Lithium Recovery from a Clay-Type Ore by Pressure Leaching Oxidation: A Kinetic Study
Abstract
1. Introduction
2. Materials and Methods
3. Results
3.1. Mineralogical Characterization
3.2. Granulometric Analysis
3.3. Conventional Leaching Tests
3.4. Hot Leaching
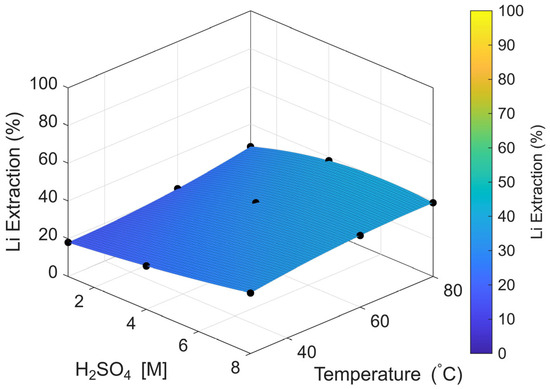
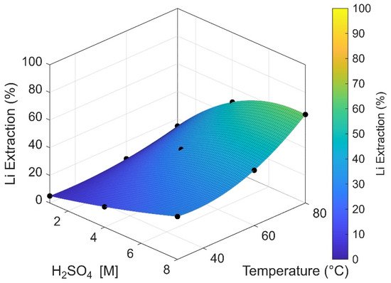
3.5. Pressure Leaching/Oxidation
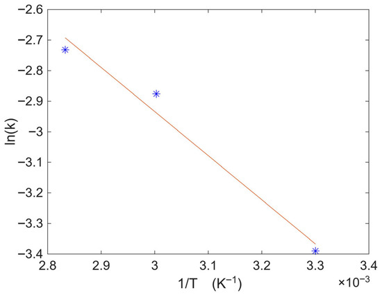
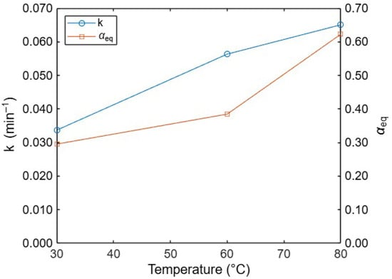
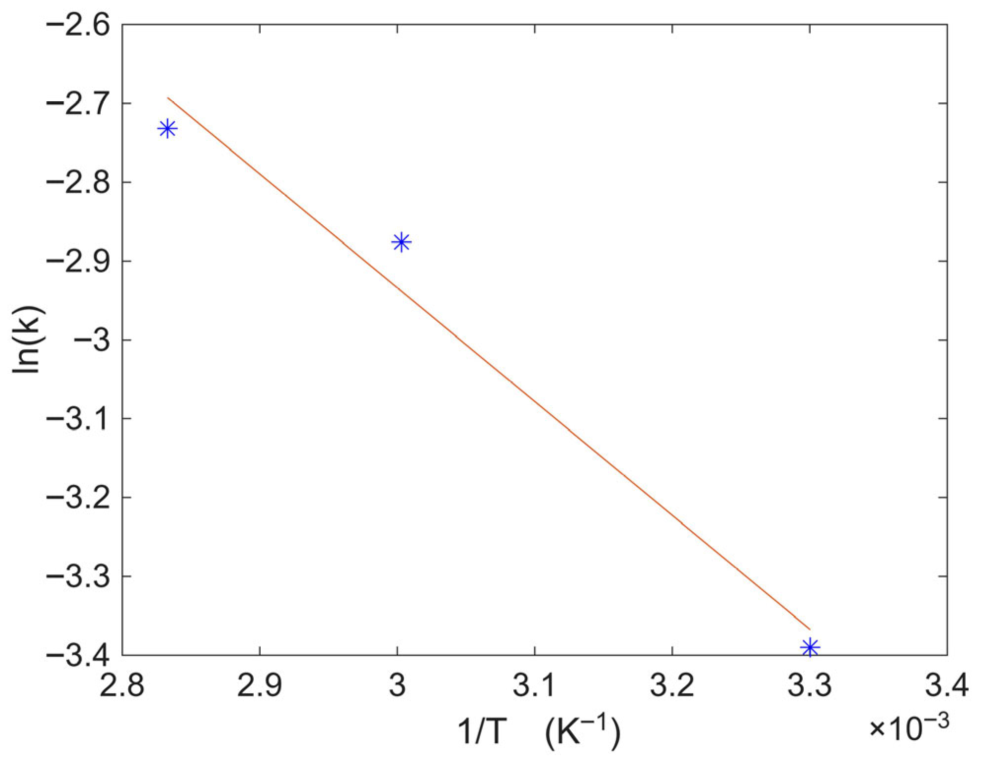
3.6. Kinetic Modeling of Lithium Dissolution
4. Conclusions
Author Contributions
Funding
Data Availability Statement
Acknowledgments
Conflicts of Interest
References
- Bauer, D.; Khazdozian, H.; Mehta, J.; Nguyen, R.; Severson, M.; Vaagensmith, B.; Toba, L.; Zhang, B.; Hossain, T.; Sibal, A.; et al. Critical Materials Strategy; Idaho National Laboratory (INL): Idaho Falls, ID, USA, 2023. [Google Scholar]
- Masson-Delmotte, V.; Zhai, P.; Pirani, A.; Connors, S.L.; Péan, C.; Berger, S.; Caud, N.; Chen, Y.; Goldfarb, L.; Gomis, M.I.; et al. Climate Change 2021: The Physical Science Basis, the Working Group I Contribution to the Sixth Assessment Report; Cambridge University Press: Cambridge, UK, 2022; pp. 1–35. [Google Scholar] [CrossRef]
- Evans, R.K. An Abundance of Lithium; World Lithium: Santiago, Chile, 2008. [Google Scholar]
- Yaksic, A.; Tilton, J.E. Using the cumulative availability curve to assess the threat of mineral depletion: The case of lithium. Resour. Policy 2009, 34, 185–194. [Google Scholar] [CrossRef]
- Gruber, P.W.; Medina, P.A.; Keoleian, G.A.; Kesler, S.E.; Everson, M.P.; Wallington, T.J. Global lithium availability: A constraint for electric vehicles? J. Ind. Ecol. 2011, 15, 760–775. [Google Scholar] [CrossRef]
- Evans, R.K. Lithium Reserves and Resources. Energy 1978, 3, 379–385. [Google Scholar] [CrossRef]
- Mohr, S.H.; Mudd, G.M.; Giurco, D. Lithium Resources and Production: Critical Assessment and Global Projections. Minerals 2012, 2, 65–84. [Google Scholar] [CrossRef]
- Kesler, S.E.; Gruber, P.W.; Medina, P.A.; Keoleian, G.A.; Everson, M.P.; Wallington, T.J. Global lithium resources: Relative importance of pegmatite, brine and other deposits. Ore Geol. Rev. 2012, 48, 55–69. [Google Scholar] [CrossRef]
- Grosjean, C.; Miranda, P.H.; Perrin, M.; Poggi, P. Assessment of world lithium resources and consequences of their geographic distribution on the expected development of the electric vehicle industry. Renew. Sustain. Energy Rev. 2012, 16, 1735–1744. [Google Scholar] [CrossRef]
