Impact of Frying and Storage on Sensory, Cognitive, and Consumer Perception of Chayote Chips Using Static and Dynamic Sensometric Techniques
Abstract
1. Introduction
2. Materials and Methods
2.1. Chip Sample Preparation and Experimental Conditions
2.2. Formation of the Consumer Panel
2.3. Static Sensory Techniques: Sensory and Cognitive Profile
2.4. Liking Determination and Dynamic Technique for Real-Time Consumption Analysis
2.5. Statistical Analysis
2.5.1. Static Sensory Techniques
2.5.2. Liking Determination and Dynamic Technique for Real-Time Consumption Analysis
3. Results and Discussion
3.1. Static Sensory Techniques: Sensory and Cognitive Profile
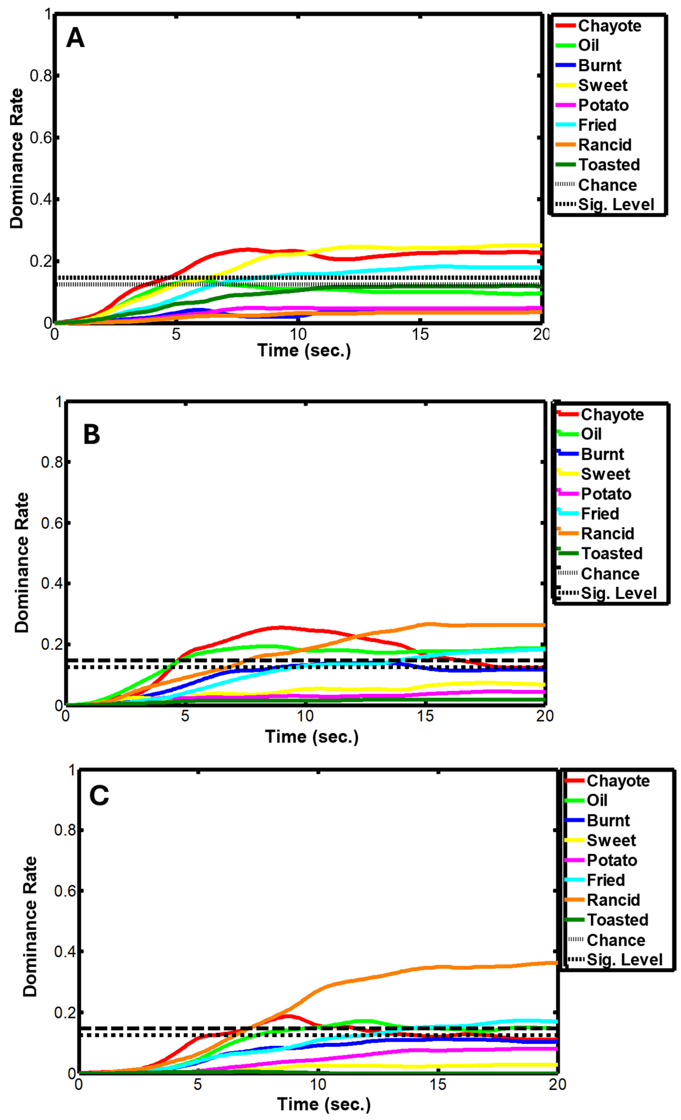
3.2. Liking Determination and Analysis of Chayote Chip Consumption in Real Time
Research Limitations
4. Conclusions
Supplementary Materials
Author Contributions
Funding
Data Availability Statement
Conflicts of Interest
References
- Ramírez-Rodas, Y.C.; Arévalo-Galarza, M.d.L.; Cadena-Iñiguez, J.; Soto-Hernández, R.M.; Peña-Valdivia, C.B.; Guerrero-Analco, J.A. Chayote Fruit (Sechium edule var. virens levis) Development and the Effect of Growth Regulators on Seed Germination. Plants 2023, 12, 108. [Google Scholar] [CrossRef]
- Servicio de Información Agroalimentaria y Pesquera. Cierre de la Producción Agrícola por Estado. Available online: https://nube.agricultura.gob.mx/cierre_agricola/ (accessed on 17 July 2025).
