Next Article in Journal
Effects of Increasing Microbial Fertilizers on Phenolic Acids in Fritillaria taipaiensis P. Y. Li Soil
Previous Article in Journal
Experimental and Numerical Simulation Study on the Effect of CO2/N2 Dilution on the Generation of Soot in Ethylene Laminar Diffusion Flames
Previous Article in Special Issue
Study on the Impact of Photovoltaics on Surface Wind and Evaporation over Water Surfaces
 
 
Font Type:
Arial Georgia Verdana
Font Size:
Aa Aa Aa
Line Spacing:
Column Width:
Background:
Article

Study on the Influence of Inflow Direction on the Entrainment Effect of Blockages in the Open Intake Channel of Nuclear Power Plants

1
CNNP Guodian Zhangzhou Energy Co., Ltd., Zhangzhou 363300, China
2
China Institute of Water Resources and Hydropower Research, Beijing 100038, China
*
Authors to whom correspondence should be addressed.
Processes 2026, 14(7), 1036; https://doi.org/10.3390/pr14071036
Submission received: 26 February 2026 / Revised: 19 March 2026 / Accepted: 23 March 2026 / Published: 24 March 2026
(This article belongs to the Special Issue Advances in Hydrodynamics, Pollution and Bioavailable Transfers)

Abstract

In recent years, frequent blockage of water intake structures at nuclear power plants (NPPs) by marine organisms has increased the risk of cooling source loss for the plants. Optimizing the layout of water intake structure to actively avoid or divert blockages near the intake entrance is one of the effective measures for cooling source risk prevention and control, and relevant research remains scarce at present. Taking a certain NPP as the research object, this paper simulates the flow field and particle transport in the sea area around the water intake based on a hydrodynamic-particle coupling model. A method for determining the maximum water source range and critical tidal conditions under risk source uncertainty is proposed. The flow pattern and entrainment risks of different open channel inlet types are compared. The results show that when the water intake open channel is arranged perpendicular to the ambient flow, a large recirculation zone exists at the intake entrance. Simply increasing the width at the intake entrance by expanding the local opening has an insignificant effect on reducing the water intake velocity and entrainment risk, while adopting additional side opening intake plays a certain role in dispersing the water intake entrainment intensity. The research results provide a basis for the optimal design and operation of water intake at NPPs.

1. Introduction

In recent years, coastal nuclear power plants in China have experienced successive water intake blockage incidents caused by marine organisms—such as phytoplankton, seagrass, jellyfish, and fish—as well as non-biological materials including ice, debris, and sediment [1]. In April 2018, Units 1 and 2 of the Changjiang Nuclear Power Plant in Hainan were successively shut down due to an outbreak of Sargassum. In March 2020, a large influx of shrimp entered the seawater circulation filtration system of the Yangjiang Nuclear Power Plant, leading to the automatic shutdown of six units and causing disturbances to the Guangdong power grid. In July 2023, the Hongyanhe Nuclear Power Plant experienced an influx of moon jellyfish (Aurelia aurita) at its intake, resulting in power reduction in Units 1–4 [2]. Frequent marine organism intrusions have significantly affected the safety and economic efficiency of power plant operations, prompting increased attention from government authorities on the prevention and control of cold source blockage risks. Recent reviews have systematically summarized the risk and prevention strategies for cooling water intake blockage in coastal nuclear power plants, highlighting the need for integrated hydrodynamic-biological approaches [3,4].
Predicting the intrusion pathways of blockages driven by tidal currents is essential for developing effective prevention and control measures at water intakes. Existing studies have predominantly employed mathematical models to simulate the movement trajectories of non-motile marine organisms (such as algae) and floating debris. Lin Jianwei et al. [5], based on a hydrodynamic modeling study of the Zhanggang Sea Area in Changle City, applied a particle tracking method to simulate the drift trajectories of Coelomactra antiquata larvae before and after the reclamation of the Outer Wenwu Bay, thereby assessing the impact of reclamation on the distribution of larval resources. Huang Juan et al. [6], utilizing a three-dimensional fully dynamic POM ocean model and incorporating multi-source observational and monitoring data of the Yellow Sea green tides from 2008 to 2009, employed the Lagrangian particle-tracking method to conduct emergency predictions of green tide drift trajectories, taking into account the blocking effects of obstacles such as oil booms and drift nets near the Olympic Sailing Competition area. Li Risong et al. [7] simulated the drift trajectories of Ulva prolifera in the Yellow Sea using the FVCOM ocean model coupled with Lagrangian particle tracking. Ji Huifeng et al. [8] employed the MIKE3 model to simulate the three-dimensional hydrodynamics and green tide drift and diffusion in key areas of the Jiangsu radial sandbars, predicted the drift pathways of green tides in Jiangsu coastal waters, and compared the results with satellite remote sensing observations. Chu Qinqin et al. [9], based on the three-dimensional hydrodynamic model ECOMSED, applied a conservative particle tracer model to simulate the movement pathways of pollutants from a discharge outlet in Jiaozhou Bay at the surface, middle, and bottom layers. Their results indicated that the trajectories of tracer particles were not only related to the flow field within the bay but also influenced by the timing of particle release—particles released during high tide were more likely to drift out of the bay, facilitating pollutant transport. Chu Qinqin et al. [10] employed the FVCOM hydrodynamic model coupled with Lagrangian particle tracking to simulate the drift trajectories of conservative pollutants from seven estuaries along the Qinhuangdao coast under the combined effects of wind and tidal currents, analyzing the respective influences of these two forcing factors on pollutant transport pathways in nearshore areas. The aforementioned studies have primarily focused on the transport pathways and aggregation areas of marine organisms within sea areas, but have yet to address the entrainment effects inside water intake structures.
The flow rate for circulating cooling water intake in power plants is typically large, on the order of 10–100 m3/s, which perturbs the ambient flow field near the intake. Near-surface transport mechanisms are critical for understanding floating debris movement. Espenes et al. (2024) found that Stokes drift from crossing windsea and swell significantly affects particle residence time near coastlines, a factor often overlooked in traditional intake entrainment models [11]. Through hydraulic experiments and numerical simulations, optimizing the local configuration of the intake can improve inflow patterns and reduce the proportion of floating debris, sediment, and organisms entering the intake. For intakes employing open channels, the inflow direction generally forms an angle with the ambient flow direction. Due to flow separation, a recirculation zone forms around the intake entrance, and the inflow within the open channel entrance typically exhibits a spiral flow pattern [12]. Gu et al. (2024) demonstrated that tidal creeks and flats significantly influence contaminant transport in macro-tidal estuaries using Lagrangian particle tracking, emphasizing the importance of capturing tidal dynamics in transport simulations [13]. The layout of the intake entrance and the ratio of intake flow velocity to ambient flow velocity are considered critical factors closely related to intake entrainment risk. Recent methodological advances offer new possibilities: Fajardo-Urbina et al. (2024) proposed a deep learning surrogate model that predicts particle patch transport in coastal waters at speeds two orders of magnitude faster than traditional methods, which could significantly accelerate risk assessment under various tidal scenarios [14]. Cao Jiwen et al. [15,16], through experiments and simulations, investigated measures to reduce flow separation at river intakes and minimize sediment entry by installing guide vanes. Han Rui et al. [17] conducted physical model experiments under steady flow conditions and demonstrated that optimizing the layout of curved breakwaters at the intake entrance can effectively divert blockages using the flow, thereby reducing the risk of intake blockage. Fu et al. [18] analyzed the entrainment probability at a nuclear power plant intake and concluded that intake flow rate, tidal current direction, and water depth significantly influence entrainment risk. Their flow field analysis indicated that water masses within a 1 km radius could potentially enter the intake entrance. He Xiaoqi [19] investigated nuclear power intakes in strong tidal current areas and suggested that the optimal configuration for minimizing entrainment risk involves contracting the intake entrance width with an oblique short dike and orienting the intake inflow direction perpendicular to the tidal current. Shi Wenqi et al. [20] measured flow velocities at the open channel entrance of a coastal nuclear power plant. Their results showed that measurement points near the intake entrance were significantly influenced by tidal currents, whereas points inside the channel exhibited nearly unidirectional flow, indicating a substantial impact of water intake on the local flow field. Zhang Haiwen et al. [21] studied the flow field and entrainment variations in the waters around a nuclear power intake under the combined dynamics of typhoons and astronomical tides. They found that typhoons led to an increasing trend in the number of particles entrained at the intake entrance.
Identification of marine organism risk sources is fundamental for risk early warning and prevention. Existing studies have conducted simulations based on prescribed particle source locations, such as specific line sources or area sources [22,23], to assess the probability of particle entrainment into water intakes under tidal action. Given the uncertainty regarding the origins of marine organisms near nuclear power water intakes, it is necessary to first determine their potential source range in order to provide enveloping engineering recommendations. Despite recent advances in hydrodynamic modeling and particle tracking [11,13,14], a clear research gap remains: most existing studies rely on simplified steady-flow assumptions that do not capture the unsteady tidal effects on three-dimensional flow structures at intake gates, and systematic evaluations of local retrofit measures under tidal dynamics are still lacking [13,14]. To overcome the bias introduced by the arbitrary specification of particle sources in existing simulations, the potential source range must be investigated. Regarding research on intake configurations, existing physical model tests and three-dimensional numerical models are generally simplified to steady flow conditions. However, the transport of clogging materials under tidal conditions differs from that under steady flow. Due to the three-dimensional spiral structure of flow velocities at intake gates, the tidal variation of debris entering the open channel is highly complex. Therefore, further in-depth research is needed on the continuous guiding and blocking effects of intake structures under tidal conditions. A major shift in current anti-clogging strategies for water intakes involves replacing a single intake head with multiple intake heads or enlarging the suction range of intake heads to mitigate the risk of simultaneous entrainment and clogging. However, for existing intake open channels, whether retrofitting measures such as simply dividing the inflow path or adding localized protective measures at the intake heads yield substantial improvements remains insufficiently studied. Fundamental studies on particle behavior in complex geometries provide insights: Yan et al. (2024) investigated particle-laden flows in 90° pipe bends using direct numerical simulation coupled with Lagrangian particle tracking, revealing that secondary flow and particle-wall collisions significantly affect particle distribution and transport dynamics [24]. These findings have implications for understanding particle trajectories in intake channels with bends or sudden expansions.
This study takes a nuclear power plant as an example, employing a three-dimensional hydrodynamic model and a particle tracking model to investigate the characteristics of surface, intermediate, and bottom tidal currents, as well as particle transport patterns, in the engineering sea area. A reverse tracing method is adopted to delineate the particle release zone for full-scale non-point sources in the nearshore area, thereby identifying potential source regions of entrained materials at the intake. The worst-case tidal scenario is determined by comparing the cumulative entrainment rates under different tidal conditions. Based on this, the simulated tidal current field is validated against field measurements. The dynamic tidal processes and the influence of wind on intake entrainment are further explored. The probability distribution of intake entrainment risk under tidal action is investigated. The inflow field and entrainment characteristics of different intake schemes are compared and analyzed, and the effectiveness of various retrofitting measures for existing intake open channels in mitigating blockage risks is discussed. This study aims to provide a reference for the engineering design of anti-clogging measures for water intakes at the case study plant and other similar facilities, as well as for the emergency response to cold source events.

