Study on the Preparation and Hydration Properties of a New Cementitious Material for Tailings Discharge
Abstract
1. Introduction
2. Materials and Methods
2.1. Materials
2.1.1. Water and Binders
2.1.2. Tailings
2.1.3. NCM Ingredients
2.1.4. Preparation of CPDT samples
2.2. Experimental Methods
2.2.1. The UCS Experiment
2.2.2. The XRD Experiment
2.2.3. The TG/DTG Experiment
2.2.4. The SEM Experiment
2.2.5. The MIP Experiment
3. Results and Discussion
3.1. Compound Activator Dosage Optimization
3.2. The Crystalline Phases and Amount of Hydration Products of NCM and OPC
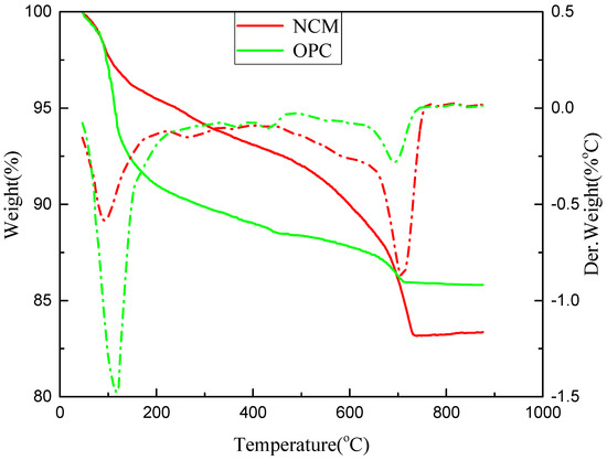
3.3. The Hydration Mechanism of NCM and OPC
3.4. The Pore Size Distribution of CPDT Samples with NCM and OPC
4. Conclusions and Future Work
Author Contributions
Funding
Conflicts of Interest
References
- Li, W.; Fall, M. Sulphate effect on the early age strength and self-desiccation of cemented paste backfill. Constr. Build. Mater. 2016, 106, 296–304. [Google Scholar] [CrossRef]
- Kesimal, A.; Ercikdi, B.; Yilmaz, E. The effect of desliming by sedimentation on paste backfill performance. Miner. Eng. 2003, 16, 1009–1011. [Google Scholar] [CrossRef]
- Khademi, H.; Abbaspour, A.; Martínez-Martínez, S.; Gabarrón, M.; Shahrokh, V.; Faz, A.; Acosta, J.A. Provenance and environmental risk of windblown materials from mine tailing ponds, Murcia, Spain. Environ. Pollut. 2018, 241, 432–440. [Google Scholar] [CrossRef] [PubMed]
- He, Z.; Wu, C. Research of Risk Assessment System on Tailings Pond Water Pollution. Procedia Eng. 2011, 26, 1788–1797. [Google Scholar] [CrossRef]
- Wang, T.; Zhou, Y.; Lv, Q.; Zhu, Y.; Jiang, C. A safety assessment of the new Xiangyun phosphogypsum tailings pond. Miner. Eng. 2011, 24, 1084–1090. [Google Scholar] [CrossRef]
- Milanović, P.T. Dam Engineering and Its Environmental Aspects; Springer: New York, NY, USA, 2012. [Google Scholar]
- Zhang, L.; Huang, Y.; Wu, X.; Skibniewski, M.J. Risk-based estimate for operational safety in complex projects under uncertainty. Appl. Soft Comput. 2017, 54, 108–120. [Google Scholar] [CrossRef]
- Mei, G.D. Quantitative Assessment Method Study Based on Weakness Theory of Dam Failure Risks in Tailings Dam. Procedia Eng. 2011, 26, 1827–1834. [Google Scholar] [CrossRef]
- Men, Y.; Cai, J. Safety Status and Accident Control Measures of Tailings Storage in China. Chin. J. China Safe Prod. Sci. Technol. 2009, 5, 48–52. [Google Scholar] [CrossRef]
- He, Z.; Tian, S.; Sui, L.; Xie, W. Mine Tailings Emission Status and Effective Ways of Disposal. Chin. J. Min. Technol. 2008, 8, 78–80. [Google Scholar] [CrossRef]
- Hou, Y.; Tang, J.; Wei, S. Study on Tailings Consolidation Emissions Technology. Chin. J. Met. Mine 2011, 06, 59–62. [Google Scholar]
- Fall, M.; Pokharel, M. Coupled effects of sulphate and temperature on the strength development of cemented tailings backfills: Portland cement-paste backfill. Cem. Concr. Compos. 2010, 32, 819–828. [Google Scholar] [CrossRef]
- Li, W.; Zhou, X.; Liao, M.; Lin, Q. Research and Practice of Cement Filling Substitute Materials. Chin. J. Min. Technol. 2011, 11, 19–21. [Google Scholar] [CrossRef]
- Kim, G.; Khalid, H.R.; Kim, H.J.; Lee, H.K. Alkali activated slag pastes with surface-modified blast furnace slag. Cem. Concr. Compos. 2017, 76, 39–47. [Google Scholar] [CrossRef]
