A Typical Scenario Generation Method Based on KDE-Copula for PV Hosting Capacity Analysis in Distribution Networks
Abstract
1. Introduction
- (1)
- A Unified Modeling Framework: We develop a holistic methodology that seamlessly integrates Kernel Density Estimation (KDE) and Copula theory. This framework uniquely couples nonparametric marginal fitting with correlation structure modeling in a single, statistically consistent process, addressing the common decoupling issue in hybrid methods.
- (2)
- Enhanced Accuracy in Both Marginal and Dependence Characterization: The proposed method eliminates restrictive parametric assumptions for wind-solar outputs through KDE, achieving superior fitting accuracy for complex, real-world data distributions. Simultaneously, it employs a rigorous, metric-based Copula selection criterion to optimally capture the spatiotemporal complementarity between wind-solar resources, overcoming the correlation modeling weaknesses found in many existing approaches.
- (3)
- A Practical and Interpretable Tool for Grid Planning: Beyond theoretical modeling, the framework is designed for engineering applicability. It yields more representative, interpretable, and computationally efficient typical scenarios compared to direct historical clustering or “black-box” generative models. This directly enhances the reliability of critical grid planning studies, such as PV HCA.
2. KDE and Copula Theory Principles
2.1. Principle of KDE
2.2. KDE Model Verification Method
- (1)
- Goodness-of-fit test
- 1.
- Pearson
- 2.
- K-S Test
- (2)
- Fitting accuracy test
2.3. Theoretical Principles of the Copula Function
- (1)
- The definition and basic properties of the Copula function
- (2)
- Correlation Coefficient of the Copula function
- 1.
- Kendall’s rank correlation coefficient
- 2.
- Spearman’s rank correlation coefficient
- (3)
- Optimal selection of the Copula function
3. Generation and Reduction of Wind-Solar Power Output Scenarios
3.1. Generation of Wind-Solar Power Output Scenarios Based on Monte Carlo Simulation
- (1)
- First, the historical data of n days are divided into hourly intervals, with each day consisting of 24 time periods.
- (2)
- The KDE method is adopted for the performance of non-parametric fitting on the data of each time period, thus obtaining the marginal PDF.
- (3)
- The Copula function is employed to link the marginal PDFs of wind-solar outputs at each time step to form a joint PDF. Subsequently, the Monte Carlo method is applied for the generation of the daily wind-solar power output curves.
- (4)
- Step (3) is repeated to generate a large number of wind-solar power output scenarios. To reduce redundancy among generated scenarios, K-means clustering is further adopted for scenario reduction, with representative typical scenarios extracted.
3.2. Typical Scenario Reduction of Wind-Solar Output Based on K-Means
- (1)
- Randomly select K scenarios from the scenario set as cluster centers and denote them as .
- (2)
- Assign each scenario to cluster , whose center is the nearest. The Euclidean distance between and each cluster center is calculated as follows:
- (3)
- Recalculate each cluster center as the mean of all scenarios within the corresponding cluster:
- (4)
- Steps (2) and (3) are repeated until the cluster centers converge or the maximum number of iterations is reached.
- (5)
- Select one representative scenario from each cluster to form the reduction set .
