Next Article in Journal
Evaluation of Cadmium and Lead Accumulation in Edible Horse Tissues: A Food Safety Perspective
Previous Article in Journal
Investigation of the Control Strategies for Enhancing the Efficiency of Natural Gas Separation and Purification Processes
Previous Article in Special Issue
Experimental Assessment of Dynamic Stability and Energy Performance in Evacuated Tube Solar Collectors Incorporating Metal Foam Heat-Exchange Chambers
 
 
Due to scheduled maintenance work on our servers, there may be short service disruptions on this website between 11:00 and 12:00 CEST on March 28th.
Font Type:
Arial Georgia Verdana
Font Size:
Aa Aa Aa
Line Spacing:
Column Width:
Background:
Article

A Spectroradiometric Analysis of Alterations in Spectral Distribution and Their Impact on UV Index Estimation for Solar Resource Assessment

Mechanical, Energy and Management Engineering Department, University of Calabria, 87036 Rende, Italy
*
Author to whom correspondence should be addressed.
Processes 2026, 14(4), 701; https://doi.org/10.3390/pr14040701
Submission received: 7 January 2026 / Revised: 29 January 2026 / Accepted: 4 February 2026 / Published: 19 February 2026
(This article belongs to the Special Issue Design and Optimisation of Solar Energy Systems)

Abstract

The accurate estimation of the instantaneous UV Index (UVI) is critical for public health, yet it is often attempted using broadband pyranometers (measuring Global Horizontal Irradiance GHI) or photometers (measuring Lux). This approach is known to be unreliable, particularly under the complex radiative conditions induced by clouds. However, the physical mechanisms driving this failure, specifically the changes in the spectral quality of sunlight, are not fully quantified. This study utilizes a high-resolution spectroradiometer and pyranometer at a Mediterranean site (Rende, Italy), analyzing instantaneous UVI, GHI and a set of derived analytical metrics: the Erythemal Efficacy, the UV Spectral Quality Ratio and the Clearness Index. The core metric of the paper is the Erythemal Efficacy, designed to quantify the “spectral quality” or “biological hazard” per unit of total energy. It is defined as the ratio of the instantaneous UV Index to the instantaneous GHI measured by the pyranometer. The analysis confirms a decoupling between instantaneous UVI and broadband GHI, exhibiting a wide, non-functional scatter. The paper shows that this failure is caused by the high variability of the Erythemal Efficacy, which is not a constant. Its variability is shown to be linearly governed by the internal Ultraviolet A to Ultraviolet B (UVA/UVB) spectral ratio. Most critically, the Erythemal Efficacy was found to follow a counter-intuitive trend, increasing significantly as the Clearness Index decreases. The common assumption of clouds as spectrally “grey” attenuators is flawed. Clouds act as selective filters, attenuating the GHI, dominated by Visible to Near-Infrared (VIS/NIR), more severely than the UVI. This increases the relative biological hazard of the light that penetrates thick cloud cover. This study provides a physical explanation for the failure of broadband proxies and demonstrates that instantaneous GHI or Lux-based UVI alerts are fundamentally unreliable, as they fail to capture the critical variability of spectral quality.

1. Introduction

Solar ultraviolet radiation (UVR) reaching the Earth’s surface is conventionally divided into UV-A (315–400 nm) and UV-B (280–315 nm) spectral bands, which induce distinct biological responses. Although UV-B constitutes a minor fraction of the total solar irradiance, it is the primary driver of erythema. To quantify this biological effect, the Commission Internationale de l’Éclairage (CIE) introduced the reference erythema action spectrum S e r λ in 1987 [1], subsequently harmonized under the ISO 17166:1999 standard [2]. This spectral weighting function is fundamental for determining the erythemal effective irradiance (UV-E), the radiometric quantity underlying the UV Index (UVI). Adopted by the World Health Organization (WHO) [3] as the global standard for public health, the UVI is a dimensionless metric essential for communicating solar exposure risk and guiding photoprotection strategies. However, the assessment of this risk is non-trivial, as UV exposure is not uniform but varies significantly across different anatomical sites, as demonstrated by Wright et al. [4], necessitating highly accurate environmental monitoring.
The continuous and accurate monitoring of the UV Index is a critical requirement for public health strategies, serving as the primary tool to mitigate the rising incidence of skin pathologies related to solar overexposure. To remain effective for risk communication, UVI data must be not only temporally resolved but also spatially distributed, capturing the high variability of local microclimates. However, a significant technological dichotomy hinders the deployment of capillary monitoring networks. Spectroradiometers, the reference instrumentation for UV metrology, ensure high spectral precision and excellent stray-light rejection, but their prohibitive cost, operational complexity, and maintenance requirements make them unsuitable for widespread, high-density sensor grids. Conversely, low-cost broadband radiometers suffer from inherent spectral mismatches and angular response errors, issues that require rigorous quality assurance protocols as highlighted by Antón et al. [5], often failing to provide the metrological reliability required for safety-critical applications. While alternative methods such as film dosimetry, recently improved by Welch and Brenner [6], offer valid solutions for assessing cumulative exposure, they lack the real-time capability essential for instantaneous UVI alerts. This gap underscores the urgent need for methodologies capable of bridging the trade-off between measurement accuracy, temporal resolution, and network scalability.
The accurate monitoring of solar ultraviolet radiation is a priority for public health, given the established link between cumulative dose and skin pathologies recently investigated in ultra-endurance athletes by Gutiérrez-Manzanedo et al. [7]. Consequently, the literature is filled with studies that monitor UVI using ground-based instrumentation or satellite data retrieval to assess health risks. For instance, Bilbao and de Miguel [8] utilized extensive ground-based datasets in Central Spain to characterize Erythemal Solar Irradiance and UVI, providing a robust baseline for validation. Expanding on the health implications, Malinović-Milićević et al. [9] investigated the risks associated with extended exposure to low-level UV radiation, highlighting the need for accurate monitoring even in non-extreme conditions.
A cost-effective and widely adopted approach involves estimating UVI using broadband sensors (pyranometers) coupled with radiative transfer models. Historically, robust semi-empirical models for estimating global and diffuse irradiance on tilted surfaces have been established by Perez et al. Specifically, their earlier foundational work [10] developed algorithms for determining the anisotropic distribution of diffuse radiation, while their subsequent refinements [11] improved the separation of direct and diffuse components based on sky clearness and brightness parameters.
Building on these foundations, several authors have attempted to extend these broadband models to the ultraviolet spectrum. Serrano, Utrillas et al. [12] focused on modeling erythemal irradiance by incorporating geometric corrections for vertical planes, a critical aspect for human exposure. They further advanced this field in a related study [13], where they successfully modeled the UV Index on tilted planes by applying specific UV anisotropic factors. Scaglione et al. [14] focused on decoupling the effects of ozone and aerosols. To improve estimation accuracy without complex instrumentation, Antón et al. proposed simple analytical formulas to estimate UVI under all sky conditions [15], successfully applying these methods to reconstruct historical UVI time series using total ozone and Clearness Index as proxies [16]. Regarding the influence of cloudiness, Alados-Arboledas et al. [17] attempted to parameterize the effect of clouds on erythemal irradiance using modification factors based on cloud amount.
However, relying on these proxies presents significant challenges, as validation studies consistently reveal that standard models struggle whenever atmospheric conditions deviate from the ideal clear-sky scenario. The primary limitation is not merely geographical, but physical: the complex interaction between radiation and atmospheric constituents. For instance, Damiani et al. [18] compared satellite-derived data with ground stations, revealing that while retrieval algorithms perform well in stable conditions, they suffer from substantial discrepancies under complex cloud cover. Similarly, Sharma et al. [19] demonstrated that local variations in atmospheric constituents (such as aerosols) introduce spectral heterogeneity that standard models often fail to capture. The limitations of broadband extrapolation become even more critical under variable skies; Dahlback et al. [20] observed UVI values exceeding 20 under partially cloudy conditions, emphasizing the non-linear phenomenon of cloud enhancement which simple radiative models cannot predict. This disconnect was further corroborated by Casale et al. [21], who highlighted that in highly variable environments, the actual biological dose cannot be simply extrapolated from standard irradiance measurements. These discrepancies confirm that cloud variability and atmospheric scattering introduce specific spectral errors that broadband proxies are inherently unable to resolve.
In response to these challenges, this research presents a high-resolution spectroradiometric monitoring campaign conducted at the Mediterranean site of Rende (CS, Italy). The primary objective is to methodologically decouple the biological risk (UVI) from the total incident energy (GHI), treating their ratio not as a constant, but as a dynamic variable governed by atmospheric physics. By correlating the internal UV spectral quality with solar geometry and atmospheric attenuation (quantified by the Clearness Index), this study isolates the specific spectral mechanisms that standard radiative models fail to capture. Ultimately, this analysis aims to define the rigorous operational limits of common pyranometers, demonstrating why and when they become unreliable for public health monitoring.
The scientific novelty of this study lies in its shift from merely quantifying estimation errors to diagnosing their physical root causes. Unlike previous works limited to validating broadband sensors, this research provides three specific contributions: the systematic definition and quantitative characterization of ‘Erythemal Efficacy’ as a dynamic variable; (2) the demonstration that its variability is linearly governed by the internal UVA/UVB spectral ratio; and (3) the revelation of a counter-intuitive inverse dependence between Erythemal Efficacy and the Clearness Index. This final finding is critical, as it physically demonstrates that clouds act as selective filters, attenuating broadband energy more severely than biological risk.
The paper is organized as follows. Section 2 details the experimental site, the high-resolution spectroradiometric instrumentation, and the data processing protocols. Section 3 presents the results and discussion, following a logical progression: first, it empirically demonstrates the limitations of estimating UVI from broadband proxies; next, it quantifies the diurnal variability of the UV spectral composition; and finally, it introduces the Erythemal Efficacy metric to physically explain the deviations driven by solar geometry and cloud enhancement phenomena. Section 4 summarizes the main conclusions and their implications for UV monitoring strategies.

