Numerical Investigation of Horizontal Wellbore Hole Cleaning with a Flexible Drill Pipe Using the CFD–DEM
Abstract
1. Introduction
2. Coupled CFD–DEM Methodology
2.1. Solid Phase
2.1.1. Governing Equations for the Solid Phase
2.1.2. Contact Forces Between Particles
2.2. Fluid Phase
2.3. Solid–Liquid Coupling
2.4. Applied Assumptions of the Model
- (1)
- A 10-segment drill pipe was used to simulate a full-length drill pipe.
- (2)
- The model is designed only for the horizontal section.
- (3)
- The drilling fluid is an incompressible non-Newtonian liquid.
- (4)
- Isothermal system.
3. Calculation Model and Conditions for Horizontal Flexible Drill Pipes
3.1. Model Geometry and Conditions
3.2. Grid Independence Verification
3.2.1. Grid Scheme Design
3.2.2. Verification Parameters and Monitoring Methodologies
3.2.3. Convergence Criterion
4. Results and Discussion
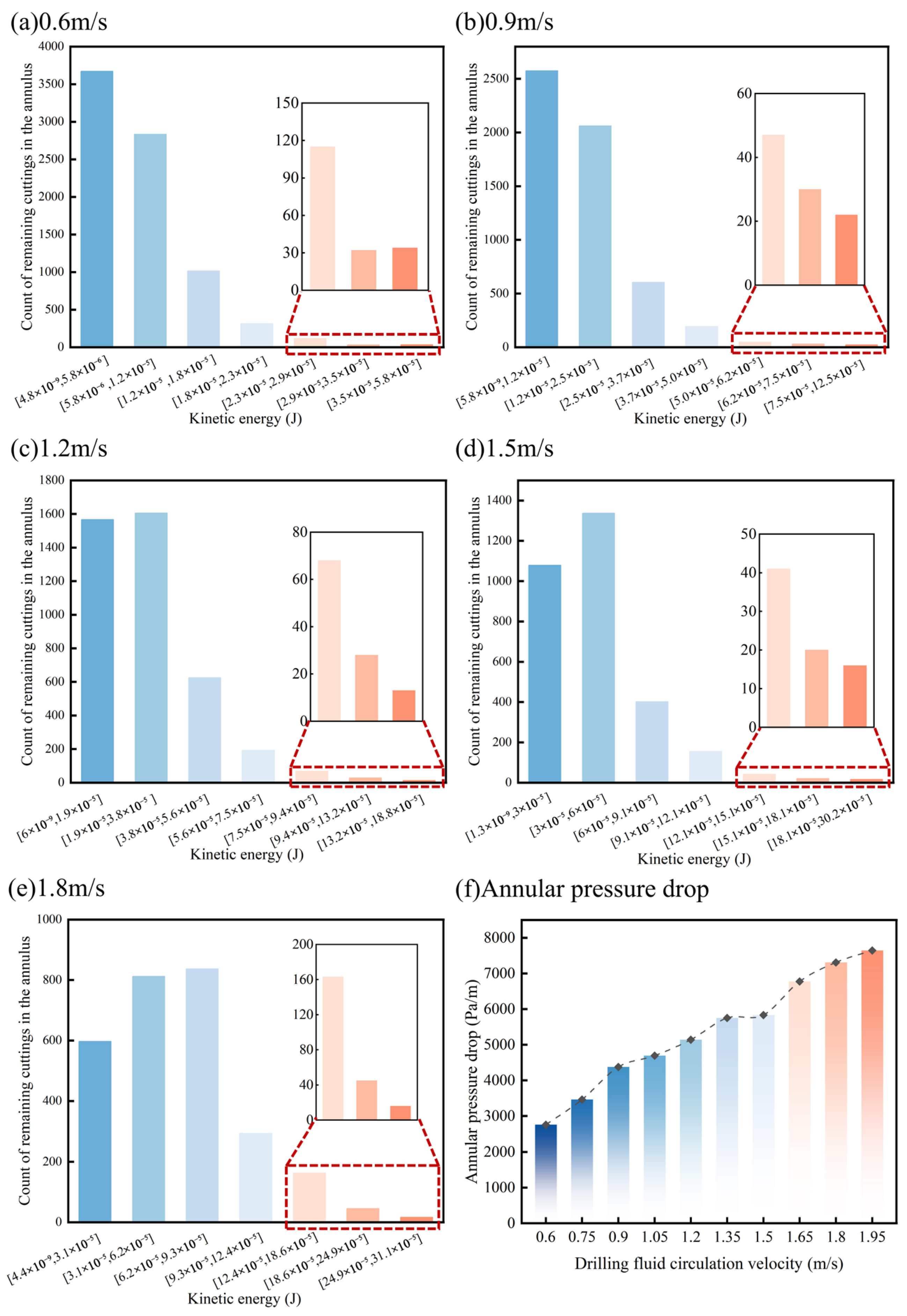
4.1. Influence of the Drilling Fluid Circulation Return Velocity on Hole Cleaning
4.2. Influence of the Drill Pipe Rotational Speed on Wellbore Cleaning
4.3. Influence of Drilling Fluid Rheological Parameters on Wellbore Cleaning
4.3.1. Effect of the Flow Behavior Index on Wellbore Cleaning
4.3.2. Effect of the Consistency Index on Hole Cleaning
5. Conclusions
- (1)
- For flexible drill pipes rotating at 30 rpm, increasing the drilling fluid flow rate significantly reduces the annular cutting concentration and enhances the hole cleaning efficiency. The volume fraction of cuttings exhibited the most significant reduction when the flow rate increased from 0.6 m/s to 0.9 m/s. However, beyond approximately 1.5 m/s, the suspension and transport capacity of cuttings reached saturation, resulting in diminishing returns in terms of hole cleaning efficiency with further flow rate increases. Concurrently, the annular pressure drop rose sharply with increasing flow velocity, increasing from 2752.39 Pa/m at 0.6 m/s to 7642.63 Pa/m at 1.95 m/s. The improvement in hole cleaning efficiency at high flow rates is smaller compared to that observed at relatively low velocities.
