Comparison of Three Deoxidation Agents for Ozonated Broths Used in Anaerobic Biotechnological Processes
Abstract
1. Introduction
2. Materials and Methods
2.1. Broths
2.2. Ozonation
Control of the Ozonation Process
2.3. Deoxidation Methods
2.3.1. Physical Oxygen Removal Using Ultrasound
2.3.2. Chemical Oxygen Removal by FeSO4
2.3.3. Biological Oxygen Removal by Metschnikowia sp. Yeast
2.4. Analytical Methods
2.5. Statistics
3. Results and Discussion
3.1. Ozonation Process and Effectiveness of Sterilization
3.2. Deoxidation Methods
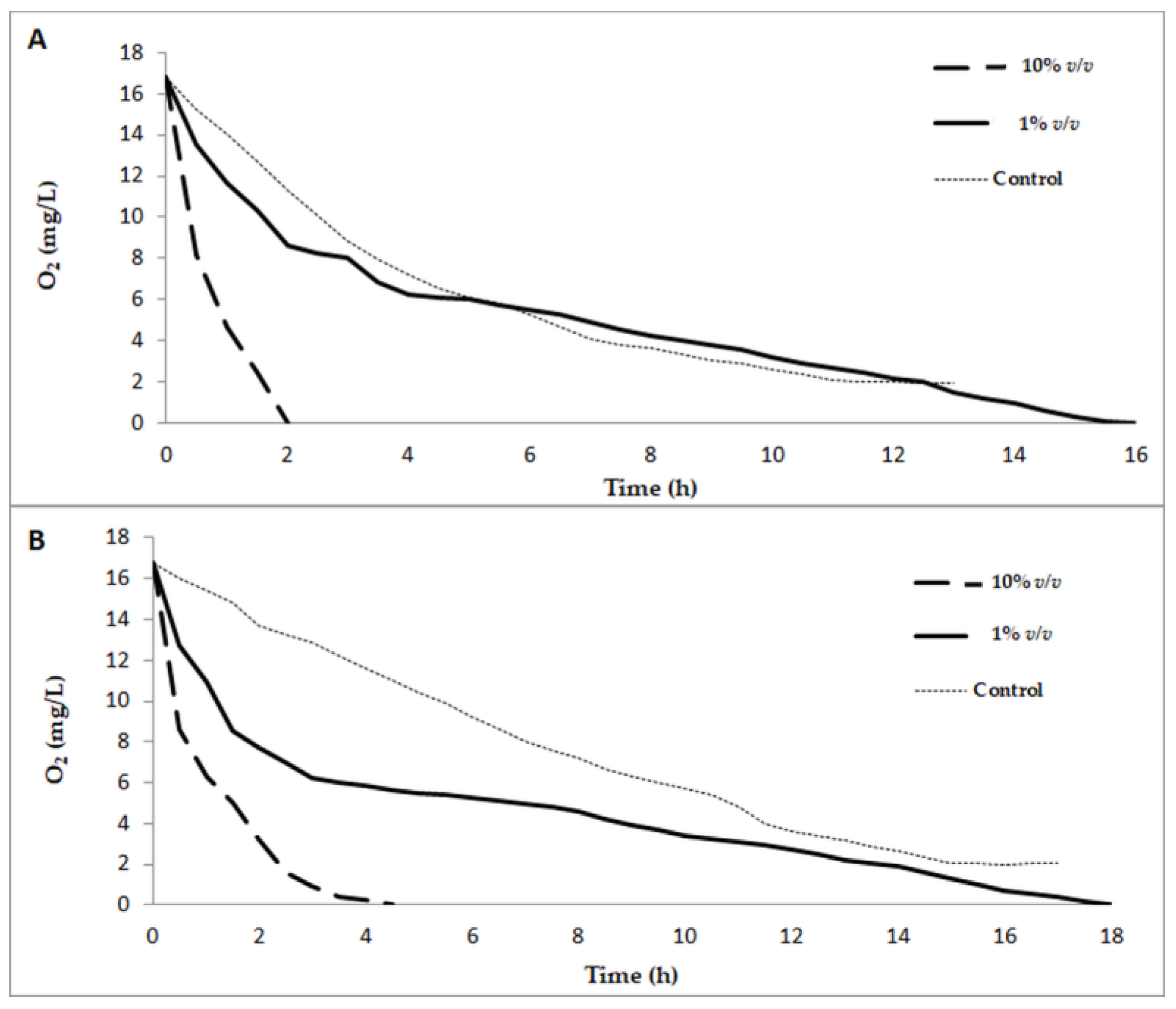
3.2.1. Physical Oxygen Removal by Ultrasound
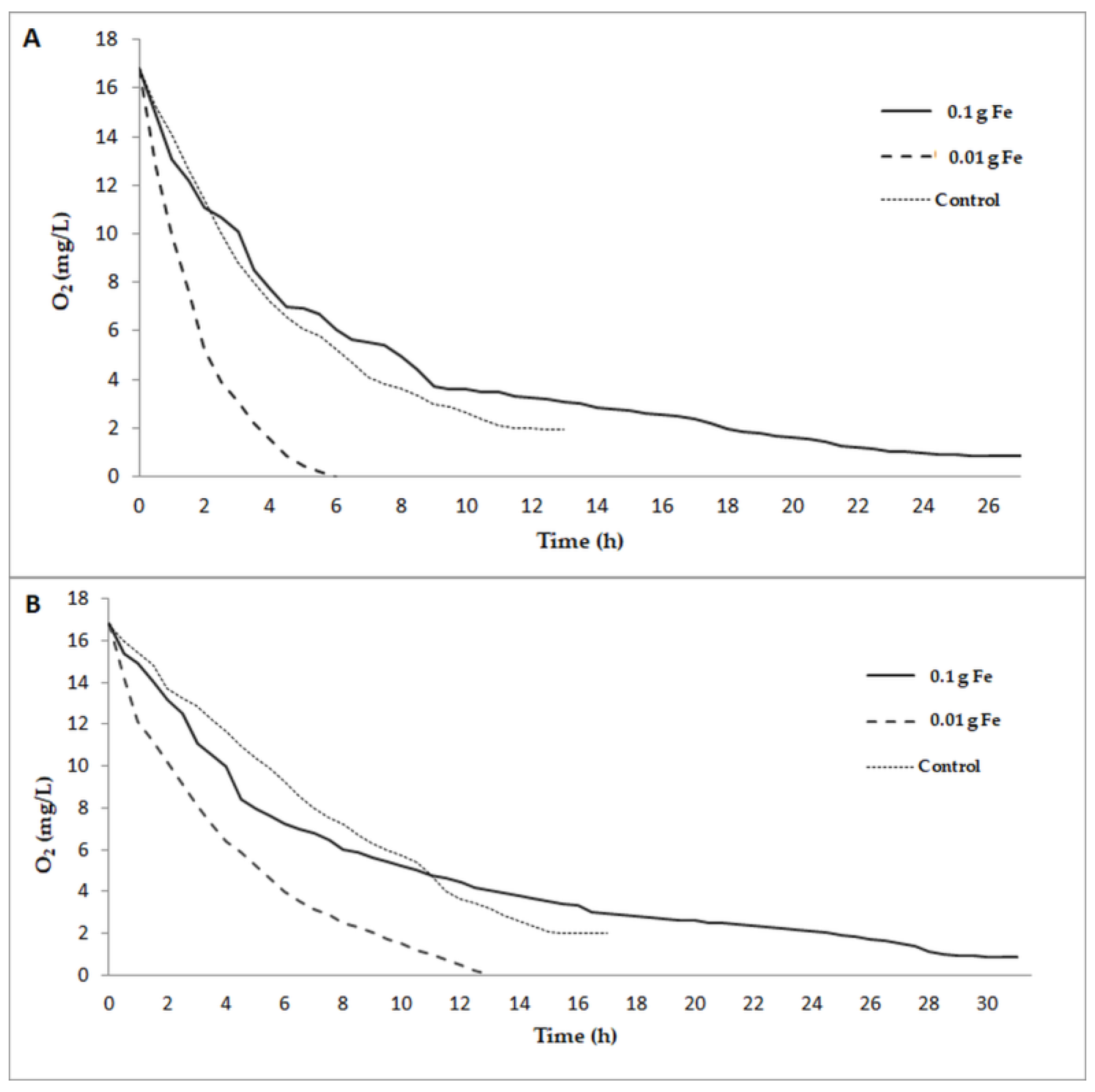
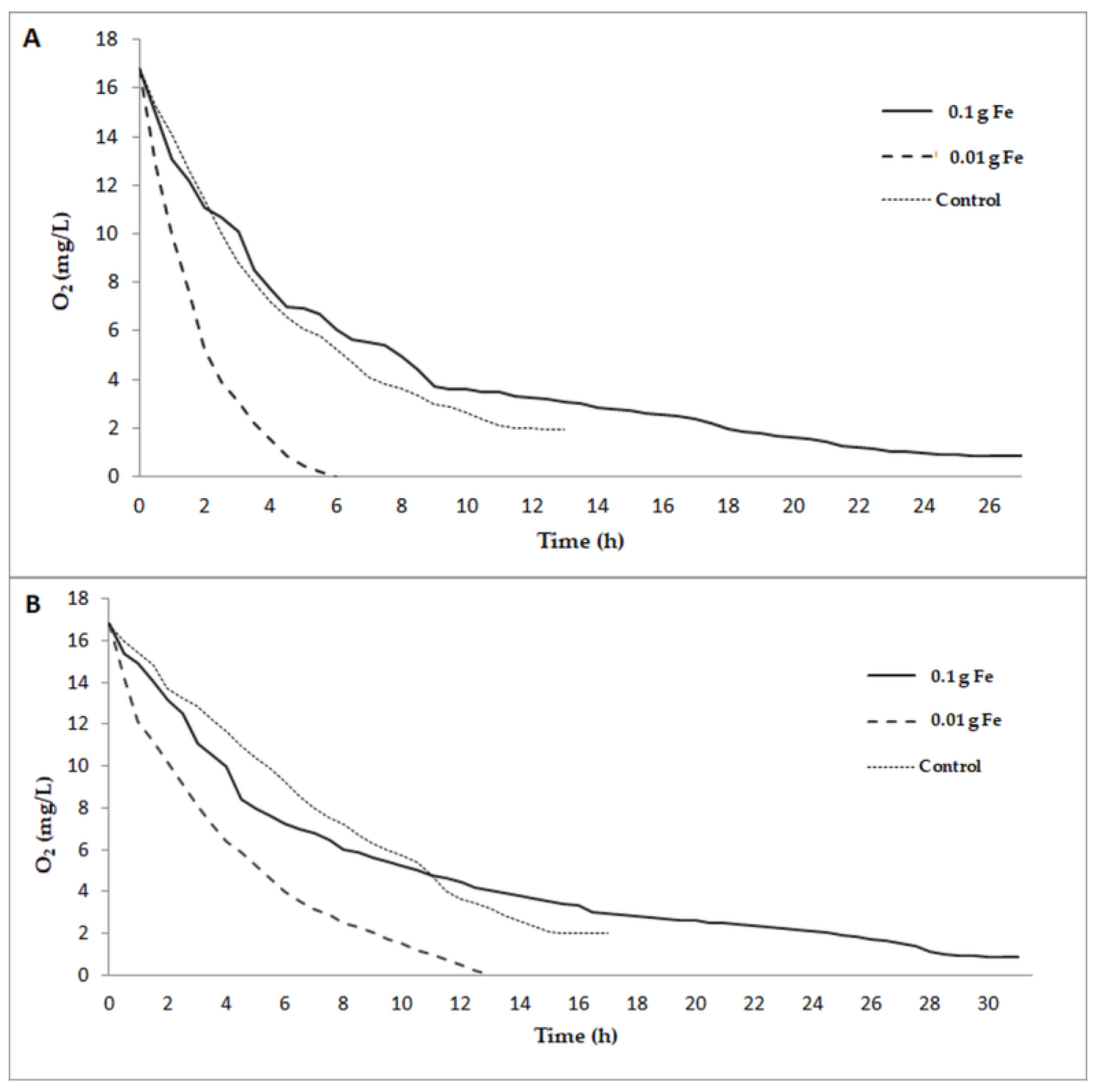
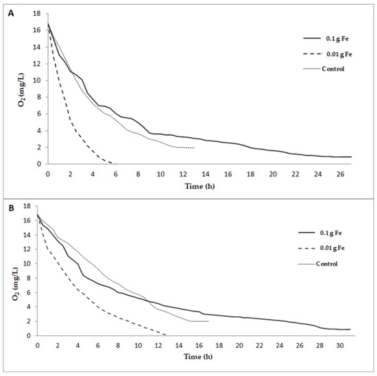
3.2.2. Chemical Oxygen Removal by FeSO4
3.2.3. Biological Removal of Oxygen by Metschnikowia sp. Yeast
3.3. Comparison of Deoxidation Methods
4. Conclusions
Author Contributions
Funding
Acknowledgments
Conflicts of Interest
References
- Chandra, R.; Bharagava, R.N.; Rai, V. Melanoidins as major colourant in sugar cane molasses based distillery effluent and its degradation. Bioresour. Technol. 2008, 99, 4648–4660. [Google Scholar] [CrossRef]