4. Simulation Analysis
4.1. Case Illustration
4.2. Simulation Process
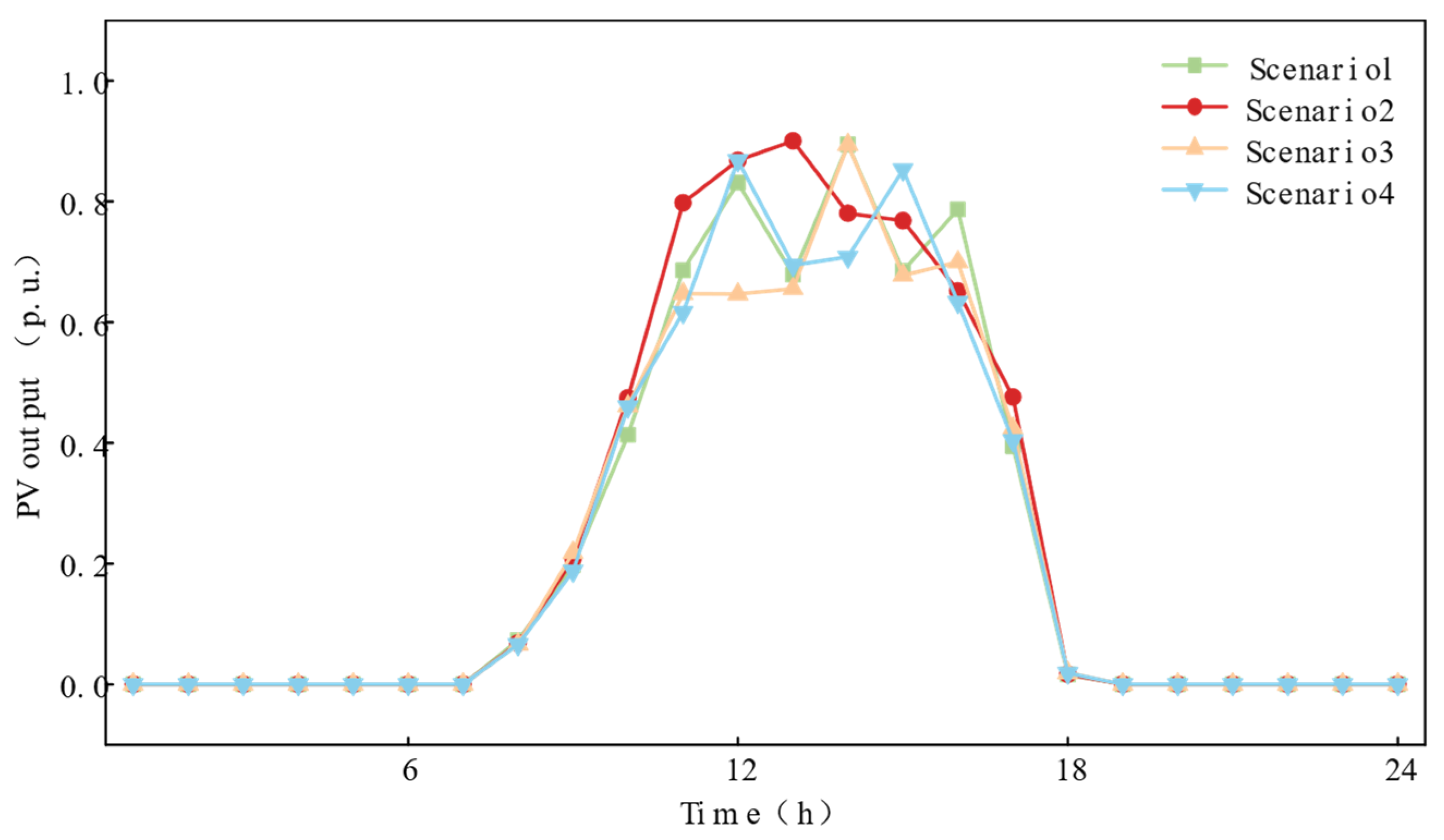
4.3. Simulation Results
4.4. Sensitivity Analysis of Key Parameters
- (1)
- Sensitivity to KDE Bandwidth Selection
- (2)
- Sensitivity to Monte Carlo Sample Size
- (3)
- Sensitivity to Cluster Number K in K-means
5. Discussion
5.1. Direct Application to Hosting Capacity Assessment
5.2. Trade-Off Between Computational Efficiency and Accuracy
6. Conclusions
Author Contributions
Funding
Data Availability Statement
Conflicts of Interest
Abbreviations
| PV | photovoltaic |
| KDE | kernel density estimation |
| PDFs | probability density functions |
| ARMA | auto-regressive moving average |
| GANs | generative adversarial networks |
| DBI | density-based index |
| CWGAN-GP | Conditional Wasserstein Generative Adversarial Network with Gradient Penalty |
| WOA | Whale Optimization Algorithm |
| MISE | mean integrated squared error |
| AMISE | asymptotic integrated mean squared error |
| K-S | Kolmogorov–Smirnov |
| CDF | cumulative distribution function |
| MAPE | mean absolute percentage error |
| RMSE | root mean square error |
| HCA | hosting capacity analysis |
Appendix A
| Category | Core Mechanism | References | Key Advantages | Main Limitations |
|---|---|---|---|---|
| Predictive model and generative model | Learn data distribution via adversarial training (GANs), denoising (diffusion models), or variational inference | [12,13,14,15,33,34,35] | Capable of capturing highly complex, non-parametric distributions; excellent at generating diverse and realistic-looking scenarios | Extremely high computational cost for training and sampling; often act as “black boxes” with poor interpretability; may fail to preserve tail dependencies or physical constraints |
| Method based on optimization and clustering | Reduce scenario set size by minimizing distance metrics (clustering) or matching statistical moments | [16,17,18] | Conceptually simple and computationally efficient for scenario reduction; good at preserving key statistical properties (e.g., moments) of the original set | Quality heavily depends on initialization and pre-defined cluster number (K); tends to oversimplify the original distribution; marginal fitting is not its primary objective |
| Sampling and statistical methods | Draw samples from parametric or nonparametric distributions (e.g., KDE, Copula) | [19,20,21,22,29,30,36,37,38] | Strong statistical foundation; models are typically interpretable and tunable; non-parametric variants (e.g., KDE) offer distributional flexibility | Parametric versions rely on often unrealistic distributional assumptions; standard models (e.g., static Copula) struggle with time-varying or high-dimensional dependencies |
| Hybrid and integrated frameworks | Combine elements from above categories to leverage their respective strengths | [23,24,25,26,37,39,40,41] | Aim to achieve a better trade-off among accuracy, diversity, efficiency, and physical plausibility | Design can be complex and ad-hoc; may inherit limitations from constituent methods; achieving a tight, principled coupling between marginal distributions and dependence structures remains a key challenge |