2. Methodology

2.1. Measurement Site and Instrumentation

Spectral irradiance measurements were conducted at the campus of the University of Calabria, located in Rende (CS), Italy (39.21° N, 16.12° E). The monitoring station was installed on the rooftop of the 46/C building at an altitude of 230 m a.s.l., ensuring a free horizon, thereby minimizing obstructions or reflections that could influence the measurement of global radiation. The station was equipped with two co-located instruments:
-
A broadband global irradiance pyranometer: A Kipp & Zonen CMP 11 pyranometer (Delft, The Netherlands) was used as the primary reference for global horizontal irradiance (GHI). This secondary standard thermopile instrument measures total solar irradiance across a spectral range of 285 nm to 2800 nm. The instrument was maintained level, and its signal was recorded at 1 min intervals. The relative uncertainty for GHI values is <3%.
-
An MS-711 spectroradiometer (EKO Instruments, Tokyo, Japan), shown in Figure 1, was used to resolve the spectrum. This double-monochromator diffraction grating spectrometer measures spectral irradiance over a range of 300 nm to 1100 nm with a spectral resolution (FWHM) of 0.4 nm. The expanded calibration uncertainty varies across the spectrum, ranging from ±19.8% in the lower UV range (300–310 nm) down to ±3.2% in the Near-Infrared (1050–1100 nm), with a stable uncertainty of ±4.0% across the primary range of 310–1050 nm. The instrument was mounted horizontally. Spectral scans were acquired at a 5 min temporal frequency and time-aligned with the 5 min-averaged GHI data from the pyranometer.

2.2. Calculation of Derived Radiometric Quantities

The analysis relies on data from both instruments. The primary GHI values (in W / m 2 ) were taken directly from the CMP 11 pyranometer. The raw spectral irradiance data E λ (in W / ( m 2 nm ) ) from the MS-711 spectroradiometer was used to calculate all spectrally dependent quantities. This includes the energy in the primary UV bands, I U V B (300–315 nm) and I U V A (315–400 nm):
I U V B = 300 nm 315 nm E λ   d λ
I U V A = 315 nm 400 nm E λ   d λ
To quantify the biologically effective irradiance relevant to human skin damage, the measured spectral irradiance E λ was weighted by the CIE erythemal action spectrum S e r λ [1]. This dimensionless weighting function describes the wavelength-dependent sensitivity of human skin to erythema. The effective erythemal irradiance ( U V E ), representing the total erythemal power of the sunlight in W / m 2 , was calculated as
U V E   ( W / m 2 ) = 300 nm 400 nm E λ S e r λ   d λ
The integration was performed numerically as a discrete summation over the measured wavelengths. From this, the dimensionless UV Index (UVI), the standard parameter for public risk communication, was derived by applying the standard scaling factor of 40   m 2 / W [3]:
U V I = U V E × 40
As detailed above, the GHI measured by the standard pyranometer has a relative uncertainty of δ G H I G H I = 3 % . For the spectral measurements, the MS-711 spectroradiometer presents a wavelength-dependent uncertainty. Crucially, the expanded uncertainty is highest (19.8%) in the lower UV range (300–310 nm). Since the S e r peaks in this exact region and decreases exponentially at longer wavelengths, the calculation of the integral UVI is heavily influenced by this band. Therefore, a conservative estimate for the relative uncertainty of the UVI measurement is δ U V I U V I 20 % .

2.3. Definition of Erythemal Efficacy and Spectral Indicators

While the UVI quantifies instantaneous risk, a key parameter for epidemiological studies and chronic effects (e.g., photoaging, carcinogenesis) is the cumulative daily exposure. This was calculated by time-integrating the 5 min effective erythemal irradiance over the entire course of a day (from sunrise to sunset). The resulting metric is the Daily Erythemal Dose (UVE Dose), which represents the total erythemal energy deposited on a horizontal surface, expressed in kilojoules per square meter ( kJ / m 2 ):
U V E   Dose = d a y U V E   d t
which is calculated in discrete form considering an acquisition time of 300 s.
To investigate the physical mechanisms driving the observed UV risk, and specifically to deconstruct the relationship between broadband energy and biological effectiveness, a set of three advanced analytical metrics was defined.
-
Erythemal Efficacy ( E f )
This is the central metric of this study, designed to quantify the “spectral quality” or “biological hazard” per unit of total energy. It is defined as the ratio of the instantaneous UV Index to the instantaneous GHI measured by the pyranometer:
E f = U V I G H I
This metric (units: UVI / ( W / m 2 ) ) normalizes the biological risk by the total available solar power. A stable E f would imply that GHI is a reliable proxy for UVI. Conversely, a variable E f indicates that the spectral composition of sunlight is changing, decoupling the total energy from the biological risk.
The Erythemal Efficacy metric extends the concept of spectral efficacy to the biological domain by substituting the photopic response with the CIE erythemal action spectrum. The ratio E f isolates the biological contribution of the UV spectrum from the total incident energy, effectively decoupling solar intensity from spectral quality. Variations in E f therefore directly reflect changes in spectral distribution caused by atmospheric scattering, ozone absorption, and cloud filtering. The choice of GHI for normalization was made because it is the most widely monitored solar parameter globally.
The uncertainty for the Erythemal Efficacy is calculated using the root-sum-square method:
δ E f E f = δ U V I U V I 2 + δ G H I G H I 2 = 0.198 2 + 0.03 2 20.2 %
-
UV Spectral Quality Ratio ( R U V )
To investigate the source of the efficacy’s variability, this internal spectral ratio was defined. It compares the energy in the highly erythemogenic UVB band to the less active (but more abundant) UVA band:
R U V = I U V B I U V A
This dimensionless ratio serves as a direct proxy for the “quality” of the UV spectrum. Unlike the E f , which involves the biologically weighted UVI and is therefore sensitive to the higher uncertainty in the 300–310 nm range, the R U V metric relies on unweighted physical irradiance. Since the I U V B is overwhelmingly dominated by the 310–315 nm spectral region, where the instrument’s uncertainty is low, we assume a relative uncertainty of 4.0% for both the UVB and UVA integrals. Consequently, the expanded uncertainty for the spectral ratio is derived as
δ R U V R U V = δ I U V B I U V B 2 + δ I U V A I U V A 2 = 0.04 2 + 0.04 2 5.7 %
-
Solar elevation angle and Clearness Index ( k t )
To contextualize the measurements relative to atmospheric conditions, the solar position and extra-terrestrial irradiance were calculated. The Solar Elevation Angle ( θ s , the angle of the sun above the horizon) was calculated for each timestamp to analyze the baseline effects of Air Mass.
Furthermore, the extra-terrestrial horizontal irradiance ( G 0 ), representing the theoretical maximum solar irradiance on a horizontal plane at the top of the atmosphere, was calculated using standard algorithms [22] accounting for the day of the year (Earth–Sun distance) and the solar elevation angle.
Using G 0 , the formal Clearness Index ( k t ) was calculated. This metric quantifies the total attenuation of solar radiation by the atmosphere:
k t = G H I G 0
k t is a dimensionless index that describes the sky condition. It is useful to distinguish between clear, pristine skies and attenuation by thick clouds. This metric allows for the analysis of spectral properties as a function of atmospheric transmittance.