- Flexer, V.; Baspineiro, C.F.; Galli, C.I. Lithium recovery from brines: A vital raw material for green energies with a potential environmental impact in its mining and processing. Sci. Total Environ. 2018, 639, 1188–1204. [Google Scholar] [CrossRef]
- Liu, J.; Xu, R.; Sun, W.; Wang, L.; Zhang, Y. Lithium Extraction from Lithium-Bearing Clay Minerals by Calcination-Leaching Method. Minerals 2024, 14, 248. [Google Scholar] [CrossRef]
- Lien, R.H. Recovery of Lithium from a Montmorillonite-Type Clay; US Department of the Interior, Bureau of Mines: Washington, DC, USA, 1985; Volume 8967. [Google Scholar]
- Kazadi, D.M.; Groot, D.R.; Steenkamp, J.D.; Pöllmannb, H. Control of silica polymerization during ferromanganese slag sulphuric acid digestion and water leaching. Hydrometallurgy 2016, 166, 214–221. [Google Scholar] [CrossRef]
- Binnemans, K.; Jones, P.T. Solvometallurgy: An Emerging Branch of Extractive Metallurgy. J. Sustain. Metall. 2017, 3, 570–600. [Google Scholar] [CrossRef]
- Zhang, Y.; Liu, M.; Zhu, G.; Liu, R.; Cao, Y. Lithium Extraction from a Clay-Type Lithium Ore Using a Mixed Solution of Sulfuric Acid and Ferric Chloride. Sep. Purif. Technol. 2025, 354, 129439. [Google Scholar] [CrossRef]
- Amer, A.M. The hydrometallurgical extraction of lithium from Egyptian montmorillonite-type clay. JOM 2008, 60, 55–57. [Google Scholar] [CrossRef]
- Porvali, A.; Chernyaev, A.; Shukla, S.; Lundström, M. Lithium Ion Battery Active Material Dissolution Kinetics in Fe (II)/Fe (III) Catalyzed Cu-H2SO4 Leaching System. Sep. Purif. Technol. 2020, 236, 116305. [Google Scholar] [CrossRef]
- Secretaría de Economía. Perfil del Mercado del Litio 2017; Gobierno de México: Ciudad de México, México, 2017; Available online: https://www.gob.mx/cms/uploads/attachment/file/287805/Perfil_Litio_2017.pdf (accessed on 1 November 2025).
- US Geological Survey. Mineral Commodities Summary 2021; U.S. Geological Survey: Reston, VA, USA, 2021. [Google Scholar] [CrossRef]
- Liu, Y.; Ma, B.; Lü, Y.; Wang, C.; Chen, Y. A review of lithium extraction from natural resources. Int. J. Miner. Metall. Mater. 2023, 30, 209–224. [Google Scholar] [CrossRef]
- Younes, N.N.; Turan, M.D.; Erdem, M. Overcoming clay structure challenges in lithium recovery from boron waste using high-temperature pressure acid leaching. Can J. Chem. Eng. 2025, 103, 2851–2863. [Google Scholar] [CrossRef]