- Dziugan, P.; Balcerek, M.; Binczarski, M.J.; Kregiel, D.; Kucner, M.; Kunicka-Styczynska, A.; Pielech-Przybylska, K.; Smigielski, K.; Witonska, I.A. Ozonation as an effective way to stabilize new kinds of fermentation media used in biotechnological production of liquid fuel additives. Biotechnol. Biofuels 2016, 9, 150. [Google Scholar] [CrossRef] [PubMed]
- Guzel-Seydim, Z.B.; Greene, A.K.; Seydim, A.C. Use of ozone in the food industry. LWT Food Sci. Technol. 2004, 37, 453–460. [Google Scholar] [CrossRef]
- Oner, M.E.; Demirci, A. Ozone for food decontamination: Theory and applications. In Handbook of Hygiene Control in the Food Industry, 2nd ed.; Lelieveld, H.L.M., Holah, J., Gabric, D., Eds.; Woodhead Publishing: Cambridge, UK, 2016; pp. 491–501. [Google Scholar]
- Ozone Application in Drinking Water. Available online: https://www.lenntech.com/library/ozone/drinking/ozone-applications-drinking-water.htm (accessed on 14 December 2018).
- Wang, Y.-H.; Chen, K.-C. Removal of disinfection by-products from contaminated water using a synthetic goethite catalyst via catalytic ozonation and a biofiltration system. Int. J. Environ. Res. Public Health 2014, 11, 9325–9344. [Google Scholar] [CrossRef] [PubMed]