2.4. Analytical Workflow

This section outlines the logical flow of the analysis, which is designed to systematically deconstruct the relationship between broadband solar energy and erythemal risk. The methodology follows a three-step progression. First, the central problem is established by testing the hypothesis that common broadband sensors are unreliable proxies for instantaneous biological risk. This is achieved by performing a comprehensive correlation analysis between the instantaneous UVI (the “risk”) and the primary broadband metrics: GHI and Illuminance. The goal is to quantitatively document the scatter and uncertainty in these relationships. Second, the analysis isolates the root cause. The scatter is caused by the high variability of the Erythemal Efficacy, which is the non-constant ratio of UVI to GHI. This metric is analyzed as a function of time and meteorological conditions (e.g., clear vs. cloudy) to demonstrate its dynamic and stochastic nature. Third, the final and most critical part of the analysis deconstructs the physical drivers of this efficacy’s variability. Instead of using time as a variable, the efficacy is treated as the dependent variable and is correlated against the fundamental physical mechanisms that govern it:
-
Solar Altitude: E f is plotted against the Solar elevation angle to isolate the baseline effect of Air Mass on spectral quality during clear-sky conditions.
-
Spectral Coherence: E f is correlated with the internal UV Spectral Quality Ratio to validate the physical mechanism
-
Atmospheric Attenuation: E f is analyzed as a function of the Clearness Index for the entire dataset.
This final step isolates the specific spectral-filtering impact of clouds and atmospheric aerosols, moving beyond the simple “clear vs. cloudy” dichotomy. This multi-step approach allows the analysis to move from identifying a correlation failure to physically explaining its spectral origins.

3. Results and Discussion

3.1. Spectral and Diurnal Risk Characterization

The initial phase of the analysis involves the characterization of the raw GHI measured by the MS-711 spectroradiometer (300–1100 nm). Unlike a broadband pyranometer, which integrates all energy into a single value, the spectroradiometer provides the precise spectral composition of the incident sunlight. The raw data shows that the terrestrial solar spectrum is not a smooth, idealized blackbody curve. It is a complex structure defined by the incident solar radiation modified by atmospheric absorption and scattering. The most prominent features are the atmospheric absorption bands, which appear as sharp valleys in the spectrum. In the measured spectra, these bands are clearly evident for: oxygen ( O 2 ) with a sharp absorption line near 760 nm; water vapor ( H 2 O ) with a prominent, wide absorption band centered around 940 nm, with another beginning beyond 1100 nm; ozone ( O 3 ) with a main absorption in the UV and a little influence in the visible, though the dominant effect is the sharp cut-off of the spectrum below 340 nm, which defines the UVB limit at the surface.
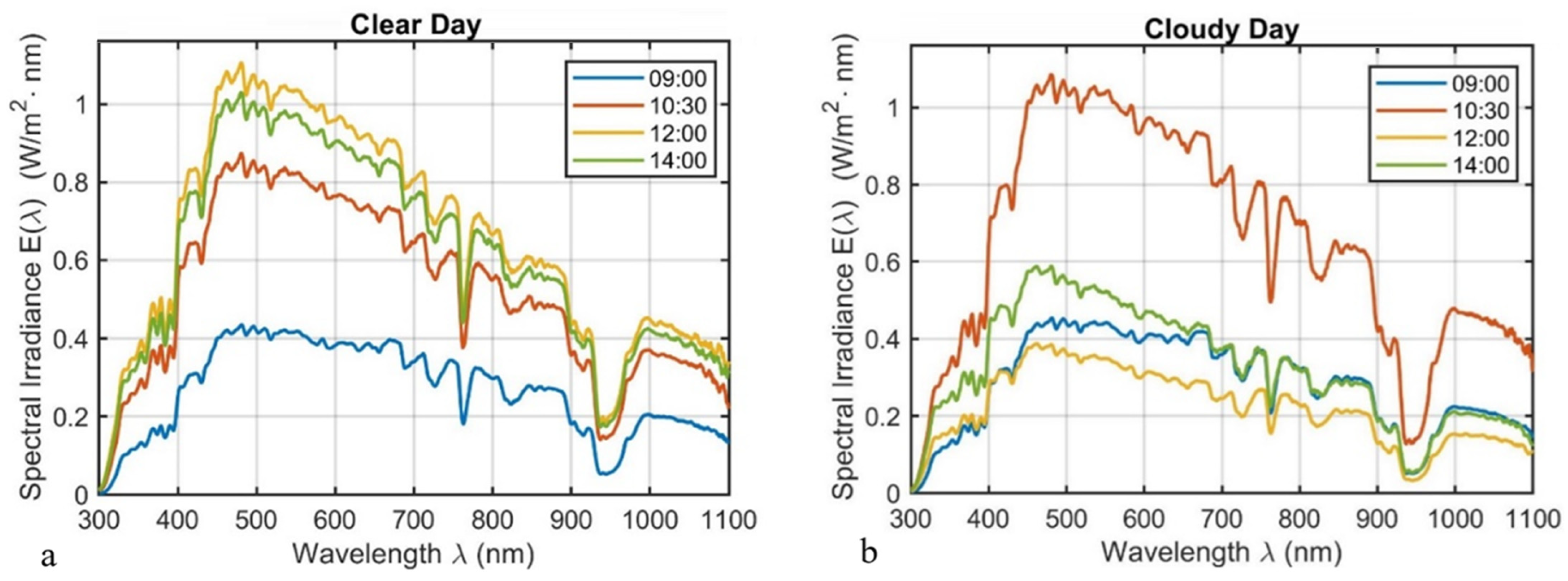
To understand the temporal variability of these data, two representative case studies are presented: a clear-sky day (5 November) and a day with variable cloud cover (3 November). Figure 2 illustrates the spectral evolution on a clear-sky day (a) and during a day with variable (partly cloudy) conditions (b) at four different times (09:00, 10:30, 12:00, and 14:00).
The analysis of Figure 2a highlights a predictable and orderly progression governed by solar altitude. The 09:00 spectrum shows the lowest intensity due to high air mass (low solar elevation), resulting in strong atmospheric attenuation scattering and absorption. As solar elevation increases, spectral intensity grows uniformly across all wavelengths (10:30 and 12:00 curves). The similarity between the 14:00 and 12:00 spectra indicates “true solar noon” occurred between these measurements. Importantly, the spectral shape—including the visible peak and atmospheric absorption bands—remains coherent throughout the day, confirming stable atmospheric conditions.
Figure 2b demonstrates the profound and chaotic impact of cloud cover, which completely overrides the predictable diurnal solar geometry. The orderly progression seen in Figure 2a is absent, and the behavior becomes stochastic. The primary effect is attenuation. The 12:00 spectrum is lower than the 10:30 spectrum (red), indicating the transit of a thick cloud over the instrument, which blocked a significant fraction of the solar radiation. Conversely, the 10:30 spectrum is the most remarkable observation. Its peak irradiance in the visible spectrum (~500 nm) exceeds 1.1 W / ( m 2 nm ) , a value significantly higher than the maximum observed during the clear-sky day (cf. Figure 2a). This phenomenon is known as Cloud Enhancement (or the broken cloud effect) [23]. It occurs when the solar disk itself is unobstructed, providing full direct radiation, but nearby clouds, particularly the bright edges of cumulus clouds, act as additional reflectors, scattering extra radiation toward the sensor. This results in brief but intense spikes of irradiance that can exceed clear-sky values.
Furthermore, a close morphological analysis of Figure 2b reveals that clouds are not simple “grey” attenuators. A distinct difference exists between the 09:00 and 14:00 spectra. The 09:00 spectrum, while heavily attenuated, is relatively smooth, suggesting attenuation dominated by scattering, indicative of a uniform stratus layer. The 14:00 spectrum, however, is more jagged, particularly in the 700–1000 nm (Near-Infrared, NIR) region. This irregular shape is the spectral signature of liquid water absorption within the cloud. Unlike the narrow absorption bands of water vapor (e.g., 940 nm), liquid water droplets exhibit broad and complex absorption in the NIR. The 14:00 measurement thus captured a cloud with sufficient optical thickness and liquid water content to imprint its own absorption signature onto the transmitted solar spectrum.
This initial spectral analysis demonstrates that while clear-sky conditions are governed by predictable physics (solar geometry, Air Mass), variable-sky conditions are dominated by non-linear and stochastic effects. The spectroradiometer is not only measuring attenuation but is also capable of detecting dynamic changes in the physical properties of the clouds (such as water phase), highlighting the difficulty of estimating UV risk based on visual (VIS) intensity alone.

