Bleaching of Neutral Cotton Seed Oil Using Organic Activated Carbon in a Batch System: Kinetics and Adsorption Isotherms
Abstract
:1. Introduction
2. Material and Methods
2.1. Preparation of the Activated Carbon
2.1.1. Carbonization of the Seed Husks
2.1.2. Physicochemical Characterization of the Prepared Activated Carbons
Liquid Phase Adsorption Tests
2.2. Evaluation of the Use of Activated Carbons by the Bleaching of Neutral Cotton Seed Oil
Determination of Adsorption Isotherms of the Oil
3. Results and Discussion
3.1. Quantity of Burn-Off
3.2. Liquid Phase Adsorption Tests
3.3. Identification of Functional Groups at the Surface of the ACs
3.4. Adsorption Kinetics of Neutral Cottonseed on the ACs
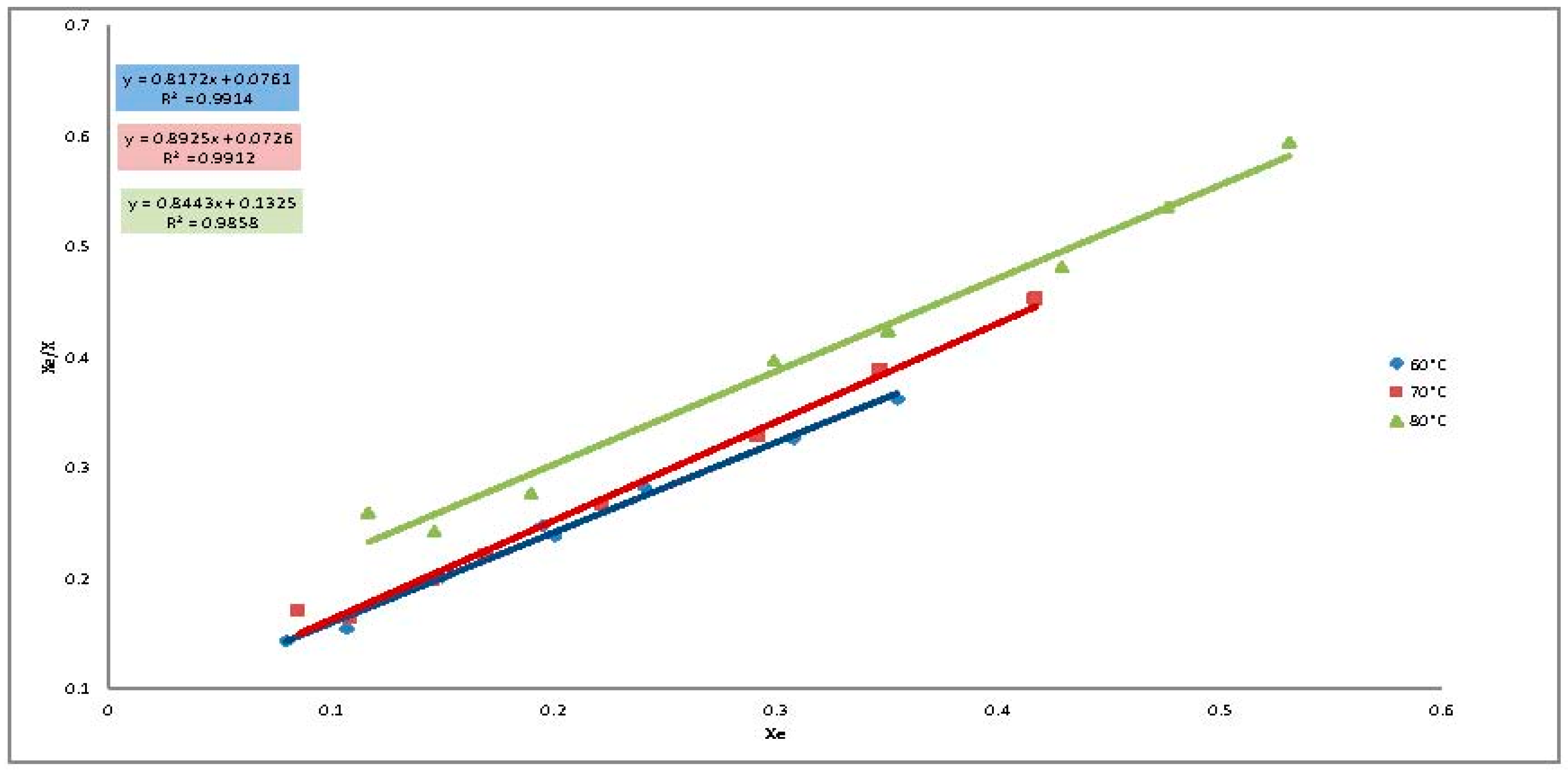
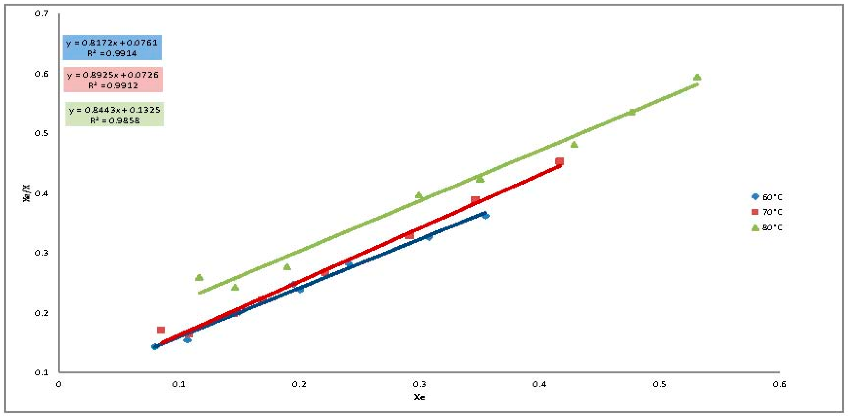
Adsorption Isotherms
4. Conclusions
Acknowledgments
Author Contributions
Conflicts of Interest
Abbreviations
| A | The Absorbance of the bleached cotton seed oil |
| a | The quantity of pigment adsorbed at monolayer or the maximum coverage (mg/g) |
| A0 | The absorbance of the neutral cotton seed oil |
| AC | Activated Carbon |
| C0 | Initial concentration of MB (mg/L) |
| Cr | Residual concentration of MB (mg/L) |
| IC | Iodine value |
| k | The intraparticle diffusion coefficient and C |
| KF | The Freundlich adsorption equilibrium constant (g/mg) |
| KL | The Langmuir adsorption equilibrium constant (g/mg) |
| kp | The rate constant (g/mg min) of the pseudo-second-order model |
| m | The mass of the adsorbent (g) |
| MB | Methylene Blue |
| Qads | Quantity of MB adsorbed per unit mass of activated carbon (in mg/g) |
| qe | The adsorption capacity (mg/g) at equilibrium |
| qt | The amount (mg/g) of material adsorbed at time t |
| t | The adsorption time |
| V | The Volume of the solution (l) |
| X/m | The relative quantity of pigments adsorbed per gram of adsorbent |
| Xe | The quantity of residual pigments |
| Y1 | The quantity of raw material carbonized and |
| Y2 | The quantity of AC obtained |
References
- Yakout, S.M.; Sharaf, E.G. Characterization of activated carbon prepared by phosphoric acid activation of olive stones. Arab. J. Chem. 2016, 9, S1155–S1162. [Google Scholar] [CrossRef]