- Vieira, E.F.; Pinho, O.; Ferreira, I.M.P.L.V.O.; Delerue-Matos, C. Chayote (Sechium edule): A Review of Nutritional Composition, Bioactivities and Potential Applications. Food Chem. 2019, 275, 557–568. [Google Scholar] [CrossRef]
- INFOBAE. ¿Por qué Subió de Precio el Chayote? Así se Vende por Kilo en Mercados de México. Available online: https://www.infobae.com/mexico/2024/06/25/por-que-subio-de-precio-el-chayote-asi-se-vende-por-kilo-en-mercados-de-mexico/ (accessed on 6 August 2025).
- Cadena-Iñiguez, J.; Cisneros-Solano, V.M.; Aguíñiga-Sánchez, I.; Arévalo Galarza, M.d.L.; Santiago-Osorio, E.; Soto-Hernández, R.M.; Ruiz-Posadas, L.d.M. Desarrollo y Transferencia de la Variedad vegetal de Chayote [Sechium edule (Jacq) Sw.] var. Amarus Sylvestris “Perla Negra”. Agro Divulg. 2022, 2, 65–81. [Google Scholar]
- Vive Saludable, Vive Feliz. Alimentación Saludable. Available online: https://web.archive.org/web/20250901014419/https://vidasaludable.gob.mx/alimentacion-saludable (accessed on 3 September 2025).
- Secretaria de Salud. Peligro: Alimentos Ultraprocesados. Available online: https://web.archive.org/web/20250903191831/https://www.gob.mx/promosalud/articulos/peligro-alimentos-ultraprocesados (accessed on 3 September 2025).
- Heidari-Beni, M.; Golshahi, J.; Esmaillzadeh, A.; Azadbakht, L. Potato Consumption as High Glycemic Index Food, Blood Pressure, and Body Mass Index among Iranian Adolescent Girls. ARYA Atheroscler. 2015, 11, 81–87. [Google Scholar]
- American College of Cardiology. Eating Ultra-Processed Foods May Harm Your Health. Available online: https://www.acc.org/About-ACC/Press-Releases/2025/05/08/14/10/Eating-Ultra-Processed-Foods-May-Harm-Your-Health (accessed on 9 August 2025).
- Swarup, S.; Ahmed, I.; Grigorova, Y.; Zeltser, R. Metabolic Syndrome; StatPearls Publishing: Treasure Island, FL, USA, 2024; p. 19. [Google Scholar]
- Mehta, A.; Serventi, L.; Kumar, L.; Morton, J.D.; Torrico, D.D. Packaging, Perception, and Acceptability: A Comprehensive Exploration of Extrinsic Attributes and Consumer Behaviours in Novel Food Product Systems. Int. J. Food Sci. Technol. 2024, 59, 6725–6745. [Google Scholar] [CrossRef]
- Lichtenstein, A.H.; Appel, L.J.; Brands, M.; Carnethon, M.; Daniels, S.; Franch, H.A.; Franklin, B.; Kris-Etherton, P.; Harris, W.S.; Howard, B.; et al. Diet and Lifestyle Recommendations Revision 2006: A Scientific Statement from the American Heart Association Nutrition Committee. Circulation 2006, 114, 82–96. [Google Scholar] [CrossRef] [PubMed]
- Lin, L.; Allemekinders, H.; Dansby, A.; Campbell, L.; Durance-Tod, S.; Berger, A.; Jones, P.J. Evidence of health benefits of canola oil. Nutr. Rev. 2013, 71, 370–385. [Google Scholar] [CrossRef]
- Raleng, A.; Singh, N.J.; Sarangi, P.K.; Manojkumar, P.; Wahengbam, A. Standardization of Frying Time-Temperature Strategy for Enhancing the Quality and Storability of Chayote Chips. Appl. Food Res. 2022, 2, 100167. [Google Scholar] [CrossRef]
- Vidal, L.; Ares, G.; Hedderley, D.I.; Meyners, M.; Jaeger, S.R. Comparison of Rate-All-That-Apply (RATA) and Check-All-That-Apply (CATA) Questions across Seven Consumer Studies. Food Qual. Prefer. 2018, 67, 49–58. [Google Scholar] [CrossRef]