Appendix B




References
- Schindler, D.; Behr, H.D.; Jung, C. On the spatiotemporal variability and potential of complementarity of wind and solar resources. Energy Convers. Manag. 2020, 218, 113016. [Google Scholar] [CrossRef]
- Yang, N.; Lin, D.; Ding, L.; Yang, C.; Zhang, L.; Yang, Y.; Ye, X.; Xiong, Z.; Huang, Y. Optimal Planning for Charging Stations within Multi-coupled Networks Considering Load-Balance Effects. Energy 2025, 336, 138481. [Google Scholar] [CrossRef]
- Yang, N.; Xiong, Z.; Ding, L.; Liu, Y.; Wu, L.; Liu, Z.; Shen, X.; Zhu, B.; Li, Z.; Huang, Y. A Game-Based Power System Planning Approach Considering Real Options and Coordination of All Types of Participants. Energy 2024, 312, 133400. [Google Scholar] [CrossRef]
- Vechkinzova, E.; Steblyakova, L.P.; Roslyakova, N.; Omarova, B. Prospects for the development of hydrogen energy: Overview of global trends and the Russian market state. Energies 2022, 15, 8503. [Google Scholar] [CrossRef]
- Nema, P.; Nema, R.K.; Rangnekar, S. A current and future state of art development of hybrid energy system using wind and PV-solar: A review. Renew. Sustain. Energy Rev. 2009, 13, 2096–2103. [Google Scholar] [CrossRef]
- Yang, N.; Hao, J.; Li, Z.; Ye, D.; Xing, C.; Zhang, Z.; Wang, C.; Huang, Y.; Zhang, L. Data-Driven Decision-Making for SCUC: An Improved Deep Learning Approach Based on Sample Coding and Seq2Seq Technique. Prot. Control Mod. Power Syst. 2025, 10, 13–24. [Google Scholar] [CrossRef]
- Stiebler, M. Wind Energy Systems for Electric Power Generation; Springer: Berlin/Heidelberg, Germany, 2008. [Google Scholar] [CrossRef]
- Yang, N.; Shen, X.; Liang, P.; Ding, L.; Yan, J.; Xing, C.; Wang, C.; Zhang, L. Spatial-temporal Optimal Pricing for Charging Stations: A Model-Driven Approach Based on Group Price Response Behavior of EVs. IEEE Trans. Transp. Electrif. 2024, 10, 8869–8880. [Google Scholar] [CrossRef]
- Couto, A.; Estanqueiro, A. Exploring wind and solar PV generation complementarity to meet electricity demand. Energies 2020, 13, 4132. [Google Scholar] [CrossRef]
- Suchitra, D.; Jegatheesan, R.; Deepika, T.J. Optimal design of hybrid power generation system and its integration in the distribution network. Int. J. Electr. Power Energy Syst. 2016, 82, 136–149. [Google Scholar] [CrossRef]
- Gao, F.; Pei, S.; Li, L.; Zha, P.; Wang, Q. Controllable and interpretable wind-solar scenario generation method based on improved generative adversarial network. Electr. Power Autom. Equip. 2025, 1–12. [Google Scholar] [CrossRef]
- Chen, W.; Tu, J.; Tan, Y.; Jin, F. Wind power scenario transfer generation using deep convolution generative adversarial network. Tech. Autom. Appl. 2025, 1–6. [Google Scholar]
- Yang, N.; Yang, C.; Wu, L.; Shen, X.; Jia, J.; Li, Z.; Chen, D.; Zhu, B.; Liu, S. Intelligent Data-Driven Decision-Making Method for Dynamic Multisequence: An E-Seq2Seq-Based SCUC Expert System. IEEE Trans. Ind. Inf. 2022, 18, 3126–3137. [Google Scholar] [CrossRef]
