Ultra-High-Temperature Oil-Based Drilling and Completion Fluids: Design and Application Under Harsh Conditions
Abstract
1. Introduction
2. Materials and Methods
2.1. Materials
2.2. Methods
2.2.1. Fluid Preparation Procedure
2.2.2. Hot Rolling Aging
2.2.3. Performance Testing
3. Results and Discussion
3.1. Additive Screening for the Oil-Based Drilling Fluid
3.1.1. Emulsifiers
3.1.2. Organo-Modified Clays
3.1.3. Filtration Loss Reducer
3.2. Properties of the High-Temperature and High-Density Diesel Oil-Based Drilling Fluid
3.3. Stability Testing of the High-Temperature and High-Density Diesel Oil-Based Completion Fluid
3.4. Field Application
4. Conclusions
- (1)
- The synthesized imidazolinamide-based emulsifier BZ-PSE, engineered with a five-membered ring and grafted anhydride groups in its molecular structure, forms a robust interfacial film under ultra-high-temperature conditions. The five-membered ring enhances the molecular rigidity and adsorption energy, while the grafted anhydride groups promote strong lateral interactions, which collectively form a robust interfacial film that is key to maintaining high electrical stability (>700 V) even after aging at 220 °C. Meanwhile, the organo-modified lithium silicate BZ-CHT demonstrates superior gel-building and suspension capabilities over conventional organoclays at elevated temperatures, effectively ensuring the sag stability of high-density fluids by forming a durable, three-dimensional network under long-term thermal aging.
- (2)
- The drilling fluid system formulated with these optimized additives retains stable rheological properties and low fluid loss (<4.8 mL) after dynamic aging at 220 °C. It also exhibits exceptional contamination resistance, withstanding invasion by up to 50% composite brine and 15% salt–gypsum cuttings while maintaining fluid loss and rheological parameters within the specified design window. The overall performance meets the technical requirements for safely drilling salt–gypsum intervals in ultra-deep wells.
- (3)
- This fluid system has been successfully applied in several high-risk wells, including GL 3C—which was the deepest well in Asia at the time of drilling, with a total depth of 9396 m—as well as Well DB X. Field monitoring confirmed that the fluid maintained an SR of 1.00 throughout multi-day completion tests, with no evidence of hard settlement and low restart pressure, demonstrating excellent long-term suspension stability. Its strong resistance to salt–gypsum and brine contamination effectively mitigated wellbore instability and fluid incompatibility issues in the target blocks, thereby ensuring the successful drilling, completion, and testing of these ultra-deep wells.
