CFD Simulation on Hydrodynamic Behaviors of Anaerobic Granule Swarms
Abstract
1. Introduction
2. Theory
2.1. Governing Equations
2.2. Particle Distribution and Computational Domain
3. Results
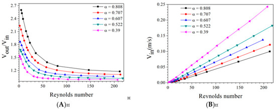
3.1. Velocity Distribution Inside Anaerobic Granule Swarms
3.2. Shear Stress on Anaerobic Granule Swarms
3.3. Drag Force Coefficient of Anaerobic Granule Swarms
4. Conclusions
Author Contributions
Funding
Conflicts of Interest
References
- Alphenaar, P.A.; Perez, M.C.; Berkel, W.J.H.V.; Lettinga, G. Determination of the permeability and porosity of anaerobic sludge granules by size exclusion chromatography. Appl. Microbiol. Biotechnol. 1992, 36, 795–799. [Google Scholar] [CrossRef]
- Mu, Y.; Yu, H.Q.; Wang, G. Permeabilities of anaerobic CH4-producing granules. Water Res. 2006, 40, 1811–1815. [Google Scholar] [CrossRef] [PubMed]
- Chu, C.P.; Lee, D.J. Multiscale structures of biological flocs. Chem. Eng. Sci. 2004, 59, 1875–1883. [Google Scholar] [CrossRef]
- Tsou, G.W.; Wu, R.M.; Yen, P.S.; Lee, D.J.; Peng, X.F. Advective Flow and Floc Permeability. J. Colloid Interface Sci. 2002, 250, 400–408. [Google Scholar] [CrossRef] [PubMed][Green Version]
- Yang, Z.; Peng, X.F.; Lee, D.J.; Ay, S. Advective flow in spherical floc. J. Colloid Interface Sci. 2007, 308, 451–495. [Google Scholar] [CrossRef]
- Mao, Z.; Yang, C. Challenges in Study of Single Particles and Particle Swarms. Chin. J. Chem. Eng. 2009, 17, 535–545. [Google Scholar] [CrossRef]
- Tobiś, J. Influence of bed geometry on its frictional resistance under turbulent flow conditions. Chem. Eng. Sci. 2000, 55, 5359–5366. [Google Scholar] [CrossRef]
- Magnico, P. Hydrodynamic and transport properties of packed beds in small tube-to-sphere diameter ratio: Pore scale simulation using a Eulerian and a Lagrangian approach. Chem. Eng. Sci. 2003, 58, 5005–5024. [Google Scholar] [CrossRef]
- Rong, L.W.; Dong, K.J.; Yu, A.B. Lattice-Boltzmann simulation of fluid flow through packed beds of uniform spheres: Effect of porosity. Chem. Eng. Sci. 2013, 99, 44–58. [Google Scholar] [CrossRef]
- Liu, L.; Sheng, G.P.; Li, W.W.; Zeng, R.J.; Yu, H.Q. Experimental and numerical analysis of the hydrodynamic behaviors of aerobic granules. AIChE J. 2011, 57, 2909–2916. [Google Scholar] [CrossRef]
- Veerapaneni, S.; Wiesner, M.R. Hydrodynamics of Fractal Aggregates with Radially Varying Permeability. J. Colloid Interface Sci. 1996, 177, 45–57. [Google Scholar] [CrossRef] [PubMed]
- Pan, K.; Su, K.; Zhang, S.; Sun, Z.; Xu, D.; Liu, S. Hydrodynamics and permeability of aerobic granular sludge: The effect of intragranular characteristics and hydraulic conditions. Biochem. Eng. J. 2016, 113, 133–140. [Google Scholar] [CrossRef]
- Dong, X.; Wang, S.; Geng, Z.; Li, Y.; Zhang, M. Experimental and numerical analysis on the hydrodynamic behaviors of permeable microbial granules. Adv. Powder Technol. 2019, 30, 1462–1472. [Google Scholar] [CrossRef]
- Feng, Y.Q.; Yu, A.B. Assessment of Model Formulations in the Discrete Particle Simulation of Gas−Solid Flow. Ind. Eng. Chem. Res. 2004, 43, 8378–8390. [Google Scholar] [CrossRef]
- Zhou, Z.Y.; Kuang, S.B.; Chu, K.W.; Yu, A.B. Discrete particle simulation of particle-fluid flow: Model formulations and their applicability. J. Fluid Mech. 2010, 661, 482–510. [Google Scholar] [CrossRef]
- Mu, Y.; Ren, T.T.; Yu, H.Q. Drag Coefficient of Porous and Permeable Microbial Granule. Environ. Sci. Technol. 2008, 42, 1718–1723. [Google Scholar] [CrossRef]
- STAR-CCM+. Siemens. Available online: http://mdx.plm.automation.siemens.com (accessed on 5 November 2019).