- Cai, Z.; Liu, X.; Li, C.; Tai, N.; Huang, W.; Huang, S.; Wei, J. Dual Alternative Iteration Algorithm-Based Hierarchical MPC Strategy for Frequency Regulation Control and Active Power Allocation of Wind-storage Coupling System. Prot. Control Mod. Power Syst. 2025, 10, 160–175. [Google Scholar] [CrossRef]
- Sun, K.; Zhang, D.; Li, Y.; Yan, J. Scenario generation method of wind power output considering spatiotemporal uncertainty. Electr. Power Autom. Equip. 2024, 44, 101–107. [Google Scholar] [CrossRef]
- Liao, P.; Qi, J.; Sun, S.; Zhi, L.; Xue, D. Application of typical wind power scenarios based on improved k-means clustering in day-ahead dispatching. Electr. Eng. Mater. 2020, 46–52. [Google Scholar] [CrossRef]
- Shu, H.; Li, C.; Dai, Y.; Tang, Y.; Han, Y. An adaptive single-phase reclosing technique for wind farm transmission lines based on SOD transformation of CVT secondary voltage. Prot. Control Mod. Power Syst. 2025, 10, 58–71. [Google Scholar] [CrossRef]
- Liu, J.; Wei, L.; Li, H. Combined scenario generation method of wind power and load based on heuristic moment matching method. Jilin Electr. Power 2021, 49, 16–20. [Google Scholar] [CrossRef]
- Yu, Y.; Liu, Z.; Zhao, G.; Liu, W.; Deng, Y.; Wen, D.; Mo, L. Spatiotemporal correlation scenario generation of wind-solar complementary system based on SGMM-MCopula. Sci. Technol. Eng. 2025, 25, 4156–4167. [Google Scholar] [CrossRef]
- Cao, H.; Mu, C.; Yang, Y. Long-term optimization scheduling method for hydro–wind-PV multi-energy complementary systems considering multi-uncertainty. Yangtze River 2024, 55, 26–34. [Google Scholar] [CrossRef]
- Li, Y. Research on Profit Optimization of Park Microgrid Based on Probabilistic Income Analysis Algorithm. Electr. Energy Manag. Technol. 2023, 35–40. [Google Scholar] [CrossRef]
- Zhang, X.; Kuang, Y.; Zhou, L.; Zhao, X.; Zhang, Y.; Cheng, J. Wind-PV uncertainty-accounted collaborative optimal scheduling for active distribution networks and multi-microgrid systems. Water Resour. Hydropower Eng. 2025, 56, 782–790. [Google Scholar] [CrossRef]
- Huang, W.; Li, Y.; Li, J.; Wu, F.; Wang, Z. Multi-time scale joint optimal scheduling for wind-photovoltaic–electrochemical energy storage–pumped storage considering renewable energy uncertainty. Electr. Power Autom. Equip. 2023, 43, 91–98. [Google Scholar] [CrossRef]
- Zheng, Y.; Gong, J.; Mei, G. Economic risk game model of microgrid considering wind and photovoltaic uncertainties. Electr. Meas. Instrum. 2023, 60, 107–114. [Google Scholar] [CrossRef]
- Liang, K.; Li, F.; Zhang, G. Active distribution network congestion management strategy considering wind power uncertainty. Sci. Technol. Eng. 2023, 23, 10345–10354. [Google Scholar] [CrossRef]
- Wang, C. Optimal Energy Storage System Configuration Considering Wind and Solar Power Uncertainty. Master’s Thesis, Kunming University of Science and Technology, Kunming, China, 2024. Available online: https://link.cnki.net/doi/10.27200/d.cnki.gkmlu.2024.000637 (accessed on 1 February 2026).