Author Contributions
Funding
Data Availability Statement
Conflicts of Interest
References
- Shmoncheva, Y.Y.; Jabbarova, G.V.; Abdulmutalibov, T.E. Drilling Fluids in Complicated Conditions: A Review. Naft.-Gaz 2023, 79, 651–660. [Google Scholar] [CrossRef]
- Li, J.X.; Li, Q.H.; Li, N.; Teng, X.Q.; Ren, L.L.; Liu, H.T.; Guo, B.; Li, S.X.; Hisham, N.-E.-D.; Al-Mujalhem, M. Ultra-High Density Oil-Based Drilling Fluids Laboratory Evaluation and Applications in Ultra-HPHT Reservoir. In Proceedings of the SPE/IATMI Asia Pacific Oil & Gas Conference and Exhibition, Bali, Indonesia, 29–31 October 2019. [Google Scholar] [CrossRef]
- Zhang, L.; Xie, T.; Hou, X.; Li, W.; Jin, J. Study on Safe Drilling Cycle of Soft Mudstone of Minghuazhen Formation in an Oilfield in Bohai Sea. Unconv. Oil Gas 2024, 11, 134–139. [Google Scholar]
- AlBahrani, H.; Alsheikh, M.; Wagle, V.; Alshakhouri, A. Designing Drilling Fluids Rheological Properties with a Numerical Geomechanics Model for the Purpose of Improving Wellbore Stability. In Proceedings of the IADC/SPE International Drilling Conference and Exhibition, Galveston, TX, USA, 8–10 March 2022. [Google Scholar] [CrossRef]
- Nutskova, M.V.; Kupavykh, K.S.; Sidorov, D.A.; Lundaev, V.A. Research of Oil-Based Drilling Fluids to Improve the Quality of Wells Completion. IOP Conf. Ser. Mater. Sci. Eng. 2019, 666, 012065. [Google Scholar] [CrossRef]
- Yan, L.; Li, Q.; Guo, X.; Guan, X.; Wang, Y.; Liu, L.; Jiang, J.; Song, J.; Han, C. Environmentally friendly bio-based additives in oil-based drilling fluids: Efficient synthesis, well-ordered self-assembly, exceptional ultra-high-temperature resistance, and excellent anti-settling properties. Colloids Surf. A Physicochem. Eng. Asp. 2025, 719, 137014. [Google Scholar] [CrossRef]
- API RP 13B-2-2023; Recommended Practice for Field Testing Nonaqueous-Based Drilling Fluids. American Petroleum Institute: Washington, DC, USA, 2023.
- He, R.B.; Liu, X.Q.; Xie, T.; Geng, T.; Dong, P.H. The Influence Study on Stability of Oil-Based Drilling Fluids Emulsion. J. Oil Gas Technol. 2020, 42, 56–65, (In Chinese with English Abstract). [Google Scholar] [CrossRef]