- Ares, G.; Bruzzone, F.; Vidal, L.; Cadena, R.S.; Giménez, A.; Pineau, B.; Hunter, D.C.; Paisley, A.G.; Jaeger, S.R. Evaluation of a Rating-Based Variant of Check-All-That-Apply Questions: Rate-All-That-Apply (RATA). Food Qual. Prefer. 2014, 36, 87–95. [Google Scholar] [CrossRef]
- Souza, O.L.; González-Mohino, A.; Estévez, M.; Madruga, M.S.; Ventanas, S. Emotional Response to Healthier Foods: Influence of Culture and Health Consciousness. J. Food Sci. 2023, 88, 5248–5265. [Google Scholar] [CrossRef]
- Oliveira, D.; De Steur, H.; Lagast, S.; Gellynck, X.; Schouteten, J.J. The Impact of Calorie and Physical Activity Labelling on Consumer’s Emo-Sensory Perceptions and Food Choices. Food Res. Int. 2020, 133, 109166. [Google Scholar] [CrossRef]
- Yañez, G.; Sotera, T.; Rodriguez, A. Evaluación de La Aceptabilidad de Chips de Pepino Orgánico: Estudio de Mercado y Análisis Sensorial. Rev. Investig. Agropecu. 2022, 48, 160–166. [Google Scholar]
- Pineau, N.; Schlich, P.; Cordelle, S.; Mathonnière, C.; Issanchou, S.; Imbert, A.; Rogeaux, M.; Etiévant, P.; Köster, E. Temporal Dominance of Sensations: Construction of the TDS Curves and Comparison with Time-Intensity. Food Qual. Prefer. 2009, 20, 450–455. [Google Scholar] [CrossRef]
- Nestrud, M.A.; Meiselman, H.L.; King, S.C.; Lesher, L.L.; Cardello, A.V. Development of EsSense25, a Shorter Version of the EsSense Profile®. Food Qual. Prefer. 2016, 48, 107–117. [Google Scholar] [CrossRef]
- Cabal-Prieto, A.; Teodoro-Bernabé, G.; Coria-Rincón, C.; Sánchez-Arellano, L.; Ramón-Canul, L.G.; Rodríguez-Miranda, J.; Prinyawiwatkul, W.; Juárez-Barrientos, J.M.; Herrera-Corredor, J.A.; Ramírez-Rivera, E.D.J. Development of a Memories Vocabulary (MemVOC) for Food Products Using Coffee as Model. Food Sci. Technol. 2022, 42, e44221. [Google Scholar] [CrossRef]
- Jiang, Y.; King, J.M.; Prinyawiwatkul, W. A Review of Measurement and Relationships between Food, Eating Behavior and Emotion. Trends Food Sci. Technol. 2014, 36, 15–28. [Google Scholar] [CrossRef]
- Ramappa, D.; Kumar, V.K.; GV, M.K.; Kumargouda, V.; Hallad, S.C.; Aruna, T.N.; Ravi, Y.; Murali, P. Standardization of Vacuum Frying Techniques for the Development of Low-Fat Beetroot Finger Chips. Food Humanit. 2024, 3, 100424. [Google Scholar] [CrossRef]
- Tizhe, L.J.; Bhuiyan, M.d.H.R.; Ngadi, M. Advancements in Rapid and Non-Destructive Approaches for Quality Assessment of Fried Foods and Frying Oil. J. Food Compos. Anal. 2025, 145, 107839. [Google Scholar] [CrossRef]
- Mam, S.; Rudra, S.G.; Kundu, A.; Singh, S.; Joshi, A.; Bhardwaj, R.; Kumar, D. Crisps from Red Cabbage: Process Standardization for Nutrients Retention. Food Humanit. 2025, 4, 100555. [Google Scholar] [CrossRef]
- ISO 8586-1; Sensory Analysis—General Guidance for the Selection, Training, and Monitoring of Assessors, Part 1—Selected Assessors. International Organization for Standardization: Geneva, Switzerland, 1993.
- ISO 11035; Analyse Sensorielle—Recherche et Sélection de Descripteurs pour L’élaboration d’un Profil Sensoriel par Approche Multidimensionnelle. International Organization for Standardization: Saint-Denis, France, 1994.