- Song, Y.; Li, H. Typical scene generation of wind and photovoltaic power output based on kernel density estimation and Copula function. Electr. Eng. 2022, 23, 56–63. Available online: https://dqjs.cesmedia.cn/EN/Y2022/V23/I1/56 (accessed on 1 February 2026).
- Silverman, B.W. Density Estimation for Statistics and Data Analysis; Routledge: New York, NY, USA, 2018. [Google Scholar] [CrossRef]
- Zhao, J.; Yuan, Y.; Fu, Z.; Sun, C.; Qian, K.; Xu, W. Reliability assessment of wind-PV hybrid generation system based on Copula theory. Electr. Power Autom. Equip. 2013, 33, 124–129. [Google Scholar] [CrossRef]
- Gao, F.; Bao, D.; Di, Y.; Zhang, S. Scene generation method considering dynamic correlation of wind and photovoltaic outputs. Acta Energiae Solaris Sin. 2024, 45, 256–264. Available online: https://qikan.cqvip.com/Qikan/Article/Detail?id=7112889518 (accessed on 1 February 2026).
- Bie, Z.; Wang, X. The application of Monte Carlo method in evaluating the reliability of power systems. Autom. Electr. Power Syst. 1997, 68–75. [Google Scholar]
- Xu, J.; Wei, G.; Jin, Y.; Zhang, G.; Zhang, K.; Sun, H. Economic analysis on integration topology of Rudong offshore wind farm in Jiangsu Province. High Volt. Eng. 2017, 43, 74–81. Available online: https://qikan.cqvip.com/Qikan/Article/Detail?id=671096166 (accessed on 1 February 2026).
- Chen, Y.; Wang, Y.; Kirschen, D.; Zhang, B. Model-Free Renewable Scenario Generation Using Generative Adversarial Networks. IEEE Trans. Power Syst. 2019, 33, 3265–3275. [Google Scholar] [CrossRef]
- Dong, W.; Chen, X.; Yang, Q. Data-driven scenario generation of renewable energy production based on controllable generative adversarial networks with interpretability. Appl. Energy 2022, 308, 118387. [Google Scholar] [CrossRef]
- Capel, E.H.; Dumas, J. Denoising Diffusion Probabilistic Models for Probabilistic Energy Forecasting. In Proceedings of the 2023 IEEE Belgrade PowerTech; IEEE: Piscataway, NJ, USA, 2023; pp. 1–6. [Google Scholar] [CrossRef]
- Zhu, J.; He, Y.; Yang, X.; Yang, S. Ultra-short-term wind power probabilistic forecasting based on an evolutionary non-crossing multi-output quantile regression deep neural network. Energy Convers. Manag. 2024, 301, 118062. [Google Scholar] [CrossRef]
- Hoang, K.T.; Thilker, C.A.; Knudsen, B.R.; Imsland, L.S. A hierarchical framework for minimising emissions in hybrid gas-renewable energy systems under forecast uncertainty. Appl. Energy 2024, 373, 123796. [Google Scholar] [CrossRef]
- Huang, Y.; Zhang, Z.; Li, X.; Xie, J.; Lee, K.Y. Layered-Vine Copula-Based Wind Speed Prediction Using Spatial Correlation and Meteorological Influence. IEEE Trans. Instrum. Meas. 2023, 72, 1010312. [Google Scholar] [CrossRef]
- Liang, J.; Tang, W. Sequence Generative Adversarial Networks for Wind Power Scenario Generation. IEEE J. Sel. Areas Commun. 2020, 38, 110–118. [Google Scholar] [CrossRef]
- Wang, Y.; Liu, Y.; Yang, Q. Operational Scenario Generation and Forecasting for Integrated Energy Systems. IEEE Trans. Ind. Inform. 2024, 20, 2920–2931. [Google Scholar] [CrossRef]
- Goyal, S.K.; Gangil, G.; Saraswat, A. A Review on Uncertainty Modelling Approaches for Stochastic Optimization in Power System. In Proceedings of the 2024 4th International Conference on Innovative Practices in Technology and Management (ICIPTM); IEEE: Piscataway, NJ, USA, 2024; pp. 1–6. [Google Scholar] [CrossRef]








