In Situ Self-Assembled Particle-Enhanced Foam System for Profile Control and Enhanced Oil Recovery in Offshore Heterogeneous Reservoirs
Abstract
1. Introduction
2. Experimental Section
2.1. Experimental Materials and Conditions
2.1.1. Main Reagents
2.1.2. Sand-Packed Tube Model
2.1.3. Experimental Conditions
2.2. Experimental Procedures
2.2.1. Preparation of Self-Assembled Systems
2.2.2. Characterization and Performance Evaluation of Self-Assembled Systems
3. Experimental Results and Discussion
3.1. Morphological Characteristics of Self-Assembled Particles
3.2. Particle Size and Zeta Potential of Self-Assembled Particles
3.2.1. Particle Size Distribution Characteristics
3.2.2. Zeta Potential of Self-Assembled Particles
3.3. Performance of Self-Assembled Foam Systems
3.3.1. Foam Performance
3.3.2. Sealing Performance
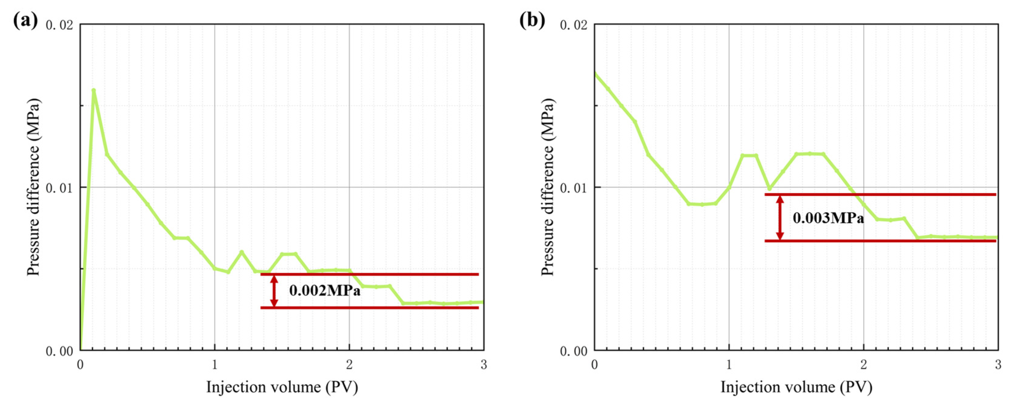
3.3.3. Pressure Reduction and Injectivity Performance
3.3.4. Oil Displacement Performance
3.4. Mechanism of In Situ Self-Assembly and Composite Foam Stabilization
4. Application of Self-Assembled Foam Drive Technology
5. Conclusions
- (1)
- This study introduces an in situ self-assembled particle-enhanced foam system tailored for profile control and enhanced oil recovery in offshore heterogeneous reservoirs. The core innovation lies in the use of soft polymer particles with temperature- and salinity-responsive self-assembly behavior, which fundamentally differs from conventional rigid particle or pre-formed foam systems. This design enables dynamic structural reconstruction within the reservoir, allowing for deep transport during injection followed by effective in situ structure formation.
- (2)
- A mechanism-guided structure–function framework is established, clarifying how particle morphology, surface charge, and self-assembly characteristics collectively govern macroscopic engineering responses, including injectivity, flow diversion, and foam stabilization. The identification of an optimal electrostatic and morphological window provides a rational basis for formulation design, shifting particle–foam systems from empirical selection toward controllable and predictable performance optimization.
- (3)
- From an engineering perspective, the proposed system demonstrates strong industrial applicability for offshore reservoirs characterized by severe heterogeneity and limited operational tolerance. Its ability to deliver moderate and controllable flow resistance, maintain injection safety, and exhibit temporal stability under field conditions highlights its robustness and scalability. These findings indicate that in situ self-assembled composite foam technology represents a promising and adaptable solution for integrated water control and enhanced oil recovery in offshore oilfields.