2. Overview of the Study Site

A nuclear power plant (Fujian, China) is located on the western coast of Dongshan Bay, with plans to construct six million-kilowatt-class pressurized water reactor nuclear power units. Units 1–6 share a common open intake channel. The intake entrance is situated near the deep trough on the eastern side of the plant site, adopting a splayed configuration. A heavy equipment wharf for nuclear power components is constructed inside the intake channel, serving as a branch channel for the heavy equipment wharf. The channel engineering has been completed, and the intake entrance is located near the deep trough on the western side of central Dongshan Bay, in an area with a water depth of approximately −7 m, the straight section of the intake open channel has a bottom width of 120 m and a top width of 278 m, as shown in Figure 1. The design intake flow rate for the six units during summer is 287.4 m3/s.
Dongshan Bay, where the nuclear power plant is situated, lies on the western coast of the southern entrance of the Taiwan Strait. It is a narrow-mouthed, semi-enclosed bay, stretching 20 km from north to south and approximately 15 km from east to west. The bay mouth faces south, with a narrow entrance approximately 6 km wide. The Zhangjiang River discharges into the bay from the northwestern head of the bay.
High-risk blockages in the vicinity of nuclear power plant intakes and adjacent waters include floating blockages, planktonic blockages, motile blockages, and fouling organisms. Specific examples include aquaculture rafts, Sargassum, Cyanea nozakii, Rhopilema hispidum, Stolephorus spp., among others. The comprehensive risk level of cold source blockages in the intake area and adjacent waters of the nuclear power plant is highest during spring and summer. The primary period for prevention and control measures extends from April to September. During spring, blockage risks mainly stem from threats associated with biological reproduction and growth periods. During summer, risks primarily arise from the multi-factor coupling of biological reproduction and growth periods with storm surges and other phenomena. In contrast, the comprehensive risk level is relatively lower in autumn and winter, particularly from late autumn through the winter period. This study focuses on the summer season, and the swimming ability of marine organisms is not considered. To reflect the differential impacts of tidal transport between the surface and bottom layers, simulations are conducted separately for three vertical layers: surface, middle, and bottom.