- Zhao, C.; Qiu, Z.S.; Zhang, X.B.; Zhong, H.Y.; Huang, D.Q.; Wei, J.R.; Zhang, J. Improving the Oil-Based Drilling Fluid’s Rheological Properties with Polyamidoamine Copolymers. Fresenius Environ. Bull. 2021, 30, 2201–2209. Available online: https://www.prt-parlar.de/download_list/?c=FEB_2021 (accessed on 20 March 2024).
- Shen, Z.; Zhang, H.; Yu, X.; Li, J. Experimental optimization of high-temperature-resistant and low oil–water ratio high-density oil-based drilling fluid. Processes 2023, 11, 1129. [Google Scholar] [CrossRef]
- Hou, J.; Huang, T.; Alotaibi, M.; AlSofi, A. Long-term thermal stability of ionic surfactants for improving oil production at high-salinity high-temperature conditions. ACS Omega 2024, 9, 11976–11986. [Google Scholar] [CrossRef]
- Chen, Y.R.; Song, Q.; Tan, Y.B. Synthesis, Aggregation Behavior of Alternating Copolymer Emulsifier in Oil Solution and Its Application in Oil-Based Drilling Fluids. J. Mol. Liq. 2022, 348, 118011. [Google Scholar] [CrossRef]
- Fayad, M.M.; Mohamed, D.E.; Soliman, E.A.; El-Fattah, M.A.; Ibrahim, S.; Dardir, M.M. Optimization of Invert Emulsion Oil-Based Drilling Fluids Performance Through Heterocyclic Imidazoline-Based Emulsifiers. Colloids Surf. A Physicochem. Eng. Asp. 2021, 613, 126092. [Google Scholar] [CrossRef]
- Yanovsky, V.A.; Fenzel, A.D.; Andropov, M.O.; Fakhrislamova, R.S.; Zakharov, A.S.; Churkin, R.A.; Minaev, K.M. The Effect of Synthesis Conditions of Emulsifier on the Properties of Oil-Based Drilling Muds (Russian). Oil Ind. J. 2018, 6, 93–97. [Google Scholar] [CrossRef]
- Hao, X.; Elakneswaran, Y.; Shimokawara, M.; Chen, H. Impact of the temperature, homogenization condition, and oil property on the formation and stability of crude oil emulsion. Energy Fuels 2024, 38, 979–994. [Google Scholar] [CrossRef]
- Zhuang, G.Z.; Zhang, Z.P.; Jaber, M. Organoclays Used as Colloidal and Rheological Additives in Oil-Based Drilling Fluids: An Overview. Appl. Clay Sci. 2019, 177, 63–81. [Google Scholar] [CrossRef]
- Mahmoud, A.; Gajbhiye, R.; Elkatatny, S. Application of Organoclays in Oil-Based Drilling Fluids: A Review. ACS Omega 2023, 8, 29847–29858. [Google Scholar] [CrossRef] [PubMed]
- Gautam, R.; Sahai, M.; Kumar, S. Recent Advances in Application of Nanomaterials as Additives for Drilling Fluids. Energy Source Part A Recovery Util. Environ. Eff. 2025, 47, 3496–3519. [Google Scholar] [CrossRef]