- Bong, S.; Hoon, H.; Yong, C. Effects of aluminate rich slag on compressive strength, drying shrinkage and microstructure of blast furnace slag cement. Constr. Build. Mater. 2017, 140, 293–300. [Google Scholar] [CrossRef]
- Zhu, J. High Temperature Resistance of Alkali Slag Cementitious Materials and Its Application in Engineering. Ph.D.Thesis, Harbin Institute of Technology, Harbin, China, 2014. [Google Scholar]
- Fu, X.; Hou, W.; Yang, C.; Li, D.; Wu, X. Studies on Portland cement with large amount of slag. Cem. Concr. Res. 2000, 30, 645–649. [Google Scholar] [CrossRef]
- Escalante, J.I.; Gómez, L.Y.; Johal, K.K.; Mendoza, G.; Mancha, H.; Méndez, J. Reactivity of blast-furnace slag in Portland cement blends hydrated under different conditions. Cem. Concr. Res. 2001, 31, 1403–1409. [Google Scholar] [CrossRef]
- Agyei, N.M.; Strydom, C.A.; Potgieter, J.H. The removal of phosphate ions from aqueous solution by fly ash, slag, ordinary Portland cement and related blends. Cem. Concr. Res. 2002, 32, 1889–1897. [Google Scholar] [CrossRef]
- Motz, H.; Geiseler, J. Products of steel slags an opportunity to save natural resources. Waste Manag. 2001, 21, 285. [Google Scholar] [CrossRef]
- Vuk, T.; Tinta, V.; Gabrovšek, R.; Kaučič, V. The effects of limestone addition, clinker type and fineness on properties of Portland cement. Cem. Concr. Res. 2001, 31, 135–139. [Google Scholar] [CrossRef]
- He, X.; Ma, M.; Su, Y.; Lan, M.; Zheng, Z.; Wang, T.; Strnadela, B.; Zeng, S. The effect of ultrahigh volume ultrafine blast furnace slag on the properties of cement pastes. Constr. Build. Mater. 2018, 189, 438–447. [Google Scholar] [CrossRef]
- Yin, K.; Ahamed, A.; Lisak, G. Experimental investigation on the relationship between pore characteristics and unconfined compressive strength of cemented paste backfill. Waste Manag. 2018, 78, 401–416. [Google Scholar] [CrossRef]
- Cihangir, F.; Ercikdi, B.; Kesimal, A.; Turan, A.; Deveci, H. Utilisation of alkali-activated blast furnace slag in paste backfill of high-sulphidemill tailings: Effect of binder type and dosage. Miner. Eng. 2012, 30, 33–43. [Google Scholar] [CrossRef]
- Haha, M.B.; Lothenbach, B.; Saout, L.; Winnefeld, F. Influence of slag chemistry on the hydration of alkali-activated blast-furnace slag—Part I: Effect of MgO. Cem. Concr. Res. 2011, 41, 955–963. [Google Scholar] [CrossRef]
- Yang, S.; Arvanitis, A.; Cao, Z.; Sun, X.; Dong, J. Synthesis of Silicalite Membrane with an Aluminum-Containing Surface for Controlled Modification of Zeolitic Pore Entries for Enhanced Gas Separation. Processes 2018, 6, 13. [Google Scholar] [CrossRef]
- To, A. Characterization of Microscopic Pore Structures of Rock Salt through Mercury Injection and Nitrogen Absorption Tests. Geofluids 2018, 2018, 9427361. [Google Scholar] [CrossRef]
- Pokharel, M.; Fall, M. Combined influence of sulphate and temperature on the saturated hydraulic conductivity of hardened cemented paste backfill. Cem. Concr. Compos. 2013, 38, 21–28. [Google Scholar] [CrossRef]
- Bentz, D.P. A review of early-age properties of cement-based materials. Cem. Concr. Res. 2008, 38, 196–204. [Google Scholar] [CrossRef]
- Tian, B.; Cohen, M.D. Does gypsum formation during sulfate attack on concrete lead to expansion? Cem. Concr. Res. 2000, 30, 117–123. [Google Scholar] [CrossRef]