- Xu, L.; Zheng, X.; Cui, H.; Zhu, Z.; Liang, J.; Zhou, J. Equilibrium, Kinetic, and Thermodynamic Studies on the Adsorption of Cadmium from Aqueous Solution by Modified Biomass Ash. Bioinorg. Chem. Appl. 2017. [Google Scholar] [CrossRef] [PubMed]
- Qiu, H.; Lv, L.; Pan, B.C.; Zhang, Q.J.; Zhang, W.M.; Zhang, Q.X. Critical review in adsorption kinetic models. J. Zhejiang Univ. Sci. 2009, 10, 716–724. [Google Scholar] [CrossRef]
- Argun, M.E.; Dursun, S.; Ozdemir, C.; Karatas, M. Heavy metal adsorption by modified oak sawdust: Thermodynamics and kinetics. J. Hazard. Mater. 2007, 141, 77–85. [Google Scholar] [CrossRef] [PubMed]
- Lin, J.; Zhao, G. Preparation and Characterization of High Surface Area Activated Carbon Fibers from Lignin. Polymers 2016, 8, 369. [Google Scholar] [CrossRef]
- Wafa, J. Décoloration des Huiles Végétales sur des Argiles Étude de la Stabilité Physicochimique des Huiles Décolorées, Diplôme D’études Approfondies en Chimie Organique; Faculté des Sciences de Sfax: Sfax, Tunisie, 2002. [Google Scholar]
- Chennouf-Abdellatif, Z.; Cheknane, B.; Zermane, F.; Gaigneaux, E.M.; Sadok, A.H.; Mohammedi, O.; Bouchenafa-Saib, N. Preparation of activated carbon based on synthetic and agricultural wastes: Application to the adsorption of methyl orange. Rev. Energ. Renouv. 2015, 18, 575–586. [Google Scholar]
- Moving beyond Colour. Alfa Laval Bleaching Processes for Fats and Oils. Available online: https://www.scribd.com/document/343094446/bleaching-processes-pdf (accessed on 17 July 2017).
- Norit Activated Carbon for Purification of Edible Oils, Document No. Info21-03/Edible Oils. Available online: http://www.vulcascot.co.at/media/content/downloads/norit_edible_oils.pdf (accessed on 17 July 2017).
- Julien, O.; Lydie, C. Evaluation de Charbons Actifs en Poudre (CAP) Pour L’élimination des Micropolluants Dans Eaux Résiduaires Urbaines, Ecole Polytechnique de Lausanne. 2010. Available online: https://www.grese.ch/Doc/Micropolluants/Evaluation%20de%20charbons%20actifs%20en%20poudre.pdf (accessed on 10 August 2017).
