Performance Improvement of a Grid-Tied Neutral-Point-Clamped 3-φ Transformerless Inverter Using Model Predictive Control
Abstract
1. Introduction
- Apply the MPC controller to the proposed system with appropriate consideration of the LC filter and grid impedance.
- Discuss the effect of the MPC on performance factors, such as the earth leakage current, grid current THD, and efficiency.
- Compare the performance of the system using the MPC controller with the system that used the proportional–integral (PI) controller.
2. System Description
3. System Modelling
- Boost converter losses are neglected.
- Voltage drops and leakage currents of all the switching devices are neglected.
- Snubber circuits are neglected.
- The grid internal impedance is taken into consideration.
3.1. Photovoltaic Panel Model
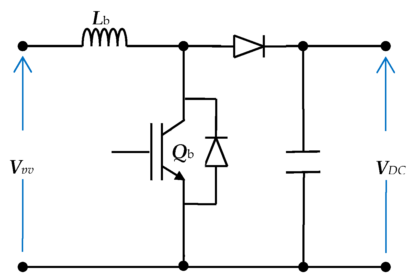
3.2. Boost Converter Dynamic Model
3.3. Three-Level Inverter and Filter Model
3.3.1. State Space Form of the 3-φ Transformerless Inverter Model
3.3.2. Discrete-Time Prediction of the 3-φ Transformerless Inverter Model
4. System Controllers
4.1. MPPT Controller
4.2. DC Link Voltage Controller
4.3. NPC Inverter Controller Implemented Using the MPC Algorithm
Cost Function (F)
5. Simulation Results
6. Conclusions
- (1)
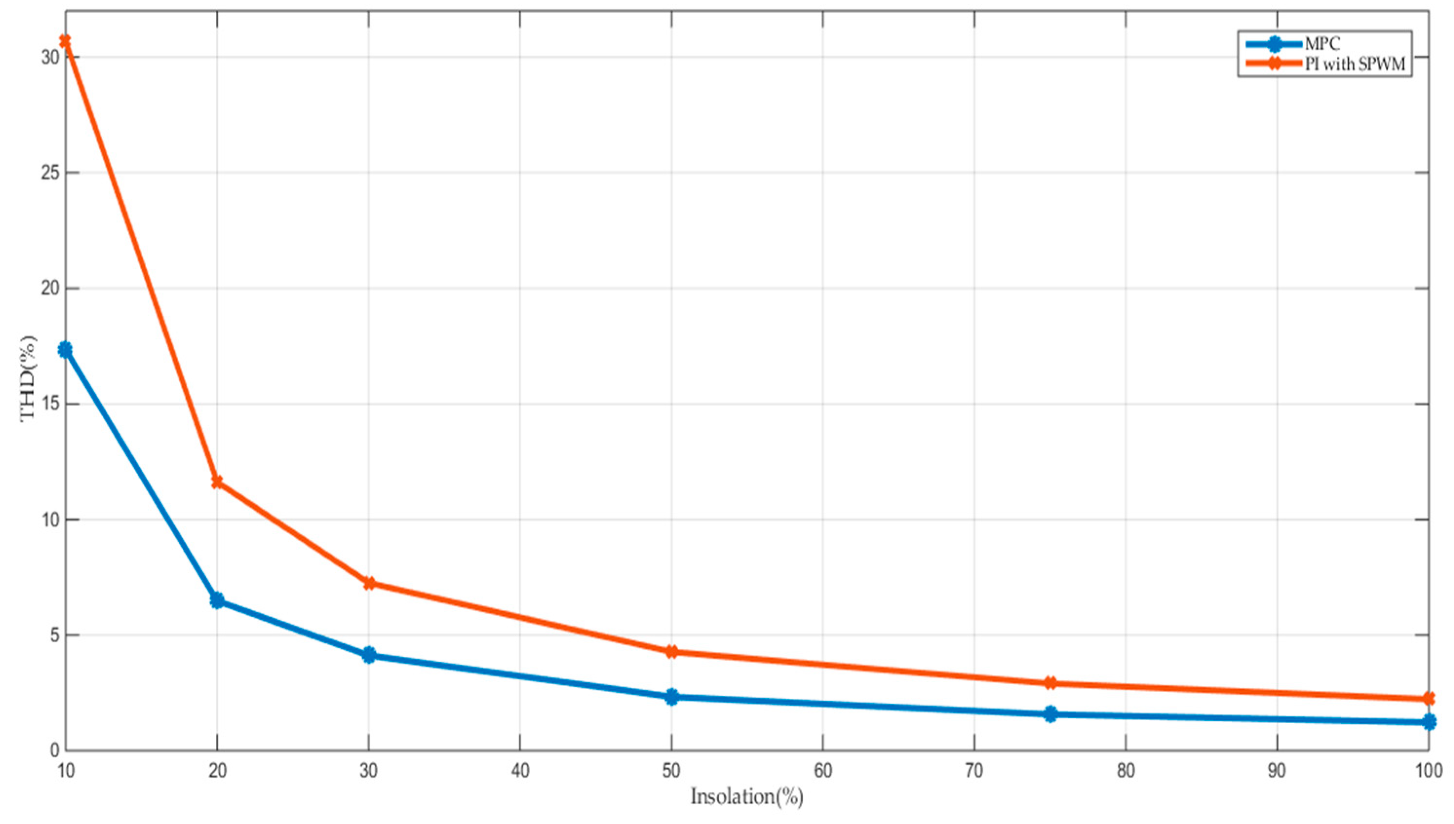
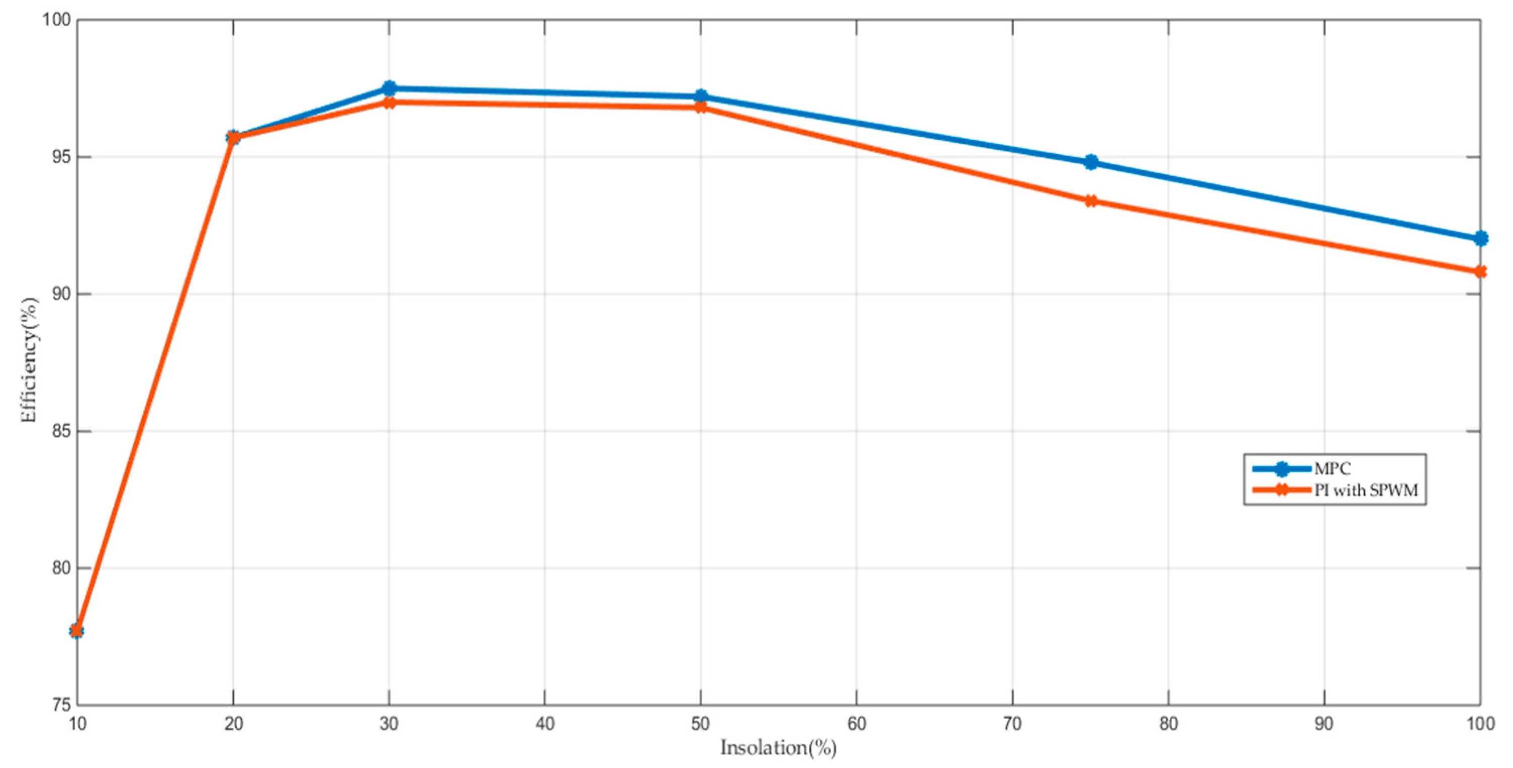
- The MPC controller had the best performance for all factors of comparison.
- (2)
- The 3-φ grid currents, with the two controllers, were sinusoidal and in phase with the grid voltage (i.e., unity power factor).
- (3)
- The grid current THD with the MPC controller was 1.22% and 2.23% for the PI controller.
- (4)
- The leakage current in the MPC case was less than one-third of the value of the PI controller case.
- (5)
- The efficiency of the system that used the MPC was improved compared to the system that used the PI current controller with SPW modulation.
Author Contributions
Funding
Conflicts of Interest
Nomenclatures
| CMV | Common-mode voltage |
| CMC | Common-mode current |
| Cearth | The leakage capacitance |
| DPWM | Discontinuous PWM |
| DSP | Digital signal processor |
| F | The cost function |
