Abstract
The reactive crystallization of lithium carbonate (Li2CO3) from lithium sulfate (Li2SO4) and sodium carbonate (Na2CO3) solutions is a key process in harvesting solid lithium, whether from ores, brines, or clays. However, the process kinetics and mechanism remain poorly understood and the modelling of the reactive crystallization of Li2CO3 is not available. Hence, this work aims to determine the kinetics and mechanisms of the nucleation and growth of Li2CO3 reactive crystallization by induction time measurements and to model and optimize the crystallization process using response surface methodology. Induction time measurements were carried out as functions of initial supersaturation and temperature using a laser method. It was found that the primary nucleation mechanism of Li2CO3 varies with solution supersaturations, in which, expectedly, the heterogenous nucleation mechanism dominates at low supersaturations while the homogeneous nucleation mode governs at high supersaturations. The transition point between heterogenous and homogenous nucleation was found to vary with temperatures. Growth modes of Li2CO3 crystals were investigated by relating induction time data with various growth mechanisms, revealing a two-dimensional nucleation-mediated growth mechanism. The modelling and optimization of a complex reactive crystallization were performed by response surface methodology (RSM), and the effects of various crystallization parameters on product and process performances were examined. Solution concentration was found to be the critical factor determining the yield of crystallization, while stirring speed was found to play a dominant role in the particle size of Li2CO3 crystals. Our findings may provide a better understanding of the reactive crystallization process of Li2CO3 and are critical in relation to the crystallization design and control of Li2CO3 production from lithium sulfate sources.
1. Introduction
Lithium and lithium compounds can be widely used due to their superior physical and chemical performance [1]. Among them, lithium carbonate (Li2CO3) is one important lithium compound used in a wide range of applications such as rechargeable batteries, ceramics, glasses, and pharmaceuticals [2,3]. With the development of the lithium battery industry, the consumption of Li2CO3 will grow rapidly within the next few years, which will lead to a shortage of this resource in 2020 [4]. Therefore, it is necessary to develop sustained production of Li2CO3 to meet this increasing demand.
Nowadays, exploitation and processing of salt lake brines as well as lithium ores and lithium clays have been proven to be a feasible method of producing Li2CO3. Compared to the treatment of ores and clays, processing of brines is more economical and requires lower energy consumption [5]. However, there are currently few reports on the treatment of brines with high Mg/Li ratios, which increases the difficulty of recovering lithium resources from these matrices [6,7]. For this reason, the state-owned mining company Corporación Minera de Bolivia (COMIBOL) developed an alternative pilot process for the production of Li2CO3 from brines with a high Mg/Li ratio of 22:1 [5]. As can be seen from Figure 1, as one of the most critical steps in the production chain, the reactive crystallization of Li2CO3 from Li2SO4 and Na2CO3 solutions is the last carbonation stage of the pilot process. Furthermore, this reactive crystallization system for the production of Li2CO3 is also applied in other manufacturing processes using lithium-sulfated minerals such as lepidolite, spodumene, and amblygonite [8].
Figure 1.
Flowsheet of the alternative pilot process used to produce Li2CO3 from brines with high Mg/Li ratios developed by COMIBOL. Reproduced with permission from Paola G. Aguilar and Teofilo A. Graber, Industrial and Engineering Chemistry Research; published by American Chemical Society, 2018.
Reactive crystallization of Li2CO3 plays a key role in recovering lithium resources, whether from ores, brines, or clays. Hence, this process has received significant interest. Sun et al. [9,10] measured the unseeded and seeded supersolubility data of Li2CO3 in aqueous solution using a laser apparatus and focused beam reflectance measurement (FBRM), respectively. By comparing the two methods, FBRM was found to be a better apparatus with which to detect nucleation events in the presence of seed. Wang et al. [11] measured the solubility, supersolubility, and metastable zone width of Li2CO3 in mixed lithium chloride (LiCl)-sodium chloride (NaCl)-potassium chloride (KCl)-sodium sulfate (Na2SO4) solutions at different temperatures and analyzed the effects of impurities on the thermodynamic properties of Li2CO3. Taborga et al. [12] have investigated the effects of different additives on the size and morphology of Li2CO3 crystals and have proposed that the presence of polyethylenimine (PEI), polyethylene glycol (PEG), and poly (4-styrenesulfonic acid) (P4SA) can increase the length of Li2CO3 crystals. Matsumoto et al. [13] developed a novel crystallization technique to produce Li2CO3 nanoparticles using minute gas-liquid interfaces around CO2 microbubbles activated by microwave irradiation. The results showed that with the formation of numerous local supersaturation regions at the minute gas-liquid interfaces, fine-sized Li2CO3 particles with a narrow size distribution were crystallized due to the higher nucleation rate.