- Kusvuran, E.; Yildirim, D. Degradation of bisphenol A by ozonation and determination of degradation intermediates by gas chromatography–mass spectrometry and liquid chromatography–mass spectrometry. Chem. Eng. J. 2013, 220, 6–14. [Google Scholar] [CrossRef]
- Botheju, D.; Bakke, R. Oxygen effects in anaerobic digestion—A review. Open Waste Manag. J. 2011, 4, 1–19. [Google Scholar] [CrossRef]
- McPhail, S.J.; Cigolotti, V.; Moreno, A. Fuel Cell in the Waste-to-Energy Chain. Distributed Generation through Non-Conventional Fuels and Fuel Cells; Springer: London, UK, 2012. [Google Scholar]
- Butler, I.; Schoonen, M.A.A.; Rickard, A. Removal of dissolved oxygen from water: A comparison of four common techniques. Talanta 1994, 41, 211–215. [Google Scholar] [CrossRef]
- Luther, G.W.; Findlay, A.J.; MacDonald, D.J.; Owings, S.M.; Hanson, T.E.; Beinart, R.B.; Girguis, P.R. Thermodynamics and kinetics of sulfide oxidation by oxygen: A look at inorganically controlled reactions and biologically mediated processes in the environment. Front. Microbiol. 2011, 6, 62. [Google Scholar] [CrossRef]