| Ig | The grid current vector |
| If | The filter current vector |
| Iearth | The earth leakage current |
| ISC | The panel short circuit current |
| (igα, igβ) | The real and imaginary components of Ig |
| (i*gα, i*gβ) | The real and imaginary components of the grid current reference |
| lg | The source inductance |
| Lb | The boost converter input inductance |
| (Lf, Cf) | The filter inductance and capacitance. |
| MPP | The maximum power point |
| MPC | Model predictive control. |
| MPPT | Maximum power point tracking |
| NPC | Neutral-point-clamped. |
| RSPWM | Remote-state PWM |
| (Rp, Rs) | The model parallel and series resistances |
| SPWM | Sinusoidal pulse width modulation |
| SVPWM | Space vector pulse width modulation |
| THD | Total harmonic distortion |
| Ts | The sampling time |
| (ua, ub, and uc ) | The 3-φ quantities |
| u | The equivalent space vector |
| (Vpv, Ipv) | The PV terminal voltage and current |
| VDC | The DC link voltage |
| Vc | The filter capacitor voltage vector |
| Vi | The inverter voltage vector |
| ZSI | Z-Source Inverter |
| ZVR | Zero-voltage state rectifier |
| ηχ | Californian efficiency |
References
- Kerekes, T.; Teodorescu, R.; Liserre, M.; Klumpner, C.; Sumner, M. Evaluation of three-phase transformerless photovoltaic inverter topologies. IEEE Trans. Power Electron. 2009, 24, 2202–2211. [Google Scholar] [CrossRef]
- Cavalcanti, M.C.; De Oliveira, K.C.; De Farias, A.M.; Neves, F.A.; Azevedo, G.M.; Camboim, F.C. Modulation techniques to eliminate leakage currents in transformerless three-phase photovoltaic systems. IEEE Trans. Ind. Electron. 2009, 57, 1360–1368. [Google Scholar] [CrossRef]
- Gupta, A.K.; Agrawal, H.; Agarwal, V. A Novel Three-Phase Transformerless H-8 Topology With Reduced Leakage Current for Grid-Tied Solar PV Applications. IEEE Trans. Ind. Appl. 2018, 55, 1765–1774. [Google Scholar] [CrossRef]
- Cavalcanti, M.C.; Farias, A.M.; Oliveira, K.C.; Neves, F.A.; Afonso, J.L. Eliminating leakage currents in neutral point clamped inverters for photovoltaic systems. IEEE Trans. Ind. Electron. 2011, 59, 435–443. [Google Scholar] [CrossRef]