3. Mathematical Model and Assessment Methodology

3.1. Model Equations

This study employs the MIKE3 model for hydrodynamic simulations. MIKE3 (MIKE Zero release 2023, Hørsholm, Denmark) is an internationally recognized and widely used hydrodynamic and water quality model, extensively applied in hydrodynamic studies of oceans, estuaries, coastal areas, and lakes. The model is based on the three-dimensional incompressible Reynolds-Averaged Navier–Stokes (RANS) equations, incorporating the Boussinesq approximation of hydrostatic pressure. The governing equations include the continuity equation, momentum equations, and energy equation.
The continuity equation is:
u x + v y + w z = S
The momentum equations are:
In the x-direction:
u t + u 2 x + v u y + w u z = f v g η x 1 ρ 0 p a x g ρ 0 z η ρ x d z + F u + z ( v t u z ) + u s S
In the y-direction:
v t + v 2 y + u v x + w v z = f u g η y 1 ρ 0 p a y g ρ 0 z η ρ y d z + F v + z ( v t v z ) + v s S
where
  • t is time;
  • x , y , z are Cartesian coordinates;
  • η is the water surface elevation;
  • d is the still water depth;
  • h = d + η is the total water depth;
  • u , v , w are the velocity components in the x , y , and z directions, respectively;
  • f = 2 s i n   φ is the Coriolis parameter, where is the angular velocity of Earth’s rotation and φ is the geographic latitude;
  • g is the gravitational acceleration;
  • ρ 0 is the reference water density;
  • ρ is the water density;
  • p a is the atmospheric pressure;
  • v t is the vertical turbulent eddy viscosity coefficient, which is determined using the logarithmic law formula in this study;
  • S represents the source/sink term, with u s and v s being the horizontal velocity components of the source discharge.
The horizontal diffusion terms F u and F v are expressed as:
F u = x ( 2 A u x ) + y ( A ( u y + v x ) )
F v = x ( A ( u y + v x ) ) + y ( 2 A v y )
where A is the horizontal eddy viscosity coefficient, determined using the Smagorinsky formula with a coefficient of 0.28.
The surface and bottom boundary conditions for u , v , and w are as follows:
At the free surface:
η t + u η x + v η y w = 0 ,   ( u z , v z ) = 1 ρ 0 v t ( τ s x , τ s y )
At the bottom:
u d x + u d y + w = 0 ,   ( u z , v z ) = 1 ρ 0 v t ( τ b x , τ b y )
where τ b = ( τ b x , τ b y ) is the bottom stress, and
τ b ρ 0 = c f u b u b
in which c f is the bottom friction coefficient, and u b is the flow velocity near the bed.
The wind stress at the water surface is denoted as τ s = ( τ s x , τ s y ) , given by:
τ s = ρ a c d u w u w
where ρ a is the air density, c d is the wind drag coefficient, and u w is the wind speed at 10 m above the water surface.
The simulation of floating debris transport trajectories is conducted using the Particle Tracking (PT) module of the MIKE software. In the simulations, the advective effect of the flow is primarily considered, while the influence of the shape and swimming ability of floating debris and marine organisms is neglected. The governing equation for simulating particle trajectory movement is as follows:
d X t = a ( t , X t ) d t + b ( t , X t ) ξ t d t
where a represents the advective term, b represents the diffusive term, and ξ t is a random number. X t denotes the three-dimensional coordinates of the particle.

3.2. Evaluation Indicators

For a specific intake layout scheme, factors such as the configuration of the intake structure, intake flow rate, and flow field conditions in the waters surrounding the intake entrance all influence the local flow regime and subsequently affect the intake entrainment effect. This study analyzes the intake entrainment effect based on three dimensions: “intake entrainment rate,” “entrainment intensity,” and “intake entrainment risk probability,” aiming to provide a basis for the comparison and optimization of intake schemes.
The intake entrainment rate P t is expressed as:
P t = N i n t N t × 100 %
where N t is the total number of particles released within a cumulative duration t from the initial release moment to the current time, and N i n t is the cumulative number of particles that have entered the water intake during the time period t . The intake entrainment rate P t reflects the accumulation effect of hazardous materials within the intake over a certain time t after an outbreak. A larger P t indicates a greater quantity of hazardous materials that may enter the intake entrance, imposing higher demands on the debris-blocking capacity of the trash racks.
The intake entrainment intensity P i is expressed as:
P i = N i n i N i × 100 %
where N i is the number of particles released within the computational domain per unit time (taken as 1 h), and N ini is the number of particles entering the water intake within the same unit time. The intake entrainment intensity reflects the short-term effect of hazardous materials being entrained at the intake entrance. A larger P i indicates a greater accumulation of floating debris in front of the trash racks per unit time, imposing higher demands on the debris-cleaning capacity.
The intake entrainment risk probability r k is expressed as:
r k = N i n k N k × 100 %
where N k is the total number of particles released in spatial subdomain k within the computation time, and N i n k is the number of particles that originate from spatial subdomain k and enter the water intake during the computation time. The intake entrainment risk probability r k reflects the magnitude of the potential risk of particles from point sources at different locations entering the water intake.

3.3. Model Grid and Computational Boundary Conditions

The simulation domain covers a sea area extending approximately 160 km along the coast and 80 km offshore, encompassing the plant site. The grid configuration is shown in Figure 2. Local refinement is applied in the vicinity of the intake and drainage structures, with a minimum grid resolution of approximately 10 m. Vertically, σ coordinates are adopted, evenly divided into six layers. Tidal levels are prescribed at the open boundaries of the model, while a no-slip boundary condition is applied at the land boundaries. The initial velocity is set to zero, and the initial water level is set to the mean sea level.

4. Flow Field and Entrainment Risk Analysis in the Engineering Sea Area

4.1. Tidal Flow Field in the Engineering Sea Area

In July 2020, field measurements of tidal level and tidal current were conducted using a Doppler current meter (accuracy ≤ ±1.5%) and a pressure-type tide gauge (accuracy 0.02%), with a current sampling interval of 1800 s. Comparisons between the tidal levels, current velocities, and directions during the summer neap tide calculated using the MIKE3 model and the measured values are shown in Figure 3 and Figure 4, respectively (station locations are shown in Figure 5). It can be observed from Figure 4 that the calculated and measured time series of tidal levels are in good agreement, with a root mean square error (RMSE) of 0.119 m. Figure 5 shows that the current at each measurement station exhibits reciprocating flow, with consistent flow directions from the surface to the bottom layers. The current velocity gradually decreases from the surface to the bottom. During flood and ebb tides, the average deviation between the calculated and measured current velocities is 0.11 m/s, and the average deviation in flow direction is 20°. The flow fields in Dongshan Bay during flood and ebb tides are shown in Figure 6. During flood tide, the current direction is from south to north, flowing from the bay mouth into the bay, while the opposite occurs during ebb tide. Both flood and ebb tides exhibit the characteristic of higher flow velocities in the deep channel and lower velocities in the shoal areas.

