Smart Community Energy Cost Optimization Taking User Comfort Level and Renewable Energy Consumption Rate into Consideration
Abstract
:1. Introduction
2. System Definition and Its Modelling
2.1. System Definition
2.2. Modelling of Distributed Power Systems
2.2.1. Modelling of Renewable Energy Generation Systems
- Modelling of Photovoltaic Generation
- Modelling of Wind Turbine Generation
2.2.2. Modelling of Fossil Power Generation Systems
2.2.3. Modelling of Distributed Energy Storage Systems
2.2.4. Modelling of Loads
3. System Optimization Strategy
3.1. Objective Function
3.2. Constraints
- Power Conservation
- Fuel Cell Operation Constraints
- Battery Operation Constraints
- User Comfort Level Constraints
- Renewable Energy Consumption Rate Constraints
4. Case Study
5. Results and Analysis
5.1. The Influence of Load-Scheduling on User Comfort Level
5.2. The Influence of Increasing Renewable Energy Consumption Rate on User Comfort Level
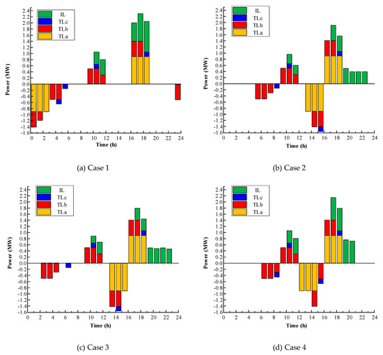
5.3. Optimal Load-Scheduling Results with Considering Comfort Level and Renewable Consummation Rate
6. Conclusions
Author Contributions
Funding
Conflicts of Interest
Nomenclature
| Nomenclature | Meaning | Nomenclature | Meaning |
| Ppv | Actual output power of PV generation | PSTC | Maximum output power under the standard test condition |
| Gs | Actual solar radiation intensity | GSTC | Solar radiation intensity under the standard test condition |
| k | A coefficient of temperature | Tc | Cell temperature |
| T0 | Reference ambient temperature | Pw | Actual output power of a wind turbine system |
| P0 | Rated power of a wind turbine system | vci | Cut-in speed of a wind turbine system |
| vr | Rated wind speed of a wind turbine system | vco | Cut-out speed of a wind turbine system |
| v | Actual wind speed of a wind turbine system | a, b | Power coefficients of a wind turbine system |
| Pfc | Output power of a fuel cell generator | Pfcin | Input power of a fuel cell generator |
| ηfc | Power generation efficiency of a fuel cell generator | SOCes (t) | Energy storage system state of charge at time t |
| δ | Self-discharge efficiency of an energy storage system | Pes (t) | Charging/discharging power of an energy storage system at time t |
| ηes (t) | Energy storage system charging/discharging efficiency at time t | △t | Time interval |
| Ees | Installation capacity of an energy storage system | HTLN (t) | Net transferable loads at time t |
| HTLC (t) | Original transferable loads at time period t | HTLI (t) | Transferable loads shifted into current time period t |
| HTLO (t) | Transferable loads shifted out to next period at time t | N | Total number of transferable loads |
| PTLCi (t) | The ith transferable load’s original electrical demands at time t | J | Total number of transferable loads shifted into current time t |
| PTLIm (t) | The mth transferable load’s power shifted into current time t | K | Total number of loads shifted out to next period at time t |
| PTLOn (t) | The nth transferable load’s power shifted out to next period at time t | HIL (t) | Total electrical loads need to be cut off at time t |
| △Pr_d (t) | Difference between predicted and actual renewable power generation at time t | fsr_u (t) | System up spinning reserve capacity |
| φTL | Coefficient of user comfort level relating to the transferable loads | ts | Actual start time of the transferable loads |
| tα | Expected start time | tβ | Expected end time |