- Zhang, J.R.; Xu, M.D.; Christidis, G.E.; Zhou, C.H. Clay Minerals in Drilling Fluids: Functions and Challenges. Clay Miner. 2020, 55, 1–11. [Google Scholar] [CrossRef]
- Mahmoud, A.; Gajbhiye, R.; Elkatatny, S. Enhanced Performance of Oil-Based Drilling Fluids under HPHT Conditions Using an Organophilic Phyllosilicate. Sci. Rep. 2025, 15, 22447. [Google Scholar] [CrossRef]
- Zhuang, G.Z.; Zhang, Z.P.; Yang, H.; Tan, J.J. Structures and Rheological Properties of Organo-Sepiolite in Oil-Based Drilling Fluids. Appl. Clay Sci. 2018, 154, 43–51. [Google Scholar] [CrossRef]
- Zhuang, G.Z.; Gao, J.H.; Peng, S.M.; Zhang, Z.P. Synergistically Using Layered and Fibrous Organoclays to Enhance the Rheological Properties of Oil-Based Drilling Fluids. Appl. Clay Sci. 2019, 172, 40–48. [Google Scholar] [CrossRef]
- Mahmoud, A.; Gajbhiye, R.; Elkatatny, S. A Novel Rheological Additive for High-Performance Oil-Based Drilling Fluids in High-Pressure and High-Temperature Conditions; GOTECH: Dubai, United Arab Emirates, 2025. [Google Scholar] [CrossRef]
- Siddig, O.; Mahmoud, A.A.; Elkatatny, S. A Review of the Various Treatments of Oil-Based Drilling Fluids Filter Cakes. J. Petrol. Explor. Prod. Technol. 2022, 12, 365–381. [Google Scholar] [CrossRef]
- Cui, X.B.; He, S.L.; Wang, X.; Ni, X.X.; Yang, H.J.; Wang, J.H.; Gao, S. A New Method for Treating Saline Water Damage of Oil-Based Drilling Fluid Paste in Salt Beds. Nat. Gas Ind. 2023, 43, 105–111, (In Chinese with English Abstract). [Google Scholar]
- Wang, Y.D.; Wang, Y.Z.; Ran, B.; Xing, P.Y.; Xin, X.L.; Li, Y. Research on High Density Oil-Based Drilling Fluid and Application in the Southern Edge of Junggar Basin, China. Open J. Yangtze Oil Gas 2018, 3, 253–262. [Google Scholar] [CrossRef][Green Version]
- D’Amicis, S.; Pagani, M.; Matteucci, M.; Piroddi, L. Stuck Pipe Prediction from Rare Events in Oil Drilling Operations. Upstream Oil Gas 2023, 29, 125–140. [Google Scholar] [CrossRef]






| Testing Condition | PV (mPa·s) | YP (Pa) | FLHTHP (mL) | ES (V) |
|---|---|---|---|---|
| BHR 1 | 36 | 5.8 | / | 1328 |
| 150 °C × 16 h | 36 | 7.2 | 2.8 | 1242 |
| 180 °C × 16 h | 35 | 4.8 | 3.6 | 1049 |
| 200 °C × 16 h | 34 | 4.8 | 4.2 | 917 |
| 220 °C × 16 h | 30 | 4.3 | 4.8 | 709 |
| Component | Content | Unit |
|---|---|---|
| 0# diesel | 255 | mL |
| High-temperature-resistant emulsifier | 30.0 | g/L |