- Thuillier, B.; Valentin, D.; Marchal, R.; Dacremont, C. Pivot© Profile: A New Descriptive Method Based on Free Description. Food Qual. Prefer. 2015, 36, 15–28. [Google Scholar] [CrossRef]
- Miraballes, M.; Hodos, N.; Gámbaro, A. Application of a Pivot Profile Variant Using CATA Questions in the Development of a Whey-Based Fermented Beverage. Beverages 2018, 4, 11. [Google Scholar] [CrossRef]
- Rios-Mera, J.D.; Saldaña, E.; Cruzado-Bravo, M.L.M.; Patinho, I.; Selani, M.M.; Valentin, D.; Contreras-Castillo, C.J. Reducing the Sodium Content without Modifying the Quality of Beef Burgers by Adding Micronized Salt. Food Res. Int. 2019, 121, 288–295. [Google Scholar] [CrossRef] [PubMed]
- Pearson, W.; Schmidtke, L.; Francis, I.L.; Blackman, J.W. An Investigation of the Pivot© Profile Sensory Analysis Method Using Wine Experts: Comparison with Descriptive Analysis and Results from Two Expert Panels. Food Qual. Prefer. 2020, 83, 103858. [Google Scholar] [CrossRef]
- Jaeger, S.R.; Cardello, A.V. Direct and indirect hedonic scaling methods: A comparison of the labeled affective magnitude (LAM) scale and best-worst scaling. Food Qual. Prefer. 2009, 20, 249–258. [Google Scholar] [CrossRef]
- Santiago-Cruz, I.A.; Ramirez-Rivera, E.J.; Lopez-Espindola, M.; Hidalgo-Contreras, J.V.; Prinyawiwatkul, W.; Herrera-Corredor, J.A. Use of online questionnaires to identify emotions elicited by different types of corn tortilla in consumers of different gender and age. J. Sens. Stud. 2021, 36, e12638. [Google Scholar] [CrossRef]
- Macfie, H.J.; Bratchell, N.; Greenhoff, K.; Vallis, L.V. Designs to balance the effect of order of presentation and first-order carry-over effects in hall tests. J. Sens. Stud. 1989, 4, 129–148. [Google Scholar] [CrossRef]
- Addinsoft. XLSTAT Statistial and Data Analysis Solution. Available online: https://www.xlstat.com (accessed on 15 March 2025).
- Ramírez-Rivera, E.d.J.; Díaz-Rivera, P.; Guadalupe Ramón-Canul, L.; Juárez-Barrientos, J.M.; Rodríguez-Miranda, J.; Herman-Lara, E.; Prinyawiwatkul, W.; Herrera-Corredor, J.A. Comparison of Performance and Quantitative Descriptive Analysis Sensory Profiling and Its Relationship to Consumer Liking between the Artisanal Cheese Producers Panel and the Descriptive Trained Panel. J. Dairy Sci. 2018, 101, 5851–5864. [Google Scholar] [CrossRef]
- Pinheiro, A.C.M.; Nunes, C.A.; Vietoris, V. SensoMaker: A Tool for Sensorial Characterization of Food Products. Ciência Agrotecnologia 2013, 37, 199–201. [Google Scholar] [CrossRef]
- Jariyah; Hidayat, A.W.; Munarko, H. Sensory Profile Characterization of Non-Wheat Flour Biscuits Using Rate-All That-Apply (RATA) and Emotional Sensory Mapping (ESM) Method. Future Foods 2024, 9, 100281. [Google Scholar] [CrossRef]
- Tzompa-Sosa, D.A.; Yi, L.; van Valenberg, H.J.F.; Lakemond, C.M.M. Four Insect Oils as Food Ingredient: Physical and Chemical Characterisation of Insect Oils Obtained by an Aqueous Oil Extraction. J. Insects Food Feed. 2019, 5, 279–292. [Google Scholar] [CrossRef]