- González, R.; Lopez, J.; Sanchis, P.; Marroyo, L. Transformerless inverter for single-phase photovoltaic systems. IEEE Trans. Power Electron. 2007, 22, 693–697. [Google Scholar] [CrossRef]
- Xiao, H.; Xie, S.; Chen, Y.; Huang, R. An optimized transformerless photovoltaic grid-connected inverter. IEEE Trans. Ind. Electron. 2010, 58, 1887–1895. [Google Scholar] [CrossRef]
- Kerekes, T.; Teodorescu, R.; Rodríguez, P.; Vázquez, G.; Aldabas, E. A new high-efficiency single-phase transformerless PV inverter topology. IEEE Trans. Ind. Electron. 2009, 58, 184–191. [Google Scholar] [CrossRef]
- Freddy, T.K.S.; Rahim, N.A.; Hew, W.P.; Che, H.S. Comparison and analysis of single-phase transformerless grid-connected PV inverters. IEEE Trans. Power Electron. 2013, 29, 5358–5369. [Google Scholar] [CrossRef]
- Bradaschia, F.; Cavalcanti, M.C.; Ferraz, P.E.; Neves, F.A.; dos Santos, E.C.; da Silva, J.H. Modulation for three-phase transformerless Z-source inverter to reduce leakage currents in photovoltaic systems. IEEE Trans. Ind. Electron. 2011, 58, 5385–5395. [Google Scholar] [CrossRef]
- Guo, X. Three-phase CH7 inverter with a new space vector modulation to reduce leakage current for transformerless photovoltaic systems. IEEE J. Emerg. Sel. Top. Power Electron. 2017, 5, 708–712. [Google Scholar] [CrossRef]
- Freddy, T.K.S.; Rahim, N.A.; Hew, W.P.; Che, H.S. Modulation techniques to reduce leakage current in three-phase transformerless H7 photovoltaic inverter. IEEE Trans. Ind. Electron. 2014, 62, 322–331. [Google Scholar] [CrossRef]
- Guo, X.; Zhang, X.; Guan, H.; Kerekes, T.; Blaabjerg, F. Three-phase ZVR topology and modulation strategy for transformerless PV system. IEEE Trans. Power Electron. 2018, 34, 1017–1021. [Google Scholar] [CrossRef]
- Krishna, R.A.; Suresh, L.P. A brief review on multilevel inverter topologies. In Proceedings of the International Conference on Circuit, Power and Computing Technologies (ICCPCT), Nagercoil, India, 18–19 March 2016; pp. 1–6. [Google Scholar] [CrossRef]
- Akbari, A.; Poloei, F.; Bakhshai, A. A Brief Review on State-of-the-art Grid-connected Inverters for Photovoltaic Applications. In Proceedings of the IEEE 28th International Symposium on Industrial Electronics (ISIE), Vancouver, BC, Canada, 12–14 June 2019; pp. 1023–1028. [Google Scholar] [CrossRef]