| Rheological modifier | 4.9 | g/L |
| CaCl2 solution (25 wt %) | 52.0 | mL |
| CaO | 34.9 | g/L |
| Organophilic clay | 50.2 | g/L |
| Fluid loss reducer | 40.1 | g/L |
| Barite | As required |
| Component | Content | Unit |
|---|---|---|
| 0# diesel | 204 | mL |
| Primary emulsifier | 50.0 | g/L |
| Secondary emulsifier | 30.0 | g/L |
| Rheological modifier | 5.0 | g/L |
| CaCl2 solution (25 wt %) | 36.0 | mL |
| CaO | 30.0 | g/L |
| Organophilic clay | 17.9 | g/L |
| Fluid loss reducer | 40.0 | g/L |
| Barite | As required |
| Component | Content | Unit | |
|---|---|---|---|
| Density | 2.4 | 2.6 | g/cm3 |
| 0# diesel | 216 | 180 | mL |
| BZ-OPE(HT) | 50.0 | 30.0 | g/L |
| BZ-OSE(HT) | 30.0 | 40.0 | g/L |
| BZ-MOD | 7.5 | 4.0 | g/L |
| CaCl2 solution (25 wt %) | 24.0 | 20.0 | mL |
| CaO | 30.0 | 30.0 | g/L |
| BZ-CHT | 18.0 | 10.0 | g/L |
| BZ-OLG | 30.0 | 40.0 | g/L |
| BZ-OSL | 30.0 | 15.0 | g/L |
| Barite | As required | ||
| Density (g/cm3) | Testing Condition | AV (mPa·s) | PV (mPa·s) | YP (Pa) | Φ6 | Φ3 | Gel (Pa/Pa) | FLHTHP (mL) | ES (V) |
|---|---|---|---|---|---|---|---|---|---|
| 2.4 | BHR | 95 | 82 | 13.0 | 11 | 10 | 4.5/7.2 | - | 2027 |
| AHR (180 °C) | 97 | 89 | 7.7 | 6 | 4 | 2.4/5.7 | 1.0 | 1524 | |
| 2.6 | BHR | 81 | 67 | 14.0 | 15 | 14 | 7.5/9.4 | - | 2034 |
| AHR (200 °C) | 80 | 70 | 10.5 | 11 | 9 | 4.5/6.7 | 1.0 | 2036 |
| Testing Condition | AV (mPa·s) | PV (mPa·s) | YP (Pa) | Φ6 | Φ3 | Gel (Pa/Pa) | FLHTHP (mL) | ES (V) |
|---|---|---|---|---|---|---|---|---|
| Before | 75 | 67 | 7.5 | 7 | 6 | 3.5/5.5 | - | 1508 |
| 30% (180 g/L NaCl + 120 g/L CaCl2) | 100 | 74 | 25.5 | 19 | 16 | 7.7/8.6 | - | 618 |
| 50% (180 g/L NaCl + 120 g/L CaCl2) | 137 | 103 | 33.5 | 27 | 22 | 10.5/11.5 | - | 382 |
| 15% drill cuttings from the salt–gypsum formations | 77 | 71 | 5.5 | 7 | 6 | 2.9/4.3 | 2.5 | 955 |
| 10% cement | 75 | 69 | 6.0 | 6 | 5 | 2.9/4.3 | 3.8 | 1380 |
| Component | Content | Unit | ||
|---|---|---|---|---|
| Serial No. | 1 | 2 | 3 | / |
| 0# diesel | 225 | 250 | 250 | mL |
| BZ-OPE(HT) | 30.0 | 30.0 | 30.0 | g/L |
| BZ-WET | 40.0 | 40.0 | 40.0 | g/L |
| BZ-MOD | 10.0 | 10.0 | 10.0 | g/L |
| CaCl2 solution (25 wt %) | 25 | 0 | 0 | mL |
| CaO | 40.0 | 40.0 | 40.0 | g/L |
| BZ-CHT | 40.0 | 10.0 | 10.0 | g/L |
| BZ-OLG | 80.0 | 80.0 | 80.0 | g/L |
| BZ-PRM | 5.0 | 5.0 | 10.0 | g/L |
| 2000 mesh CaCO3 | 100.0 | 100.0 | 100.0 | g/L |