4.2. Local Flow Field at the Water Intake

Figure 7 presents a comparison of the surface flow fields during typical tidal conditions calculated by MIKE3 with those obtained from physical model tests. The physical model tests effectively capture the local influences of structures on the flow field. The comparison indicates that the extent and location of the recirculation zone simulated by the numerical model are consistent with the patterns observed in the physical model, as shown in Table 1. The comparison results indicate that the numerical model and physical model exhibit consistent flow patterns. At the moment of maximum ebb, the flow-deflecting effect of the northern dike induces a clockwise vortex near the northern side inside the intake open channel. The power plant intake primarily draws water from the vicinity of the southern dike into the open channel. At low water slack, the offshore flow outside the intake open channel entrance is weak, and the flow regime inside the entrance is mainly influenced by the intake withdrawal, exhibiting essentially full-section inflow with relatively uniform velocity distribution. At the moment of maximum flood, the flow-deflecting effect of the southern dike generates a counterclockwise vortex near the southern side inside the intake open channel. The power plant intake primarily draws water from the northern side of the southern dike into the open channel.
Comparison of inflow fields under different tidal conditions shows that during maximum flood and ebb, the offshore flow velocity outside the entrance exceeds the intake flow velocity, leading to the formation of recirculation zones at the intake entrance. At low water slack, the offshore flow velocity decreases, and the recirculation zones nearly disappear. Figure 8 shows the flow fields at the surface, middle, and bottom layers during typical tidal conditions calculated by MIKE3. It can be seen from the figure that the flow fields at the intake entrance are generally consistent across layers, with minor differences.

4.3. Maximum Potential Source Areas of Entrained Materials and Worst-Case Tidal Scenario for Intake Entrainment Assessment

Risk assessment for intake entrainment is generally conducted based on the conditions within 72 h after an outbreak. Given the unknown location and intensity of risk sources, the calculation assumes a holistic outbreak of marine organisms across the entire sea area. To manage computational effort, the particle release area is defined as the maximum potential source zone from which organisms could enter the intake, and the most hydrodynamically adverse period is selected as the release time.
To determine the potential impact range for particle entrainment into the intake open channel under a holistic marine organism outbreak scenario, reverse particle tracking simulations were conducted based on the single-side opening scheme of the open channel. Flow fields for different tidal patterns—specifically summer spring, medium, and neap tides—were simulated under the water intake conditions for six operating units. Accounting for differences in cumulative effects, medium tides occurring both before and after spring tides were compared separately. Particles were released at the intake, and their positions and trajectories after 72 h of reverse advection were recorded to determine the maximum potential impact range of intake blockage within 72 h, as well as the primary source orientations and aggregation characteristics of the particles (Figure 9). During the reverse particle tracking simulation, particles were released at the intake at a frequency of 20 particles per minute, continuing until the end of the statistical period. Figure 10 shows the potential impact range of the intake determined based on the reverse tracing results. It can be observed that the affected area covers most of Dongshan Bay and most of the western side of the bay mouth, while the eastern side of the bay mouth is relatively less affected. This identified impact range was used as the particle release area for subsequent entrainment calculations.
For the existing single-side opening intake open channel scheme, a two-dimensional hydrodynamic model was employed to release particles into flow fields of different tidal patterns under a unified tidal phase, and the entrainment effects were compared to identify the worst-case tidal scenario. Given the periodic variations in tidal hydrodynamic intensity, summer single-season tides with measured data—including summer medium tide (before spring tide), summer spring tide, summer medium tide (after spring tide), and summer neap tide—were selected for particle entrainment comparison. The initial release tidal phase for all cases was set at the moment of maximum ebb, the tidal level hydrographs for different tidal patterns are shown in Figure 11. Particle release method and entrainment criterion: Tracer particles were released as non-point sources, with release points determined by the risk zone identified through reverse flow field tracing. The release point grid spacing was 200 m, with a total of 11,115 release points. The number of particles released at each point was weighted by the average water depth, with one particle released per meter of water depth per release event. The release frequency was once per hour, lasting for 24 h starting one day before the typical tidal pattern, resulting in a total of 4,471,608 released particles. The horizontal diffusion coefficient of particles was set equal to the turbulent diffusion coefficient. After release, a particle was considered entrained once it crossed the intake opening, and repeated crossings of the same particle were not counted. Simulation duration: The number of particles entering the intake open channel within three days (including the one-day release period before the typical tidal pattern, the day of the typical tidal pattern itself, and the one-day migration period after the typical tidal pattern) was statistically analyzed. The maximum entrainment rates for different tidal patterns are presented in Table 2. The comparative results indicate that the summer neap tide is the worst-case tidal scenario and serves as the basis for calculating the entrainment rate.

4.4. Entrainment Risk Probability Distribution

Based on the calculation results of the entrainment process for the worst-case tidal scenario (summer neap tide), the probability distribution of entrainment risk for the surface, intermediate, and bottom layers, as well as the entire water column, obtained from the backward tracking statistics using Equation (11), are shown in Figure 12. It can be observed that the entrainment risk distributions for the three intake entrance configurations are generally similar. The risk areas are mostly located in Dongshan Bay, exhibiting a north–south elongated and east–west narrow characteristic. Two main high-risk areas are identified: the recirculation zone between the southern dike of the intake open channel and the eastern dike of the discharge open channel, where particles primarily enter the intake open channel by moving along the southern dike of the intake open channel during flood tides; and the nearshore area on the northern side of the intake open channel’s northern dike, where particles primarily enter the intake open channel by moving along the southern dike of the intake open channel during ebb tides. The entrainment probability for particles in the surface layer is significantly lower than that in the middle and bottom layers. Based on the analysis of flow field characteristics, it can be inferred that the higher flow velocities in the surface layer make it more difficult for particles to be entrained into the open channel.

5. Comparison of Entrainment Effects at the Intake Entrance Under Different Open-Channel Intake Configurations

Based on the topographic and shoreline characteristics of the engineering sea area, three configurations for the intake open-channel entrance were considered, as shown in Figure 12. In Figure 12a, the northern side of the intake open channel is a straight dike, while the southern dike bends outward by approximately 45° at the entrance. In Figure 12b, based on the southern opening configuration, the northern side of the intake open channel is rotated outward by 30° to further widen the entrance, aiming to reduce entrainment risk by decreasing the flow velocity at the intake entrance. In Figure 12c, based on the southern opening configuration, an additional 80 m wide opening is introduced in the middle of the northern dike, transforming the intake open channel from a single-entrance to a dual-entrance configuration, with the aim of avoiding intake blockage caused by high-intensity entrainment associated with a single entrance.

