Numerical Simulation Study on the Natural Temperature Recovery Characteristics of Reservoirs After Shutdown in a Dual-Well Enhanced Geothermal System
Abstract
1. Introduction
2. Mathematical Model
2.1. Model Assumptions
- (1)
- Heat transfer between water and the rock matrix primarily occurs through convection and conduction [27].
- (2)
- Fluid flow within the system conforms to Darcy’s law [28].
- (3)
- Rocks and fluids in local regions are in a state of thermal equilibrium [29], and this equilibrium relationship explains the heat transfer mechanism between them [30]. Meanwhile, assuming that low-temperature fluids do not dissipate rapidly and remain stationary during the shutdown phase of geothermal exploitation, the hypothesis of local thermal equilibrium remains valid.
- (4)
- It is assumed that no chemical reactions occur between the rock matrix and the circulating fluid, including dissolution, precipitation, redox reactions and other chemical processes. In addition, no additional heat is generated throughout the process, and the impact of thermal radiation is not considered for the time being [31].
2.2. Governing Equations
3. Model Development
3.1. Model Design and Initial Conditions
| Case 1 | Density (kg/m3) | Specific Heat Capacity (J/(kg·°C)) | Thermal Conductivity (W/(m·°C)) | Porosity | Permeability (m2) |
|---|---|---|---|---|---|
| Upper cap rock (3000–3100 m) | 2600 | 1000 | 2.8 | 0.01 | 1.0 × 10−18 |
| Geothermal reservoir (3100–3500 m) | 2700 | 1000 | 2.8 | 0.15 | 1.0 × 10−15 |
| Upper cap rock (3500–3600 m) | 2800 | 1000 | 2.8 | 0.01 | 1.0 × 10−18 |
| Fracture | 2000 | 850 | 2.8 | 1.00 | 1.0 × 10−11 |
3.2. Model Validation
3.3. Grid Independence Analysis
4. Results and Discussion
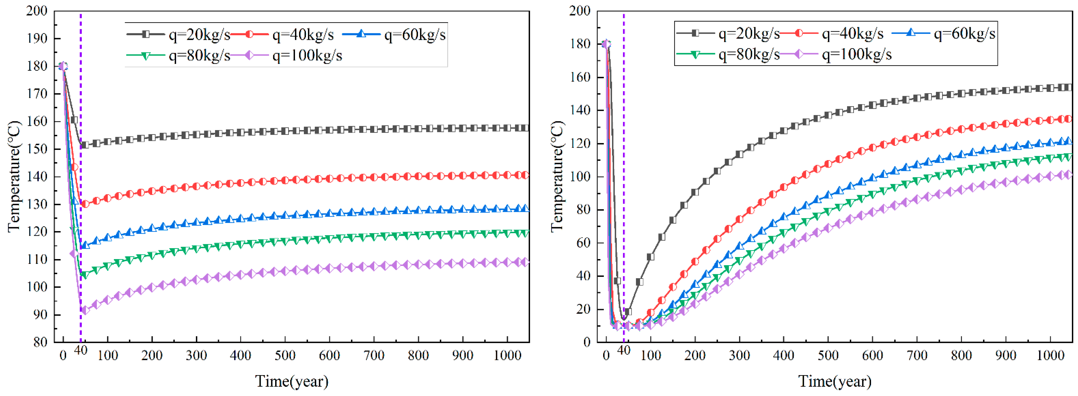