| 6000 mesh barite | As required | As required | / | |
| 12,000 mesh barite | / | / | As required | |
| Serial No | Testing Condition | PV (mPa·s) | YP (Pa) | Φ6 | Φ3 | Gel (Pa/Pa) | ES (V) | SR | Settlement Stability Description (cm) | |||
|---|---|---|---|---|---|---|---|---|---|---|---|---|
| Liquid Precipitation | Fluid Volume | Soft Precipitate | Hard Precipitate | |||||||||
| 1 | BHR | - | - | - | - | - | - | - | - | - | - | - |
| AHR (16 h) | 91 | 32.6 | 50 | 47 | 34.4/56.7 | 2014 | 1.00 | - | - | - | - | |
| AHS 1 (360 h) | 115 | 43.7 | 58 | 56 | 32.9/72.1 | 2037 | 1.00 | 0.5 | 10.5 | 0 | 0 | |
| 2 | BHR | 53 | 21.6 | 28 | 26 | 15.7/21.6 | 2037 | - | - | - | - | - |
| AHR (16 h) | 57 | 18.8 | 24 | 23 | 15.9/19.8 | 2032 | 1.00 | - | - | - | - | |
| AHS (360 h) | 55 | 17.3 | 20 | 18 | 11.6/16.4 | 2019 | 1.00 | 2.0 | 11.0 | 0 | 0 | |
| 3 | BHR | 63 | 26.9 | 33 | 31 | 16.6/21.6 | 2027 | - | - | - | - | - |
| AHR (16 h) | 70 | 22.6 | 28 | 26 | 15.9/20.6 | 2023 | 1.00 | - | - | - | - | |
| AHS (360 h) | 80 | 24.0 | 30 | 28 | 13.6/26.2 | 2024 | 1.00 | 2.0 | 11.5 | 0 | 0 | |
| Weighing Method | Testing Condition | PV (mPa·s) | YP (Pa) | Φ6 | Φ3 | Gel (Pa/Pa) | ES (V) | SR | Settlement Stability Description (cm) | |||
|---|---|---|---|---|---|---|---|---|---|---|---|---|
| Liquid Precipitation | Fluid Volume | Soft Precipitate | Hard Precipitate | |||||||||
| 12,000 mesh | BHR | 52 | 16.8 | 22 | 20 | 14.1/18.7 | 2020 | 1.00 | - | - | - | - |
| AHR (16 h) | 54 | 14.9 | 19 | 18 | 12.1/17.6 | 2022 | 1.00 | 3.5 | 13.5 | 0 | 0 | |
| AHS (360 h) | 53 | 14.9 | 19 | 18 | 11.6/17.5 | 2022 | 1.00 | 3.0 | 11.5 | 0 | 0 | |
| 12,000 mesh:6000 mesh = 1:1 ratio | BHR | 38 | 12.0 | 15 | 14 | 10.4/14.5 | 2012 | 1.00 | - | - | - | - |
| AHR (16 h) | 37 | 10.6 | 13 | 12 | 8.6/12.8 | 2022 | 1.00 | 4.5 | 13.5 | 0 | 0 | |
| AHS (360 h) | 40 | 10.6 | 13 | 12 | 8.8/13.2 | 2032 | 1.00 | 3.5 | 12.5 | 0 | 0 | |
| 6000 mesh | BHR | 30 | 7.2 | 10 | 9 | 6.4/11.3 | 2020 | 1.00 | - | - | - | - |
| AHR (16 h) | 32 | 7.8 | 10 | 8 | 5.5/9.8 | 2030 | 1.00 | 5.0 | 13.5 | 0 | 0 | |
| AHS (360 h) | 35 | 7.8 | 10 | 8 | 6.5/10.3 | 2022 | 1.00 | 4.0 | 12.0 | 0 | 0 | |
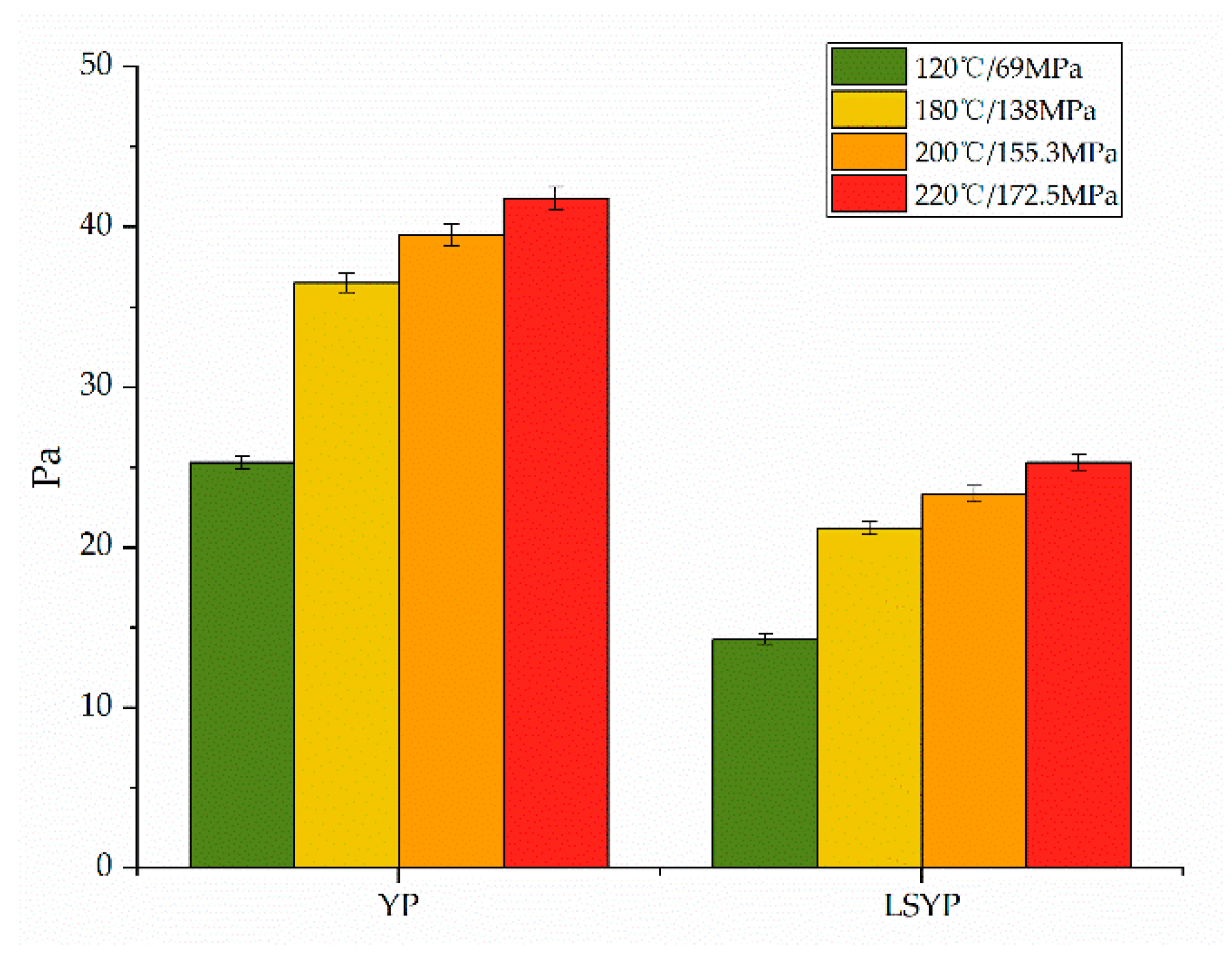
| T (°C) | P (MPa) | AV (mPa·s) | PV (mPa·s) | YP (Pa) | YP/PV Ratio | Φ6 | Φ3 | LSYP (Pa) |
|---|---|---|---|---|---|---|---|---|
| 120 | 34.5 | 61.0 | 39.0 | 22.0 | 0.56 | 28.0 | 27.0 | 12.5 |