- Rymovicz, A.U.M.; Souza, R.D.; Gursky, L.C.; Rosa, R.T.; Trevilatto, P.C.; Groppo, F.C.; Rosa, E.A.R. Screening of reducing agents for anaerobic growth of Candida albicans SC5314. J. Microbiol. Methods 2011, 84, 461–466. [Google Scholar] [CrossRef]
- Fukushima, R.S.; Weimer, P.J.; Kunz, D.A. Use of photocatalytic reduction to hasten preparation of culture media for saccharolytic Clostridium species. Braz. J. Microbiol. 2003, 34, 22–26. [Google Scholar] [CrossRef]
- Šarić, L.Ć.; Filipčev, B.V.; Šimurina, O.D.; Plavšić, D.V.; Šarić, B.M.; Lazarević, J.M.; Milovanović, I.L. Sugar beet molasses: Properties and applications in osmotic dehydration of fruits and vegetables. Food Feed Res. 2016, 43, 135–144. [Google Scholar] [CrossRef]
- Harris, R.S.; Mosher, L.M.; Bunker, J.W.M. The nutritional availability of iron in molasses. Am. J. Dig. Dis. 1939, 6, 459–462. [Google Scholar] [CrossRef]
- Khattak, W.A.; Khan, T.; Ha, J.H.; Ul-Islam, M.; Kang, M.; Park, J.K. Enhanced production of bioethanol from waste of beer fermentation broth at high temperature through consecutive batch strategy by simultaneous saccharification and fermentation. Enzyme Microb. Technol. 2013, 53, 322–330. [Google Scholar] [CrossRef] [PubMed]