Author Contributions
Funding
Data Availability Statement
Conflicts of Interest
References
- Zhao, W.; Wang, Z.; Li, J.; Li, J.; Xie, Z.; Wang, Z. Natural gas resources of the sedimentary basins in China. Mar. Pet. Geol. 2008, 25, 309–319. [Google Scholar] [CrossRef]
- Zhao, R.; Hynes, S.; He, G.S. Defining and quantifying China’s ocean economy. Mar. Policy 2014, 43, 164–173. [Google Scholar] [CrossRef] [PubMed]
- Zheng, M.; Li, J.; Wu, X.; Wang, S.; Guo, Q.; Yu, J.; Zheng, M.; Chen, N.; Yi, Q. China’s conventional and unconventional natural gas resources: Potential and exploration targets. J. Nat. Gas Geosci. 2018, 3, 295–309. [Google Scholar] [CrossRef]
- Zhang, Q.; Liu, J.F.; Gao, Z.H.; Chen, S.-Y.; Liu, B.-Y. Review on the challenges and strategies in oil and gas industry’s transition towards carbon neutrality in China. Pet. Sci. 2023, 20, 3931–3944. [Google Scholar] [CrossRef]
- Wang, Q. Offshore Wind Power: An Important Opportunity for Traditional Oil and Gas Industry to Realize Low-Carbon Transformation. In Annual Report on China’s Petroleum, Gas and New Energy Industry (2021); Springer Nature: Singapore, 2022; pp. 231–245. [Google Scholar]
- Xiao, P. Experimental Investigation on CO2 Injection in the Daqing Extra/Ultra-Low Permeability Reservoir. J. Pet. Sci. Eng. 2017, 149, 765–771. [Google Scholar] [CrossRef]
- Lai, W. Gas exploration potential in Bohai Sea. China Offshore Oil Gas 2000, 14, 168–173. [Google Scholar]
- Jiang, Y.; He, S.; Lu, X. The distribution characteristics of natural gas and its controlling factors in Bohai Bay Basin. In Proceedings of the Harbin: Seminar on Medium-Deep Gas Exploration Technology, Harbin, China, 1–3 August 2005. [Google Scholar]
- Lao, J. Micro/Nanoparticle Characteristics and Flow in Porous Media: A Review towards Enhanced Oil Recovery. Energies 2024, 17, 4136. [Google Scholar] [CrossRef]
- Xu, C.; Yu, H.; Jun, W.; Liu, X. Formation conditions and accumulation characteristics of Bozhong 19-6 large condensate gas field in offshore Bohai Bay Basin. Pet. Explor. Dev. 2019, 46, 27–40. [Google Scholar] [CrossRef]
- Liu, Y.; Ge, L.; Ma, K.; Chen, X.; Zhu, Z.; Hou, J. Study on surfactant–polymer flooding after polymer flooding in high-permeability heterogeneous offshore oilfields: A case study of Bohai S Oilfield. Polymers 2024, 16, 2004. [Google Scholar] [CrossRef] [PubMed]
- Kang, X.; Zhang, J.; Sun, F.; Zhang, F.; Feng, G.; Yang, J.; Zhang, X.; Xiang, W. A review of polymer EOR on offshore heavy oil field in Bohai Bay, China. In Proceedings of the SPE Asia Pacific Enhanced Oil Recovery Conference, Kuala Lumpur, Malaysia, 19–21 July 2011. SPE-144932-MS. [Google Scholar]
- Guo, Y.; Zhang, J.; Liu, Y.; Liu, G.; Xue, X.; Luo, P.; Ye, Z.; Zhang, X.; Liang, Y. Successful scale application of associative polymer flooding for offshore heavy oilfield in Bohai Bay of China. In Proceedings of the SPE Asia Pacific Oil and Gas Conference and Exhibition, Virtual, 17–19 November 2020. D012S003R010. [Google Scholar]