- Zhang, H.; Jouanne, A.V.; Dai, S.; Wallace, A.K.; Wang, F. Multilevel inverter modulation schemes to eliminate common-mode voltages. IEEE Trans. Ind. Appl. 2000, 36, 1645–1653. [Google Scholar] [CrossRef]
- Alepuz, S.; Busquets-Monge, S.; Bordonau, J.; Gago, J.; Gonzalez, D.; Balcells, J. Interfacing Renewable Energy Sources to the Utility Grid Using a Three-Level Inverter. IEEE Trans. Ind. Electron. 2006, 53, 1504–1511. [Google Scholar] [CrossRef]
- Correa, P.; Rodriguez, J.; Rivera, M.; Espinoza, J.R.; Kolar, J.W. Predictive Control of an Indirect Matrix Converter. IEEE Trans. Ind. Electron. 2009, 56, 1847–1853. [Google Scholar] [CrossRef]
- Mohamed, I.S.; Zaid, S.A.; Elsayed, H.M.; Abu-Elyazeed, M.F. Implementation of model predictive control for three-phase inverter with output LC filter on eZdsp F28335 Kit using HIL simulation. Int. J. Model. Identif. Control 2016, 25, 301–312. [Google Scholar] [CrossRef]
- Gulbudak, O.; Santi, E. A predictive control scheme for a dual output indirect matrix converter. In Proceedings of the IEEE Applied Power Electronics Conference and Exposition (APEC), Charlotte, NC, USA, 15–19 March 2015; pp. 2828–2834. [Google Scholar] [CrossRef]
- Vazquez, S.; Leon, J.; Franquelo, L.; Rodriguez, J.; Young, H.A.; Marquez, A.; Zanchetta, P. Model Predictive Control: A Review of Its Applications in Power Electronics. IEEE Ind. Electron. Mag. 2014, 8, 16–31. [Google Scholar] [CrossRef]
- Corts, P.; Kazmierkowski, M.P.; Kennel, R.M.; Quevedo, D.E.; Rodrguez, J. Predictive control in power electronics and drives. IEEE Trans. Ind. Electron. 2008, 55, 4312–4324. [Google Scholar] [CrossRef]
- Corts, P.; Ortiz, G.; Yuz, J.I.; Rodrguez, J.; Vazquez, S.; Franquelo, L.G. Model predictive control of an inverter with output LC filter for UPS applications. IEEE Trans. Ind. Electron. 2009, 56, 1875–1883. [Google Scholar] [CrossRef]
- Mohamed, I.S.; Zaid, S.A.; Elsayed, H.M.; Abu-Elyazeed, M.F. Improved model predictive control for three-phase inverter with output LC filter. Int. J. Model. Identif. Control 2015, 23, 371–379. [Google Scholar] [CrossRef]