- Sohrabvandi, S.; Mousavi, S.M.; Razavi, S.H.; Mortazavian, A.M.; Rezaei, K. Alcohol-free beer: Methods of production, sensorial defects, and healthful effects. Food Rev. Int. 2010, 26, 335–352. [Google Scholar] [CrossRef]
- Bugbee, W.M.; Cole, D.F.; Nielsen, G. Microflora and invert sugars in juice from healthy tissue of stored sugar beets. Appl. Microbiol. 1975, 29, 780–781. [Google Scholar]
- Detman, A.; Chojnacka, A.; Mielecki, D.; Blaszczyk, M.K.; Sikora, A. Inhibition of hydrogen-yielding dark fermentation by ascomycetous yeasts. Int. J. Hydrogen Energy 2018, 43, 10967–10979. [Google Scholar] [CrossRef]
- Periyasamy, S.; Venkatachalam, S.; Ramasamy, S.; Srinivasan, V. Production of bio-ethanol from sugar molasses using Saccharomyces cerevisiae. Mod. Appl. Sci. 2009, 3, 32–37. [Google Scholar] [CrossRef]
- Food and Feed Products. General Guidelines for the Determination of Nitrogen by the Kjeldahl Method; ISO 1871; ISO: Geneva, Switzerland, 2009.
- Compendium of International Methods of Analysis of Wines and Musts (2 Vol.); Method OIV-MA-AS2-04; OIV: Paris, France, 2018.