- Tzompa-Sosa, D.A.; Dewettinck, K.; Gellynck, X.; Schouteten, J.J. Consumer Acceptance towards Potato Chips Fried in Yellow Mealworm Oil. Food Qual. Prefer. 2022, 97, 104487. [Google Scholar] [CrossRef]
- Rodrigues, S.S.Q.; Dias, L.G.; Teixeira, A. Emerging Methods for the Evaluation of Sensory Quality of Food: Technology at Service. Curr. Food Sci. Technol. Rep. 2024, 2, 77–90. [Google Scholar] [CrossRef]
- Varela, P. Is It the Name, or Is It the Impact? A Sensory and Consumer Science Changing with the Times. Food Qual. Prefer. 2025, 129, 105408. [Google Scholar] [CrossRef]
- Ameca-Veneroso, C.; Sánchez-Arellano, L.; Ramón-Canul, L.G.; Herrera-Corredor, J.A.; Cuervo-Osorio, V.D.; Quetz-Aguirre, E.M.; Rodríguez-Miranda, J.; Cabal-Prieto, A.; Ramírez-Rivera, E.d.J. A Modified Version of the Sensory Pivot Technique as a Possible Tool for the Analysis of Food Adulteration: A Case of Coffee. J. Sens. Stud. 2021, 36, e12705. [Google Scholar] [CrossRef]
- Kumar, R.; Chambers, E.; Chambers, D.H.; Lee, J. Generating New Snack Food Texture Ideas Using Sensory and Consumer Research Tools: A Case Study of the Japanese and South Korean Snack Food Markets. Foods 2021, 10, 474. [Google Scholar] [CrossRef]
- Torrico, D.D. Novel Techniques to Measure the Sensory, Emotional, and Physiological Responses of Consumers toward Foods. Foods 2021, 10, 2620. [Google Scholar] [CrossRef]
- Kaneko, D.; Toet, A.; Brouwer, A.M.; Kallen, V.; van Erp, J.B.F. Methods for Evaluating Emotions Evoked by Food Experiences: A Literature Review. Front. Psychol. 2018, 9, 911. [Google Scholar] [CrossRef]
- Rababah, T.M.; Feng, H.; Yang, W.; Yücel, S. Fortification of Potato Chips with Natural Plant Extracts to Enhance Their Sensory Properties and Storage Stability. J. Am. Oil Chem. Soc. 2012, 89, 1419–1425. [Google Scholar] [CrossRef]
- Takeungwongtrakul, S.; Benjakul, S. Oxidative Stability of Lipids from Hepatopancreas of Pacific White Shrimp (Litopenaeus vannamei) as Affected by Essential Oils Incorporation. Eur. J. Lipid Sci. Technol. 2014, 116, 987–995. [Google Scholar] [CrossRef]





| Sample | Frying Temperature °C | Exposure Time (s) | Storage Time (Days) |
|---|---|---|---|
| S1 | 140 | 5 | 0 |
| S2 | 150 | 5 | 0 |
| S3 | 160 | 5 | 0 |
| S4 | 140 | 10 | 0 |
| S5 | 150 | 10 | 0 |
| S6 | 160 | 10 | 0 |
| S1 | 140 | 5 | 30 |
| S2 | 150 | 5 | 30 |
| S3 | 160 | 5 | 30 |
| S4 | 140 | 10 | 30 |
| S5 | 150 | 10 | 30 |
| S6 | 160 | 10 | 30 |
| S1 | 140 | 5 | 60 |
| S2 | 150 | 5 | 60 |
| S3 | 160 | 5 | 60 |
| S4 | 140 | 10 | 60 |
| S5 | 150 | 10 | 60 |
| S6 | 160 | 10 | 60 |
| Sensory Attributes | Emotions | Memories |
|---|---|---|
| Chayote | Happy | Childhood |
| Oil | Good | Traditional Food |
| Burnt | Satisfied | Friendship |
| Sweet | Pleasant | Rainy weather |
| Potato | Disgusted | Obesity |
| Fried | Bored | Stench |
| Rancid | Nostalgic | Interpersonal conflict |
| Toasted | Worried | Poverty |
| Attribute | Sample p-Value | Day p-Value | Sample * Day p-Value | Attribute | Sample p-Value | Day p-Value | Sample * Day p-Value |