In the aforementioned studies, the thermodynamic properties of Li2CO3 and effects of different additives on its morphology were discussed and some novel methods for the production of Li2CO3 crystals were also reported [9,10,11,12,13]. However, there have been no works concentrating on the reactive crystallization mechanisms of Li2CO3 from Li2SO4 and Na2CO3 solutions and multi-objective optimization of the process. Here, the nucleation and growth kinetics and mechanisms of Li2CO3 in reactive crystallization are investigated and the complex reactive crystallization process is modeled and optimized using a novel method named response surface methodology. First, the induction times for the reactive crystallization of Li2CO3 were measured over a range of supersaturations at different temperatures using a laser method. Then, the effects of supersaturation levels and temperature on the nucleation behavior of Li2CO3 crystals were studied. Further, various mechanisms of crystal growth were examined and the crystal growth mode of Li2CO3 was determined on the basis of data fitting between experiments and theory. Finally, a response surface methodology (RSM) with central composite design (CCD) was developed to understand the effects of various operating parameters on the performance of the process. The significance of models was further revealed by analysis of variance (ANOVA).
2. Materials and Methods
2.1. Materials and Experimental Procedures
Lithium sulfate (99.9% metal basis) was purchased from Chemart Chemical Technology Co. Ltd. (Tianjin, China). Sodium carbonate (AR, ≥99.8%) was purchased from Titan Scientific Co. Ltd. (Shanghai, China). Water was filtered through a double-deionized purification system and was used as the solvent in all experiments. All chemicals were used directly without further purification.
The induction times were experimentally measured as functions of initial supersaturation and temperature using a laser method. In accordance with a previous work [9], a 100 mL crystallizer with a water bath (CF41, Julabo, Germany), a temperature indicator (Pt-100, Julabo, Germany), an overhead mechanical stirrer (WB-2000C, Julabo, Germany), and a laser apparatus (JSW3-300, Mettler Toledo, Switzerland) were used for induction time measurement. Firstly, a 40 mL Li2SO4 solution was introduced into the crystallizer and then agitation at 300 rpm in a water bath was initiated. When the solution temperature stabilized, the preheated 40 mL Na2CO3 solution was poured into the crystallizer and the laser apparatus was turned on simultaneously; this was recorded as the start time. The same molar concentration of Li2SO4 and Na2CO3 solution was calculated according to the specified supersaturation. In the initial period, the solution was clear and the light intensity stayed constant, whereas when the primary nucleation occurred, the light intensity decreased sharply due to the diffraction and dispersion effect. The induction time can be calculated according to the interval between the start time and the time when the light intensity decreases sharply. During the experiment, the crystallizer was sealed to avoid the occurrence of water evaporation.
The experimental set up for optimizing the reactive crystallization process is similar to the induction time measurement set up. Firstly, 40 mL Li2SO4 solution was introduced into the crystallizer, and then water-bath agitation was initiated. When the solution temperature stabilized, the peristaltic pump was turned on to feed the Na2CO3 solution. The molar concentration of the Li2SO4 and Na2CO3 solutions was the same. Upon finishing feeding, the crystallizer was sealed and the solution temperature was kept constant for 150 min to ensure that the Li2CO3 crystals grew sufficiently. After the reaction, the slurry was filtered while hot and the filter cake was washed three times with absolute ethanol and dried in an oven at 50 °C for 12 h to remove free water. Finally, the particle size and crystal size distribution of the Li2CO3 product were analyzed using Morphology 3000 (Malvern, UK).
2.2. Theory
2.2.1. Classical Nucleation Theory
According to classical nucleation theory [14], the nucleation rate (J) can be expressed according to Equation (1), i.e.,
where A is the pre-exponential factor, is the geometric factor, is the interfacial free energy, is the molecular volume, is the Boltzmann constant, T is the absolute temperature, and is the supersaturation.
Generally, the induction time tind consists of three parts: the relaxation time, tr; the time required to generate a stable nucleus, tn; and the time required for the nucleus to grow to be detectable, tg. Making the assumption that the tind is mainly composed of tn, which is inversely proportional to the nucleation rate, we get:
Combining Equations (1) and (2), the relationship between induction time and supersaturation can be given by:
Taking the logarithm of both sides of Equation (3) and rearranging gives:
Equation (4) has been proved to be valid by Sohnel and Mullin when the induction time is mainly dominated by the time required to generate a stable nucleus [15].
Supersaturation is an important factor affecting the nucleation rate. In addition to classical nucleation theory, the nucleation rate can also be considered a function of supersaturation, as shown in the following empirical equation, Equation (5). The effect of supersaturation on the nucleation rate can be visually reflected by determining the nucleation order. The empirical equation can be given by:
Combining Equations (2) and (5), we get:
The relationship between relative supersaturation and the supersaturation ratio can be expressed as:
Combining Equations (6) and (7), the relationship between induction time and relative supersaturation can be given by:
Taking the logarithm of both sides of Equation (8) and rearranging gives:
Equation (9) reveals that there is a linear relationship between and , which can be employed to determine the nucleation order at a given temperature.
2.2.2. Mechanism of Crystal Growth
The growth mode of the Li2CO3 crystal was identified by fitting the induction time data measured from reactive crystallization experiments over a range of supersaturations at different temperatures using expressions derived by Van der Leeden et al. [16], which can be expressed by
where is the nucleation rate, is the volume of the system, is the volume fraction of the new phase formed, is a shape factor, is the growth rate, and n = mv + 1 (m is the dimensionality of growth and 0.5 < ν < 1). As for Equation (10), the first term which originates from the mononuclear mechanism is often negligible in comparison to the second term because of the polynuclear mechanism. For three-dimensional nucleation, the steady-state nucleation rate can be given as
where is the nucleation rate constant and .