- (2)
- At a drilling fluid flow rate of 1.42 m/s, increasing the drill pipe rotational speed of flexible drill pipes from 30 rpm to 100 rpm reduced the annular cutting volume fraction from 0.58% to 0.51%, indicating a measurable improvement in hole cleaning efficiency. However, this improvement is subject to significant limitations. First, the enhancement in wellbore cleaning efficiency achieved by increasing rotational speed is inferior to that attained through flow rate optimization. Second, higher rotational speeds primarily improve the suspension of fine cuttings (3.0–3.2 mm), but yield minimal improvement in the transport efficiency of larger cuttings (4.8–5.0 mm), which are predominantly influenced by gravitational settling. More critically, increased rotational speed results in a sharp decline in torque transmission efficiency. When the rotational speed is raised from 30 rpm to 110 rpm, torque transmission efficiency drops from 13.31% to 3.62%, indicating that over 70% of input energy is dissipated as frictional losses.
- (3)
- Under power-law fluid conditions, increasing the flow behavior index n (from 0.4 to 0.6) reduces the mass of residual cuttings in the annulus from 0.158 kg to 0.144 kg, while increasing the consistency coefficient k (from 0.6 to 1.5) lowers it from 0.155 kg to 0.138 kg. These results indicate that raising either n or k enhances the cutting suspension and transport capacity. However, the improvement in cleaning efficiency is relatively limited in both cases and is accompanied by a significant increase in annular pressure drop—rising from 4293.39 Pa/m to 6456.61 Pa/m when n is increased—with a similar trend observed for k. Therefore, optimizing the rheological parameters of drilling fluid should not focus solely on increasing a single index. Instead, a comprehensive balance between cutting-carrying capacity and annular pressure loss must be achieved under specific downhole conditions to avoid excessive circulating pressure and the risk of wellbore instability.