|---|---|---|---|---|---|---|---|
| Sweet-BT | 0.90 | <0.0001 | 0.72 | Chayote-A | 0.708 | 0.010 | 0.77 |
| Chayote-F | 0.45 | <0.0001 | 0.85 | Oil-A | 0.723 | <0.0001 | 0.93 |
| Oil-F | 0.19 | <0.0001 | 0.72 | Burnt-A | 0.885 | 0.626 | 0.94 |
| Salty-BT | 0.88 | <0.0001 | 0.57 | Sweet-A | 0.588 | 0.010 | 1.00 |
| Crunchy | 0.46 | <0.0001 | 0.93 | Potato-A | 0.435 | <0.0001 | 0.91 |
| Bitter-BT | 0.08 | 0.010 | 0.94 | Fried-A | 0.613 | <0.0001 | 0.99 |
| Potato-F | 0.76 | <0.0001 | 0.84 | Toasted-A | 0.622 | <0.0001 | 0.74 |
| Rancid-F | 0.92 | <0.0001 | 0.85 | Rancid-A | 0.822 | <0.0001 | 0.77 |
| Emotion | p-Value | Emotion | p-Value | Memory | p-Value | Memory | p-Value |
|---|---|---|---|---|---|---|---|
| Active | <0.0001 | Satisfied | <0.0001 | Traditional food | <0.0001 | Cold weather | 0.47 |
| Adventurous | 0.26 | Secure | 0.65 | Party | <0.0001 | Hot weather | 0.95 |
| Calm | 0.83 | Tame | 0.26 | Family | <0.0001 | Mild weather | 0.007 |
| Enthusiastic | <0.0001 | Understanding | 0.41 | Birthplace | 0.89 | Disease (-) | <0.0001 |
| Fres | <0.0001 | Warm | 0.58 | Childhood | 0.93 | Pain (-) | 0.03 |
| Good | <0.0001 | Aggressive (-) | <0.0001 | Friendship | 0.89 | Hurt (-) | 0.61 |
| Good nature | <0.0001 | Bored (-) | <0.0001 | Sport | <0.0001 | Obesity (-) | <0.0001 |
| Happy | <0.0001 | Disgusted (-) | <0.0001 | Alive | 0.65 | Stench (-) | <0.0001 |
| Interested | 0.002 | Guilty (-) | <0.0001 | Gift | 0.54 | Addiction (-) | 0.004 |
| Joyful | 1 | Nostalgic (-) | <0.0001 | Spring | <0.0001 | Poverty (-) | 0.84 |
| Loving | 0.42 | Wild (-) | <0.0001 | Fall | 0.36 | Death (-) | 0.002 |
| Mild | 0.13 | Worried (-) | <0.0001 | Summer | 0.002 | Interpersonal conflict (-) | 0.58 |
| Pleasant | 0.69 | Winter | 0.44 | Accident (-) | 0.83 | ||
| Rainy weather | 0.03 |
| Factor: Sample (p-Value = 0.19) | Interaction (Sample * Day) p-Value = 0.18 | ||||
|---|---|---|---|---|---|
| S1 | 4.11 ± 0.10 a | 0 * S1 | 6.46 ± 0.18 a | 30 * S5 | 3.0 ± 0.18 a |
| S2 | 3.9 ± 0.10 a | 0 * S2 | 6.23 ± 0.18 a | 30 * S6 | 3.0 ± 0.18 a |
| S3 | 3.7 ± 0.10 a | 0 * S3 | 6.3 ± 0.18 a | 60 * S1 | 3.1 ± 0.18 a |
| S4 | 3.8 ± 0.10 a | 0 * S4 | 6.0 ± 0.18 a | 60 * S2 | 2.5 ± 0.18 a |
| S5 | 3.8 ± 0.10 a | 0 * S5 | 6.0 ± 0.18 a | 60 * S3 | 2.4 ± 0.18 a |
| S6 | 3.9 ± 0.10 a | 0 * S6 | 6.2 ± 0.18 a | 60 * S4 | 2.7 ± 0.18 a |
| Factor: Day (p-Value ≤ 0.0001) | 30 * S1 | 2.7 ± 0.18 a | 60 * S5 | 2.5 ± 0.18 a | |
| 0 days | 6.1 ± 0.07 a | 30 * S2 | 2.9 ± 0.18 a | 60 * S6 | 2.5 ± 0.18 a |
| 30 days | 2.8 ± 0.07 b | 30 * S3 | 2.5 ± 0.18 a | ||
| 60 days | 2.6 ± 0.07 b | 30 * S4 | 2.6 ± 0.18 a | ||
| Attribute | Day | Time (s) | Memory | Day | Time (s) | Emotion | Day | Time (s) |
|---|---|---|---|---|---|---|---|---|
| Chayote | <0.0001 | <0.0001 | Childhood | <0.0001 | <0.0001 | Happy | <0.0001 | <0.0001 |
| Oil | <0.0001 | <0.0001 | Traditional food | <0.0001 | <0.0001 | Good | <0.0001 | <0.0001 |