4.1. Effect of Flow Rate on Reservoir Temperature Compensation
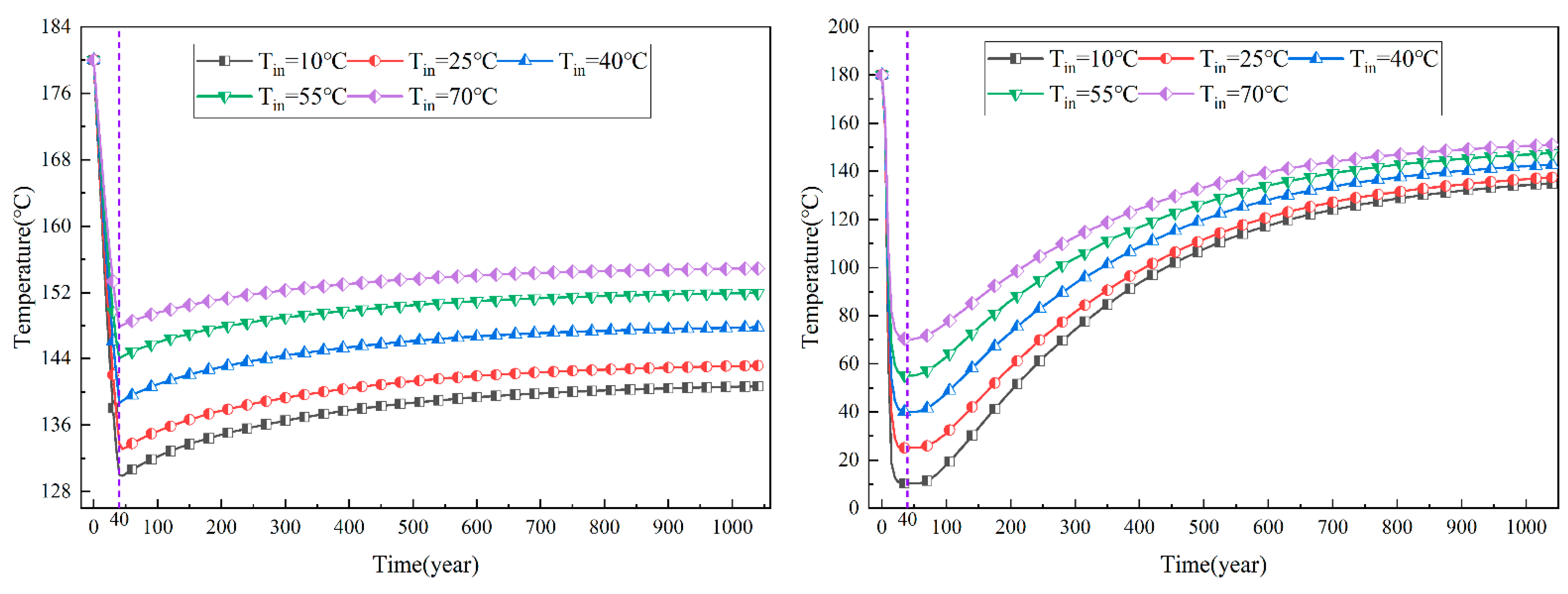
4.2. Effect of Injection Temperature on Reservoir Temperature Compensation
4.3. Effect of Initial Reservoir Temperature on Reservoir Temperature Compensation
4.4. Effect of Well Spacing on Reservoir Temperature Recovery
4.5. Effect of Reservoir Configuration on Geothermal System Temperature Recovery
5. Conclusions
- (1)
- After 40 years of EGS geothermal production, natural temperature compensation over the 1000-year shut-in period fails to restore the reservoir temperature to its initial level. Under various parameter conditions, the temperature recovers only to 60.63–89.51% of the initial reservoir temperature.
- (2)
- Lower flow rates accelerate reservoir temperature recovery and yield higher final temperatures, while higher flow rates slow recovery and reduce final temperatures. When the flow rate increases from 20 kg/s to 100 kg/s, the temperature recovery rate rises from 3.94% to 17.6%. However, the final temperature relative to the initial reservoir temperature decreases from 87.62% to 60.63%.
- (3)
- As injection temperature increases from 10 °C to 70 °C, the temperature rebound during shut-in decreases from 10.65 °C to 7.05 °C, but the final recovered temperature improves from 78.16% to 86.07% of the initial temperature. The temperature differential between injection and reservoir dictates extraction intensity and thermal depletion. A smaller differential (70 °C injection) results in a lower rebound magnitude but preserves reservoir thermal integrity, achieving a higher final recovery ratio. A larger differential (10 °C injection) triggers a stronger rebound but causes deep thermal damage, limiting the ultimate recovery level.