5.1. Comparative Analysis of Flow Fields

Figure 13 and Figure 14 show the flow fields in the vicinity of the engineering area for different intake open-channel configurations during characteristic tidal phases (maximum ebb and maximum flood) in the summer neap tide. In Figure 13, for the double-opening intake entrance configuration, at maximum ebb, the flow-deflecting effect of the northern dike is more pronounced. The vortex at the intake expands, and marine organisms primarily enter the open channel along the dike alignment from the stagnation point at the southern dike. Additionally, a new recirculation zone forms outside the northern side of the open channel. At maximum flood, marine organisms tend to enter the open channel from the inner side of the northern dike under the combined action of tidal currents and intake withdrawal.
In Figure 14 and Figure 15, for the single-opening with lateral opening configuration, at maximum ebb, the offshore tidal current directly enters the open channel through the new intake opening at the northern dike. The flow separates into two branches at the southern dike: one branch flows toward the western side of the open channel, forming a large clockwise vortex, while the other branch flows toward the eastern side of the open channel and eventually exits the channel, forming a smaller vortex. At this time, marine organisms enter the open channel directly with the tidal current through the new opening at the northern dike. At maximum flood, the offshore tidal current enters the open channel through the eastern intake opening. Part of the flow continues westward into the intake, while another part exits the open channel through the middle opening in the northern dike.
It can be observed that the two openings do not experience inflow simultaneously. For marine organisms originating from specific directions, the dual-opening configuration provides a certain buffering effect, preventing the complete failure of all cold sources at the same time.
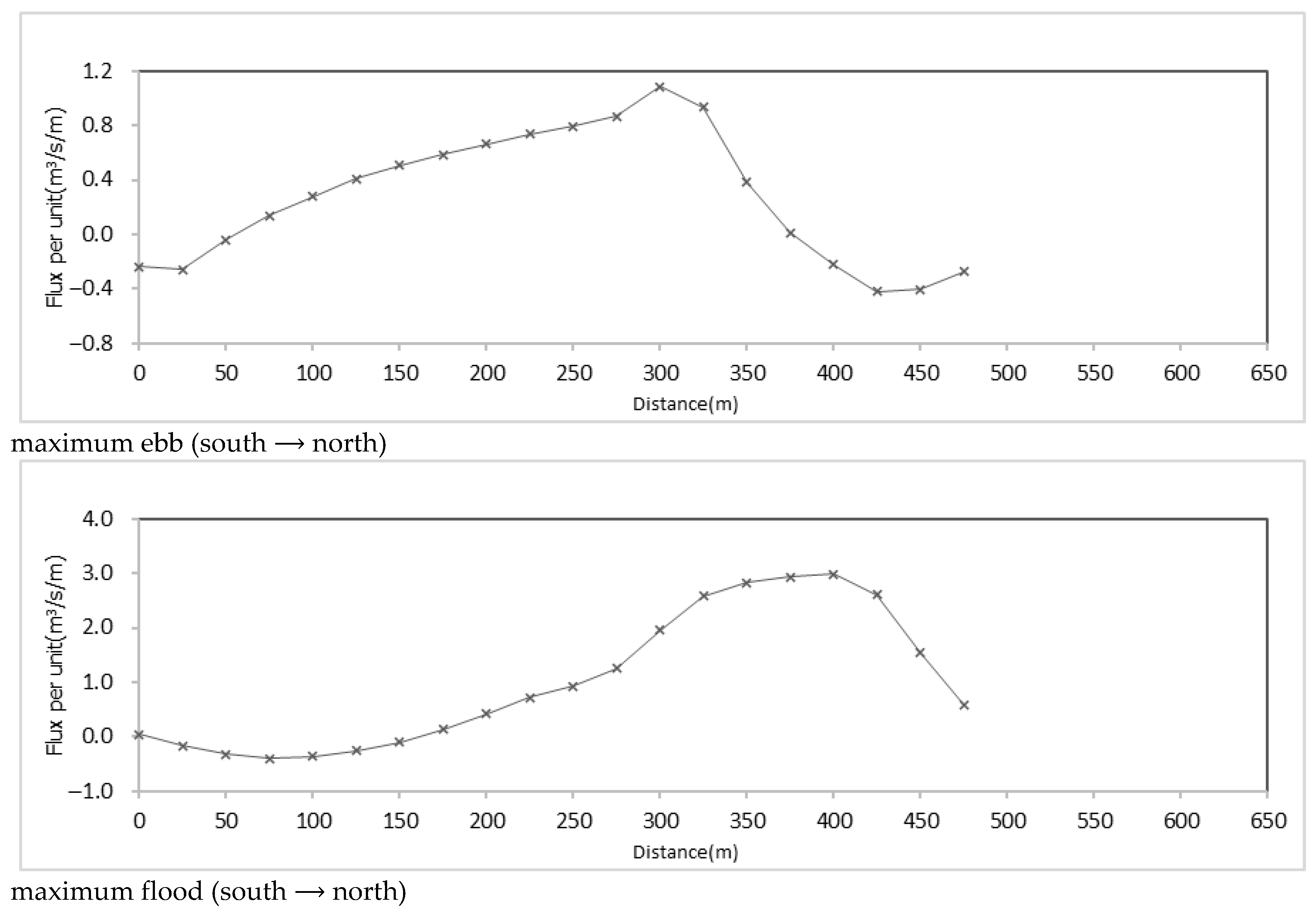
The flow rate distributions at the intake entrance section for different schemes are shown in Figure 16, Figure 17 and Figure 18. It can be observed that during maximum flood, the three schemes exhibit similar inflow distributions along the original inflow cross-section, with inflow predominantly on the south side. The maximum discharge per unit width at the cross-section is approximately 3 m3/s/m, located about 400 m from the south breakwater in all cases. During ebb tide, both the single-side opening and double-side opening schemes show inflow on the north side of the cross-section, with maximum discharge per unit width of 1.0 m3/s/m and 0.9 m3/s/m, respectively, located approximately 300 m from the south breakwater. The inflow uniformity across the cross-section is slightly better for the double-side opening scheme compared to the single-side opening scheme. For the single-side opening combined with lateral opening scheme, the original intake entrance transitions to outflow on the south side during ebb tide, with a maximum outflow of approximately 0.9 m3/s/m located about 320 m from the south breakwater. The lateral opening experiences nearly full cross-section inflow during ebb tide, with a maximum inflow per unit width of 0.8 m3/s/m on the east side. During flood tide, the west side of the lateral opening exhibits outflow, with a maximum outflow per unit width of 0.4 m3/s/m, while the east side shows inflow, with a maximum inflow per unit width of 0.17 m3/s/m. Comparison of flow rates further indicates that modifying the single-side opening to a double-side opening has little effect on the inflow at the intake entrance, while the lateral opening significantly alters inflow during ebb tide. During flood tide, considering the original intake remains unblocked, the lateral opening has limited impact; however, if the original intake becomes blocked during flood tide, the lateral opening, being closer to the pump house, can serve as a temporary water supply channel, and its inflow would increase accordingly.

