.0706 | 0.9053 | 0.2681 | 0.9391 | −0.2453 | −0.8731 | 0.4632 | −0.9648 | 0.2256 |
| Mv-3-Gl | 0.9344 | −0.0604 | 0.8842 | 0.4348 | 0.9506 | −0.2537 | −0.8813 | 0.4467 | −0.9613 | 0.2091 |
| Mv-3-Gl-Py | 0.9065 | −0.1921 | 0.4112 | 0.2585 | 0.8850 | −0.2968 | −0.7840 | 0.2885 | −0.8211 | 0.1936 |
| Mv-3-Gl-Ac-Py | −0.1071 | −0.4129 | 0.0282 | −0.5557 | 0.5247 | −0.0572 | −0.6313 | 0.1687 | −0.7505 | 0.0563 |
| Cy-3-Gl-Ac | −0.4424 | −0.4475 | 0.3801 | 0.3868 | 0.8876 | −0.2126 | −0.1555 | 0.7415 | −0.5757 | 0.6470 |
| Mv-3-Gl-Ethyl | 0.8557 | −0.1744 | 0.3674 | 0.0639 | 0.5289 | 0.3201 | 0.0167 | 0.3018 | −0.4417 | 0.2134 |
| Pt-3-Gl-Ac | 0.9470 | −0.0338 | 0.7578 | 0.2177 | 0.9117 | −0.1966 | −0.6836 | 0.3648 | −0.8838 | 0.2454 |
| Mv-3-O-Gl-Ac | −0.2176 | 0.6731 | 0.5146 | 0.1025 | 0.9450 | −0.1613 | −0.8731 | 0.0582 | −0.9341 | 0.2696 |
| Mv-3-O-Gl-Cm | 0.9442 | −0.1155 | 0.8972 | 0.3561 | 0.9345 | −0.2443 | −0.8814 | 0.3496 | −0.9614 | 0.2372 |
© 2020 by the authors. Licensee MDPI, Basel, Switzerland. This article is an open access article distributed under the terms and conditions of the Creative Commons Attribution (CC BY) license (http://creativecommons.org/licenses/by/4.0/).
Share and Cite
Sánchez-Gómez, R.; del Alamo-Sanza, M.; Martínez-Gil, A.M.; Nevares, I. Red Wine Aging by Different Micro-Oxygenation Systems and Oak Wood—Effects on Anthocyanins, Copigmentation and Color Evolution. Processes 2020, 8, 1250. https://doi.org/10.3390/pr8101250
Sánchez-Gómez R, del Alamo-Sanza M, Martínez-Gil AM, Nevares I. Red Wine Aging by Different Micro-Oxygenation Systems and Oak Wood—Effects on Anthocyanins, Copigmentation and Color Evolution. Processes. 2020; 8(10):1250. https://doi.org/10.3390/pr8101250
Chicago/Turabian StyleSánchez-Gómez, Rosario, Maria del Alamo-Sanza, Ana María Martínez-Gil, and Ignacio Nevares. 2020. "Red Wine Aging by Different Micro-Oxygenation Systems and Oak Wood—Effects on Anthocyanins, Copigmentation and Color Evolution" Processes 8, no. 10: 1250. https://doi.org/10.3390/pr8101250
APA StyleSánchez-Gómez, R., del Alamo-Sanza, M., Martínez-Gil, A. M., & Nevares, I. (2020). Red Wine Aging by Different Micro-Oxygenation Systems and Oak Wood—Effects on Anthocyanins, Copigmentation and Color Evolution. Processes, 8(10), 1250. https://doi.org/10.3390/pr8101250