- Yuliusman, N.; Sanal, A.; Bernama, A.; Haris, F.; Ramadhan, I.T. Preparation of activated carbon from waste plastics polyethylene terephthalate as adsorbent in natural gas. In IOP Conference Series: Materials Science and Engineering; IOP Publishing: Bristol, UK, 2017; Volume 176, p. 012055. [Google Scholar]
- Tsai, W.T.; Change, C.Y.; Ing, C.H.; Change, C.F. Adsorption of acid dyes from aqueous solution on activated bleaching earth. J. Colloid Interface Sci. 2004, 275, 72–78. [Google Scholar] [CrossRef] [PubMed]
- ASTM D-4607-94 (Reapproved 2006). Standard Test Method for Determination of Iodine Number of Activated Carbon. Available online: https://www.researchgate.net/file.PostFileLoader.html?id...assetKey (accessed on 3 August 2017).
- Bamba, D. Elimination du Diuron des Eaux par des Techniques Utilisant les Ressources Naturelles de la côte D’ivoire: Photocatalyse Solaire et Charbon Actif de Coques de Noix de Coco. Ph.D. Thesis, Universités de Cocody-Abidjan, Abidjan, Cote D’Ivoire, 2007. [Google Scholar]
- Dubinin, M.M.; Zaverina, E.D. Surface and sorption properties of active-carbons. Russ. Chem. Bull. 1955, 4, 531–538. [Google Scholar] [CrossRef]








| Sample | Carboxylic | Lactone | Phenolics | Acidic | Basic |
|---|---|---|---|---|---|
| Cotton | 0.0114 | 0.0052 | 0.0080 | 0.0246 | 0.0662 |
| Neem | 0.0171 | 0.0078 | 0.0120 | 0.0369 | 0.0497 |
| AC | T (°C) | Intra-Particle Diffusion Model | Pseudo-Second Order Model | ||||
|---|---|---|---|---|---|---|---|
| k | C | R2 | kp | qe | R2 | ||
| ACC | 60 | 0.073 | 0.272 | 0.980 | 287.10 | 0.0627 | 0.981 |
| 70 | 0.093 | 0.099 | 0.945 | 572.74 | 0.0459 | 0.996 | |
| 80 | 0.097 | 0.042 | 0.963 | 804.33 | 0.0393 | 0.992 | |
| ACN | 60 | 0.063 | 0.385 | 0.978 | 170.36 | 0.0806 | 0.988 |
| 70 | 0.069 | 0.301 | 0.977 | 258.85 | 0.0654 | 0.983 | |
| 80 | 0.059 | 0.297 | 0.991 | 227.14 | 0.0652 | 0.990 | |
| Model | Langmuir | Freundlich | ||||||||||
|---|---|---|---|---|---|---|---|---|---|---|---|---|
| AC | CAC | CAN | CAC | CAN | ||||||||
| Constant | a | KL | R2 | A | KL | R2 | n | KF | N | KF | R2 | |
| 60 °C | 1.224 | 16.11 | 0.991 | 1.091 | 18.20 | 0.983 | 0.403 | 1.226 | 0.941 | 0.225 | 1.146 | 0.909 |
| 70 °C | 1.121 | 15.57 | 0.991 | 1.065 | 21.30 | 0.979 | 0.333 | 1.321 | 0.903 | 0.224 | 1.161 | 0.858 |
| 80 °C | 1.185 | 8.976 | 0.985 | 0.902 | 32.20 | 0.996 | 0.344 | 1.422 | 0.989 | 0.205 | 1.098 | 0.956 |
© 2018 by the authors. Licensee MDPI, Basel, Switzerland. This article is an open access article distributed under the terms and conditions of the Creative Commons Attribution (CC BY) license (http://creativecommons.org/licenses/by/4.0/).
Share and Cite
Chetima, A.; Wahabou, A.; Zomegni, G.; Ntieche Rahman, A.; Bup Nde, D. Bleaching of Neutral Cotton Seed Oil Using Organic Activated Carbon in a Batch System: Kinetics and Adsorption Isotherms. Processes 2018, 6, 22. https://doi.org/10.3390/pr6030022
Chetima A, Wahabou A, Zomegni G, Ntieche Rahman A, Bup Nde D. Bleaching of Neutral Cotton Seed Oil Using Organic Activated Carbon in a Batch System: Kinetics and Adsorption Isotherms. Processes. 2018; 6(3):22. https://doi.org/10.3390/pr6030022
Chicago/Turabian StyleChetima, Abba, Abdoul Wahabou, Gaston Zomegni, Abdoul Ntieche Rahman, and Divine Bup Nde. 2018. "Bleaching of Neutral Cotton Seed Oil Using Organic Activated Carbon in a Batch System: Kinetics and Adsorption Isotherms" Processes 6, no. 3: 22. https://doi.org/10.3390/pr6030022
APA StyleChetima, A., Wahabou, A., Zomegni, G., Ntieche Rahman, A., & Bup Nde, D. (2018). Bleaching of Neutral Cotton Seed Oil Using Organic Activated Carbon in a Batch System: Kinetics and Adsorption Isotherms. Processes, 6(3), 22. https://doi.org/10.3390/pr6030022