3.2. UV Spectral Analysis and Erythemal Weighting Methodology

Having characterized the full-range spectrum (300–1100 nm), the analysis now focuses on the region of primary biological importance: the ultraviolet (UV) band from 300 to 400 nm. While the previous section showed this region to be energetically minor compared to the visible peak, its biological significance is paramount. The measured UV irradiance does not directly quantify the risk to human skin. A UVA photon at 380 nm is thousands of times less effective at causing an erythema than a UVB photon at 300 nm.
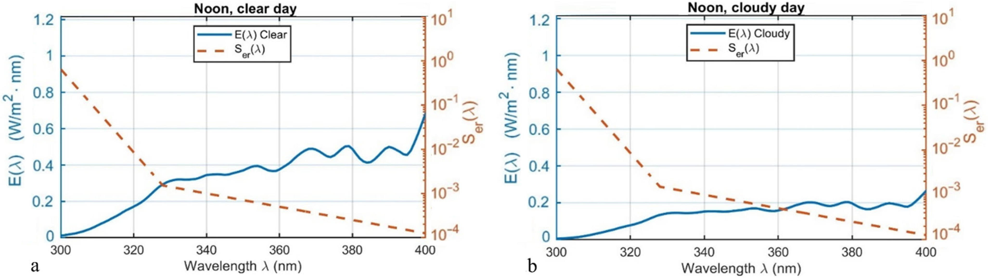
To translate this physical measurement into biological risk, the CIE Erythemal Action Spectrum S e r λ is employed [1]. This international standard functions as a biological weighting filter, normalized to 1.0 at its peak (298 nm), which describes the relative sensitivity of average human skin. It decreases exponentially toward the less energetic UVA wavelengths. Figure 3 visually illustrates this weighting methodology. They overlay the measured spectral irradiance E λ with the S e r λ action spectrum for the solar noon measurement on both the clear and cloudy days.
These two plots are key to understanding the risk calculation. They reveal:
  • Where the solar energy E λ is high (in the UVA region), the skin’s sensitivity S e r λ is near zero (over 330 nm).
  • Where the skin’s sensitivity S e r λ is maximum (in the UVB region), the available solar energy E λ is very low, having been almost entirely filtered by the ozone layer.
The true biological risk is not represented by either curve individually, but by their overlap, which is the mathematical product of the two curves at each wavelength. By comparing the trends, E λ curve in Figure 3b is severely attenuated by the cloud cover (peaking at ~0.2 W / ( m 2 nm ) vs. ~0.6 W / ( m 2 nm ) on the clear day). The result of this product is the Effective Spectral Erythemal Irradiance (UV-E). This derived quantity represents the precise contribution of each wavelength to the erythema risk. Figure 4 shows this calculated UV-E curve for the clear and cloudy noon, respectively.
The shape of the green area in Figure 4a represents the erythemal irradiance for the clear-sky day. The risk becomes virtually negligible above 330 nm. The curve remains elevated up to this wavelength because skin sensitivity is very high in this region and, at the same time, a sufficient fraction of solar UVB still penetrates the atmosphere. The total area under this curve is 0.1191 W/m2. Figure 4b applies the same analysis to the cloudy-day spectrum. The underlying physical and biological mechanisms are unchanged, leading to a curve with a similar shape. However, its magnitude is substantially reduced, with a peak of only 0.0032 W / ( m 2 nm ) compared to 0.0075 W / ( m 2 nm ) on the clear day. This reduction is a direct consequence of cloud attenuation. The integral over the curve is 0.0509 W/m2. A direct comparison of these two values allows for a precise quantification of the cloud’s protective effect: the cloud cover present at noon on 3 November reduced the instantaneous potential for skin damage by 57.2% compared to clear-sky conditions.

3.3. Diurnal UV Index Analysis and the Impact of Cloud Cover

The preceding sections established the methodology for calculating the instantaneous, biologically effective erythemal irradiance (UV-E). While these values are physically correct, they are not intuitive and are unsuitable for effective public risk communication. To bridge this gap, the World Health Organization [2] introduced the UV Index (UVI). The UVI is a dimensionless, linear, and standardized parameter designed to be universally comprehensible. The most significant result of this measurement campaign, however, is not a single-point calculation but the temporal evolution of the UVI, calculated for every 5 min spectrum acquired. Figure 5 presents this diurnal trend, comparing three days with distinct meteorological conditions.
The blue curve (5 November) represents the clear-sky baseline. It exhibits a perfect, smooth, and predictable bell shape, symmetric around the solar noon. The UVI is zero at sunrise, grows slowly, and then accelerates as the sun rises. This increase is a direct consequence of the rapid decrease in Air Mass, which, as shown in Figure 4, allows a disproportionately larger fraction of UVB to reach the surface. The curve peaks not at 12:00 clock time, but slightly before 13:00. This is the local solar noon, which is offset from 12:00 due to the site’s specific longitude within the time zone and the Equation of Time. The maximum UVI on this November day reached 5.0. The green curve (October 31) illustrates the opposite extreme: a heavily overcast day. The curve is drastically suppressed, and its bell shape is barely discernible. The clouds act as a persistent attenuator, reducing the UVI peak to 2.4. The small irregularities in the curve indicate that the cloud cover, while thick, was not perfectly homogeneous.
The red curve (3 November) represents the most complex and common scenario: a partly cloudy, variable sky. Its behavior is highly stochastic, chaotic, and jagged, with the UVI fluctuating rapidly. For much of the day, the curve lies below the blue baseline, which is expected as passing clouds attenuate the sun (e.g., at 13:00, the UVI is suppressed from a potential 5.0 to 2.0). An interesting observation is the event occurring just before 13:00. A peak causes the red curve to exceed the clear-sky baseline, reaching a momentary maximum of UVI 3.9. This is a clear example of the “cloud enhancement” effect. This flash of intense UV radiation is particularly insidious because it occurs on a day that might be perceived as “safer” due to the presence of clouds, yet it can deliver a peak biological hazard exceeding that of a perfectly clear day.