5.2. Comparison of Entrainment Rate and Entrainment Intensity Under Near-Field Full-Area Non-Point Source Outbreak Conditions

Based on an outbreak scenario within the maximum potential source area of entrained materials, the entrainment processes of different schemes were calculated under the worst-case tidal scenario, and the hourly entrainment intensities for different schemes were statistically analyzed using Equation (10), as shown in Figure 19. It can be observed that the entrainment intensities of the single-side opening and double-side opening schemes at the intake open channel exhibit little difference, with the maximum entrainment intensity occurring at the early stage of flood tide and the minimum at the late stage of ebb tide. The entrainment intensity during flood tide is higher than that during ebb tide. For the single-side opening combined with lateral opening scheme, the entrainment intensity differs significantly from the former two schemes, showing multiple peaks during both flood and ebb tides, alternately appearing at the east side (original front intake of the open channel) and the north side lateral intake. The entrainment intensity exhibits no significant troughs and is more uniformly distributed over time. From the perspective of layered results, the entrainment intensity of surface layer particles is significantly lower than that of the intermediate and bottom layers.
Table 3 presents the maximum entrainment rates and maximum entrainment intensities for each intake flow configuration. It can be observed that, in terms of depth-averaged maximum entrainment rate and entrainment intensity, the single-side opening and double-side opening schemes at the intake open channel exhibit relatively small overall differences. The entrainment rate of the single-side opening combined with lateral opening scheme is higher than those of the former two, while the entrainment intensity is essentially comparable.

5.3. Discussion

Prevention and control of risks to the cold source for nuclear power plant intakes encompass total entrainment control, entrainment intensity control, and prevention of simultaneous cold source failure across multiple units. For existing or approved nuclear power intake projects, retrofitting the intake open channel locally to reduce entrainment risk is a commonly adopted research approach. The intake open channel examined in this study incorporates a heavy-lift wharf. To ensure the normal passage of heavy-lift transport vessels, the conventional outer curved dike configuration used in previous open channels was not feasible. Instead, two measures were adopted: increasing the inflow cross-section at the intake to reduce flow velocity, or adding lateral openings to increase the number of intake points, thereby mitigating the risk of blockage at a single intake. The findings of this study indicate that locally enlarging the opening has limited effectiveness in reducing entrainment. The lateral opening configuration enables peak shaving of entrainment intensity; however, due to the relatively shallow water depth at the lateral opening, the total entrainment rate is higher under a holistic marine organism outbreak scenario. From the perspective of controlling the total entrainment rate, the original scheme remains optimal.
From the perspective of ensuring the safety of the nuclear power plant’s cold source, the lateral opening could be configured as a standby intake, kept closed under normal conditions. When hazardous materials approach the intake area from the southern waters of the engineering site, the different inflow directions of the east-side opening and north-side opening during ebb tide could be utilized to achieve self-cleaning of the trash booms inside the open channel, thereby reducing the accumulation of hazardous materials within the channel. In the event of blockage at the east-side opening of the open channel, activating the standby north-side intake could also mitigate the risk of the plant losing its cold source.
In reality, marine organisms may outbreak in specific sea areas, with potentially uneven spatiotemporal distribution. Moreover, these organisms possess their own ability to avoid or adapt to currents; therefore, their migration is not entirely governed by advective transport. These factors can influence the actual risk of organisms entering the intake. Given the uncertainty regarding the source location and intensity of risk sources, this study adopted an enveloping source area based on hydrodynamic transport to conduct a relative assessment of the effectiveness of current local retrofitting measures for intake blockage mitigation. The differences among these measures primarily stem from localized flow effects. The relative strengths and weaknesses of different schemes and the improvement ratios obtained from this study under uncertain source conditions can serve as a reference for decision-making. In practice, engineering measures should be determined comprehensively based on assessments of actual marine organism outbreak risk probabilities in different areas, the layout of the intake entrance, trash boom facilities within the open channel, and debris cleaning facilities, to establish a risk prevention and control system for intake blockage by marine organisms.

6. Conclusions

Based on a three-dimensional hydrodynamic model, this study proposes a method for determining the maximum potential source area of entrainment risk and the worst-case tidal scenario from a hydrodynamic perspective. The spatial distribution of intake entrainment probability was calculated for the case study site, and quantitative comparative analyses of intake entrainment effects were conducted using the metrics of “intake entrainment rate” and “entrainment intensity.” The effectiveness of local retrofitting measures at the intake in mitigating intake blockage risk was also investigated.
The results indicate that the recirculation zone formed around the intake and drainage dikes of the nuclear power plant constitutes a high-risk area for entrainment. Simply increasing the opening width of the intake gate has limited effectiveness in reducing entrainment risk. In contrast, increasing the number of intake openings, positioning them in different orientations, and separating them horizontally can enable phased inflow among intakes and mutual backwashing, thereby mitigating the risk of cold source loss following blockage at a single intake. The effectiveness of entrainment prevention measures is closely related to the location of the risk source. Future efforts should focus on further optimizing anti-clogging engineering measures and operational management based on the characteristics of entrainment sources in the project sea area.
Furthermore, a wide variety of organisms can cause intake blockages. This paper primarily focuses on organisms with weak or no active swimming ability, investigating their transport characteristics under tidal action. Species with strong swimming ability, such as schooling or medium-to-large fish, are currently not considered due to the complexity of their behavioral dynamics. Future work will refine the model based on field investigations of biological characteristics and gradually expand its applicability to enhance the overall relevance of the research findings.

Author Contributions

Conceptualization, L.H. and X.Q.; methodology, X.C.; software, X.Q.; validation, L.H., X.Q. and X.C.; formal analysis, X.C.; investigation, L.H.; resources, L.H.; data curation, X.Q.; writing—original draft preparation, L.H. and X.Q.; writing—review and editing, X.C.; visualization, X.C.; supervision, X.C.; project administration, X.C. All authors have read and agreed to the published version of the manuscript.

Funding

This work was supported by the Talents Development Program of IWHR (China Institute of Water Resources and Hydropower Research), grant no. HTHY0145B03202100000.

Data Availability Statement

The raw data supporting the conclusions of this article will be made available by the authors on request.

Conflicts of Interest

Author Lulu Hao was employed by CNNP Guodian Zhangzhou Energy Co., Ltd. The remaining authors declare that the research was conducted in the absence of any commercial or financial relationships that could be construed as a potential conflict of interest.