The relationship between the growth rate and supersaturation is generally described as
in which is the growth rate constant and is a function of supersaturation depending on the growth mechanism. The expressions of corresponding to different growth mechanisms are shown in Table 1.
Table 1.
The expressions of for different growth mechanisms.
Combining Equations (10)–(12), we get
where
For normal, spiral, and volume diffusion-controlled growth, Equation (13) can be rearranged to give
where
Hence, as can be seen from Equation (15), a plot of versus 1/(ln2S) can be fitted using a straight line for different values of n.
For 2D nucleation-mediated growth, Equation (13) can be rearranged to give
where
In this case, a plot of versus 1/(lnS) can be fitted using a parabolic model for different values of n. Depending on the goodness of fit, the growth mechanism can be identified as being either normal, spiral, or volume diffusion-controlled, or 2D nucleation-mediated, growth.
2.3. Response Surface Methodology and ANOVA Modeling
RSM combined with CCD is an efficient method with which to explore the relationships between operating factors and system responses [17], and is widely used in process design and optimization [18]. The design procedure for RSM can be summarized as follows [17]: design a series of experiments to achieve sufficient and reliable measurement for the desired response; develop a mathematical model with a polynomial form and maximum fitting; analyze the direct and interactive effects of operating parameters on responses from the plotted response surface; determine the optimal experimental parameters in order to produce the most desirable value of the response.
Central composite design requires three types of tests: 2k factorial tests, 2k axial tests, and nc center point tests, where k is the number of factors investigated in the experiment [19]. The design is represented by five levels: −α, −1, 0, 1, and α, where α is equal to (2k)0.25 [20]. The experimental data is used to develop a mathematical model with a polynomial form. The significance of each term in the equation and the goodness of fitting quality can be validated by ANOVA. Response surfaces were plotted based on the fitted polynomial model.
Crystallization temperature (°C), feeding rate (mL/min), concentration (mol/L), and stirring speed (rpm) were considered as factors in this research. The yield (%) and particle size (μm) of Li2CO3 product were considered as responses. A CCD design with four factors at five levels with 30 simulations test was developed in this work. Design Expert 8.0.6 trial version (Stat-Ease, Inc., Minneapolis, MN, USA) was used for this analysis.
3. Results and Discussion
3.1. Kinetics and Mechanism of Li2CO3 Reactive Crystallization
3.1.1. Induction Time Measurements
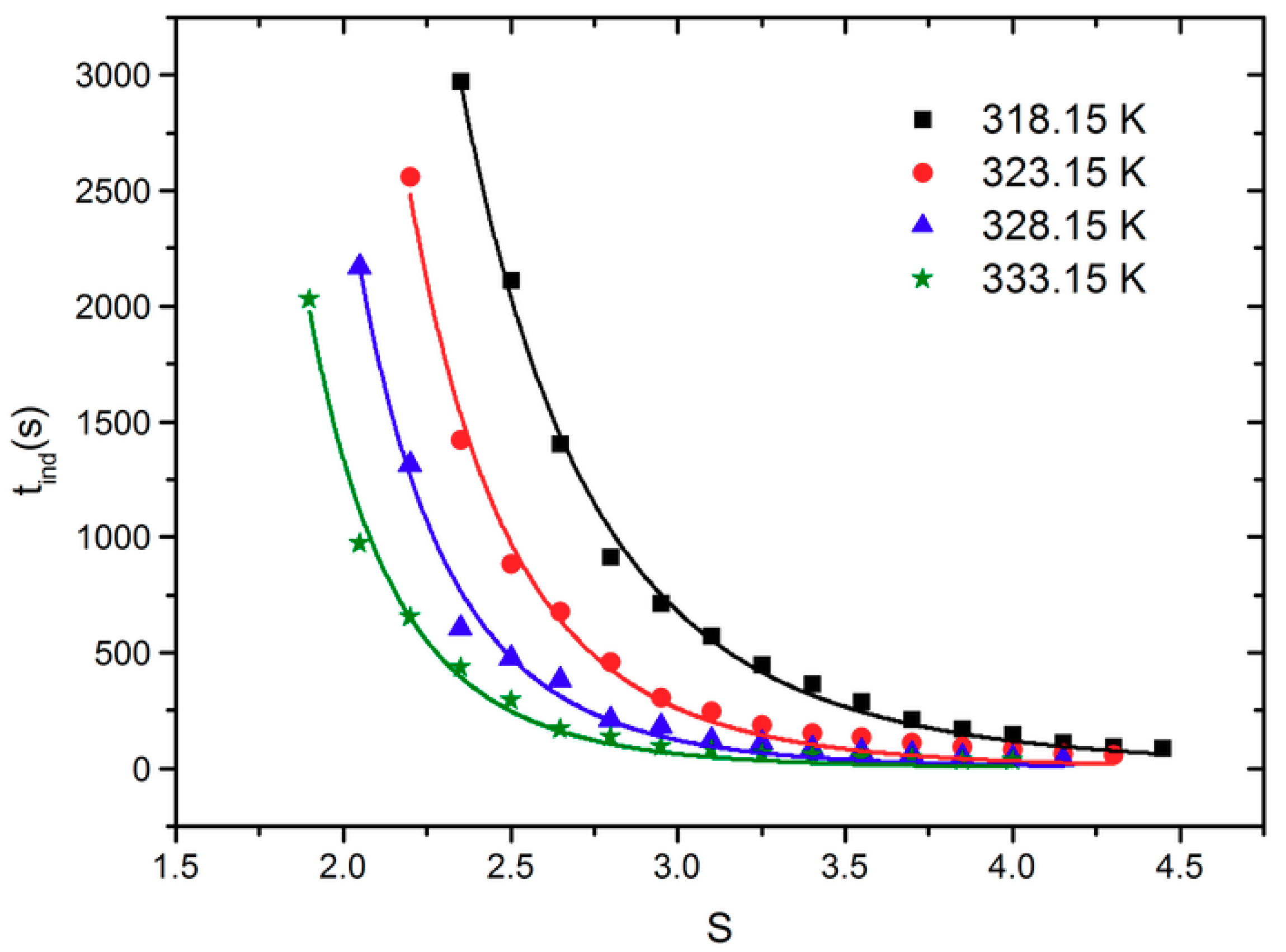
The experimentally measured induction times are significant in the process design and control of an efficient crystallization system. For example, in antisolvent crystallization, if the mixing time of the solvent and antisolvent can be controlled in a period shorter than the induction time, fine-sized particles of narrow size distributions may be achieved [21]. In addition, analysis of the induction time based on nucleation and growth theory also help in understanding the mechanisms of nucleation and growth [14]. Therefore, a laser apparatus was used to provide a reliable method for the measurement of induction times in this work, and the results are shown in Figure 2.