- Feng, Q.; Zhou, J.; Li, S.; Chen, X.; Sun, Y.; Zhang, X.; Gao, P.; Zhang, F.; She, Y. Research on characterization technology and field test of biological nano-oil displacement in offshore medium-and low-permeability reservoirs. ACS Omega 2022, 7, 40132–40144. [Google Scholar] [CrossRef] [PubMed]
- Liu, Y.; Zou, C.; Zhou, D.; Li, H.; Gao, M.; Zhao, G.; Dai, C. Novel chemical flooding system based on dispersed particle gel coupling in-depth profile control and high efficient oil displacement. Energy Fuels 2019, 33, 3123–3132. [Google Scholar] [CrossRef]





| Sample Name | Zeta (mV) |
|---|---|
| HK | −10 |
| PMB-1 | −5.23 |
| PMB-2 | −20.3 |
| PMB-3 | 18.6 |
| PMB-4 | −4.1 |
| PMB-5 | −17.2 |
| Foaming Agent/Self-Assembly System/Foam Stabilizer | Foam Height, mm | Half-Life of Water Analysis, s | Comprehensive Value |
|---|---|---|---|
| ZHDB-5/PMB-1/A-2 0.5%/0/0 | 810 | 381 | 308,610 |
| ZHDB-5/PMB-1/A-2 0.5%/0.2%/0 | 850 | 355 | 301,750 |
| ZHDB-5/PMB-2/A-2 0.5%/0.2%/0 | 830 | 382 | 317,060 |
| ZHDB-5/HK/A-2 0.5%/0.2%/0 | 810 | 372 | 301,320 |
| ZHDB-5/PMB-1/A-2 0.5%/0/0.05% | 770 | 599 | 461,230 |
| ZHDB-5/PMB-1/A-2 0.5%/0.2%/0.05% | 750 | 582 | 436,500 |
| ZHDB-5/PMB-2/A-2 0.5%/0.2%/0.05% | 750 | 605 | 453,750 |
| ZHDB-5/HK/A-2 0.5%/0.2%/0.05% | 780 | 594 | 463,320 |
| Oil Displacement Effect | 3000 mD-Foaming Agent | 3000 mD-HK | 3000 mD-HK + Foaming Agent |
|---|---|---|---|
| Water cut, % | 61.9 | 62.7 | 62.6 |
| Final recovery rate, % | 73.2 | 73.3 | 89.8 |
| Enhance recovery, % | 11.4 | 10.5 | 27.2 |
| Oil Displacement Effect | 500 mD-HK + Foaming Agent | 3000 mD-HK + Foaming Agent |
|---|---|---|
| Water cut, % | 24.0 | 62.6 |
| Final recovery rate, % | 46.6 | 89.8 |
| Enhance recovery, % | 22.5 | 27.2 |
Disclaimer/Publisher’s Note: The statements, opinions and data contained in all publications are solely those of the individual author(s) and contributor(s) and not of MDPI and/or the editor(s). MDPI and/or the editor(s) disclaim responsibility for any injury to people or property resulting from any ideas, methods, instructions or products referred to in the content. |
© 2026 by the authors. Licensee MDPI, Basel, Switzerland. This article is an open access article distributed under the terms and conditions of the Creative Commons Attribution (CC BY) license.
Share and Cite
Jiang, M.; Tang, S.; Xia, Y. In Situ Self-Assembled Particle-Enhanced Foam System for Profile Control and Enhanced Oil Recovery in Offshore Heterogeneous Reservoirs. Processes 2026, 14, 411. https://doi.org/10.3390/pr14030411
Jiang M, Tang S, Xia Y. In Situ Self-Assembled Particle-Enhanced Foam System for Profile Control and Enhanced Oil Recovery in Offshore Heterogeneous Reservoirs. Processes. 2026; 14(3):411. https://doi.org/10.3390/pr14030411
Chicago/Turabian StyleJiang, Mengsheng, Shanfa Tang, and Yu Xia. 2026. "In Situ Self-Assembled Particle-Enhanced Foam System for Profile Control and Enhanced Oil Recovery in Offshore Heterogeneous Reservoirs" Processes 14, no. 3: 411. https://doi.org/10.3390/pr14030411
APA StyleJiang, M., Tang, S., & Xia, Y. (2026). In Situ Self-Assembled Particle-Enhanced Foam System for Profile Control and Enhanced Oil Recovery in Offshore Heterogeneous Reservoirs. Processes, 14(3), 411. https://doi.org/10.3390/pr14030411