- (4)
- Elevating the reservoir initial temperature from 100 °C to 260 °C increases the shut-in temperature rebound from 5.71 °C to 15.58 °C and raises the final recovered temperature from 79.48 °C to 199.58 °C. Higher initial temperatures (e.g., 260 °C) leverage greater thermal capacity and steeper thermal gradients to mitigate heat depletion during production and enhance post-shut-in heat compensation, resulting in more significant absolute temperature recovery. Thus, reservoirs with higher initial temperatures exhibit superior long-term thermal recovery potential.
- (5)
- Increasing well spacing from 100 m to 500 m raises the temperature rebound magnitude from 4.76 °C to 11.48 °C, but reduces the final recovered temperature from 89.51% to 72.77% of the initial temperature. Tighter spacing (100 m) causes localized thermal depletion but enables more efficient caprock heat compensation during shut-in, maintaining a higher final temperature of 161.11 °C. Wider spacing (500 m) yields a larger rebound magnitude but suffers from reduced compensation efficiency due to widespread thermal depletion, resulting in a final temperature of only 130.98 °C. Therefore, moderately reducing well spacing is more favorable for achieving effective long-term reservoir temperature recovery.
- (6)
- In the study of natural reservoir temperature recovery after heat extraction cessation in dual-well EGS, the vertical fracture configuration recovered to 140.68 °C (78.16% of initial temperature) following a 1000-year shut-in period, the horizontal fracture configuration to 133.91 °C (74.39%), and the no-fracture configuration to 122.17 °C (67.87%). Owing to efficient heat flow transmission and superior thermal compensation characteristics, the vertical fracture configuration achieved the fastest recovery and highest final temperature, with the horizontal fracture configuration performing moderately, while the no-fracture configuration exhibited the slowest recovery and lowest temperature due to dispersed heat loss and elevated resistance to thermal compensation.
Author Contributions
Funding
Data Availability Statement
Conflicts of Interest
References
- Carvalho, A.; Riquito, M.; Ferreira, V. Sociotechnical imaginaries of energy transition: The case of the Portuguese Roadmap for Carbon Neutrality 2050. Energy Rep. 2022, 8, 2413–2423. [Google Scholar] [CrossRef]
- Ediger, V.S. An integrated review and analysis of multi-energy transition from fossil fuels to renewables. Energy Procedia 2019, 156, 2–6. [Google Scholar] [CrossRef]
- Zou, C.; Zhao, Q.; Zhang, G.; Xiong, B. Energy revolution: From a fossil energy era to a new energy era. Nat. Gas Ind. B 2016, 3, 1–11. [Google Scholar] [CrossRef]
- Zou, C.; Xiong, B.; Xue, H.; Zheng, D.; Ge, Z.; Wang, Y.; Jiang, L.; Pan, S.; Wu, S. The role of new energy in carbon neutral. Pet. Explor. Dev. 2021, 48, 480–491. [Google Scholar] [CrossRef]
- Du, X.W. Thoughts on strategies and paths to achieve carbon peaking and carbon neutrality in China. Front. Energy 2023, 17, 324–331. [Google Scholar] [CrossRef]
- Olasolo, P.; Juárez, M.; Olasolo, J.; Morales, M.; Valdani, D. Economic analysis of Enhanced Geothermal Systems (EGS). A review of software packages for estimating and simulating costs. Appl. Therm. Eng. 2016, 104, 647–658. [Google Scholar] [CrossRef]