References

  1. Han, R.; Ji, P.; Zhao, Y.J.; Liu, Y.; Kang, Z.S. Investigation and analysis of water intake blockage events in coastal nuclear power plants. Water Wastewater Eng. 2018, 44, 75–80. [Google Scholar]
  2. Huang, Q.; Zhi, Y.F.; Jiang, X.S.; Ma, P.Y.; Zhang, Z.; Dai, L.; Li, Q.; Zhang, R.R. Research on the entrainment risk of blockage in water intake of nuclear power plants. Water Wastewater Eng. 2024, 50, 665–669. [Google Scholar]
  3. Zheng, Y.; Zhang, R.; Long, Y.; Jiang, X.; Zhu, R.; Xing, J. Review on Development Status of Comprehensive Prevention and Control Technology for Disaster-Causing Floating Bodies at Water Intake of Nuclear Power Plants. Ann. Nucl. Energy 2025, 212, 111087. [Google Scholar] [CrossRef]
  4. Lin, H.; Zhang, S.; Cao, R.; Yu, S.; Bai, W.; Zhang, R.; Yang, J.; Dai, L.; Chen, J.; Zhang, Y.; et al. A Review on the Risk, Prevention and Control of Cooling Water Intake Blockage in Coastal Nuclear Power Plants. Nucl. Eng. Technol. 2024, 56, 389–401. [Google Scholar] [CrossRef]
  5. Lin, J.W.; You, Y.X.; Liu, G.X. Influence of reclamation on the drift trajectory of Coelomactra antiquata larvae. J. Xiamen Univ. 2017, 56, 540–545. [Google Scholar]
  6. Huang, J.; Wu, L.J.; Gao, S.; Cao, Y.J.; Bai, T. Numerical simulation of emergency drift of green tides in the Yellow Sea. Mar. Forecast. 2011, 28, 25–32. [Google Scholar]
  7. Li, R.S.; Pan, L.Z.; Xiao, W.J.; Hu, S.; Yang, H. Influence of wind on the drift of green tide algae in the Yellow Sea. Mar. Environ. Sci. 2014, 33, 772–776. [Google Scholar]
  8. Ji, H.F.; Liu, J.T.; Mo, X.D.; Gao, X.X.; Yang, B. Numerical simulation of green tide drift and diffusion in key sea areas of Jiangsu Province. Mar. Sci. 2018, 42, 82–91. [Google Scholar]
  9. Chu, Q.Q.; Li, L.; Li, P.L. Numerical simulation of tracer particles in the tidal current field of Jiaozhou Bay. J. Ocean Univ. China 2010, 40, 29–34. [Google Scholar]
  10. Chu, Q.Q.; Zhang, W.L.; Wu, L.J.; Ding, Y. Numerical simulation and analysis of conservative pollutant drift in the coastal waters of Qinhuangdao. Mar. Forecast. 2019, 36, 39–46. [Google Scholar]
  11. Espenes, H.; Carrasco, A.; Dagestad, K.-F.; Christensen, K.H.; Drivdal, M.; Isachsen, P.E. Stokes Drift in Crossing Windsea and Swell, and Its Effect on Near-Shore Particle Transport in Lofoten, Northern Norway. Ocean Model. 2024, 191, 102407. [Google Scholar] [CrossRef]
  12. Al-Zubaidy, R.A.; Hilo, A.N. Numerical investigation of flow behavior at the lateral intake using Computational Fluid Dynamics (CFD). Mater. Today Proc. 2022, 56, 1914–1926. [Google Scholar] [CrossRef]
  13. Gu, B.-H.; Woo, S.-B.; Kwon, J.-I.; Park, S.-H.; Kim, N.-H. Case Study of Contaminant Transport Using Lagrangian Particle Tracking Model in a Macro-Tidal Estuary. Water 2024, 16, 617. [Google Scholar] [CrossRef]
  14. Fajardo-Urbina, J.M.; Liu, Y.; Georgievska, S.; Gräwe, U.; Clercx, H.J.H.; Gerkema, T.; Duran-Matute, M. Efficient Deep Learning Surrogate Method for Predicting the Transport of Particle Patches in Coastal Environments. Mar. Pollut. Bull. 2024, 209, 117251. [Google Scholar] [CrossRef]
  15. Cao, J.W.; Chen, H.Q.; He, Y.Y. Experimental study on hydraulic characteristics of lateral intake in open channel banks. J. Hydraul. Eng. 2003, 10, 32–37. [Google Scholar]
  16. Cao, J.W.; Chen, H.Q.; He, Y.Y. Three-dimensional numerical simulation of lateral intake in open channel banks. J. Hydraul. Eng. 2004, 119–125. [Google Scholar] [CrossRef]
  17. Han, R.; Yang, H.Y.; Zhao, Y.J.; Zeng, L.; Liang, H.H.; Cao, R.R.; Yang, J. Influence of breakwater design of intake open channel on intake entrainment effect in coastal nuclear power plants. Water Resour. Hydropower Eng. 2026, 1–16. [Google Scholar]
  18. Fu, X.; Du, F.; Huang, X.; Pei, J.; Zhang, Z.; Xing, X.; Pu, X. Cooling water intake system safety analysis based on impingement probability. Front. Mar. Sci. 2023, 10, 1133187. [Google Scholar] [CrossRef]
  19. He, X.Q. Optimization of water intake scheme based on reducing entrainment effect of water intake in a coastal nuclear power plant. Water Wastewater Eng. 2024, 50, 615–622. [Google Scholar]
  20. Shi, W.Q.; Yuan, S.; Liu, Y.Q.; Cao, X.F.; Xing, C.X. Design and case study of fine flow field measurement at the intake of coastal nuclear power plants. Ocean Dev. Manag. 2021, 38, 82–88. [Google Scholar]
  21. Qiu, Y.; Wang, J.H.; Bai, W.; Wang, Y.L.; Zhang, X.N.; Guan, Z.T. Numerical simulation study on intake entrainment effect in a coastal nuclear power plant. Water Wastewater Eng. 2025, 51, 351–356. [Google Scholar]
  22. Chi, C.Z.; Qin, X.; Zhao, Y.J. Study on the transport patterns of floating debris in Dongshan Bay and its impact on the water intake of a power plant. Water Wastewater Eng. 2023, 49, 687–694. [Google Scholar]
  23. DHI. MIKE21 & MIKE 3 Flow Model FM: Hydrodynamic and Transport Module Scientific Documentation; DHI: Hørsholm, Denmark, 2009. [Google Scholar]
  24. Yan, Y.; Mortimer, L.F.; Wolde, B.; Fairweather, M.; Zhao, Y.; Yao, J. Effect of Secondary Flow and Wall Collisions on Particle-Laden Flows in 90° Pipe Bends 2024. Int. J. Multiph. Flow 2024, 179, 104925. [Google Scholar] [CrossRef]
Figure 1. Topographic map of Dongshan Bay.
Figure 1. Topographic map of Dongshan Bay.
Processes 14 01036 g001
Figure 2. Topography and mesh of the 3D model simulation area.
Figure 2. Topography and mesh of the 3D model simulation area.
Processes 14 01036 g002
Figure 3. Verification of 3D simulation for water level during summer neap tide.
Figure 3. Verification of 3D simulation for water level during summer neap tide.
Processes 14 01036 g003
Figure 4. Verification of 3D simulation for velocity and direction stratification during summer neap tide.
Figure 4. Verification of 3D simulation for velocity and direction stratification during summer neap tide.
Processes 14 01036 g004
Figure 5. Location Map of Hydrological Stations (T: tidal level station; 1# and 2#: flow velocity stations).
Figure 5. Location Map of Hydrological Stations (T: tidal level station; 1# and 2#: flow velocity stations).
Processes 14 01036 g005
Figure 6. Distribution of flood and ebb tidal flow fields in Dongshan Bay.
Figure 6. Distribution of flood and ebb tidal flow fields in Dongshan Bay.
Processes 14 01036 g006
Figure 7. Comparison of flow fields at the open channel entrance between numerical model and physical model (Colors indicate the flow velocity magnitude. Arrows indicate the flow direction).
Figure 7. Comparison of flow fields at the open channel entrance between numerical model and physical model (Colors indicate the flow velocity magnitude. Arrows indicate the flow direction).
Processes 14 01036 g007aProcesses 14 01036 g007b
Figure 8. Distribution of flow fields under different tidal conditions at the open channel entrance.
Figure 8. Distribution of flow fields under different tidal conditions at the open channel entrance.
Processes 14 01036 g008aProcesses 14 01036 g008b
Figure 9. Trajectories and positions of particles after 72 h of migration in the reverse flow field under typical tidal conditions.
Figure 9. Trajectories and positions of particles after 72 h of migration in the reverse flow field under typical tidal conditions.
Processes 14 01036 g009
Figure 10. Maximum extend of possible sources.
Figure 10. Maximum extend of possible sources.
Processes 14 01036 g010
Figure 11. Candidate dates for worst-case tidal scenarios.
Figure 11. Candidate dates for worst-case tidal scenarios.
Processes 14 01036 g011
Figure 12. 3D entrainment risk distribution for water intake.
Figure 12. 3D entrainment risk distribution for water intake.
Processes 14 01036 g012
Figure 13. Layout scheme of open water intake channel.
Figure 13. Layout scheme of open water intake channel.
Processes 14 01036 g013
Figure 14. Surface flow field at characteristic moment during summer neap tide for two sides of intake expansion.
Figure 14. Surface flow field at characteristic moment during summer neap tide for two sides of intake expansion.
Processes 14 01036 g014
Figure 15. Surface flow field at characteristic moment during summer neap tide for one side of intake.
Figure 15. Surface flow field at characteristic moment during summer neap tide for one side of intake.
Processes 14 01036 g015
Figure 16. Distribution of discharge per unit width along the entrance section of the open channel for the single-side opening scheme at the intake.
Figure 16. Distribution of discharge per unit width along the entrance section of the open channel for the single-side opening scheme at the intake.
Processes 14 01036 g016
Figure 17. Distribution of discharge per unit width along the entrance section of the open channel for the double-side opening scheme at the intake.
Figure 17. Distribution of discharge per unit width along the entrance section of the open channel for the double-side opening scheme at the intake.
Processes 14 01036 g017aProcesses 14 01036 g017b
Figure 18. Distribution of discharge per unit width along the entrance section of the open channel for the single-side opening combined with lateral opening scheme at the intake.
Figure 18. Distribution of discharge per unit width along the entrance section of the open channel for the single-side opening combined with lateral opening scheme at the intake.
Processes 14 01036 g018aProcesses 14 01036 g018b
Figure 19. Time series of entrainment intensity at the water intake.
Figure 19. Time series of entrainment intensity at the water intake.
Processes 14 01036 g019
Table 1. Comparison of numerical and physical model results.
Table 1. Comparison of numerical and physical model results.
Tidal ConditionNumerical ModelPhysical Model
Recirculation ZoneRecirculation Zone
Size (m2)PositionSize (m2)Position
Maximum ebb150 × 300120 m from north levee170 × 270140 m from north levee
Low slack water40 × 20420 m from north levee20 × 20420 m from north levee
Maximum flood50 × 100250 m from north levee75 × 75260 m from north levee
Table 2. Comparison of maximum entrainment rates for different tidal patterns.
Table 2. Comparison of maximum entrainment rates for different tidal patterns.
Tidal PatternTidal DateRelease Start TimeMaximum Entrainment Rate (%)
Summer medium tide (before spring tide)2 July 20201 July 2020 13:000.794
Summer spring tide5 July 20204 July 2020 16:000.746
Summer medium tide (after spring tide)10 July 20209 July 2020 19:000.757
Summer neap tide13 July 202012 July 2020 22:000.840
Table 3. Layered maximum entrainment rate and entrainment intensity under the worst-case tidal scenario.
Table 3. Layered maximum entrainment rate and entrainment intensity under the worst-case tidal scenario.
Intake ConfigurationSingle-OpeningDouble-OpeningSingle-Opening with Lateral Opening
Surface layer maximum entrainment rate (%)0.6220.6110.831
Intermediate layer maximum entrainment rate (%)0.8180.8420.943
Bottom layer maximum entrainment rate (%)0.8880.8940.984
Depth-averaged maximum entrainment rate (%)0.7760.7820.919
Surface layer maximum entrainment intensity (%)0.0220.0200.021
Intermediate layer maximum entrainment intensity (%)0.0240.0270.028
Bottom layer maximum entrainment intensity (%)0.0220.0260.027
Depth-averaged maximum entrainment intensity (%)0.0210.0230.024
Disclaimer/Publisher’s Note: The statements, opinions and data contained in all publications are solely those of the individual author(s) and contributor(s) and not of MDPI and/or the editor(s). MDPI and/or the editor(s) disclaim responsibility for any injury to people or property resulting from any ideas, methods, instructions or products referred to in the content.