- Pitt, W.G.; Ross, S.A. Ultrasound increases the rate of bacterial cell growth. Biotechnol. Prog. 2003, 19, 1038–1044. [Google Scholar] [CrossRef] [PubMed]
- Irwin, S.V.; Fisher, P.; Graham, E.; Malek, A.; Robidoux, A. Sulfites inhibit the growth of four species of beneficial gut bacteria at concentrations regarded as safe for food. PLoS ONE 2017, 12, e0186629. [Google Scholar] [CrossRef] [PubMed]
- Mattern, K.L.; Evans, C.A.; Lara, J.C. Selective antibacterial action of 2-mercaptoethanol on propionibacteria in skin cultures. Appl. Environ. Microbiol. 1979, 37, 177–179. [Google Scholar]
- Kari, C.; Nagy, Z.; Kovacs, P.; Hernadi, F. Mechanism of the growth inhibitory effect of cysteine on Escherichia coli. J. Gen. Microbiol. 1971, 68, 349–356. [Google Scholar] [CrossRef] [PubMed]
- Atlas, R.M. Handbook of Microbiological Media, 4th ed.; CRC Press: New York, NY, USA, 2010. [Google Scholar]
- Konhauser, K.O.; Kappler, A.; Roden, E.E. Iron in microbial metabolisms. Elements 2011, 7, 89–93. [Google Scholar] [CrossRef]
- Bourdichon, F.; Casaregola, S.; Farrokh, C.; Frisvad, J.C.; Gerds, M.L.; Hammes, W.P.; Harnett, J.; Huys, G.; Laulund, S.; Ouwehand, A.; et al. Food fermentations: Microorganisms with technological beneficial use. Int. J. Food Microbiol. 2012, 154, 87–97. [Google Scholar] [CrossRef] [PubMed]
- Johnson, E.A. Biotechnology of non-Saccharomyces yeasts—The ascomycetes. Appl. Microbiol. Biotechnol. 2013, 97, 503–517. [Google Scholar] [CrossRef] [PubMed]
- Riley, R.; Haridas, S.; Wolfe, K.H.; Lopes, M.R.; Hittinger, C.T.; Göker, M.; Salamov, A.A.; Wisecaver, J.H.; Long, T.M.; Calvey, C.H.; et al. Comparative genomics of biotechnologically important yeasts. Proc. Natl. Acad. Sci. USA 2016, 113, 9882–9887. [Google Scholar] [CrossRef] [PubMed]
- Quirós, M.; Rojas, V.; Gonzalez, R.; Morales, R. Selection of non-Saccharomyces yeast strains for reducing alcohol levels in wine by sugar respiration. Int. J. Food Microbiol. 2014, 181, 85–91. [Google Scholar] [CrossRef]
- Glaser, H.-U.; Hofer, M. Effect of ethanol on cell growth, metabolism and cation fluxes in the yeast Metschnikowia reukaufii. J. Gen. Microbiol. 1990, 136, 1265–1270. [Google Scholar] [CrossRef]
- Sipiczki, M. Metschnikowia strains isolated from botrytized grapes antagonize fungal and bacterial growth by iron depletion. Appl. Environ. Microbiol. 2006, 72, 6716–6724. [Google Scholar] [CrossRef]
- Sisti, M.; Savini, V. Antifungal properties of the human Metschnikowia strain IHEM 25107. Folia Microbiol. 2014, 59, 263–266. [Google Scholar] [CrossRef]
- Leverentz, B.; Conway, W.S.; Janisiewicz, W.; Abadias, M.; Kurtzman, C.P.; Camp, M.J. Biocontrol of the food-borne pathogens Listeria monocytogenes and Salmonella enterica serovar Poona on fresh-cut apples with naturally occurring bacterial and yeast antagonists. Appl. Environ. Microbiol. 2006, 72, 1135–1140. [Google Scholar] [CrossRef]
- Canonico, L.; Ashoor, S.; Taccari, M.; Comitini, F.; Antonucci, M.; Truzzi, C.; Scarponi, G.; Ciani, M. Conversion of raw glycerol to microbial lipids by new Metschnikowia and Yarrowia lipolytica strains. Ann. Microbiol. 2016, 66, 1409–1418. [Google Scholar] [CrossRef]
- Ferreira, I.M.P.L.V.O.; Pinho, O.; Vieira, E.; Tavarela, J.G. Brewer’s Saccharomyces yeast biomass characteristics and potential applications. Trends Food Sci. Technol. 2010, 21, 77–84. [Google Scholar] [CrossRef]
- Li, X.; Li, Z.; Zheng, J.; Shi, Z.; Li, L. Yeast extract promotes phase shift of bio-butanol fermentation by Clostridium acetobutylicum ATCC824 using cassava as substrate. Bioresour. Technol. 2012, 125, 43–51. [Google Scholar] [CrossRef]
- Jeon, B.S.; Moon, C.; Kim, B.-C.; Kime, H.; Umc, Y.; Sang, B.-I. In situ extractive fermentation for the production of hexanoic acid from galactitol by Clostridium sp. BS-1. Enzyme Microb. Technol. 2013, 53, 143–151. [Google Scholar] [CrossRef] [PubMed]





and
MSB broths after supplementation with Metschnikowia sp. yeast and complete oxygen removal. Results obtained for control samples (without yeast treatment) were compared with those for samples inoculated with yeast biomass, using one-way repeated measures analysis of variance (ANOVA). Values with different letters are statistically different (p < 0.05). a: p ≥ 0.05; b: 0.005 < p < 0.05; c: p < 0.005.