Figure 2.
The nucleation induction times of Li2CO3 at different temperatures and supersaturations.
Generally, the relationship between induction time (tind) and supersaturation (S) can be correlated using the following empirical equation:
where and are empirical constants [22]. The induction times measured at different temperatures were correlated with the supersaturation and the values of the empirical constants and were obtained and are shown in Table 2.
Table 2.
The parameters of empirical Equation (19) at different temperatures.
As can be seen from Figure 2 and Table 2, the induction time and supersaturation can be well correlated at different temperatures by Equation (19), and all the coefficients of determination, R2, are above 0.99. Meanwhile, it can be seen that at the same temperature, with the level of supersaturation increasing, the induction time is shortened. This is because when a higher supersaturation level is created, the nucleation driving force is larger and thus the nucleation rate is improved, which as a result shortens the nucleation induction time. Similarly, at the same supersaturation level, the induction time will be significantly shortened with increasing temperature. This is because the movement of ions can be accelerated at higher temperatures which increases the collision frequency of ions, thus promoting the formation of crystal nuclei. This phenomenon is consistent with classical nucleation theory.
3.1.2. Crystal Nucleation Kinetics and Mechanism
For the primary nucleation process, the relationship between induction time and supersaturation can be expressed by Equation (4). In order to have a better understanding of the nucleation behavior of Li2CO3 under different conditions, log(tind) was plotted versus (logS)−2, with the result shown in Figure 3. As can be seen from Figure 3, the experimental data follows the linear relationship given by Equation (4). However, there is a region of higher slope at higher supersaturation and a region of lower slope at lower supersaturation. Similar results have been reported for inorganic salts by other researchers [23,24]. This phenomenon can be attributed to a change in nucleation mechanism. At lower supersaturation levels, the driving force of the phase transition is lower and the nucleation process is easily affected by external particles, so the heterogeneous nucleation mechanism plays a leading role in the nucleation process. At higher supersaturation levels, the driving force of phase transition is larger. Compared with the spontaneous nucleation of solution, the influence of external particles on the nucleation process can be neglected, and thus the homogeneous nucleation mechanism dominates the nucleation process.
Figure 3.
Plot of log(tind) versus (logS)−2 for Li2CO3 crystallization.
Mersmann et al. [25] have proposed that for the reactive crystallization of insoluble materials, the transition supersaturation (St) required for homogeneous nucleation should be greater than 2. For the reactive crystallization of Li2CO3 in our study, the transition supersaturation (St) is not a fixed value. As can be seen from Figure 3, from 318.15 K to 333.15 K, the transition supersaturation (St) is 3.23, 2.85, 2.62, and 2.41, respectively.