Share and Cite

MDPI and ACS Style

Hao, L.; Qin, X.; Chen, X. Study on the Influence of Inflow Direction on the Entrainment Effect of Blockages in the Open Intake Channel of Nuclear Power Plants. Processes 2026, 14, 1036. https://doi.org/10.3390/pr14071036

AMA Style

Hao L, Qin X, Chen X. Study on the Influence of Inflow Direction on the Entrainment Effect of Blockages in the Open Intake Channel of Nuclear Power Plants. Processes. 2026; 14(7):1036. https://doi.org/10.3390/pr14071036

Chicago/Turabian Style

Hao, Lulu, Xiao Qin, and Xiaoli Chen. 2026. "Study on the Influence of Inflow Direction on the Entrainment Effect of Blockages in the Open Intake Channel of Nuclear Power Plants" Processes 14, no. 7: 1036. https://doi.org/10.3390/pr14071036

APA Style

Hao, L., Qin, X., & Chen, X. (2026). Study on the Influence of Inflow Direction on the Entrainment Effect of Blockages in the Open Intake Channel of Nuclear Power Plants. Processes, 14(7), 1036. https://doi.org/10.3390/pr14071036

Note that from the first issue of 2016, this journal uses article numbers instead of page numbers. See further details here.

Article Metrics

Back to TopTop