- Zhu, G.; Zheng, H.; Zhang, Z.; Tshukudu, T.; Zhang, P.; Xiang, X. Characterization and coagulation–flocculation behavior of polymeric aluminum ferric sulfate (PAFS). Chem. Eng. J. 2011, 178, 50–59. [Google Scholar] [CrossRef]
- Yang, X.; Wang, J.; Hou, D.; Zhu, C.; He, M. Effect of Dry-Wet Cycling on the Mechanical Properties of Rocks: A Laboratory-Scale Experimental Study. Processes 2018, 6, 199. [Google Scholar] [CrossRef]
- You, Z.; Lai, Y.; Zhang, M.; Liu, E. Quantitative analysis for the effect of microstructure on the mechanical strength of frozen silty clay with different contents of sodium sulfate. Environ. Earth Sci. 2017, 76, 143. [Google Scholar] [CrossRef]
- Wu, S.; Yang, J.; Yang, R.; Zhu, J.; Liu, S.; Wang, C. Investigation of microscopic air void structure of anti-freezing asphalt pavement with X-ray CT and MIP. Constr. Build. Mater. 2018, 178, 473–483. [Google Scholar] [CrossRef]
- Ghirian, A.; Fall, M. Coupled Behavior of Cemented Paste Backfill at Early Ages. Geotech. Geol. Eng. 2015, 33, 1141–1166. [Google Scholar] [CrossRef]
- Zhang, Z.L.; Cui, Z.D. Effects of freezing-thawing and cyclic loading on pore size distribution of silty clay by mercury intrusion porosimetry. Cold Reg. Sci. Technol. 2018, 145, 185–196. [Google Scholar] [CrossRef]
- Cui, Z.; Tang, Y. Microstructures of different soil layers caused by the high-rise building group in Shanghai. Environ. Earth Sci. 2011, 63, 109–119. [Google Scholar] [CrossRef]
- Zhang, L.M.; Li, X. MicroPorosity Structure of Coarse Granular Soils. J. Geotech. Geoenviron. Eng. 2010, 136, 1425–1436. [Google Scholar] [CrossRef]
- Cui, L.; Fall, M. An evolutive elasto-plastic model for cemented paste backfill. Comput. Geotech. 2016, 71, 19–29. [Google Scholar] [CrossRef]
- Zhou, Q.; Glasser, F. Thermal Stability and Decomposition Mechanisms of Ettringite at <120 °C. Cem. Concr. Res. 2001, 31, 1333–1339. [Google Scholar] [CrossRef]
- Alarconruiz, L.; Platret, G.; Massieu, E.; Ehrlacher, A. The use of thermal analysis in assessing the effect of temperature on a cement paste. Cem. Concr. Res. 2005, 35, 609–613. [Google Scholar] [CrossRef]
- Fall, M.; Célestin, J.C.; Pokharel, M.; Touré, M. A contribution to understanding the effects of curing temperature on the mechanical properties of mine cemented tailings backfill. Eng. Geol. 2010, 114, 397–413. [Google Scholar] [CrossRef]














| Element Unit | d10/μm | d30/μm | d50/μm | d60/μm | d90/μm | Cu | Cc |
|---|---|---|---|---|---|---|---|
| Tailings | 14.55 | 26.61 | 38.32 | 54.27 | 82.33 | 3.73 | 0.89 |
| Element Unit | MgO (wt.%) | Al2O3 (wt.%) | SiO2 (wt.%) | CaO (wt.%) | SO3 (wt.%) | Fe2O3 (wt.%) | Total |
|---|---|---|---|---|---|---|---|
| Tailings | 2.41 | 3.85 | 82.05 | 2.46 | 0.18 | 8.01 | 98.96 |
| Slag | 8.38 | 14.79 | 33.81 | 36.95 | 0.28 | 0.89 | 95.09 |
| Clinker | 2.45 | 4.47 | 22.01 | 64.31 | 2.45 | 3.45 | 99.14 |
| Gypsum | 2.14 | 0.12 | 0.98 | 45.85 | 42.45 | 0.11 | 91.66 |
| Lime | 0.56 | 0.23 | 0.38 | 72.29 | 0.13 | 0.26 | 73.84 |
| OPC | 2.19 | 15.49 | 21.86 | 63.59 | 2.42 | 2.66 | 96.97 |
| Numbering | Concentration (%) | w/c | Cementitious Material Mass Fraction (%) | Compressive Strength (Mpa) | |||||
|---|---|---|---|---|---|---|---|---|---|
| X1 | X2 | X3 | X4 | 3 Day | 7 Day | 28 Day | |||
| H-1 | 78 | 5.6:1 | 12 | 4 | 8 | 76 | 0.607 | 1.384 | 2.536 |
| H-2 | 78 | 5.6:1 | 12 | 6 | 10 | 72 | 0.861 | 1.879 | 2.623 |