3.4. Analysis of Inter-Diurnal Risk Variability

While the diurnal profiles are essential for understanding the physical processes within a single day, a complete risk assessment requires an analysis of the inter-diurnal variability. Two different metrics are necessary for this: the Maximum Daily UV Index (UVI Max), which quantifies the peak instantaneous hazard (crucial for acute effects like erythema), and the Daily Erythemal Dose (UVE Dose), which quantifies the total cumulative exposure (crucial for chronic effects like carcinogenesis). Figure 6 presents the temporal evolution of both metrics concurrently over the monitoring period.
At first glance, the two parameters appear partially coupled. A clear example is October 31; this day, previously identified as “Very Cloudy”, logically records the lowest UVI Max of the period (2.4) and, concurrently, the lowest cumulative UVE Dose (0.7 kJ/m2). This demonstrates that a persistent, thick overcast layer effectively suppresses both the peak instantaneous risk and the total daily accumulated energy. However, a closer inspection of the graph reveals an important decoupling between these two metrics, which holds a significant physical interpretation. This apparent paradox is best illustrated by comparing two specific days: 22 October and 5 November. 22 October records one of the highest peak risks of the entire period, with a UVI Max exceeding 6.0 (entering the “High” risk category: UVI 6–7). Based on this peak value, one might expect a proportionally high cumulative dose. Instead, the UVE Dose for 22 October is relatively low, equal to 1.05 kJ/m2. 5 November presents the exact opposite scenario. This clear sky day shows a moderate UVI Max of 5.0, significantly lower than the peak on 22 October. Yet, it records one of the highest cumulative doses of the period: 2.4 kJ/m2.
The physical meaning of this decoupling is fundamental. The UVI Max, as an instantaneous value, is extremely sensitive to transient phenomena. The exceptionally high UVI Max on 22 October is almost certainly the result of a brief but intense “cloud enhancement” event. This “flash” of radiation is sufficient to define the daily maximum, but if the rest of the day was predominantly cloudy, the total time integral remains low. Conversely, 5 November was a clear, stable day. It experienced no artificial enhancement, so its UVI Max was simply the natural, moderate peak of the diurnal bell curve. However, the irradiance was sustained and unobstructed for many consecutive hours around solar noon. The total integral is therefore far greater than the integral of a chaotic day characterized by attenuation and only brief spikes.
This analysis demonstrates that UVI Max and UVE Dose are not interchangeable and describe two different aspects of risk. UVI Max captures the instantaneous hazard, which in variable skies can be misleadingly high. UVE Dose captures the total exposure, which is maximized not by transient peaks, but by stable, persistent clear-sky conditions. This distinction is critical for both physical modeling and accurate public health communication.

3.5. Correlation of Instantaneous Risk with Broadband Radiometric Parameters

Having established that UVE Dose can be decoupled from peak instantaneous risk (UVI Max), the analysis now investigates the core challenge of real-time risk assessment: the relationship between instantaneous UVI and common broadband sensor data. This analysis is crucial for evaluating the feasibility of using simple pyranometers or photometers as proxies for public alert systems. The analysis begins by correlating the instantaneous UVI (derived from the spectroradiometer) with the instantaneous Global Horizontal Irradiance (GHI, measured by the Kipp & Zonen pyranometer). Figure 7 presents this relationship, where each point represents a single 5 min-averaged measurement.
The plot in Figure 7 does not show a clear, functional relationship but rather a wide scatter plot characterized by extensive dispersion. While a general positive trend is visible (higher GHI tends to correspond to higher UVI), the relationship is non-unique. To quantify this uncertainty, a vertical slice of the data can be analyzed: at a GHI value of 400 W/m2, for example, the corresponding UV Index spans a range from approximately UVI 2.0 (Low risk) to UVI 5.0 (Moderate risk). This signifies that for the exact same total energy input, the potential for biological damage can vary by a factor of more than two. This pronounced dispersion is the empirical proof that the ratio between UVI and GHI is not constant. The physical significance of this scatter is twofold:
-
Air Mass Effect: The ratio of UVB to the total spectrum is not constant, but changes with solar elevation. Even on a perfectly clear day, this effect creates a non-linear relationship (the UVI/GHI ratio at 200 W/m2 in the morning is different from that at 200 W/m2 in the afternoon).
-
Cloud Effect: Clouds are the primary source of the stochastic, vertical scatter. Their complex optical properties (thickness, water phase, 3D geometry) alter the spectral composition in complex ways. The cloud enhancement phenomenon (Section 3.4) contributes to the points in the upper-left of the scatter plot (high UVI for a given GHI).
To investigate whether this failure is specific to radiometric (energy) sensors, the analysis was repeated using photometric data. Illuminance (measured in Lux) quantifies radiation weighted by the human eye’s sensitivity (the photopic curve, peaking at 555 nm) [24]. This analysis answers a practical question: is the human perception of “brightness” a reliable indicator of erythemal risk? Figure 8 plots the correlation between instantaneous UVI and Illuminance.
The result mirrors the conclusion from Figure 7. A wide scatter plot is observed, with no unique functional relationship. For an illuminance value of 40 kLux, which the human eye would perceive as very bright, the associated UV Index can range from a low-risk UVI 1.1 to a moderate-risk UVI 4.2. The physical reason for this failure is the complete spectral disconnect between the two quantities. The human eye’s sensitivity (visible band) and the erythemal action spectrum (peak at 298 nm, negligible above 325 nm) are entirely disjunct. The ratio of energy at 310 nm to energy at 555 nm is not constant because it is independently modulated by the same atmospheric factors (Air Mass, ozone, and clouds), making visual perception an unreliable proxy for UV risk. This series of analyses leads to an unequivocal and methodologically important conclusion: instantaneous UV Index cannot be reliably estimated from any of the common broadband radiometric or photometric measurements. The fundamental cause of this failure, evident in all three plots, is the high variability of the spectral composition (or “quality”) of the sunlight, which these broadband sensors, by definition, cannot capture. The following sections will therefore be dedicated to isolating and quantifying this spectral variability to provide the physical explanation for the dispersion observed here.

3.6. Analysis of Spectral Quality and Erythemal Efficacy

The previous section demonstrated that the poor correlation between UVI and broadband sensors is due to the high variability of the spectral composition of sunlight. This section focuses on quantitatively isolating the spectral variability in order to clarify the physical processes that determine the hazardous potential of solar radiation. First, the analysis focuses on how the UV energy fraction contributes to the GHI on a clear day (5 November). This analysis deconstructs the GHI (defined as 100%) into its constituent percentage fractions of UVA and UVB. Figure 9 illustrates the diurnal evolution of these fractions.
The analysis of Figure 9 requires separate consideration of the two Y-axes. The blue curve (left axis) shows the UVA fraction. This percentage is observed to be relatively stable during the central hours of the day, contributing approximately 5–6% of the total solar energy. The orange curve (right axis) shows the UVB fraction. Its behavior is radically different. It is not a flat line but a distinct bell-shaped curve. The UVB fraction is almost zero at sunrise and grows progressively to reach a maximum at solar noon (around 13:00), where it constitutes approximately 0.15% of the total energy, and then symmetrically decreases toward sunset.
This graph provides the quantitative explanation for the scatter in Figure 7. The UVB/GHI ratio is not constant but varies systematically throughout the day due to wavelength-dependent atmospheric attenuation. UVB undergoes stronger Rayleigh scattering (∝λ−4) and ozone absorption than longer wavelengths [25,26]. During high air mass conditions (morning/evening), the extended optical path preferentially attenuates UVB, while at solar noon, the reduced path length allows proportionally more UVB transmission. Consequently, the UVI vs. GHI relationship cannot be linear—the ratio is inherently time dependent, explaining the systematic non-linearity observed in the correlation analysis.

3.7. Analysis of UV Spectral Quality (UVB/UVA Ratio)

The previous section demonstrated that the UVB fraction is highly dependent on solar geometry. To further isolate the quality or the hazard within the UV band itself, an important parameter is the ratio of UVB to UVA irradiances ( I U V B / I U V A ). As UVA is far less erythemogenic than UVB, a high value for this ratio indicates a UV spectrum that is intrinsically more hazardous. Figure 10 shows the diurnal evolution of this UVB/UVA ratio for the clear-sky day and the variable-sky day.
The analysis of the blue curve (clear sky) confirms the physical mechanism previously described. The UVB/UVA ratio is not constant throughout the day but follows a perfect, smooth, bell-shaped curve, governed entirely by the Air Mass. The quality of the UV radiation is minimal at sunrise and sunset and reaches a well-defined maximum at the local solar noon (approx. 13:00). This confirms that the changing solar geometry (Air Mass) is the predictable, systematic driver of UV spectral quality on a clear day. The analysis of the orange curve (partly cloudy) is even more instructive. Its behavior is chaotic, reflecting the irregular transit of clouds. Two key observations can be made:
-
Baseline Envelope: Despite its chaos, the orange curve fluctuates around the blue clear-sky curve. The clear-sky curve acts as the physical baseline, defining the maximum potential UV quality dictated by the solar geometry at that time of day.
-
Cloud Attenuation Effect: The graph suggests that, within the UV band, clouds often act as a largely non-selective (or grey) attenuator. When a cloud passes, it often attenuates both UVA and UVB proportionally, causing the ratio (the red curve) to fluctuate randomly around the clear-sky baseline rather than systematically deviating from it.
This graph, therefore, successfully deconstructs the two main sources of spectral variability. The bell-shaped curve is the cause of the systematic, non-linear error when correlating UVI with GHI. The stochastic noise is the cause of the random scatter (the vertical dispersion) seen in Figure 7.