6. Future Work
- (1)
- Further simulations: Future research could focus on investigating longer flexible drill strings to further enhance the model’s applicability.
- (2)
- Sensitivity Analysis: Due to resource limitations, the interaction force model between the fluid phase and the particle phase has not been calibrated with experimental data specific to this model. Therefore, future work could focus on calibrating the interaction forces between the particles and the fluid to improve the model’s accuracy and applicability.
- (3)
- Validation of the Model: Due to the lack of publicly available experimental data on cutting transport in flexible drill pipes, we were unable to validate the simulation results with real-case data. Future experimental studies could address this gap.
- (4)
- Model extension: The model focuses solely on the horizontal section, and future work could explore methods to extend the model to include the build section.
Author Contributions
Funding
Data Availability Statement
Acknowledgments
Conflicts of Interest
References
- Alola, A.A.; Abbas, S.; Alola, U.V. Examining the Effect of Global Energy Reserves to Production Ratio on Carbon Emission in the USA. Energy Strategy Rev. 2024, 52, 101353. [Google Scholar] [CrossRef]
- Balsalobre-Lorente, D.; Shahbaz, M.; Roubaud, D.; Farhani, S. How Economic Growth, Renewable Electricity and Natural Resources Contribute to CO2 Emissions? Energy Policy 2018, 113, 356–367. [Google Scholar] [CrossRef]
- Wang, H.; Lei, Z. Energy Supply from Oil and Gas, Mineral Depletion, and Total Natural Resource Rents: Impact of Oil Equivalent Energy Use CO2 Intensity. Resour. Policy 2023, 86, 104172. [Google Scholar] [CrossRef]
- Chen, H.; Wei, B.; Zhou, X.; Zhu, J.; Xu, Z.; Fan, Y. Theory and Technology of Enhanced Oil Recovery by Gas Andfoam Injection in Complex Reservoirs. Adv. Geo-Energy Res. 2025, 15, 181–184. [Google Scholar] [CrossRef]
- Kang, W.-L.; Zhou, B.-B.; Issakhov, M.; Gabdullin, M. Advances in Enhanced Oil Recovery Technologies for Low Permeability Reservoirs. Pet. Sci. 2022, 19, 1622–1640. [Google Scholar] [CrossRef]
- Ma, D.; Li, G.; Huang, Z.; Niu, J.; Hou, C.; Liu, M.; Li, J. A Model of Calculating the Circulating Pressure Loss in Coiled Tubing Ultra-Short Radius Radial Drilling. Pet. Explor. Dev. 2012, 39, 528–533. [Google Scholar] [CrossRef]
- Fu, X.; Li, G.; Huang, Z.; Liang, Y.; Xu, Z.; Jin, X. Experimental and Numerical Study of Radial Lateral Fracturing for Coalbed Methane. J. Geophys. Eng. 2015, 12, 875–886. [Google Scholar] [CrossRef]
- Huang, Z.; Huang, Z.; Su, Y.; Bi, G.; Li, W.; Liu, X.; Jiang, T. A Feasible Method for the Trajectory Measurement of Radial Jet Drilling Laterals. SPE Drill. Complet. 2020, 35, 125–135. [Google Scholar] [CrossRef]
- Huang, F.; Zhu, Z.; Wang, J.; Zhang, P.; Ren, Z.; Lu, J.; Su, H.; Zhang, H.; Li, J. Study on Energy Conversion Efficiency and Structure Optimization of the Multorifices Nozzle for Radial Jet Drilling. Geofluids 2023, 2023, 5517260. [Google Scholar] [CrossRef]