| 120 | 69.0 | 83.5 | 58.0 | 25.5 | 0.44 | 34.0 | 32.0 | 14.4 |
| 150 | 69.0 | 61.0 | 31.0 | 30.0 | 0.97 | 35.5 | 34.0 | 15.6 |
| 150 | 103.5 | 79.0 | 45.0 | 34.0 | 0.76 | 44.0 | 41.0 | 18.2 |
| 180 | 103.5 | 66.0 | 34.0 | 32.0 | 0.94 | 43.5 | 41.5 | 19.0 |
| 180 | 138.0 | 80.5 | 44.0 | 36.5 | 0.83 | 47.5 | 46.0 | 21.4 |
| 200 | 138.0 | 73.0 | 35.0 | 38.0 | 1.09 | 51.0 | 49.0 | 22.6 |
| 200 | 155.3 | 79.5 | 40.0 | 39.5 | 0.99 | 55.0 | 52.0 | 23.5 |
| 220 | 155.3 | 75.0 | 35.0 | 40.0 | 1.14 | 57.0 | 54.0 | 24.5 |
| 220 | 172.5 | 81.0 | 39.0 | 42.0 | 1.08 | 61.0 | 57.0 | 25.4 |
| Measured Depth (m) | ρ (g/cm3) | Viscosity (s) | PV (mPa·s) | YP (mPa·s) | Gel (Pa/Pa) | FLHTHP (mL) |
|---|---|---|---|---|---|---|
| 7713 | 1.38 | 57 | 32 | 7 | 3.5/5.0 | 4.6 |
| 8235 | 1.42 | 60 | 39 | 9 | 2.5/4.5 | 3.4 |
| 8791 | 1.55 | 60 | 40 | 9.5 | 2.5/4.5 | 3.6 |
| 9235 | 1.55 | 60 | 40 | 10 | 3.5/7.0 | 4.0 |
| 9396.12 | 1.46 | 60 | 38 | 10 | 3.0/6.0 | 4.0 |
| Measured Depth (m) | ρ (g/cm3) | AV (mPa·s) | PV (mPa·s) | YP (Pa) | Φ6 | Φ3 | Gel (Pa/Pa) | ES (V) | FLHTHP (mL) | O/W |
|---|---|---|---|---|---|---|---|---|---|---|
| 4840 | 2.35 | 99 | 93 | 6.0 | 6 | 5 | 3.0/4.0 | 584 | 3.0 | 76/24 |
| 6800 | 2.35 | 80 | 73 | 7.0 | 8 | 7 | 4.0/5.5 | 803 | 2.0 | 84/16 |
| 7362 | 2.38 | 65 | 61 | 4.0 | 6 | 5 | 3.0/4.5 | 1042 | 2.0 | 90/10 |
| 8005 | 2.36 | 70 | 65 | 5.0 | 6 | 5 | 3.0/5.0 | 587 | 2.0 | 83/17 |
| 8143 | 1.75 | 25 | 21 | 4.0 | 4 | 3 | 2.0/4.0 | 590 | 2.4 | 86/14 |
| 8271 | 1.75 | 26 | 22 | 4.0 | 4 | 3 | 2.0/4.0 | 580 | 2.0 | 85/15 |
| Well Number | Construction Well Sections | Difficulties | Field Effects |
|---|---|---|---|
| DB X | 4837–8271.4 m | Huge salt–gypsum layer, high-pressure brine, salt bottom leakage, high-temperature reservoir completion test, etc. | Drilling through the salt–gypsum for 3200 m, smooth casing in the salt–gypsum layer, smooth plugging of the salt bottom jam, and outstanding oil test results in the target layer. |
| Boz 13X | 5188–7268 m | High-pressure brine formations in the third spud (5975.93 m), salt–gypsum layer, and target layer oil test | Dispose of 443.69 m3 of formation water and 1274 m3 of contaminated oil-based drilling fluids; smooth construction of third spud casing to the completion of drilling; obvious effect of oil testing in the target layer. |