| φIL | Coefficient of user comfort level relating to the interruptible loads | TIL | Number of time periods existing interruption loads |
| PILi | Actual interruption power in the ith time period | UIL | Total amount of actual interruption energy |
| C | Daily energy costs of a smart community | T | Total number of time period |
| M | Number of distributed power generators | Ci | Energy costs of the ith renewable generation |
| Pi (t) | Output power of the ith renewable generator at time t | △T | Scheduling time period |
| Cfc | Energy costs of a fuel cell generator | Cfuel | Fuel costs |
| Cop | Maintenance costs | Y | Total types of pollutant |
| Cyen | Penalty costs of the yth pollutant | Ppv (t) | Actual output power of PV generation at time t |
| Pw (t) | Actual output power of a wind turbine system at time t | Pfc (t) | Actual output power of a fuel cell generator at time t |
| Ploads (t) | Total amount of loads of a smart community at time t | Pfcmin | Minimum output power of a fuel cell generator |
| Pfcmax | Maximum output power of a fuel cell generator | △Pfcdmax | Maximum fuel cell down ramp rate |
| △Pfcumax | Maximum fuel cell up ramp rate | Pescmax | Maximum charging power of an energy storage system |
| Pesdmax | Maximum discharging power of an energy storage system | SOCesmin | Lower limit of energy storage SOC |
| SOCesmax | Upper limit of energy storage SOC | φILmax | Maximum coefficient of user comfort level relating to the interruptible loads |
| φTLmax | Maximum coefficient of user comfort level relating to the transferable loads | γ | Renewable energy consumption rate |
| γmin | Minimum renewable energy consumption rate | γmax | Maximum renewable energy consumption rate |
References
- Li, X.; Lu, R.; Liang, X.; Shen, X.; Chen, J.; Lin, X. Smart community: An internet of things application. IEEE Commun. Mag. 2011, 49, 68–75. [Google Scholar] [CrossRef]
- China Industrial Research Network. 2018 Development Investigation and Development Trend Analysis Report of China Smart Community. Available online: https://www.cir.cn/R_ITTongXun/25/ZhiHuiYuanQuDeXianZhuangHeFaZhanQuShi.html (accessed on 26 January 2019).
- Dewit, A. Chapter 21—Japanese Smart Communities as Industrial Policy. In Sustainable Cities & Communities Design Handbook; Elsevier: Amsterdam, The Netherlands, 2018. [Google Scholar]
- Smart and Connected Communities Framework 2015. Available online: https://www.nitrd.gov/sccc/materials/scccframework.pdf (accessed on 26 January 2019).
- Liang, Y.; Yu, B.; Wang, L. Costs and benefits of renewable energy development in China’s power industry. Renew. Energy 2019, 131, 700–712. [Google Scholar] [CrossRef]
- Sullivan, J.L.; Lewis, G.M.; Keoleian, G.A. Effect of mass on multimodal fuel consumption in moving people and freight in the U.S. Transp. Res. Part D Transp. Environ. 2018, 63, 786–808. [Google Scholar] [CrossRef]
- Khuong, P.M.; McKenna, R.; Fichtner, W. Analyzing drivers of renewable energy development in Southeast Asia countries with correlation and decomposition methods. J. Clean. Prod. 2019, 213, 710–722. [Google Scholar] [CrossRef]
- Zhong, S.; Niu, S.; Wang, Y. Research on Potential Evaluation and Sustainable Development of Rural Biomass Energy in Gansu Province of China. Sustainability 2018, 10, 3800. [Google Scholar] [CrossRef]
- Liu, Y.; Hu, S. Renewable Energy Pricing Driven Scheduling in Distributed Smart Community Systems. IEEE Trans. Parallel Distrib. Syst. 2017, 28, 1445–1456. [Google Scholar] [CrossRef]