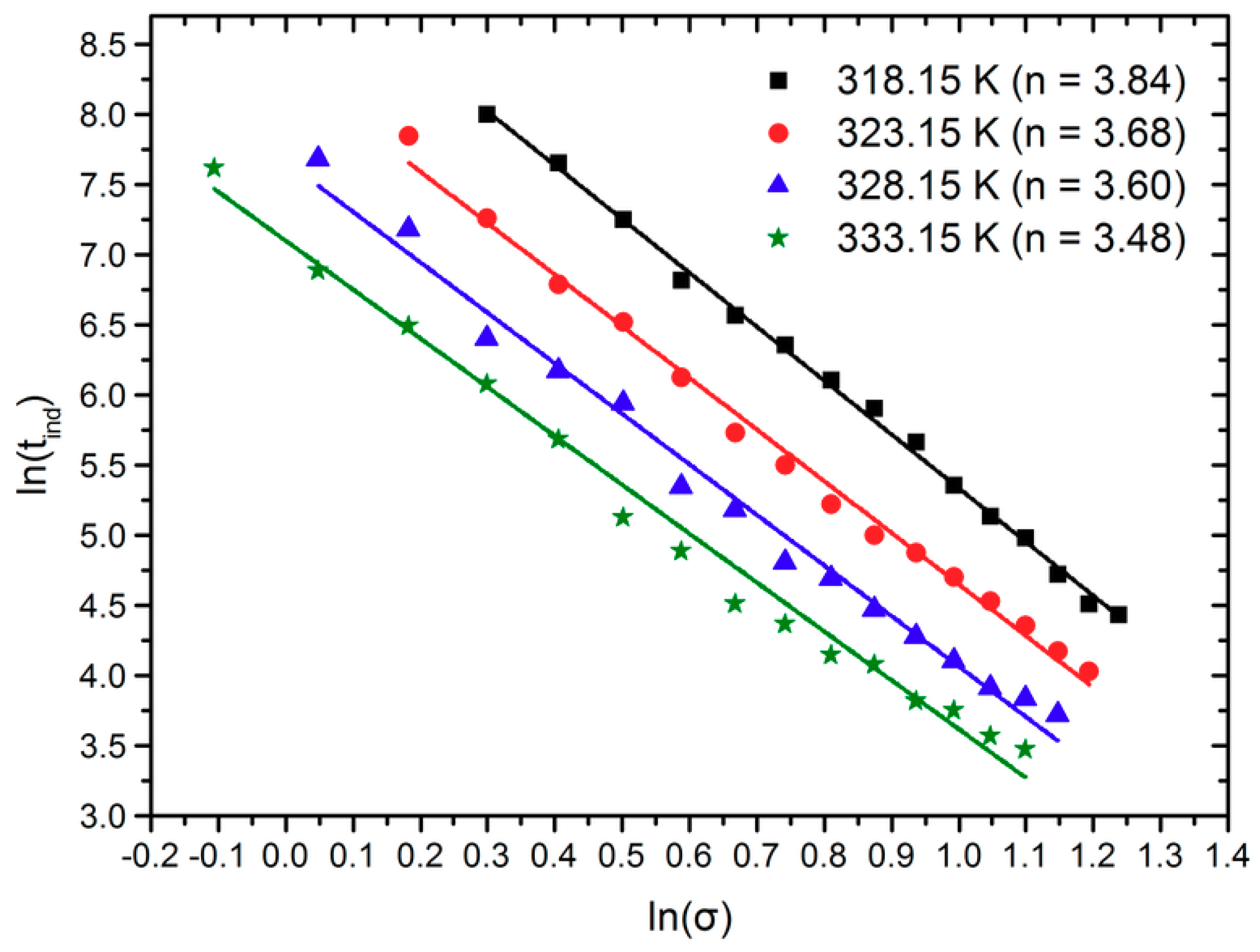
According to Equation (9), the nucleation order can be obtained by fitting and using a linear function, with the result shown in Figure 4. As can be seen from Figure 4, the test points show a good linear relationship as a whole, and the regression curves are almost parallel to each other under different temperatures, indicating that the nucleation order is similar under the experimental conditions used. From 318.15 K to 333.15 K, the nucleation order is 3.84, 3.68, 3.60, and 3.48, respectively.
Figure 4.
Plot of log(tind) versus for Li2CO3 crystallization.
3.1.3. Identification of Crystal Growth Mechanism
The growth-mechanism of Li2CO3 crystals was identified by fitting the experimental induction times from reactive crystallization over a range of temperatures and supersaturations to the expressions of different growth mechanisms. According to a previous study [26], Li2CO3 crystals are rod-like, meaning the value of m is 1. Hence n (mν + 1) can take values of either 3/2 or 2 depending on the value of ν (1/2 or 1). The expressions Fu(S) for different growth mechanisms of Li2CO3 are shown in Table 3.
Table 3.
The expressions Fu(S) for different growth mechanisms of Li2CO3.
For mechanisms F1, F2, and F3, and 1/ are in a linear relationship, while for mechanism F4, and are in a quadratic polynomial relationship. The calculated values of were plotted against either or 1/, with the results shown in Figure 5. Depending on the goodness of fitting quality shown in Table 4, the growth mechanism can be identified.
Figure 5.
Plot of versus or 1/ for Li2CO3 crystals. Data are fitted using (a) normal growth, (b) spiral growth, (c) volume diffusion-controlled growth, and (d) 2D nucleation-mediated growth.
Table 4.
The coefficients of determination R2 for different growth mechanisms of Li2CO3 under different temperatures.