- Falcone, G.; Liu, X.; Okech, R.R.; Seyidov, F.; Teodoriu, C. Assessment of deep geothermal energy exploitation methods: The need for novel single-well solutions. Energy 2018, 160, 54–63. [Google Scholar] [CrossRef]
- Zhang, X.B.; Hu, Q.H. Development of Geothermal Resources in China: A Review. J. Earth Sci. 2018, 29, 452–467. [Google Scholar] [CrossRef]
- Zhang, R.; Wang, G.; Shen, X.; Wang, J.; Tan, X.; Feng, S.; Hong, J. Is geothermal heating environmentally superior than coal fired heating in China? Renew. Sustain. Energy Rev. 2020, 131, 110014. [Google Scholar] [CrossRef]
- Xia, L.; Zhang, Y. An overview of world geothermal power generation and a case study on China—The resource and market perspective. Renew. Sustain. Energy Rev. 2019, 112, 411–423. [Google Scholar] [CrossRef]
- Jain, C.; Vogt, C.; Clauser, C. Maximum potential for geothermal power in Germany based on engineered geothermal systems. Geotherm. Energy 2015, 3, 15. [Google Scholar] [CrossRef]
- Zhao, X.-G.; Wan, G. Current situation and prospect of China’s geothermal resources. Renew. Sustain. Energy Rev. 2014, 32, 651–661. [Google Scholar] [CrossRef]
- Olsthoorn, D.; Haghighat, F.; Mirzaei, P.A. Integration of storage and renewable energy into district heating systems: A review of modelling and optimization. Sol. Energy 2016, 136, 49–64. [Google Scholar] [CrossRef]
- Liu, Z.W.; Yang, W.J.; Xu, K.; Zhang, Q.; Yan, L.; Li, B.; Cai, X.; Yang, M. Research progress of technologies and numerical simulations in exploiting geothermal energy from abandoned wells: A review. Geoenergy Sci. Eng. 2023, 224, 211624. [Google Scholar] [CrossRef]
- Cai, X.L.; Liu, Z.W.; Xu, K.; Li, B.; Yang, M. Numerical simulation on converting abandoned wells into double-well open-loop geothermal system. Appl. Therm. Eng. 2024, 248, 123324. [Google Scholar] [CrossRef]
- Niu, Q.H.; Ma, K.Y.; Wang, W.; Pan, J.; Wang, Q.; Du, Z.; Wang, Z.; Yuan, W.; Zheng, Y.; Shangguan, S.; et al. Multifactor analysis of heat extraction performance of coaxial heat exchanger applied to hot dry rock resources exploration: A case study in matouying uplift, Tangshan, China. Energy 2023, 282, 128277. [Google Scholar] [CrossRef]
- Hou, X.; Zhong, X.; Nie, S.; Wang, Y.; Tu, G.; Ma, Y.; Liu, K.; Chen, C. Study on the heat recovery behavior of horizontal well systems in the Qiabuqia geothermal area of the Gonghe Basin, China. Energy 2024, 286, 129424. [Google Scholar] [CrossRef]
- Cai, X.; Liu, Z.; Xu, K.; Li, B.; Zhong, X.; Yang, M. Numerical simulation study of an Enhanced Geothermal System with a five-spot pattern horizontal well based on thermal-fluid-solid coupling. Appl. Therm. Eng. 2025, 258, 124649. [Google Scholar] [CrossRef]
- Wang, J.; Su, L.; Zhu, Q.; Niu, J. Numerical investigation on power generation performance of enhanced geothermal system with horizontal well. Appl. Energy 2022, 325, 119865. [Google Scholar] [CrossRef]
- Asai, P.; Panja, P.; McLennan, J.; Moore, J. Performance evaluation of enhanced geothermal system (EGS): Surrogate models, sensitivity study and ranking key parameters. Renew. Energy 2018, 122, 184–195. [Google Scholar] [CrossRef]
- Aliyu, M.D.; Chen, H.P. Sensitivity analysis of deep geothermal reservoir: Effect of reservoir parameters on production temperature. Energy 2017, 129, 101–113. [Google Scholar] [CrossRef]