- Russo, V.; Grénman, H.; Cogliano, T.; Tesser, R.; Salmi, T. Advanced shrinking particle model for fluid-reactive solid systems. Front. Chem. Eng. Sec. Chem. React. Eng. 2020, 2, 577505. [Google Scholar] [CrossRef]
- Levenspiel, O. Chemical reaction engineering. Ind. Eng. Chem. Res. 1999, 38, 4140–4143. [Google Scholar] [CrossRef]
- Habashi, F. Textbook of Hydrometallurgy, 2nd ed.; Métallurgie Extractive Québec: Quebec City, QC, Canada, 1999; ISBN 2-980-3247-0-1. [Google Scholar]
- Sohn, H.Y. Noncatalytic fluid–solid reactions. In Chemical Reaction Engineering; Levenspiel, O., Ed.; John Wiley & Sons: Hoboken, NJ, USA, 1978; pp. 484–505. [Google Scholar]
- Olanipekun, E. A kinetic study of the leaching of a Nigerian ilmenite ore by hydrochloric acid. Hydrometallurgy 1999, 53, 1–10. [Google Scholar] [CrossRef]
- Levenspiel, O. Chemical Reaction Engineering, 3rd ed.; Wiley: New York, NY, USA, 1999. [Google Scholar]
- Habashi, F. Principles of Extractive Metallurgy, Volume II: Hydrometallurgy; Gordon and Breach Science Publishers: New York, NY, USA, 1970. [Google Scholar]
- Arrhenius, S. On the reaction velocity of the inversion of cane sugar by acids. Z. Phys. Chem. 1889, 4, 226–248. [Google Scholar] [CrossRef]
- Romero, B.Y. Recuperación de Litio Con Lixiviación Ultrasónica. Ingeniería en Metalurgia y Materiales. Instituto Politécnico Nacional; Escuela Superior de Ingeniería Química e Industrias Extractivas: Mexico City, Mexico, 2016. [Google Scholar]
- Bourg, I.C.; Ajo-Franklin, J.B. Clay, Water, and Salt: Controls on the Permeability of Fine-Grained Sedimentary Rocks. Acc. Chem. Res. 2017, 50, 2067–2074. [Google Scholar] [CrossRef]
- Choubey, P.K.; Dinkar, O.S.; Panda, R.; Kumari, A.; Jha, M.K.; Pathak, D.D. Selective extraction and separation of Li, Co and Mn from leach liquor of discarded lithium ion batteries (LIBs). Waste Manag. 2021, 121, 452–457. [Google Scholar] [CrossRef] [PubMed]
- Gutiérrez, J.S.; Navedo, J.G.; Soriano-Redondo, A. Atacama imperilled by lithium mining. Nature 2018, 557, 492. [Google Scholar] [CrossRef] [PubMed]
- Guo, H.; Yu, H.; Zhou, A.; Lv, M.; Wang, Q.; Kuang, G.; Wang, H. Kinetics of leaching lithium from α-spodumene in enhanced acid treatment using HF/H2SO4 as medium. Trans. Nonferr. Met. Soc. China 2019, 29, 407–415. [Google Scholar] [CrossRef]
- Rosales, G.D.; Pinna, E.G.; Suarez, D.S.; Rodriguez, M.H. Recovery Process of Li, Al and Si from Lepidolite by Leaching with HF. Minerals 2017, 7, 36. [Google Scholar] [CrossRef]
- Crocker, L.; Lien, R.H. Lithium and Its Recovery from Low-Grade Nevada Clays; Bureau of Mines, Department of Interior: Washington, DC, USA, 1987; pp. 8–9. [Google Scholar]