It can be seen from Figure 5 and Table 4 that the F4 mechanism correlates the induction time and supersaturation data well at different temperatures using a quadratic polynomial. The coefficients of determination R2 are above 0.99 and the fitting accuracy is high. Hence, it can be concluded that the growth mode of Li2CO3 crystals under our experimental conditions is a 2D nucleation-mediated growth mechanism.
3.2. Multi-response Optimization Using Response Surface Methodology
3.2.1. Central Composite Design and Crystallization Outcomes
Based on single factor tests, a CCD of an RSM was employed to investigate the effects of four variables—temperature (A), feeding rate (B), concentration (C), and stirring speed (D)—on the yield (Y1) and particle size (Y2) of the Li2CO3 product. The experimental factors were coded at five levels (−2, −1, 0, 1, 2), and temperature (30, 40, 50, 60, 70 °C), feeding rate (1, 2, 3, 4, 5 mL/min), concentration (1.5, 1.75, 2, 2.25, 2.5 mol/L) and stirring speed (200, 300, 400, 500, 600 rpm) were investigated (Table 5). This design was composed of 30 tested points, including six replications of the zero points. The response results are shown in Table 6.
Table 5.
Levels and codes of central composite design.
Table 6.
Central composite design and experimental results.
3.2.2. Model Fitting and ANOVA Analysis
The experimental data was used to develop a second-order polynomial model which can be written as:
in which is the intercept, , , are first-order, interactive, and second-order effects, respectively, i and j represent the number of k factors, and ε is the residual error [27]. This method is able to evaluate interaction effects and pure quadratic effects, and is considered to be the most efficient evaluation method that can improve the quality of data.
ANOVA was used to determine the significance of each term in the equation and estimate the goodness of fitting quality. In the results of this ANOVA analysis the p-values could be used to check the significance of each term. Specifically, values of “probability (p) > F” less than 0.05, 0.01, and 0.001 indicate that the model terms are significant, highly significant, and remarkably significant, respectively, while values greater than 0.05 indicate that the model terms are not significant [28].
The results of ANOVA for the quadratic model of the yield are shown in Table 7. ANOVA revealed that the model was highly significant (p < 0.01) for the yield of Li2CO3 product, indicating that the developed model was reliable. As can be seen from Table 7, significant linear A, highly significant quadratic A2 and C2, and remarkably significant linear C effects on yield were shown by the ANOVA results, while for the other factors, the p-values were greater than 0.05, indicating that these factors were not significant. Based on the regression coefficient (β) values, solution concentration was revealed to be a major effect, followed by temperature, feeding rate, and stirring speed. The yield of the Li2CO3 product can be expressed by the following second order polynomial equation:
R(Yield) = 88.82 + 2.19ª + 1.21B + 3.85C + 0.092D + 0.76AB − 1.84AC + 0.38AD + 1.60BC − 0.064BD − 0.11CD − 2.54A2 − 0.99B2 − 2.47C2 − 1.08D2
Table 7.
ANOVA analysis and results with quadratic model of yield.
Table 8 shows the ANOVA results using the quadratic model of particle size. ANOVA revealed that the model was remarkably significant (p < 0.001) for particle size for the Li2CO3 product, indicating that the developed model was very reliable. As shown in Table 8, linear C exhibited a highly significant effect on particle size and the linear D and quadratic D2 displayed a remarkably significant effect, while for the other factors, the p-values are greater than 0.05, suggesting that these factors are not significant. Among the factors, particle size depended more on stirring speed, followed by concentration, feeding rate, and temperature. The fitted second order polynomial equation of particle size can be expressed as:
R(D [4,3]) = 99.35 − 0.30ª − 2.52B − 7.92C − 16.26D + 0.36AB + 1.79AC − 1.08AD − 1.64BC + 1.23BD − 0.21CD + 0.14A2 + 0.18 B2 + 3.84C2 + 10.20D2
Table 8.
ANOVA analysis and results with quadratic model of particle size.
3.2.3. Response Surface Analysis
Based on the equations mentioned above, three-dimensional surface values were depicted to show the influences of the independent variables (temperature, feeding rate, concentration, and stirring speed) on the yield and particle size of Li2CO3 product. The results are shown in Figure 6 and Figure 7.
Figure 6.
3D surface plots of effects of binary interactions among factors A (temperature), B (feeding rate), C (concentration), and D (stirring speed) on response value Y1 (yield of Li2CO3).
Figure 7.
3D surface plots of effects of binary interactions among factors A (temperature), B (feeding rate), C (concentration), and D (stirring speed) on response value Y2 (particle size of Li2CO3).
It can be seen from Figure 6 that the major factor affecting the yield of Li2CO3 was concentration of solution, and that interaction between various factors was not significant. Figure 6 also reveals that the yield of Li2CO3 increased with increasing concentration of solution. This is because increasing concentration improves instantaneous supersaturation, thus promoting the driving force of the nucleation and growth process. Therefore, more Li2CO3 could be crystallized in the same time, and the yield was improved.
As can be seen from Figure 7, the major factor affecting the particle size of Li2CO3 is stirring speed; the interaction between various factors is not significant. Figure 7 also reveals that the particle size of Li2CO3 decreased significantly with increasing stirring speed. This is because the improvement of stirring speed promotes ideal mixing conditions and thus the spatial distribution of the supersaturation becomes more uniform. Therefore, the supersaturation was mainly consumed by nucleation and the growth process was suppressed, meaning that the particle size was reduced.