- Huang, Z.; Huang, Z. Review of Radial Jet Drilling and the Key Issues to Be Applied in New Geo-Energy Exploitation. Energy Procedia 2019, 158, 5969–5974. [Google Scholar] [CrossRef]
- Krivoshchekov, S.; Kochnev, A.; Ozhgibesov, E.; Yuzhakov, A. Experimental Study of Different Radial Jet Drilling Parameters and Operation Regimes for Effective Well Stimulation. Appl. Sci. 2024, 14, 1149. [Google Scholar] [CrossRef]
- Guo, Q.; Sun, Q.; Chai, L.; Yang, P.; Wu, S.; Zhang, D.; Weng, W. Mechanical Properties and Optimization of Deflecting Drills with Ultra-Short Radius Flexible Drill Pipes. Nat. Gas Ind. B 2024, 11, 185–195. [Google Scholar] [CrossRef]
- Luo, M.; Xu, T.; Jiang, J.; Chi, X.; Wang, J.; Xue, S. Two-Layer Contact Nonlinear Mechanical Analysis of Flexible Drilling Tool in The Wellbore. Comput. Model. Eng. Sci. 2020, 123, 75–100. [Google Scholar] [CrossRef]
- Zamani, S.M.; Hassanzadeh-Tabrizi, S.A.; Sharifi, H. Failure Analysis of Drill Pipe: A Review. Eng. Fail. Anal. 2016, 59, 605–623. [Google Scholar] [CrossRef]
- Deshmukh, V.; Dewangan, S.K. Review on Various Borehole Cleaning Parameters Related to Oil and Gas Well Drilling. J Braz. Soc. Mech. Sci. Eng. 2022, 44, 185. [Google Scholar] [CrossRef]
- Zhang, L.; Li, W.; Xie, T.; Liu, H.; Li, W.; Liu, X. Research on Drillpipe Stick-Slip Vibration and Its Suppression Mechanism in Deep Well Drilling. J. Phys. Conf. Ser. 2024, 2834, 012172. [Google Scholar] [CrossRef]
- Zhang, Y.; Shu, J. Numerical Modeling and the Ultimate Bending Experiment of the Directional Drill Pipes Bending at the Dog-Leg of the Multi-Branch Well. Heliyon 2024, 10, e38314. [Google Scholar] [CrossRef]
- Luo, F.; Liu, L.; Bian, P.; Luo, Y.; Zhao, J. Study on the Buckling Behavior of Continuous Tubing Column in Deepwater Natural Gas Hydrate Reservoirs. Highlights Sci. Eng. Technol. 2022, 25, 217–225. [Google Scholar] [CrossRef]
- Weng, D.; Sun, Q.; Liang, H.; Lei, Q.; Guan, B.; Mu, L.; Liu, H.; Zhang, S.; Chai, L.; Huang, R. Flexible Sidetracking Stimulation Technology of Horizontal Wells in Low-Permeability Mature Oilfields. Pet. Explor. Dev. 2025, 52, 219–229. [Google Scholar] [CrossRef]
- Lin, Z.; Luo, M.; Wang, J.; Xiu, T.; Li, Q. Research on the Dynamic Behavior of Flexible Drilling Tools in Ultrashort-Radius Radial Horizontal Wells. Sci. Rep. 2024, 14, 7230. [Google Scholar] [CrossRef]
- Zhao, J.; Huang, W.; Gao, D. Study on Flow Pattern Transition of Cuttings Transport in Extended-Reach Drilling. Geoenergy Sci. Eng. 2024, 238, 212910. [Google Scholar] [CrossRef]
- Busch, A.; Johansen, S.T. Cuttings Transport: On the Effect of Drill Pipe Rotation and Lateral Motion on the Cuttings Bed. J. Pet. Sci. Eng. 2020, 191, 107136. [Google Scholar] [CrossRef]
- Pedrosa, C.; Saasen, A.; Ytrehus, J.D. Fundamentals and Physical Principles for Drilled Cuttings Transport—Cuttings Bed Sedimentation and Erosion. Energies 2021, 14, 545. [Google Scholar] [CrossRef]