- Chen, H.; Zhang, L.; Pan, J.; Long, X.; He, X.; Zhou, C. Study on modes of occurrence and enhanced leaching of critical metals (lithium, niobum, and rare earth elements) in coal gangue. J. Environ. Chem. Eng. 2022, 10, 108818. [Google Scholar] [CrossRef]
- Gao, L.; Wang, H.; Li, J.; Wang, M. Recovery of Lithium from Lepidolite by Sulfuric Acid and Separation of Al/Li by Nanofiltration. Minerals 2020, 10, 981. [Google Scholar] [CrossRef]
- Liu, J.L.; Yin, Z.L.; Li, X.H.; Hu, Q.Y.; Wei, L.I.U. Recovery of valuable metals from lepidolite by atmosphere leaching and kinetics on dissolution of lithium. Trans. Nonferrous Met. Soc. China 2019, 29, 641–649. [Google Scholar] [CrossRef]
- Chen, Z.; Peng, R.; Xiang, Z.; Liu, F.; Wang, J.; Chen, X. Low-Acid Leaching for Preferential Lithium Extraction and Preparation of Lithium Carbonate from Rare Earth Molten Salt Electrolytic Slag. Metals 2024, 14, 1303. [Google Scholar] [CrossRef]
- Gu, J.; Liang, B.; Luo, X.; Zhang, X.; Yuan, W.; Xiao, B.; Tang, X. Recent Advances and Future Prospects of Lithium Recovery from Low-Grade Lithium Resources: A Review. Inorganics 2025, 13, 4. [Google Scholar] [CrossRef]
- Zhang, X.; Zhao, J.; Li, Y.; An, D.; Cheng, H.; Ma, Y.; Song, H. Mineral Phase Transformation and Leaching Behavior During the Roasting–Acid–Leaching Process of Clay-Type Lithium Ore in the Qaidam Basin. Minerals 2025, 15, 777. [Google Scholar] [CrossRef]
- Zhong, W.; Yang, L.; Rao, F.; Tong, L.; Feng, H. Efficient Extraction of Lithium from Calcined Kaolin Lithium Clay with Dilute Sulfuric Acid. Minerals 2024, 14, 359. [Google Scholar] [CrossRef]
- Wang, H.-D.; Zhou, A.-A.; Guo, H.; Lü, M.-H.; Yu, H.-Z. Kinetics of leaching lithium from lepidolite using mixture of hydrofluoric and sulfuric acid. J. Cent. South Univ. 2020, 27, 27–36. [Google Scholar] [CrossRef]













|
Variables and Parameters |
Conventional Leaching |
Hot Leaching |
Pressure Leaching/Oxidation |
|---|---|---|---|
| H2SO4, [M] | 1, 4, 8 | 1, 4, 8 | 1, 4, 8 |
| Particle size, µm | 105, 149 | 149 | 149 |
| Temperature, °C | - | 30, 60, 80 | 30, 60, 80 |
| O2 pressure, psi | - | - | 50 |
| Time, h (1), min (2) | 0.5, 1, 2, 3, 5, 7, 8, 21, 24 (1) | 0.5, 1, 2, 3, 5, 7, 8, 21, 24 (1) | 30, 60, 120, 180 (2) |
| Solids, wt.% | 20 | 20 | 20 |
| Stirring speed, rpm | 600 | 600 | 600 |
| Compounds | Formula | wt.% |
|---|---|---|
| Montmorillonite | Na0.33Ca0.33Al2Mg2Si4O10(OH)2·nH2O | 56.2 |