- Huang, Z. Evaluating intelligent residential communities using multi-strategic weighting method in China. Energy Build. 2014, 69, 144–153. [Google Scholar] [CrossRef]
- Barone, G.; Brusco, G.; Burgio, A.; Menniti, D.; Pinnarelli, A.; Motta, M.; Sorrentino, N.; Vizza, P. A Real-Life Application of a Smart User Network. Energies 2018, 11, 3504. [Google Scholar] [CrossRef]
- Mohsenian-Rad, A.H.; Leon-Garcia, A. Optimal Residential Load Control with Price Prediction in Real-Time Electricity Pricing Environments. IEEE Trans. Smart Grid 2010, 1, 120–133. [Google Scholar] [CrossRef]
- Chavali, P.; Yang, P.; Nehorai, A. A Distributed Algorithm of Appliance Scheduling for Home Energy Management System. IEEE Trans. Smart Grid 2014, 5, 282–290. [Google Scholar] [CrossRef]
- Nguyen, D.T.; Le, L.B. Joint Optimization of Electric Vehicle and Home Energy Scheduling Considering User Comfort Preference. IEEE Trans. Smart Grid 2014, 5, 188–199. [Google Scholar] [CrossRef]
- Zhang, H.; Zhang, Q.; Gong, T.; Sun, H.; Su, X. Peak Load Regulation and Cost Optimization for Microgrids by Installing a Heat Storage Tank and a Portable Energy System. Appl. Sci. 2018, 8, 567. [Google Scholar] [CrossRef]
- Wu, X.; Liang, K.; Han, X. Renewable Energy Output Tracking Control Algorithm Based on the Temperature Control Load State-Queuing Model. Appl. Sci. 2018, 8, 1099. [Google Scholar] [CrossRef]
- Talavera, D.L.; Muñoz-Rodriguez, F.J.; Jimenez-Castillo, G.; Rus-Casas, C. A new approach to sizing the photovoltaic generator in self-consumption systems based on cost–competitiveness, maximizing direct self-consumption. Renew. Energy 2018, 130, 1021–1035. [Google Scholar] [CrossRef]
- Yang, J.; Zhang, W.; Zhang, Z. Impacts of urbanization on renewable energy consumption in China. J. Clean. Prod. 2015, 114, 443–451. [Google Scholar] [CrossRef]
- Materassi, D.; Bolognani, S.; Roozbehani, M.; Dahleh, M.A. Optimal Consumption Policies for Power-Constrained Flexible Loads Under Dynamic Pricing. IEEE Trans. Smart Grid 2015, 6, 1884–1892. [Google Scholar] [CrossRef]
- Xu, Z.; Callaway, D.S.; Hu, Z.; Song, Y. Hierarchical Coordination of Heterogeneous Flexible Loads. IEEE Trans. Power Syst. 2016, 31, 4206–4216. [Google Scholar] [CrossRef]
- Yu, D.; Liu, H.; Bresser, C. Peak load management based on hybrid power generation and demand response. Energy 2018, 163, 969–985. [Google Scholar] [CrossRef]
- Nojavan, S.; Ghesmati, H.; Zare, K. Robust optimal offering strategy of large consumer using IGDT considering demand response programs. Electr. Power Syst. Res. 2016, 130, 46–58. [Google Scholar] [CrossRef]
- Dubey, A.; Santoso, S. Electric Vehicle Charging on Residential Distribution Systems: Impacts and Mitigations. IEEE Access 2015, 3, 1871–1893. [Google Scholar] [CrossRef]
- Wang, D.D.; Toshiyuki, S. Climate change mitigation targets set by global firms: Overview and implications for renewable energy. Renew. Sustain. Energy Rev. 2018, 94, 386–398. [Google Scholar] [CrossRef]
- Abdelsamad, S.F.; Morsi, W.G.; Sidhu, T.S. Probabilistic Impact of Transportation Electrification on the Loss-of-Life of Distribution Transformers in the Presence of Rooftop Solar Photovoltaic. IEEE Trans. Sustain. Energy 2015, 6, 1565–1573. [Google Scholar] [CrossRef]
- Mathew, D.; Rani, C.; Rajesh Kumar, M.; Wang, Y.; Binns, R.; Busawon, K. Wind-Driven Optimization Technique for Estimation of Solar Photovoltaic Parameters. IEEE J. Photovolt. 2018, 8, 248–256. [Google Scholar] [CrossRef]