- Cayeux, E.; Daireaux, B.; Karimi Balov, M.; Haavardstein, S.; Magne Stokland, L.; Saasen, A. Automatic Performance Analysis and Estimation of Risk Level Embedded in Drilling Operation Plans. In Proceedings of the SPE Intelligent Energy International Conference and Exhibition, Aberdeen, Scotland, UK, 6–8 September 2016; p. SPE-181018-MS. [Google Scholar]
- Elmgerbi, A.; Les, B.; Ashena, R.; Atkin, T. A Practical Decision Tool to Evaluate and Rank Potential Solutions for Expected Downhole Drilling Problems During the Well-Planning Phase. J. Inst. Eng. India Ser. D 2022, 103, 25–36. [Google Scholar] [CrossRef]
- Aseel, R.; Roy, R.; Sunil, P. Predictive Big Data Analytics for Drilling Downhole Problems: A Review. Energy Rep. 2023, 9, 5863–5876. [Google Scholar] [CrossRef]
- Ju, G.; Yan, T.; Sun, X. Numerical Simulation of Effective Hole Cleaning by Using an Innovative Elliptical Drillpipe in Horizontal Wellbore. Energies 2022, 15, 399. [Google Scholar] [CrossRef]
- Xiao, H. Dynamic Evaluation and Assessment of Horizontal Wellbore. Int. J. Nat. Resour. Environ. Stud. 2025, 5, 6–14. [Google Scholar] [CrossRef]
- Shao, B.; Yan, Y.; Yan, X.; Xu, Z. A Study on Non-Spherical Cuttings Transport in CBM Well Drilling by Coupled CFD-DEM. Eng. Appl. Comput. Fluid Mech. 2019, 13, 579–590. [Google Scholar] [CrossRef]
- Yan, T.; Qu, J.; Sun, X.; Chen, Y.; Hu, Q.; Li, W.; Zhang, H. Numerical Investigation on Horizontal Wellbore Hole Cleaning with a Four-Lobed Drill Pipe Using CFD-DEM Method. Powder Technol. 2020, 375, 249–261. [Google Scholar] [CrossRef]
- Yang, X.; Sun, J.; Zheng, G.; Li, Z.; Li, J.; Shi, Y.; Yang, F.; Luo, Q. Numerical Simulation of Liquid-Solid Two-Phase Flow in Cementing Displacement Based on Kinetic Theory of Granular. Geoenergy Sci. Eng. 2025, 252, 213956. [Google Scholar] [CrossRef]
- Sun, Y.; Song, X.; Zhou, M.; Xu, Z.; Zhu, Z.; Jing, S.; Xiao, H.; Qi, Y.; Li, G. Numerical Investigation of Flow Patterns in Cuttings Transport for Extended-Reach Horizontal Wells with Rotation Drillpipe. Powder Technol. 2024, 438, 119595. [Google Scholar] [CrossRef]
- Di Renzo, A.; Di Maio, F.P. Comparison of Contact-Force Models for the Simulation of Collisions in DEM-Based Granular Flow Codes. Chem. Eng. Sci. 2004, 59, 525–541. [Google Scholar] [CrossRef]



















| Horizontal Well Category | Build-Up Rate (°) | Wellbore Curvature Radius | Length |
|---|---|---|---|
| Long-radius | 2~<6 | 285~<860 | ≥300 |
| Medium-radius | 6~<20 | 85~<285 | ≤1000 |
| Medium- and short-radius | 20~<60 | 30~<85 | ≤300 |
| Short-radius | 60~<300 | 6~<30 | ≤300 |
| Ultra-short-radius | ≥300 | 1~<6 | ≤100 |
| Category | Parameter | Symbol | Values | Units |
|---|---|---|---|---|
| Fluid | Drilling Fluid density | ρf | 1150 | kg/m3 |
| Flow behavior index | n | 0.4, 0.5, 0.6 | - | |
| Consistency coefficient | k | 0.3, 0.6, 0.9, 1.2 | Pa·sn | |
| Cuttings | Cutting density | ρc | 2666 | kg/m3 |