3.8. Quantifying the Erythemal Efficacy

The previous analyses can be synthesized into a single, powerful metric: the Erythemal Efficacy ( E f ). This metric quantitatively answers the question, “How much erythemal risk (UVI) is delivered by each Watt of total solar energy?” If this ratio were constant, the UVI vs. GHI plot (Figure 7) would be a perfect straight line. Figure 11 shows the diurnal evolution of this efficacy for the two sample days.
The clear-sky efficacy (blue curve) follows the expected bell-shaped curve dictated by air mass, ranging from 0.004 UVI/W/m2 at 09:00 to ~0.009 UVI/W/m at solar noon—confirming that noon irradiance is twice as “effective” due to enhanced UVB content. Under variable conditions (orange curve), the efficacy fluctuates stochastically, directly causing the correlation scatter observed in Figure 7. Critically, instantaneous peaks (e.g., at 09:45, 10:45, 13:30) exceed the clear-sky baseline, demonstrating that cloud enhancement not only increases total irradiance but also enriches the spectral composition with erythemogenic wavelengths, making the incident light intrinsically more hazardous than clear-sky conditions.

3.9. Physical Drivers of Erythemal Efficacy

This final section deconstructs why the efficacy itself varies by correlating it directly with its governing physical mechanisms, moving away from time-of-day as a variable.

3.9.1. Efficacy vs. Solar Altitude

The first and most dominant factor controlling spectral quality on a clear day is solar geometry, represented here by the Solar Elevation Angle. Figure 12 plots Efficacy as a function of Solar Elevation, separating the “Clear Day” (5 November) from the “Cloudy Day” (3 November).
Clear-sky data collapse into a tight, non-linear curve representing the baseline atmospheric transfer function. At low solar elevations, high air mass preferentially attenuates UVB relative to VIS/NIR, minimizing efficacy. As solar elevation increases, UVI grows disproportionately faster than GHI, causing efficacy to rise sharply. Cloudy-day data scatter above the clear-sky baseline, confirming that cloud-filtered light is intrinsically more erythemogenic for a given solar position—consistent with selective spectral attenuation.

3.9.2. Coherence of Efficacy and UV Spectral Quality

This final analysis serves as a coherence test to validate the source of Efficacy’s variability, removing the time variable entirely. Figure 13 correlates the total Efficacy directly with the internal UV Spectral Quality Ratio ( R U V = I U V B / I U V A ).
The plot reveals a distinct positive dependence, confirming that the “hazard” per Watt of solar energy is strictly governed by the internal composition of the UV band. For the clear day, the data points collapse into a tight, almost deterministic curve. This confirms that under clear conditions, the relationship between spectral balance and efficacy is fundamental and driven purely by the physics of atmospheric transfer. While following the general trend, the cloudy data exhibit significant scatter and tend to position themselves above the clear-sky baseline. This indicates that for a given spectral ratio, cloudy conditions often result in a higher Erythemal Efficacy than predicted by the clear-sky model. This suggests that while the GHI (dominated by VIS/NIR) is heavily attenuated by clouds, the erythemal UV component is preserved or enhanced more efficiently relative to the total energy. Thus, the variability in efficacy is not random noise; it is the mathematical result of a spectral shift where the numerator (UV Hazard) and denominator (GHI) are decoupled by cloud optics.

3.9.3. Efficacy vs. Atmospheric Attenuation

The final plot shown in Figure 14 analyzes efficacy against the total atmospheric attenuation using the Clearness Index. This plot includes all valid data from the entire measurement period to show the general statistical behavior.
The resulting scatter plot is not random but shows a distinct, inverted “L” shape, revealing two different atmospheric regimes.
-
k t > 0.5: On the right, a dense cluster of points represents clear-sky conditions. Here, efficacy is stable and confined to a narrow band (0.005–0.01), where its residual variation is driven by solar elevation (as seen in Figure 12).
-
k t < 0.5: On the left, a diffuse “tail” appears. As the sky becomes more overcast, the efficacy exhibits a strong upward trend. The highest efficacy values (up to 0.025) are recorded under very low k t conditions.
The physical interpretation of this counter-intuitive result is that clouds act as spectrally selective filters. They are highly effective at scattering and absorbing the VIS and NIR wavelengths that dominate GHI. However, the UVB radiation, which drives the UVI numerator, is already highly diffuse. Clouds are less effective at removing this already-diffuse component. Therefore, as k t drops, the GHI (denominator) is attenuated more severely than the UVI (numerator). This causes the ratio to increase as cloud cover thickens. While clouds reduce the total amount of solar energy, they simultaneously increase the relative biological hazard of the light that does penetrate. These results are also confirmed by a study conducted in Spain [27] where the results showed that cloudiness attenuates more the total solar radiation than the UV solar radiation.

4. Discussion

This spectroradiometric investigation, conducted at a Mediterranean site in Rende (CS), Italy, has provided a comprehensive characterization of the erythemal ultraviolet risk and the underlying physical mechanisms that govern its variability.
The study confirmed that significant UV hazards are present even during the autumn season at this latitude, with high UV Index under clear-sky conditions. Furthermore, the analysis of diurnal profiles revealed the critical impact of cloud cover, demonstrating both the powerful attenuating effect of overcast skies and the existence of cloud enhancement events, which generated instantaneous UVI peaks that exceeded the clear-sky maximum. A key finding of this work is the critical decoupling between instantaneous peak risk and cumulative daily exposure. The Maximum Daily UVI was shown to be highly sensitive to transient cloud enhancement, whereas the Daily Erythemal Dose was found to be maximized by persistent, stable clear-sky conditions. This result demonstrates that these two metrics are not interchangeable and describe different, independent aspects of UV hazard.
The central thesis of this paper investigated the feasibility of using simple, broadband sensors as proxies for instantaneous UVI. The correlation analyses between UVI and GHI and between UVI and Illuminance were shown to be fundamentally unreliable. The resulting data (Figure 7 and Figure 8) revealed a wide, non-functional scatter.
This study deconstructed the physical cause of this failure by isolating and quantifying the Erythemal Efficacy. This metric, representing the biological hazard per unit of total energy, was proven to be not a constant, but a highly variable parameter. This variability, however, is not random. The efficacy was shown to be
-
Systematically dependent on solar geometry, following a predictable bell-shaped curve on a clear day (Figure 11).
-
Linearly governed, in clear sky conditions, by the internal UV Spectral Quality Ratio, proving that the efficacy is driven by the spectral composition of the UV band, not the total energy.
-
Counter-intuitively, the efficacy increases as atmospheric attenuation becomes more severe.
This final finding is that clouds act as spectrally selective filters. They attenuate the GHI (dominated by VIS/NIR) more effectively than the UVI (dominated by UVB). This causes the ratio to rise, meaning that the sunlight that penetrates thick cloud cover is relatively more hazardous. The estimation of instantaneous erythemal risk from simple broadband pyranometers or photometers is fundamentally flawed. These instruments measure total energy or brightness, while the biological risk is dictated by spectral quality. This has implications for public health monitoring, suggesting that UVI alert systems based on simple GHI measurements are prone to significant and unpredictable error. The relationships quantified in this study provide a physical basis for the future development of more sophisticated, multi-channel parametric models that may successfully correct for this critical spectral variability.
The results shown in this study are derived from data collected at a mid-latitude Mediterranean site. While the physical mechanism identified is universal (clouds acting as selective filters that attenuate GHI more than UVI), the correlations are subject to local climatological variables. Specifically, the baseline Erythemal Efficacy is expected to shift with latitude and season, which determine the solar altitude and the resulting optical path length through the atmosphere. Furthermore, variations in Total Ozone Column (TOC) would introduce a direct modulation of the UVB component independent of cloudiness. Finally, sites with different aerosol loading may exhibit altered spectral attenuation profiles in the UV relative to the visible band. Future multi-site campaigns are recommended to parameterize these local atmospheric coefficients, allowing the proposed efficacy-based model to be adapted to different climatic zones.