and
MSB broths after supplementation with Metschnikowia sp. yeast and complete oxygen removal. Results obtained for control samples (without yeast treatment) were compared with those for samples inoculated with yeast biomass, using one-way repeated measures analysis of variance (ANOVA). Values with different letters are statistically different (p < 0.05). a: p ≥ 0.05; b: 0.005 < p < 0.05; c: p < 0.005.

| No | Dry Mass | Total Sugars | Sucrose | Inverted Sugar | Proteins | Ash | pH |
|---|---|---|---|---|---|---|---|
| 1 | 75.3 | 46.2 | 45.9 | 0.3 | 11 | 9.8 | 6.9 |
| 2 | 77.0 | 48.2 | 47.4 | 0.8 | 6.2 | 10.0 | 7.1 |
| 3 | 75.1 | 45.5 | 45.2 | 0.3 | 11 | 7.2 | 7.1 |
| Microbial Strain | Type of Cells | Agar Medium | Incubation Conditions | |
|---|---|---|---|---|
| Temperature | Time | |||
| Bacillus subtilis LOCK0819 | spores | TSA 1 (Merck) | 30 °C | 2 days |
| Candida humilis isolate [19] | vegetative cells | YPD 2 (Merck) | 25 °C | 2 days |
| Geotrichum candidum isolate [19] | arthrospores | YPD (Merck) | 25 °C | 5 days |
© 2019 by the authors. Licensee MDPI, Basel, Switzerland. This article is an open access article distributed under the terms and conditions of the Creative Commons Attribution (CC BY) license (http://creativecommons.org/licenses/by/4.0/).
Share and Cite
Pawlikowska, E.; Domanski, J.; Dziugan, P.; Berlowska, J.; Cieciura-Wloch, W.; Smigielski, K.; Kregiel, D. Comparison of Three Deoxidation Agents for Ozonated Broths Used in Anaerobic Biotechnological Processes. Processes 2019, 7, 65. https://doi.org/10.3390/pr7020065
Pawlikowska E, Domanski J, Dziugan P, Berlowska J, Cieciura-Wloch W, Smigielski K, Kregiel D. Comparison of Three Deoxidation Agents for Ozonated Broths Used in Anaerobic Biotechnological Processes. Processes. 2019; 7(2):65. https://doi.org/10.3390/pr7020065
Chicago/Turabian StylePawlikowska, Ewelina, Jaroslaw Domanski, Piotr Dziugan, Joanna Berlowska, Weronika Cieciura-Wloch, Krzysztof Smigielski, and Dorota Kregiel. 2019. "Comparison of Three Deoxidation Agents for Ozonated Broths Used in Anaerobic Biotechnological Processes" Processes 7, no. 2: 65. https://doi.org/10.3390/pr7020065
APA StylePawlikowska, E., Domanski, J., Dziugan, P., Berlowska, J., Cieciura-Wloch, W., Smigielski, K., & Kregiel, D. (2019). Comparison of Three Deoxidation Agents for Ozonated Broths Used in Anaerobic Biotechnological Processes. Processes, 7(2), 65. https://doi.org/10.3390/pr7020065