- Eppinger, T.; Seidler, K.; Kraume, M. DEM-CFD simulations of fixed bed reactors with small tube to particle diameter ratios. Chem. Eng. J. 2011, 166, 324–331. [Google Scholar] [CrossRef]
- Tay, J.H.; Liu, Q.S.; Liu, Y. Aerobic granulation in sequential sludge blanket reactor. Water Sci. Technol. 2002, 46, 13. [Google Scholar] [CrossRef]
- Tay, J.H.; Liu, Q.S.; Liu, Y. The effects of shear force on the formation, structure and metabolism of aerobic granules. Appl. Microbiol. Biotechnol. 2001, 57, 227–233. [Google Scholar]
- Xue, Y.; Guo, J.; Lian, J.; Zhang, Y.; Zhang, C.; Zhao, Y. Effects of a higher hydraulic shear force on denitrification granulation in upflow anoxic sludge blanket reactors. Biochem. Eng. J. 2016, 105, 136–143. [Google Scholar] [CrossRef]
- Dallavalle, J.M. Micromeritics: The Technology of Fine Particles, 2nd ed.; PitmanPublishing Corporation: London, UK, 1948. [Google Scholar]
- Wen, C.Y.; Yu, Y.H. A generalized method for predicting the minimum fluidization velocity. AIChE J. 1966, 12, 610–612. [Google Scholar] [CrossRef]
- Felice, R.D. The voidage function for fluid-particle interaction systems. Int. J. Multiph. Flow 1994, 20, 153–159. [Google Scholar] [CrossRef]
- Chen, X.G.; Zheng, P.; Cai, J.; Qaisar, M. Bed expansion behavior and sensitivity analysis for super-high-rate anaerobic bioreactor. J. Zhejiang Univ. Sci. B 2010, 11, 79–86. [Google Scholar] [CrossRef] [PubMed]










© 2019 by the authors. Licensee MDPI, Basel, Switzerland. This article is an open access article distributed under the terms and conditions of the Creative Commons Attribution (CC BY) license (http://creativecommons.org/licenses/by/4.0/).
Share and Cite
Dong, X.; Wang, S.; Geng, Z. CFD Simulation on Hydrodynamic Behaviors of Anaerobic Granule Swarms. Processes 2019, 7, 880. https://doi.org/10.3390/pr7120880
Dong X, Wang S, Geng Z. CFD Simulation on Hydrodynamic Behaviors of Anaerobic Granule Swarms. Processes. 2019; 7(12):880. https://doi.org/10.3390/pr7120880
Chicago/Turabian StyleDong, Xiuqin, Sheng Wang, and Zhongfeng Geng. 2019. "CFD Simulation on Hydrodynamic Behaviors of Anaerobic Granule Swarms" Processes 7, no. 12: 880. https://doi.org/10.3390/pr7120880
APA StyleDong, X., Wang, S., & Geng, Z. (2019). CFD Simulation on Hydrodynamic Behaviors of Anaerobic Granule Swarms. Processes, 7(12), 880. https://doi.org/10.3390/pr7120880