| Burnt | <0.0001 | <0.0001 | Friendship | <0.0001 | <0.0001 | Satisfied | <0.0001 | <0.0001 |
| Sweet | <0.0001 | <0.0001 | Rainy weather | <0.0001 | <0.0001 | Pleasant | <0.0001 | <0.0001 |
| Potato | <0.0001 | <0.0001 | Obesity | <0.0001 | <0.0001 | Disgusted | <0.0001 | <0.0001 |
| Fried | <0.0001 | <0.0001 | Stench | <0.0001 | <0.0001 | Bored | <0.0001 | <0.0001 |
| Rancid | <0.0001 | <0.0001 | Interpersonal conflict | <0.0001 | <0.0001 | Nostalgic | <0.0001 | <0.0001 |
| Toasted | <0.0001 | 0.001 | Poverty | <0.0001 | <0.0001 | Worried | <0.0001 | <0.0001 |
Disclaimer/Publisher’s Note: The statements, opinions and data contained in all publications are solely those of the individual author(s) and contributor(s) and not of MDPI and/or the editor(s). MDPI and/or the editor(s) disclaim responsibility for any injury to people or property resulting from any ideas, methods, instructions or products referred to in the content. |
© 2025 by the authors. Licensee MDPI, Basel, Switzerland. This article is an open access article distributed under the terms and conditions of the Creative Commons Attribution (CC BY) license (https://creativecommons.org/licenses/by/4.0/).
Share and Cite
Cabal-Prieto, A.; Piña-Martínez, A.L.; Sánchez-Arellano, L.; Ramón-Canul, L.G.; Herrera-Morales, V.M.; Castillo-Zamudio, R.I.; Hernández-Zárate, G.; Gasperín-García, E.M.; Castillo-Martinez, S.I.; Llaguno-Aguiñaga, A.; et al. Impact of Frying and Storage on Sensory, Cognitive, and Consumer Perception of Chayote Chips Using Static and Dynamic Sensometric Techniques. Processes 2025, 13, 3023. https://doi.org/10.3390/pr13093023
Cabal-Prieto A, Piña-Martínez AL, Sánchez-Arellano L, Ramón-Canul LG, Herrera-Morales VM, Castillo-Zamudio RI, Hernández-Zárate G, Gasperín-García EM, Castillo-Martinez SI, Llaguno-Aguiñaga A, et al. Impact of Frying and Storage on Sensory, Cognitive, and Consumer Perception of Chayote Chips Using Static and Dynamic Sensometric Techniques. Processes. 2025; 13(9):3023. https://doi.org/10.3390/pr13093023
Chicago/Turabian StyleCabal-Prieto, Adán, Ana Laura Piña-Martínez, Lucía Sánchez-Arellano, Lorena Guadalupe Ramón-Canul, Víctor Manuel Herrera-Morales, Rosa Isela Castillo-Zamudio, Galdy Hernández-Zárate, Erika María Gasperín-García, Susana Isabel Castillo-Martinez, Alejandro Llaguno-Aguiñaga, and et al. 2025. "Impact of Frying and Storage on Sensory, Cognitive, and Consumer Perception of Chayote Chips Using Static and Dynamic Sensometric Techniques" Processes 13, no. 9: 3023. https://doi.org/10.3390/pr13093023
APA StyleCabal-Prieto, A., Piña-Martínez, A. L., Sánchez-Arellano, L., Ramón-Canul, L. G., Herrera-Morales, V. M., Castillo-Zamudio, R. I., Hernández-Zárate, G., Gasperín-García, E. M., Castillo-Martinez, S. I., Llaguno-Aguiñaga, A., Sánchez-Orea, J. M., & Salas-Valdez, O. (2025). Impact of Frying and Storage on Sensory, Cognitive, and Consumer Perception of Chayote Chips Using Static and Dynamic Sensometric Techniques. Processes, 13(9), 3023. https://doi.org/10.3390/pr13093023