4. Conclusions
The reactive crystallization kinetics and mechanism of the production of Li2CO3 from Li2SO4 and Na2CO3 solutions have been explored in this work on the basis of induction time measurements, and the complex crystallization process was modeled and optimized in regard to yield and particle size by response surface methodology. It was shown, expectedly, that the plotted log(tind) versus (logS)−2 follows a linear relationship where there is a region of lower slope at lower supersaturation and a region of higher slope at higher supersaturation, thus indicating two distinct primary nucleation behaviors in which the heterogenous nucleation dominates at low supersaturations and at high supersaturations the homogenous nucleation governs. The transition point between heterogenous and homogenous nucleation was found to vary with temperatures but the nucleation order remained nearly the same under experimental conditions. Further, the growth mechanism of Li2CO3 reactive crystallization was determined to be 2D nucleation-mediated growth. Modeling of the reactive crystallization process of Li2CO3 was developed and process optimization was performed in regard to product yield and particle size. Response surface and ANOVA analysis revealed the major factors contributing to the yield and particle size of Li2CO3 crystallization were solution concentration and stirring speed, respectively. To the best of our knowledge, this work represents the first time that the nucleation and growth mechanisms of reactive crystallization of Li2CO3 from Li2SO4 and Na2CO3 solutions and process modeling and optimization by response surface methodology have been studied. Our findings could be applied to the design and control of the reactive crystallization of Li2CO3 in its production from lithium sulfate sources.
Author Contributions
Conceptualization, S.Z., J.G. (Jie Gao) and W.T.; Methodology, S.Z. and Y.M.; Software, S.Z. and S.M.; Validation, Y.H., Y.M. and F.Z.; Formal Analysis, W.T., J.G. (Junbo Gong) and B.Z.; Investigation, S.Z. and J.G. (Jie Gao); Resources, J.G. (Jie Gao), C.L. and B.Z.; Data Curation, F.Z. and B.Z; Writing-Original Draft Preparation, S.Z. and J.G. (Jie Gao); Writing-Review & Editing, W.T.; Visualization, S.Z. and Y.H.; Supervision, J.G. (Junbo Gong) and W.T.; Project Administration, W.T., J.G. (Junbo Gong) and C.L.; Funding Acquisition, F.Z. and B.Z.
Funding
This research was funded by the China Postdoctoral Science Foundation, the open foundation of the State Key Laboratory of Chemical Engineering (no. SKL-ChE-18B04) and National Natural Science Foundation of China (nos. NNSFC 21808159 and 91634117).
Conflicts of Interest
The authors declare no competing financial interest.
References
- Fergus, J.W. Recent Developments in Cathode Materials for Lithium Ion Batteries. J. Power Sources 2010, 195, 939. [Google Scholar] [CrossRef]
- Garrett, D.E. Part 1—Lithium. In Handbook of Lithium and Natural Calcium Chloride; Elsevier: Amsterdam, The Netherlands, 2004. [Google Scholar]
- Lazarus, J.H.; McGregor, A.M.; Ludgate, M.; Darke, C.; Creagh, F.M.; Kingswood, C.J. Effect of Lithium Carbonate Therapy on Thyroid Immune Status in Manic Depressive Patients: A Prospective Study. J. Affect. Disord. 1986, 11, 155. [Google Scholar] [CrossRef]
- Bauer, D.; Diamond, D.; Li, J.; Sandalow, D.; Telleen, P.; Wanner, B. Critical Materials Strategy; U.S. Department of Energy: Washington, DC, USA, 2010.