- Lv, Y.X.; Yuan, C.; Gan, Q.; Li, H.; Zhu, X. Analysis of heat transfer based on complex Embedded Discrete Fracture Network (EDFN) for field-scale EGS. Geothermics 2022, 104, 102463. [Google Scholar] [CrossRef]
- Liu, F.; Kang, Y.; Hu, Y.; Chen, H.; Wang, X.; Pan, H.; Xie, J. Comparative investigation on the heat extraction performance of an enhanced geothermal system with N2O, CO2 and H2O as working fluids. Appl. Therm. Eng. 2022, 200, 117594. [Google Scholar] [CrossRef]
- Jiang, F.M.; Chen, J.L.; Huang, W.B.; Luo, L. A three-dimensional transient model for EGS subsurface thermo-hydraulic process. Energy 2014, 72, 300–310. [Google Scholar] [CrossRef]
- Ma, Y.; Li, S.; Zhang, L.; Liu, S.; Liu, Z.; Li, H.; Shi, E.; Zhang, H. Numerical simulation study on the heat extraction performance of multi-well injection enhanced geothermal system. Renew. Energy 2020, 151, 782–795. [Google Scholar] [CrossRef]
- Liu, B.; Hu, K.W. Effect of thermal compensation on the heat extraction performance of CO2 enhanced geothermal system. Appl. Therm. Eng. 2025, 278, 127178. [Google Scholar] [CrossRef]
- Han, S.C.; Cheng, Y.; Gao, Q.; Yan, C.; Zhang, J. Numerical study on heat extraction performance of multistage fracturing Enhanced Geothermal System. Renew. Energy 2020, 149, 1214–1226. [Google Scholar] [CrossRef]
- Ding, J.F.; Wang, S.M. 2D modeling of well array operating enhanced geothermal system. Energy 2018, 162, 918–932. [Google Scholar] [CrossRef]
- Guo, T.K.; Gong, F.C.; Wang, X.Z.; Lin, Q.; Qu, Z.; Zhang, W. Performance of enhanced geothermal system (EGS) in fractured geothermal reservoirs with CO2 as working fluid. Appl. Therm. Eng. 2019, 152, 215–230. [Google Scholar] [CrossRef]
- Song, X.Z.; Shi, Y.; Li, G.S.; Yang, R.; Wang, G.; Zheng, R.; Li, J.; Lyu, Z. Numerical simulation of heat extraction performance in enhanced geothermal system with multilateral wells. Appl. Energy 2018, 218, 325–337. [Google Scholar] [CrossRef]
- Zinsalo, J.M.; Lamarche, L.; Raymond, J. Sustainable electricity generation from an Enhanced Geothermal System considering reservoir heterogeneity and water losses with a discrete fractures model. Appl. Therm. Eng. 2021, 192, 116886. [Google Scholar] [CrossRef]
- Cai, X.; Deng, Q.; Xu, K.; Zhong, X.; Yang, M. Impact of dual-fracture location on heat extraction from Enhanced geothermal system in low-permeability reservoirs. Appl. Therm. Eng. 2025, 259, 124754. [Google Scholar] [CrossRef]
- Holzbecher, E.O. Modeling Density-Driven Flow in Porous Media: Principles, Numerics, Software; Springer Science & Business Media: Berlin/Heidelberg, Germany, 1998. [Google Scholar]
- Wang, G.S.; Song, X.Z.; Yu, C.; Shi, Y.; Song, G.; Xu, F.; Ji, J.; Song, Z. Heat extraction study of a novel hydrothermal open-loop geothermal system in a multi-lateral horizontal well. Energy 2022, 242, 122527. [Google Scholar] [CrossRef]
- Cao, W.; Huang, W.; Chen, J.; Li, Z.; Jiang, F. Numerical study on the heat extraction performance of HDR with a well-fracture-reservoir combined model. Renew. Energy 2023, 202, 370–380. [Google Scholar] [CrossRef]
- Zhou, L.M.; Zhu, Z.D.; Xie, X.H. Performance analysis of enhanced geothermal system under thermo-hydro-mechanical coupling effect with different working fluids. J. Hydrol. 2023, 624, 129907. [Google Scholar] [CrossRef]