| Boz 3X | 5646–6289 m | High-pressure brine formations in the third spud (5646.97 m) | Disposed of 1076 m3 of formation water, leaking 1956 m3 of drilling fluids; disposed of 1469 m3 of contaminated drilling fluids. Well completion went smoothly. |
| Well Number | Working Condition | Experimental Results | Operation Results |
|---|---|---|---|
| DB X | Midway oil testing | 170 °C for 15 days, no hard sinking at the bottom of the tank (glass rod falls freely to the bottom and then against the wall) | Pump speed was 1.3 L/s, and pump start-up pressure was 0.9 MPa |
| Oil testing completion | Pump speed was 1.3 L/s, and pump start-up pressure was 5.8 MPa | ||
| Boz 13X | Oil testing completion | 140 °C for 10–14 days, no hard sinking at the bottom of the tank (glass rod falls freely to the bottom and then against the wall) | Pump start-up pressure was 5.5 MPa |
Disclaimer/Publisher’s Note: The statements, opinions and data contained in all publications are solely those of the individual author(s) and contributor(s) and not of MDPI and/or the editor(s). MDPI and/or the editor(s) disclaim responsibility for any injury to people or property resulting from any ideas, methods, instructions or products referred to in the content. |
© 2026 by the authors. Licensee MDPI, Basel, Switzerland. This article is an open access article distributed under the terms and conditions of the Creative Commons Attribution (CC BY) license.
Share and Cite
Wang, Q.; Dong, D.; Zhang, J.; Liu, T.; Zhang, X.; Zhong, H.; Wang, L.; Wan, Y. Ultra-High-Temperature Oil-Based Drilling and Completion Fluids: Design and Application Under Harsh Conditions. Processes 2026, 14, 655. https://doi.org/10.3390/pr14040655
Wang Q, Dong D, Zhang J, Liu T, Zhang X, Zhong H, Wang L, Wan Y. Ultra-High-Temperature Oil-Based Drilling and Completion Fluids: Design and Application Under Harsh Conditions. Processes. 2026; 14(4):655. https://doi.org/10.3390/pr14040655
Chicago/Turabian StyleWang, Qian, Dianbin Dong, Jian Zhang, Tengjiao Liu, Xianbin Zhang, Hanyi Zhong, Li Wang, and Yuan Wan. 2026. "Ultra-High-Temperature Oil-Based Drilling and Completion Fluids: Design and Application Under Harsh Conditions" Processes 14, no. 4: 655. https://doi.org/10.3390/pr14040655
APA StyleWang, Q., Dong, D., Zhang, J., Liu, T., Zhang, X., Zhong, H., Wang, L., & Wan, Y. (2026). Ultra-High-Temperature Oil-Based Drilling and Completion Fluids: Design and Application Under Harsh Conditions. Processes, 14(4), 655. https://doi.org/10.3390/pr14040655