5. Conclusions

This study has conducted a high-resolution spectral analysis of solar UV radiation at a Mediterranean site, moving beyond simple risk monitoring to investigate the fundamental physical mechanisms governing that risk. The primary contribution of this work is the quantitative decoupling of total solar energy (GHI) from spectral biological quality (Erythemal Efficacy). The variability of Erythemal Efficacy is not stochastic noise but a precise physical signal. This signal is systematically driven by Air Mass, which defines the clear-sky baseline, and is counter-intuitively altered by clouds, which were shown to increase the relative efficacy in conditions of heavy attenuation. The impact of this finding is that the failure of pyranometers is not a simple error but a physical consequence of the fact that cloud-filtered sunlight is spectrally different and, Watt-for-Watt, intrinsically more hazardous than clear-sky light.
These findings provide relevant data for several disciplines. For public health, they offer clear evidence that human perception of risk (based on brightness or GHI) is flawed and that the spectral cloud enhancement represents an underestimated acute hazard. For atmospheric physics, the article provides a quantitative input to improve radiative transfer models, which often treat clouds as spectrally grey filters. For metrology, this work underscores the limitations of simple pyranometers for real-time UVI alerts, encouraging the development of multi-band sensors or intelligent spectral correction algorithms.
These conclusions must be contextualized within the study’s limitations. The measurement campaign was confined to the autumn season, lacking a full-year seasonal characterization, which would influence total column ozone and maximum solar elevations. Furthermore, as a single-site study, while the physical principles are universal, the specific magnitudes of the observed correlations may be site dependent.
This research opens two primary avenues for future work. In the short term, the dataset allows for the development and validation of a spectral correction algorithm. The goal would be to use the Clearness Index as an input to a parametric model that estimates the efficacy in real time, thereby “recovering” the utility of broadband pyranometers. In the longer term, this work highlights the necessity of extending this spectral monitoring to a full annual cycle and comparing these results with a coastal site to assess the additional impact of marine aerosols on spectral quality. In summary, this study has demonstrated that to understand UV risk, it is not sufficient to measure how much energy arrives; it is essential to understand what kind of energy it is.

Author Contributions

Conceptualization, all authors; methodology, F.N., D.C., N.A.; software, F.N.; formal analysis, P.B., C.F.; investigation, F.N., P.B., D.C., C.F.; resources, F.N., P.B., N.A.; data curation, F.N., D.C.; writing—original draft preparation, F.N.; writing—review and editing, P.B., D.C., C.F.; visualization, F.N., D.C.; supervision, P.B., N.A.; project administration, N.A. All authors have read and agreed to the published version of the manuscript.

Funding

This work was funded by the project “DiSIPreSP – Smart wearable device for the prevention of specific pathologies” (CUP B53C22006120001), financed within the initiative D34Health—Digital Driven Diagnostics, Prognostics and Therapeutics for Sustainable Health Care (PNC0000001). The D34Health initiative is funded by the Italian MUR with resources from the National Plan for Complementary Investments to the PNRR for innovative research in health and care.

Data Availability Statement

The data presented in this study are available on request from the corresponding author due to internal laboratory policy and the need to carefully evaluate each request.

Conflicts of Interest

The authors declare no conflicts of interest.