- Zhang, H.Y.; Huang, Z.W.; Zhang, S.K.; Yang, Z.; Mclennan, J.D. Improving heat extraction performance of an enhanced geothermal system utilizing cryogenic fracturing. Geothermics 2020, 85, 101816. [Google Scholar] [CrossRef]
- Barends, F. Complete solution for transient heat transport in porous media, following Lauwerier’s concept. In Proceedings of the SPE Annual Technical Conference and Exhibition, Florence, Italy, 20–22 September 2010; SPE: Houston, TX, USA, 2010. Paper Number SPE–134670-MS. [Google Scholar]
- Li, Z.-W.; Feng, X.-T.; Zhang, Y.-J.; Zhang, C.; Xu, T.-F.; Wang, Y.-S. Experimental research on the convection heat transfer characteristics of distilled water in manmade smooth and rough rock fractures. Energy 2017, 133, 206–218. [Google Scholar] [CrossRef]
- Shi, Y.; Song, X.Z.; Wang, G.S.; Li, J.; Geng, L.; Li, X. Numerical study on heat extraction performance of a multilateral-well enhanced geothermal system considering complex hydraulic and natural fractures. Renew. Energy 2019, 141, 950–963. [Google Scholar] [CrossRef]
- Gu, F.; Li, Y.W.; Tang, D.Z.; Gao, Y.; Zhang, Y.; Yang, P.; Ye, H. Heat extraction performance of horizontal-well deep borehole heat exchanger and comprehensive comparison with the vertical well. Appl. Therm. Eng. 2022, 211, 118426. [Google Scholar] [CrossRef]
















| Parameters | Value |
|---|---|
| Initial reservoir temperature | 80 °C |
| Injection temperature | 30 °C |
| Rock density | 2700 kg/m3 |
| Rock thermal conductivity | 2.8 W/(m·°C) |
| Rock specific heat capacity | 1000 J/(kg·°C) |
| Rock permeability | 5 × 10−17 m2 |
| Fractures permeability | 1 × 10−10 m2 |
| Water velocity | 0.01 m/s |
| Water viscosity | 0.001 Pa·s |
| Water specific heat capacity | 4200 J/(kg·°C) |
| Fracture aperture | 0.001 m |
Disclaimer/Publisher’s Note: The statements, opinions and data contained in all publications are solely those of the individual author(s) and contributor(s) and not of MDPI and/or the editor(s). MDPI and/or the editor(s) disclaim responsibility for any injury to people or property resulting from any ideas, methods, instructions or products referred to in the content. |
© 2025 by the authors. Licensee MDPI, Basel, Switzerland. This article is an open access article distributed under the terms and conditions of the Creative Commons Attribution (CC BY) license.
Share and Cite
Zhang, J.; Yang, W.; Yang, M.; Cai, X. Numerical Simulation Study on the Natural Temperature Recovery Characteristics of Reservoirs After Shutdown in a Dual-Well Enhanced Geothermal System. Processes 2026, 14, 75. https://doi.org/10.3390/pr14010075
Zhang J, Yang W, Yang M, Cai X. Numerical Simulation Study on the Natural Temperature Recovery Characteristics of Reservoirs After Shutdown in a Dual-Well Enhanced Geothermal System. Processes. 2026; 14(1):75. https://doi.org/10.3390/pr14010075
Chicago/Turabian StyleZhang, Jun, Weixing Yang, Minghe Yang, and Xulong Cai. 2026. "Numerical Simulation Study on the Natural Temperature Recovery Characteristics of Reservoirs After Shutdown in a Dual-Well Enhanced Geothermal System" Processes 14, no. 1: 75. https://doi.org/10.3390/pr14010075
APA StyleZhang, J., Yang, W., Yang, M., & Cai, X. (2026). Numerical Simulation Study on the Natural Temperature Recovery Characteristics of Reservoirs After Shutdown in a Dual-Well Enhanced Geothermal System. Processes, 14(1), 75. https://doi.org/10.3390/pr14010075