| K-S | MAPE (%) | RMSE | ||
|---|---|---|---|---|
| PV output fitting result | 13.23 | 0.0188 | 6.84 | 0.3105 |
| Wind power fitting result | 2.29 | 0.0145 | 13.96 | 0.0354 |
| Copula Function Type | Kendall Rank Correlation Coefficient | Spearman Rank Correlation Coefficient | Square Euclidean Distance |
|---|---|---|---|
| t-Copula | 0.0749 | 0.1082 | 0.1930 |
| Clayton-Copula | 0.0582 | 0.0879 | 0.1991 |
| Gumbel-Copula | 0.0931 | 0.1385 | 0.2220 |
| Frank-Copula | 0.0399 | 0.0592 | 0.1710 |
| Sample Copula | 0.0355 | 0.0399 | 0 |
| Area | Scenario 1 | Scenario 2 | Scenario 3 | Scenario 4 |
|---|---|---|---|---|
| A certain place in Inner Mongolia | 0.2500 | 0.3425 | 0.1750 | 0.2325 |
| A certain place in northern Hebei | 0.2425 | 0.2350 | 0.2925 | 0.2300 |
| A certain place in the Beijing–Tianjin–Hebei region | 0.2025 | 0.2200 | 0.2675 | 0.3100 |
| A certain place in Hubei | 0.4370 | 0.2160 | 0.1420 | 0.2050 |
| Method | MAPE (%) | RMSE | Calculation Time (s) |
|---|---|---|---|
| Direct clustering (baseline) | 12.5 | 0.45 | 10 |
| Traditional Copula | 8.2 | 0.32 | 25 |
| KDE-Copula | 6.8 | 0.31 | 28 |
| GAN-based | 7.1 | 0.30 | 185 |
| Parameter Tested | Test Options | Key Metric(s) Evaluated | Recommendation |
|---|---|---|---|
| KDE Bandwidth Method | Silverman vs. Cross-Validation | MAPE (PV/Wind), Comp. Time | Performance difference < 0.5%. Silverman is recommended for efficiency. |
| MCS Sample Size (N) | 200, 500, 1000, 2000 | Stat. Moment Stability, Time | Moments stabilize for N ≥ 1000. Recommended default. |
| Cluster Number (K) | 3, 4, 5, 6 | WCSS, Silhouette Coefficient | K = 4 gives clear elbow and max Silhouette (0.61). Optimal. |
Disclaimer/Publisher’s Note: The statements, opinions and data contained in all publications are solely those of the individual author(s) and contributor(s) and not of MDPI and/or the editor(s). MDPI and/or the editor(s) disclaim responsibility for any injury to people or property resulting from any ideas, methods, instructions or products referred to in the content. |
© 2026 by the authors. Licensee MDPI, Basel, Switzerland. This article is an open access article distributed under the terms and conditions of the Creative Commons Attribution (CC BY) license.
Share and Cite
Zhao, B.; Jiang, M.; Wang, X.; Wang, R.; Xiong, J.; Yang, N.; Li, Z. A Typical Scenario Generation Method Based on KDE-Copula for PV Hosting Capacity Analysis in Distribution Networks. Processes 2026, 14, 617. https://doi.org/10.3390/pr14040617
Zhao B, Jiang M, Wang X, Wang R, Xiong J, Yang N, Li Z. A Typical Scenario Generation Method Based on KDE-Copula for PV Hosting Capacity Analysis in Distribution Networks. Processes. 2026; 14(4):617. https://doi.org/10.3390/pr14040617
Chicago/Turabian StyleZhao, Bo, Minglei Jiang, Xuyang Wang, Ruizhang Wang, Jingyao Xiong, Nan Yang, and Zhenhua Li. 2026. "A Typical Scenario Generation Method Based on KDE-Copula for PV Hosting Capacity Analysis in Distribution Networks" Processes 14, no. 4: 617. https://doi.org/10.3390/pr14040617
APA StyleZhao, B., Jiang, M., Wang, X., Wang, R., Xiong, J., Yang, N., & Li, Z. (2026). A Typical Scenario Generation Method Based on KDE-Copula for PV Hosting Capacity Analysis in Distribution Networks. Processes, 14(4), 617. https://doi.org/10.3390/pr14040617