References

  1. CIE (Commission Internationale de l’Éclairage). A Reference Action Spectrum for Ultraviolet Induced Erythema in Human Skin; CIE Research Note; CIE: Vienna, Austria, 1987; Volume 6, pp. 17–22. [Google Scholar]
  2. ISO 17166:1999 (CIE S 007/E-1998); Erythema Reference Action Spectrum and Standard Erythema Dose. International Organization for Standardization: Geneva, Switzerland, 1999.
  3. WHO/SDE/OEH/02.2; Global Solar UV Index: A Practical Guide. WHO (World Health Organization): Geneva, Switzerland, 2002.
  4. Wright, C.Y.; Diab, R.; Martincigh, B. Anatomical distribution of ultraviolet solar radiation. S. Afr. J. Sci. 2004, 100, 498–500. [Google Scholar]
  5. Antón, M.; Serrano, A.; Cancillo, M.L.; Vilaplana, J.M. Quality assurance of broadband erythemal radiometers at the Extremadura UV Monitoring Network (Southwestern Spain). Atmos. Res. 2011, 100, 83–92. [Google Scholar] [CrossRef]
  6. Welch, D.; Brenner, D.J. Improved Ultraviolet Radiation Film Dosimetry Using OrthoChromic OC-1 Film. Photochem. Photobiol. 2021, 97, 498–504. [Google Scholar] [CrossRef] [PubMed]
  7. Gutiérrez-Manzanedo, J.V.; Vaz-Pardal, C.; Rodríguez-Martínez, A.; Aguilera, J.; Gutiérrez-Mulas, P.; González-Montesinos, J.; Subert, A.; Rivas-Ruiz, F.; de Troya-Martín, M. Solar ultraviolet radiation exposure of trail runners in an ultraendurance competition at high altitude. J. Photochem. Photobiol. A Chem. 2025, 460, 116139. [Google Scholar] [CrossRef]
  8. Bilbao, J.; de Miguel, A. Erythemal solar irradiance and UV index in Central Spain. Energy 2018, 156, 6589. [Google Scholar] [CrossRef]
  9. Malinović-Milićević, S.; Mijatović, Z.; Stanojević, G.; Radovanović, M.M.; Popović, V. Health risks of extended exposure to low-level UV radiation. Sci. Total Environ. 2022, 831, 154899. [Google Scholar] [CrossRef]
  10. Perez, R.; Seals, R.; Ineichen, P.; Stewart, R.; Menicucci, D. A new simplified version of the Perez diffuse irradiance model for tilted surfaces. Sol. Energy 1987, 39, 221–231. [Google Scholar] [CrossRef]
  11. Perez, R.; Ineichen, P.; Seals, R.; Michalsky, J.; Stewart, R. Modeling daylight availability and irradiance components from direct and global irradiance. Sol. Energy 1990, 44, 271–289. [Google Scholar] [CrossRef]
  12. Serrano, D.; Marín, M.J.; Utrillas, M.P.; Tena, F.; Martìnez-Lozano, J.A. Modelling of the UV Index on vertical and 40° tilted planes for different orientations. Photochem. Photobiol. Sci. 2012, 11, 333–334. [Google Scholar] [CrossRef]
  13. Serrano, D.; Marín, M.J.; Utrillas, M.P.; Tena, F.; Martínez-Lozano, J.A. Measurement and modelling of global erythemal irradiance on inclined planes. Tethys 2010, 7, 57–66. [Google Scholar] [CrossRef]
  14. Scaglione, D.; Giulietti, D.; Morelli, M. Evaluation of the impact of atmospheric ozone and aerosols on the horizontal global/diffuse UV index at Livorno (Italy). J. Atmos. Sol.-Terr. Phys. 2016, 146, 194–204. [Google Scholar] [CrossRef]
  15. Antón, M.; Serrano, A.; Cancillo, M.L.; García, J.A.; Madronich, S. Empirical Evaluation of a Simple Analytical Formula for the Ultraviolet Index. Photochem. Photobiol. 2011, 87, 478–482. [Google Scholar] [CrossRef] [PubMed]
  16. Antón, M.; Serrano, A.; Cancillo, M.L.; García, J.A.; Madronich, S. Application of an analytical formula for UV Index reconstructions for two locations in Southwestern Spain. Tellus 2011, 63, 1052–1058. [Google Scholar] [CrossRef]
  17. Alados-Arboledas, L.; Alados, I.; Foyo-Moreno, I.; Olmo, F.J.; Alcántara, A. The influence of clouds on surface UV erythemal irradiance. Atmos. Res. 2003, 66, 273–290. [Google Scholar] [CrossRef]
  18. Damiani, A.; Cordero, R.R.; Cabrera, S.; Laurenza, M.; Rafanelli, C. Cloud cover and UV index estimates in Chile from satellite-derived and ground-based data. Atmos. Res. 2014, 138, 139–151. [Google Scholar] [CrossRef]
  19. Sharma, N.P.; Bhattarai, B.K.; Sapkota, B.; Kjeldstad, B. Ground based comparison of solar UV index in Kathmandu, Pokhara and Biratnagar. Atmos. Environ. 2012, 60, 428–435. [Google Scholar] [CrossRef]
  20. Dahlback, A.; Gelsor, N.; Stamnes, J.J.; Gjessing, Y. UV measurements in the 3000–5000 m altitude region in Tibet. J. Geophys. Res. 2007, 112, D09308. [Google Scholar] [CrossRef]
  21. Casale, G.R.; Siani, A.M.; Diémoz, H.; Agnesod, G.; Parisi, A.V.; Colosimo, A. Extreme UV index and solar exposures at Plateau Rosà (3500 m a.s.l.) in Valle d’Aosta Region, Italy. Sci. Total Environ. 2015, 512–513, 622–630. [Google Scholar] [CrossRef]
  22. Duffie, J.A.; Beckman, W.A. Solar Engineering of Thermal Processes, 4th ed.; John Wiley & Sons: Hoboken, NJ, USA, 2013. [Google Scholar]
  23. Natsis, A.N.; Bais, A.; Meleti, C. Analysis of cloud enhancement events in a 30-year record of global solar irradiance at Thessaloniki, Greece. Atmos. Res. 2024, 312, 107731. [Google Scholar] [CrossRef]
  24. ISO 23539:2005/CIE S 010/E:2004; Photometry—The CIE System of Physical Photometry. International Organization for Standardization (ISO)/CIE: Geneva, Switzerland, 2005.
  25. Liou, K.N. An Introduction to Atmospheric Radiation; International Geophysics, Book Series; Academic Press: Amsterdam, The Netherlands, 2002. [Google Scholar]
  26. Foyo-Moreno, I.; Vida, J.; Alados-Arboledas, L. A simple all weather model to estimate ultraviolet solar radiation (290–385 nm). J. Appl. Meteorol. 1999, 38, 1020–1030. [Google Scholar] [CrossRef]
  27. Antón, M.; Serrano, A.; Cancillo, M.L.; García, J.A. Relationship between erythemal irradiance and total solar irradiance in South-Western Spain. J. Geophys. Res. 2008, 113, D14208. [Google Scholar] [CrossRef]
Figure 1. The EKO Instruments MS-711 spectroradiometer installed on the rooftop at the University of Calabria.
Figure 1. The EKO Instruments MS-711 spectroradiometer installed on the rooftop at the University of Calabria.
Processes 14 00701 g001
Figure 2. Solar Spectra (300–1100 nm) under clear-sky (a) and under variable (partly cloudy) sky (b) conditions at Rende (CS).
Figure 2. Solar Spectra (300–1100 nm) under clear-sky (a) and under variable (partly cloudy) sky (b) conditions at Rende (CS).
Processes 14 00701 g002
Figure 3. Spectral irradiance at solar noon for 5 November, clear sky (a) and 3 November, cloudy day (b) overlaid with the CIE Erythemal Action Spectrum.
Figure 3. Spectral irradiance at solar noon for 5 November, clear sky (a) and 3 November, cloudy day (b) overlaid with the CIE Erythemal Action Spectrum.
Processes 14 00701 g003
Figure 4. Effective Erythemal Irradiance (UV-E) calculated for solar noon on the clear day— 5 November (a) and on the cloudy day— 3 November (b).
Figure 4. Effective Erythemal Irradiance (UV-E) calculated for solar noon on the clear day— 5 November (a) and on the cloudy day— 3 November (b).
Processes 14 00701 g004
Figure 5. Diurnal trend of the UV Index (UVI) at Rende (CS), comparing a clear-sky day (5 November, blue), a heavily overcast day (31 October, green), and a partly cloudy, variable day (3 November, red).
Figure 5. Diurnal trend of the UV Index (UVI) at Rende (CS), comparing a clear-sky day (5 November, blue), a heavily overcast day (31 October, green), and a partly cloudy, variable day (3 November, red).
Processes 14 00701 g005
Figure 6. Inter-diurnal trend of Maximum Daily UV Index (a) and Daily Erythemal Dose (b) recorded at Rende (CS) during October–November 2025.
Figure 6. Inter-diurnal trend of Maximum Daily UV Index (a) and Daily Erythemal Dose (b) recorded at Rende (CS) during October–November 2025.
Processes 14 00701 g006
Figure 7. Correlation between the instantaneous UV Index (UVI) and the instantaneous Global Horizontal Irradiance (GHI).
Figure 7. Correlation between the instantaneous UV Index (UVI) and the instantaneous Global Horizontal Irradiance (GHI).
Processes 14 00701 g007
Figure 8. Correlation between the instantaneous UV Index (UVI) and the instantaneous Illuminance.
Figure 8. Correlation between the instantaneous UV Index (UVI) and the instantaneous Illuminance.
Processes 14 00701 g008
Figure 9. Percentage fraction of UVA irradiance (315–400 nm, left axis) and UVB irradiance (300–315 nm, right axis) relative to the GHI on a clear-sky day (5 November 2025).
Figure 9. Percentage fraction of UVA irradiance (315–400 nm, left axis) and UVB irradiance (300–315 nm, right axis) relative to the GHI on a clear-sky day (5 November 2025).
Processes 14 00701 g009
Figure 10. Diurnal trend of the UVB (300–315 nm) to UVA (315–400 nm) irradiance ratio, comparing a clear-sky day (5 November) with a partly cloudy day (3 November).
Figure 10. Diurnal trend of the UVB (300–315 nm) to UVA (315–400 nm) irradiance ratio, comparing a clear-sky day (5 November) with a partly cloudy day (3 November).
Processes 14 00701 g010
Figure 11. Diurnal comparison of Erythemal Efficacy (UVI/GHI) for the clear-sky day (5 November) and the partly cloudy day (3 November).
Figure 11. Diurnal comparison of Erythemal Efficacy (UVI/GHI) for the clear-sky day (5 November) and the partly cloudy day (3 November).
Processes 14 00701 g011
Figure 12. Erythemal Efficacy as a function of Solar Elevation Angle.
Figure 12. Erythemal Efficacy as a function of Solar Elevation Angle.
Processes 14 00701 g012
Figure 13. Correlation between Erythemal Efficacy ( E f ) and the UV Spectral Quality Ratio.
Figure 13. Correlation between Erythemal Efficacy ( E f ) and the UV Spectral Quality Ratio.
Processes 14 00701 g013
Figure 14. Erythemal Efficacy as a function of the Clearness Index for the entire dataset.
Figure 14. Erythemal Efficacy as a function of the Clearness Index for the entire dataset.
Processes 14 00701 g014
Disclaimer/Publisher’s Note: The statements, opinions and data contained in all publications are solely those of the individual author(s) and contributor(s) and not of MDPI and/or the editor(s). MDPI and/or the editor(s) disclaim responsibility for any injury to people or property resulting from any ideas, methods, instructions or products referred to in the content.

Share and Cite

MDPI and ACS Style

Nicoletti, F.; Bevilacqua, P.; Cirone, D.; Fabbricatore, C.; Arcuri, N. A Spectroradiometric Analysis of Alterations in Spectral Distribution and Their Impact on UV Index Estimation for Solar Resource Assessment. Processes 2026, 14, 701. https://doi.org/10.3390/pr14040701

AMA Style

Nicoletti F, Bevilacqua P, Cirone D, Fabbricatore C, Arcuri N. A Spectroradiometric Analysis of Alterations in Spectral Distribution and Their Impact on UV Index Estimation for Solar Resource Assessment. Processes. 2026; 14(4):701. https://doi.org/10.3390/pr14040701

Chicago/Turabian Style

Nicoletti, Francesco, Piero Bevilacqua, Daniela Cirone, Carmen Fabbricatore, and Natale Arcuri. 2026. "A Spectroradiometric Analysis of Alterations in Spectral Distribution and Their Impact on UV Index Estimation for Solar Resource Assessment" Processes 14, no. 4: 701. https://doi.org/10.3390/pr14040701

APA Style

Nicoletti, F., Bevilacqua, P., Cirone, D., Fabbricatore, C., & Arcuri, N. (2026). A Spectroradiometric Analysis of Alterations in Spectral Distribution and Their Impact on UV Index Estimation for Solar Resource Assessment. Processes, 14(4), 701. https://doi.org/10.3390/pr14040701

Note that from the first issue of 2016, this journal uses article numbers instead of page numbers. See further details here.

Article Metrics

Back to TopTop