- Wang, J. Model Predictive of Power Electronic Converter. Master’s Thesis, Norwegian University of Science and Technology, Norway, Trondheim, 2012. [Google Scholar]
- Vaccari, M.; Pannocchia, G. A Modifier-Adaptation Strategy towards Offset-Free Economic MPC. Processes 2017, 5, 2. [Google Scholar] [CrossRef]
- Li, W.; Kong, D.; Xu, Q.; Wang, X.; Zhao, X.; Li, Y.; Han, H.; Wang, W.; Chen, Z. A Wind Farm Active Power Dispatch Strategy Considering the Wind Turbine Power-Tracking Characteristic via Model Predictive Control. Processes 2019, 7, 530. [Google Scholar] [CrossRef]
- Xiaodong, W.; Zou, J.; Ma, L.; Zhao, J.; Xie, C.; Li, K.; Meng, L.; Guerrero, J.M. Model predictive control methods of leakage current elimination for a three-level T-type transformerless PV inverter. IET Power Electron. 2018, 11, 1492–1498. [Google Scholar] [CrossRef]
- Vargas, R.; Cortes, P.; Ammann, U.; Rodriguez, J.; Pontt, J. Predictive Control of a Three-Phase Neutral-Point-Clamped Inverter. IEEE Trans. Ind. Electron. 2007, 54, 2697–2705. [Google Scholar] [CrossRef]
- Rockhill, A.A.; Liserre, M.; Teodorescu, R.; Rodriguez, P. Grid-Filter Design for a Multimegawatt Medium-Voltage Voltage-Source Inverter. IEEE Trans. Ind. Electron. 2011, 58, 1205–1217. [Google Scholar] [CrossRef]
- Zaid, S.A.; Kassem, A.M. Review, analysis and improving the utilization factor of a PV-grid connected system via HERIC transformerless approach. Renew. Sustain. Energy Rev. 2017, 73, 1061–1069. [Google Scholar] [CrossRef]
- Liserre, M.; Teodorescu, R.; Blaabjerg, F. Stability of photovoltaic and wind turbine grid-connected inverters for a large set of grid impedance values. IEEE Trans. Power Electron. 2006, 21, 263–272. [Google Scholar] [CrossRef]
- Atia, Y. Photovoltaic Maximum Power Point Tracking Using SEPIC Converter. Eng. Res. J. 2009, 36, 33–40. [Google Scholar]
- Rashid, M. Power Electronics Handbook, 2nd ed.; Elsevier Academic Press: Amsterdam, The Netherlands, 2011. [Google Scholar]