| H-3 | 78 | 5.6:1 | 12 | 8 | 12 | 68 | 0.811 | 1.835 | 2.466 |
| H-4 | 78 | 5.6:1 | 14 | 4 | 10 | 72 | 0.863 | 1.626 | 2.502 |
| H-5 | 78 | 5.6:1 | 14 | 6 | 12 | 68 | 0.896 | 1.941 | 2.673 |
| H-6 | 78 | 5.6:1 | 14 | 8 | 8 | 70 | 0.707 | 1.826 | 2.549 |
| H-7 | 78 | 5.6:1 | 16 | 4 | 12 | 68 | 0.724 | 1.273 | 1.774 |
| H-8 | 78 | 5.6:1 | 16 | 6 | 8 | 70 | 0.726 | 1.611 | 2.333 |
| H-9 | 78 | 5.6:1 | 16 | 8 | 10 | 66 | 0.782 | 1.766 | 2.303 |
| Ages/Day | Factor | Clinker | Lime | Gypsum | Influence Sequence | Optimum Combination | ||
|---|---|---|---|---|---|---|---|---|
| 3 | Average of UCS/MPa | Level 1 | 0.760 | 0.731 | 0.680 | X3 > X2 > X1 | X1(Level 2) X2(Level 2) X3(Level 2) | |
| Level 2 | 0.869 | 0.875 | 0.835 | |||||
| Level 3 | 0.744 | 0.767 | 0.810 | |||||
| R 1/MPa | 0.125 | 0.144 | 0.178 | |||||
| 7 | Average of UCS/MPa | Level 1 | 1.699 | 1.428 | 1.607 | X2 > X1 > X3 | X1(Level 2) X2(Level 2) X3(Level 2) | |
| Level 2 | 1.798 | 1.810 | 1.757 | |||||
| Level 3 | 1.550 | 1.809 | 1.683 | |||||
| R/MPa | 0.248 | 0.382 | 0.150 | |||||
| 28 | Average of UCS/MPa | Level 1 | 2.542 | 2.271 | 2.473 | X1 > X2 > X3 | X1(Level 2) X2(Level 2) X3(Level 2) | |
| Level 2 | 2.575 | 2.543 | 2.476 | |||||
| Level 3 | 2.137 | 2.439 | 2.304 | |||||
| R/MPa | 0.438 | 0.272 | 0.172 | |||||
| Ages/Day | Source of Variance | Deviation | Degrees of Freedom | Mean Square Deviation | F | Significance | Closure Probability |
|---|---|---|---|---|---|---|---|
| 3 | X1 | 0.028 | 2 | 0.014 | 8.225 | X3 > X2 > X1 | 0.108 |
| X2 | 0.034 | 2 | 0.017 | 9.884 | 0.092 | ||
| X3 | 0.056 | 2 | 0.028 | 16.518 | 0.057 | ||
| Error | 0.003 | 2 | 0.002 | ||||
| 7 | X1 | 0.093 | 2 | 0.047 | 38.231 | X2 >X1 > X3 | 0.025 |
| X2 | 0.292 | 2 | 0.146 | 119.578 | 0.008 | ||
| X3 | 0.034 | 2 | 0.017 | 13.829 | 0.067 | ||
| Error | 0.002 | 2 | 0.001 | ||||
| 28 | X1 | 0.357 | 2 | 0.178 | 6.544 | X1 > X2 >X3 | 0.133 |
| X2 | 0.113 | 2 | 0.057 | 2.078 | 0.325 | ||
| X3 | 0.058 | 2 | 0.029 | 1.060 | 0.485 | ||
| Error | 0.055 | 2 | 0.027 |
| Cementitious Materials | The UCS | ||
|---|---|---|---|
| 3 Day | 7 Day | 28 Day | |
| Samples with NCM | 0.545 | 1.453 | 2.181 |
| Samples with OPC | 0.344 | 0.853 | 1.943 |
© 2019 by the authors. Licensee MDPI, Basel, Switzerland. This article is an open access article distributed under the terms and conditions of the Creative Commons Attribution (CC BY) license (http://creativecommons.org/licenses/by/4.0/).
Share and Cite
Hou, Y.; Ding, P.; Han, D.; Zhang, X.; Cao, S. Study on the Preparation and Hydration Properties of a New Cementitious Material for Tailings Discharge. Processes 2019, 7, 47. https://doi.org/10.3390/pr7010047
Hou Y, Ding P, Han D, Zhang X, Cao S. Study on the Preparation and Hydration Properties of a New Cementitious Material for Tailings Discharge. Processes. 2019; 7(1):47. https://doi.org/10.3390/pr7010047
Chicago/Turabian StyleHou, Yunbing, Pengchu Ding, Dong Han, Xing Zhang, and Shuxiong Cao. 2019. "Study on the Preparation and Hydration Properties of a New Cementitious Material for Tailings Discharge" Processes 7, no. 1: 47. https://doi.org/10.3390/pr7010047
APA StyleHou, Y., Ding, P., Han, D., Zhang, X., & Cao, S. (2019). Study on the Preparation and Hydration Properties of a New Cementitious Material for Tailings Discharge. Processes, 7(1), 47. https://doi.org/10.3390/pr7010047