| Cutting diameter | Dc | 3, 4, 5 | mm | |
| Young’s modular | E | 1 × 108 | N/m2 | |
| Poisson ratio | ν | 0.3 | - | |
| Static friction | μs | 0.8 | - | |
| Dynamic friction | μk | 0.8 | - | |
| Coefficient of restitution | e | 0.5 | - |
| Category | Parameter | Symbol | Values | Units |
|---|---|---|---|---|
| Geometry | Wellbore diameter | D1 | 130 | mm |
| Angle of inclination | θ | 90 | ° | |
| Wellbore length | L | 1.83 | m | |
| Drill pipe diameter | D0 | 100 | mm | |
| Operational | Drill pipe rotational speed | n0 | 10, 20, 30, 40, 50, 60, 70, 80, 90, 100, 110 | rpm |
| Drilling fluid circulation velocity | v | 0.6, 0.75, 0.9, 1.05, 1.2, 1.35, 1.5, 1.65, 1.8, 1.95 | m/s |
| Grid Level | Number of Grids | Local Mesh Refinement in the Annular Region |
|---|---|---|
| Coarse grid | 104,169 | Basic Mesh Refinement |
| Middle grid | 376,949 | Local mesh refinement at interfaces and other critical regions |
| Fine grid | 683,905 | Global High-Resolution Refinement |
| Parameters | Coarse Grid | Middle Grid | Fine Grid | Rate of Change (Medium vs. Fine) |
|---|---|---|---|---|
| Δ (Pa) | 4009.26 | 4179.32 | 4217.34 | 0.90% |
| at p1 (Pa) | 1910.87 | 1989.51 | 2009.70 | 1.00% |
| at p2 (Pa) | 35.10 | 34.44 | 35.91 | 4.07% |
| at p3 (Pa) | 344.82 | 332.66 | 332.70 | 0.01% |
| at p4 (Pa) | 63.16 | 70.50 | 72.67 | 2.99% |
| at p5 (Pa) | 48.68 | 50.68 | 51.80 | 2.16% |
Disclaimer/Publisher’s Note: The statements, opinions and data contained in all publications are solely those of the individual author(s) and contributor(s) and not of MDPI and/or the editor(s). MDPI and/or the editor(s) disclaim responsibility for any injury to people or property resulting from any ideas, methods, instructions or products referred to in the content. |
© 2026 by the authors. Licensee MDPI, Basel, Switzerland. This article is an open access article distributed under the terms and conditions of the Creative Commons Attribution (CC BY) license.
Share and Cite
Tian, Q.; Fan, Y.; Lin, Y.; Lin, P.; Tan, X.; Si, H.; Huang, H. Numerical Investigation of Horizontal Wellbore Hole Cleaning with a Flexible Drill Pipe Using the CFD–DEM. Processes 2026, 14, 211. https://doi.org/10.3390/pr14020211
Tian Q, Fan Y, Lin Y, Lin P, Tan X, Si H, Huang H. Numerical Investigation of Horizontal Wellbore Hole Cleaning with a Flexible Drill Pipe Using the CFD–DEM. Processes. 2026; 14(2):211. https://doi.org/10.3390/pr14020211
Chicago/Turabian StyleTian, Qizhong, Yusha Fan, Yuan Lin, Peiwen Lin, Xinghui Tan, Haojie Si, and Haocai Huang. 2026. "Numerical Investigation of Horizontal Wellbore Hole Cleaning with a Flexible Drill Pipe Using the CFD–DEM" Processes 14, no. 2: 211. https://doi.org/10.3390/pr14020211
APA StyleTian, Q., Fan, Y., Lin, Y., Lin, P., Tan, X., Si, H., & Huang, H. (2026). Numerical Investigation of Horizontal Wellbore Hole Cleaning with a Flexible Drill Pipe Using the CFD–DEM. Processes, 14(2), 211. https://doi.org/10.3390/pr14020211