- Husain, M.A.; Tariq, A.; Hameed, S.; Arif, M.S.B.; Jain, A. Comparative assessment of maximum power point tracking procedures for photovoltaic systems. Green Energy Environ. 2017, 2, 5–17. [Google Scholar] [CrossRef]
- Das, P. Maximum power tracking based open-circuit voltage method for PV system. Energy Procedia 2016, 90, 2–13. [Google Scholar] [CrossRef]
- Elbalawi, H.; Zaid, S.A. H5 Transformerless Inverter for Grid Connected PV System with Improved Utilization Factor and Simple Maximum Power Point Algorithm. Energies 2018, 11, 2912. [Google Scholar] [CrossRef]
- Schmidt, H.; Burger, B.; Siedle, C. Gefährdungspotenzial transformatorloser Wechselrichter—Fakten und Gerüchte. In Proceedings of the 18th Symposium Photovoltaische Sonnenenergie, Staffelstein, Germany, 12–14 March 2003; pp. 89–98. [Google Scholar]















| Parameter | Value |
|---|---|
| PV SC current | 24.53 A |
| PV OC voltage | 633 V |
| Cearth | 100 nF |
| VDC | 650 V |
| Cf | 2 µF |
| Lf | 3 mH |
| Utility voltage | 230 V |
| Utility frequency | 50 Hz |
| PWM carrier frequency | 10 KHz |
| DC link capacitor | 1000 µF |
| Ts | 35 µs |
© 2019 by the authors. Licensee MDPI, Basel, Switzerland. This article is an open access article distributed under the terms and conditions of the Creative Commons Attribution (CC BY) license (http://creativecommons.org/licenses/by/4.0/).
Share and Cite
Albalawi, H.; Zaid, S.A. Performance Improvement of a Grid-Tied Neutral-Point-Clamped 3-φ Transformerless Inverter Using Model Predictive Control. Processes 2019, 7, 856. https://doi.org/10.3390/pr7110856
Albalawi H, Zaid SA. Performance Improvement of a Grid-Tied Neutral-Point-Clamped 3-φ Transformerless Inverter Using Model Predictive Control. Processes. 2019; 7(11):856. https://doi.org/10.3390/pr7110856
Chicago/Turabian StyleAlbalawi, Hani, and Sherif A. Zaid. 2019. "Performance Improvement of a Grid-Tied Neutral-Point-Clamped 3-φ Transformerless Inverter Using Model Predictive Control" Processes 7, no. 11: 856. https://doi.org/10.3390/pr7110856
APA StyleAlbalawi, H., & Zaid, S. A. (2019). Performance Improvement of a Grid-Tied Neutral-Point-Clamped 3-φ Transformerless Inverter Using Model Predictive Control. Processes, 7(11), 856. https://doi.org/10.3390/pr7110856