- Aguilar, P.G.; Graber, T.A. Determination of the Reaction Kinetic Parameters for Li2CO3 Crystallization from Li2SO4 and Na2CO3 Solutions Using Calorimetric Measurements. Ind. Eng. Chem. Res. 2018, 57, 4815–4823. [Google Scholar] [CrossRef]
- An, J.W.; Kang, D.J.; Tran, K.T.; Kim, M.J.; Lim, T.; Tran, T. Recovery of Lithium from Uyuni Salar Brine. Hydrometallurgy 2012, 117, 64. [Google Scholar] [CrossRef]
- Ogawa, Y.; Koibuchi, H.; Suto, K.; Inoue, C. Effects of the Chemical Compositions of Salars de Uyuni and Atacama Brines on Lithium Concentration during Evaporation. Resour. Geol. 2014, 64, 91. [Google Scholar] [CrossRef]
- Choubey, P.K.; Kim, M.-S.; Srivastava, R.R.; Lee, J.-C.; Lee, J.-Y. Advance Review on the Exploitation of the Prominent Energy-Storage Element: Lithium. Part I: From Mineral and Brine Resources. Miner. Eng. 2016, 89, 119. [Google Scholar] [CrossRef]
- Sun, Y.; Song, X.; Wang, J.; Luo, Y.; Yu, J. Unseeded Supersolubility of Lithium Carbonate: Experimental Measurement and Simulation with Mathematical Models. J. Cryst. Growth 2009, 311, 4714–4719. [Google Scholar] [CrossRef]
- Sun, Y.; Song, X.; Wang, J.; Luo, Y.; Yu, J. Determination of seeded supersolubility of lithium carbonate using FBRM. J. Cryst. Growth 2010, 312, 294–300. [Google Scholar] [CrossRef]
- Wang, H.Y.; Du, B.Q.; Wang, M. Study of the Solubility, Supersolubility and Metastable Zone Width of Li2CO3 in the LiCI-NaCI-KCI-Na2SO4 System from 293.15 to 353.15 K. J. Chem. Eng. Data 2018, 63, 1429–1434. [Google Scholar] [CrossRef]
- Taborga, P.; Brito, I.; Graber, T.A. Effect of additives on size and shape of lithium carbonate crystals. J. Cryst. Growth 2017, 460, 5–12. [Google Scholar] [CrossRef]
- Matsumoto, M.; Morita, Y.; Yoshinaga, M.; Hirose, S.; Onoe, K. Reactive Crystallization of Lithium Carbonate Nanoparticles by Microwave Irradiation of Aqueous Solution Containing CO2 Microbubbles. J. Chem. Eng. Jpn. 2009, 42, S242–S248. [Google Scholar] [CrossRef]
- Kuldipkumar, A.; Kwon, G.S.; Zhang, G.G.Z. Determining the growth mechanism of tolazamide by induction time measurement. Cryst. Growth Des. 2007, 7, 234–242. [Google Scholar] [CrossRef]
- Sohnel, O.; Mullin, J.W. Interpretation of crystallization induction periods. J. Colloid Interface Sci. 1988, 123, 43–50. [Google Scholar] [CrossRef]
- Van der Leeden, M.C.; Verdoes, D.; Kashchiev, D.; van Rosmalen, G.M. Induction time in seeded and unseeded precipitation. Adv. Ind. Cryst. 1991, 31–46. [Google Scholar]
- Montgomery, D.C. Design and Analysis of Experiments; John Wiley & Sons: New York, NY, USA, 2005. [Google Scholar]
- Dutka, B.M.; Ditaranto, M.; Løvås, T. Application of a Central Composite Design for the Study of NOx Emission Performance of a Low NOx Burner. Energies 2015, 8, 3606–3627. [Google Scholar] [CrossRef]
- Dutta, A.; Dowe, N.; Ibsen, K.N. An economic comparison of different fermentation configurations to convert corn stover to ethanol using Z. mobilis and Saccharomyces. Biotechnol. Prog. 2009, 26, 64–72. [Google Scholar]
- Bas, D.; Boyaci, I.H. Modeling and optimization I: Usability of response surface methodology. J. Food Eng. 2007, 78, 836–845. [Google Scholar] [CrossRef]
- Thorat, A.A.; Dalvi, S.V. Liquid antisolvent precipitation and stabilization of nanoparticles of poorly water soluble drugs inaqueous suspensions: Recent developments and future perspective. Chem. Eng. J. 2012, 181, 1–34. [Google Scholar] [CrossRef]
- Gomez-Morales, J.; Torrent-Burgues, J.; Rodriguez-Clemente, R. Nucleation of calcium carbonate at different initial pH conditions. J. Cryst. Growth 1996, 169, 331–338. [Google Scholar] [CrossRef]
- Mullin, J.W.; Ang, H.M. Nucleation characteristics of aqueous nickel ammonium-sulfate solutions. Faraday Discuss. 1976, 61, 141–148. [Google Scholar] [CrossRef]
- Wojciechowski, K.; Kibalczyc, W. Light-scattering study of KH2PO4 and BaSO4 nucleation process. J. Cryst. Growth 1986, 76, 379–382. [Google Scholar] [CrossRef]
- Mersmann, A.; Kind, M. Chemical engineering aspects of precipitation from solution. Chem. Eng. Technol. 1988, 11, 264–276. [Google Scholar] [CrossRef]
- Pastero, L.; Massaro, F.R.; Aquilano, D. Experimental and Theoretical Morphology of Single and Twinned Crystals of Li2CO3 (Zabuyelite). Cryst. Growth Des. 2007, 7, 2749–2755. [Google Scholar] [CrossRef]
- Box, G.E.P.; Hunter, J.S.; Hunter, W.G. Statistics for Experimenters: Design, Innovation, and Discovery; Wiley-Interscience: Hoboken, NJ, USA, 2005; pp. 447–455. [Google Scholar]
- Dahmoune, F.; Remini, H.; Dairi, S.; Aoun, O.; Moussi, K.; Bouaoudia-Madi, N.; Madani, K. Ultrasound assisted extraction of phenolic compounds from P. lentiscus L. leaves: Comparative study of artificial neural network (ANN) versus degree of experiment for prediction ability of phenolic compounds recovery. Ind. Crop. Prod. 2015, 77, 251–261. [Google Scholar] [CrossRef]
© 2019 by the authors. Licensee MDPI, Basel, Switzerland. This article is an open access article distributed under the terms and conditions of the Creative Commons Attribution (CC BY) license (http://creativecommons.org/licenses/by/4.0/).