- Wang, G.; Tan, Z.; Tan, Q.; Yang, S.; Lin, H.; Ji, X.; Gejirifu, D.; Song, X. Multi-Objective Robust Scheduling Optimization Model of Wind, Photovoltaic Power, and BESS Based on the Pareto Principle. Sustainability 2019, 11, 305. [Google Scholar] [CrossRef]
- Lindahl, P.A.; Shaw, S.R.; Leeb, S.B. Fuel Cell Stack Emulation for Cell and Hardware-in-the-Loop Testing. IEEE Trans. Instrum. Meas. 2018, 67, 214–2152. [Google Scholar] [CrossRef]
- Ma, H.; Wang, B.; Gao, W.; Liu, D.; Sun, Y.; Liu, Z. Optimal Scheduling of an Regional Integrated Energy System with Energy Storage Systems for Service Regulation. Energies 2018, 11, 195. [Google Scholar] [CrossRef]
- Mavrotas, G.; Karmellos, M. Multi-objective optimization and comparison framework for the design of Distributed Energy Systems. Energy Convers. Manag. 2019, 180, 473–495. [Google Scholar]
- Vahidi, A.; Kolmanovsky, I.; Stefanopoulou, A. Constraint Handling in a Fuel Cell System: A Fast Reference Governor Approach. IEEE Trans. Control Syst. Technol. 2007, 15, 86–98. [Google Scholar] [CrossRef]
- Li, K.; Yan, H.; He, G.; Zhu, C.; Liu, K.; Liu, Y. Seasonal Operation Strategy Optimization for Integrated Energy Systems with Considering System Cooling Loads Independently. Processes 2018, 6, 202. [Google Scholar] [CrossRef]
- Liu, H.; Li, D.; Liu, Y.; Dong, M.; Liu, X.; Zhang, H. Sizing Hybrid Energy Storage Systems for Distributed Power Systems under Multi-Time Scales. Appl. Sci. 2018, 8, 1453. [Google Scholar] [CrossRef]







| Distributed Generators | Rated Parameters | Value |
|---|---|---|
| Fuel cell | Ramp-up rate (MW/h) | 1.5 |
| Energy storage | Maximum discharge power (MW) | 2 |
| Maximum charging power (MW) | 1.5 | |
| Overall efficiency | 80% | |
| SOC | 20~90% |
| Natural Gas Price ($/m3) | Time Period |
|---|---|
| 0.45 | 23:00–05:00; 13:00–15:00 |
| 0.6 | 05:00–09:00; 15:00–17:00; 20:00–23:00 |
| 0.75 | 09:00–13:00; 17:00–20:00 |
| Renewable Energy Consumption Rate | Average Daily Energy Costs ($) | User Comfort Level | Energy Storage System | ||
|---|---|---|---|---|---|
| φTL | φIL | Range of SOC | Total Energy Interaction (MWh) | ||
| 82.5% | 8894.9 | 28.5 | 0.182 | 20%–88.7% | 3.92 |
| 85% | 8915.4 | 28.5 | 0.184 | 20%–88.1% | 3.98 |
| 90% | 8944.7 | 29 | 0.187 | 20%–87.3% | 4.11 |
| 95% | 9010.5 | 31.5 | 0.193 | 20%–85.9% | 4.37 |
| 100% | 9295.2 | 36.5 | 0.213 | 20%–80.2% | 5.31 |
© 2019 by the authors. Licensee MDPI, Basel, Switzerland. This article is an open access article distributed under the terms and conditions of the Creative Commons Attribution (CC BY) license (http://creativecommons.org/licenses/by/4.0/).
Share and Cite
Shi, K.; Li, D.; Gong, T.; Dong, M.; Gong, F.; Sun, Y. Smart Community Energy Cost Optimization Taking User Comfort Level and Renewable Energy Consumption Rate into Consideration. Processes 2019, 7, 63. https://doi.org/10.3390/pr7020063
Shi K, Li D, Gong T, Dong M, Gong F, Sun Y. Smart Community Energy Cost Optimization Taking User Comfort Level and Renewable Energy Consumption Rate into Consideration. Processes. 2019; 7(2):63. https://doi.org/10.3390/pr7020063
Chicago/Turabian StyleShi, Kun, Dezhi Li, Taorong Gong, Mingyu Dong, Feixiang Gong, and Yajie Sun. 2019. "Smart Community Energy Cost Optimization Taking User Comfort Level and Renewable Energy Consumption Rate into Consideration" Processes 7, no. 2: 63. https://doi.org/10.3390/pr7020063
APA StyleShi, K., Li, D., Gong, T., Dong, M., Gong, F., & Sun, Y. (2019). Smart Community Energy Cost Optimization Taking User Comfort Level and Renewable Energy Consumption Rate into Consideration. Processes, 7(2), 63. https://doi.org/10.3390/pr7020063