| Quartz | SiO2 | 22.8 |
| Calcite | CaCO3 | 8.4 |
| Dolomite | CaMgCO3 | 5.7 |
| Orthoclase | KAlSi3O8 | 5.1 |
| Magnetite | Fe3O4 | 1.8 |
| Element | Aqua Regia | 4 Acids | Fusion |
|---|---|---|---|
| Al | 4.35% | 3.42% | - |
| Ca | 8.17% | 5.97% | - |
| Fe | 1.02% | - | 0.81% |
| K | 4.63% | 3.78% | - |
| Li | >10,000 mg/L | 9057 mg/L | - |
| Li (rpt) | 8786 mg/L | - | - |
| Mg | 1.92% | 1.44% | - |
| Na | 0.09% | 0.15% | - |
| P | <0.01% | <0.01% | - |
| S | <0.01% | <0.01% | - |
| Ti | 0.12% | 0.11% | - |
Disclaimer/Publisher’s Note: The statements, opinions and data contained in all publications are solely those of the individual author(s) and contributor(s) and not of MDPI and/or the editor(s). MDPI and/or the editor(s) disclaim responsibility for any injury to people or property resulting from any ideas, methods, instructions or products referred to in the content. |
© 2026 by the authors. Licensee MDPI, Basel, Switzerland. This article is an open access article distributed under the terms and conditions of the Creative Commons Attribution (CC BY) license.
Share and Cite
Leyva-Soriano, G.L.; Valenzuela-García, J.L.; Salazar-Campoy, M.M.; Meza-Figueroa, D.M.; Valencia-Moreno, M.A.; Tiburcio-Munive, G.; Encinas-Romero, M.A.; Soto-Uribe, J.C. Lithium Recovery from a Clay-Type Ore by Pressure Leaching Oxidation: A Kinetic Study. Processes 2026, 14, 238. https://doi.org/10.3390/pr14020238
Leyva-Soriano GL, Valenzuela-García JL, Salazar-Campoy MM, Meza-Figueroa DM, Valencia-Moreno MA, Tiburcio-Munive G, Encinas-Romero MA, Soto-Uribe JC. Lithium Recovery from a Clay-Type Ore by Pressure Leaching Oxidation: A Kinetic Study. Processes. 2026; 14(2):238. https://doi.org/10.3390/pr14020238
Chicago/Turabian StyleLeyva-Soriano, Guadalupe Lizeth, Jesús Leobardo Valenzuela-García, María Mercedes Salazar-Campoy, Diana María Meza-Figueroa, Martín Andrés Valencia-Moreno, Guillermo Tiburcio-Munive, Martín Antonio Encinas-Romero, and Juan Carlos Soto-Uribe. 2026. "Lithium Recovery from a Clay-Type Ore by Pressure Leaching Oxidation: A Kinetic Study" Processes 14, no. 2: 238. https://doi.org/10.3390/pr14020238
APA StyleLeyva-Soriano, G. L., Valenzuela-García, J. L., Salazar-Campoy, M. M., Meza-Figueroa, D. M., Valencia-Moreno, M. A., Tiburcio-Munive, G., Encinas-Romero, M. A., & Soto-Uribe, J. C. (2026). Lithium Recovery from a Clay-Type Ore by Pressure Leaching Oxidation: A Kinetic Study. Processes, 14(2), 238. https://doi.org/10.3390/pr14020238

