Effect of Surface Tortuosity on Particle Dynamics in Rock Fractures
Abstract
1. Introduction
2. Numerical Simulation Model Construction
2.1. Numerical Method
2.2. Rock Fracture Model Generation
2.3. Simulation Parameters and Boundary Conditions
2.4. Mesh Independence Test
2.5. Model Validation
- (1)
- Case 1:
- (2)
- Case 2
3. Particle Migration Behavior in Rough-Surface Fractures
3.1. Effect of Fracture Surface Tortuosity on Particle Migration Behavior
3.2. Effect of Fracture Surface Tortuosity on Particle Force
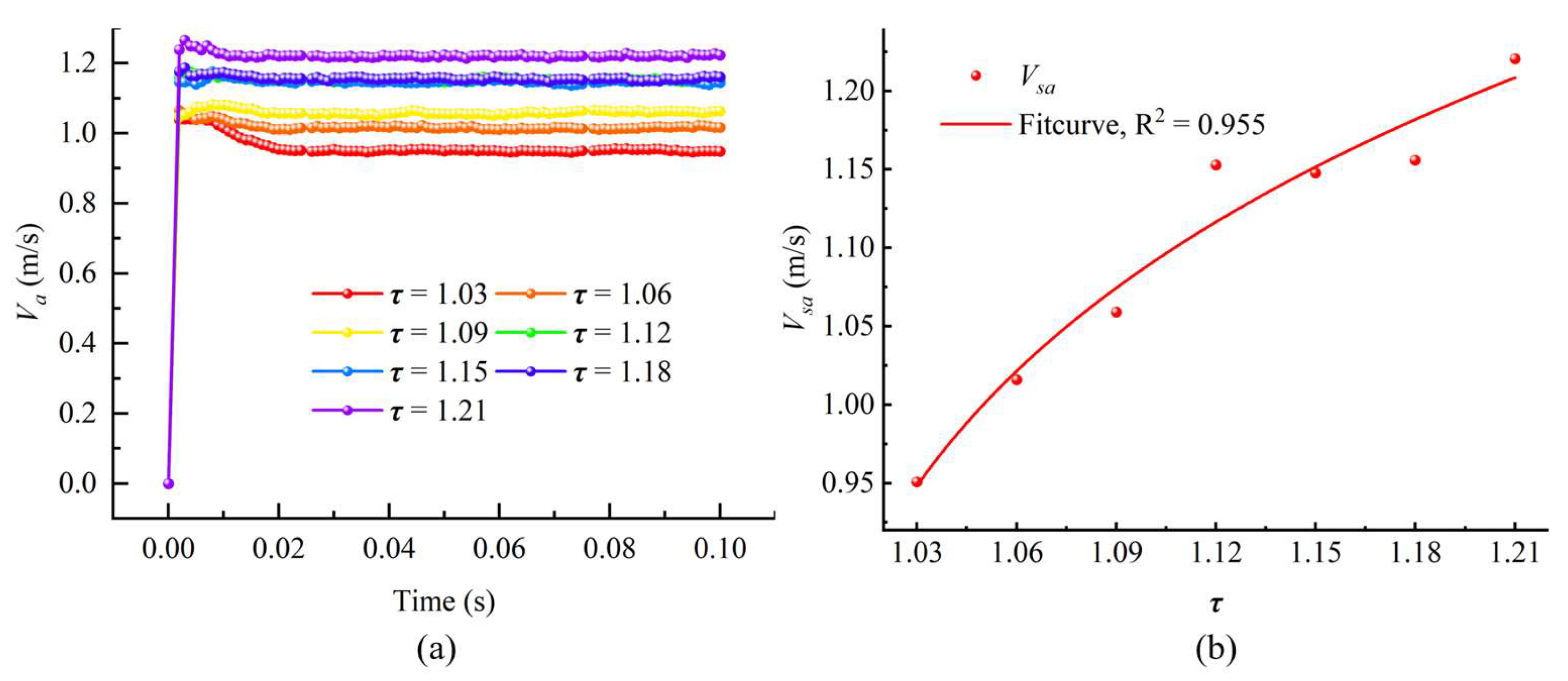
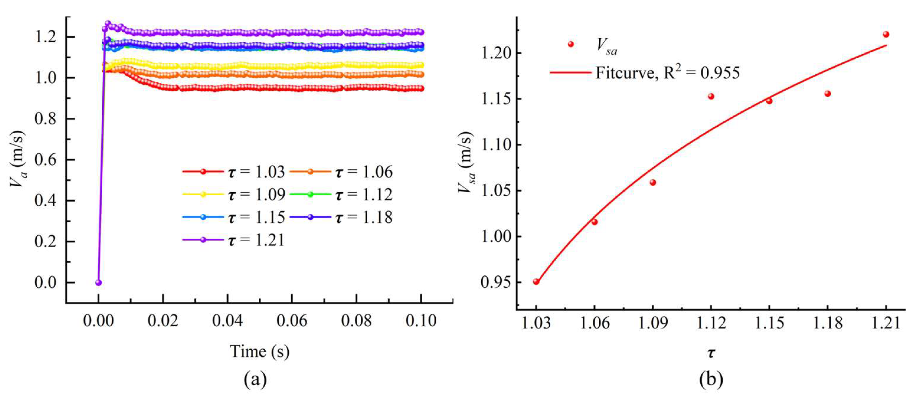
3.3. Effect of Fracture Surface Tortuosity on Particle Velocity
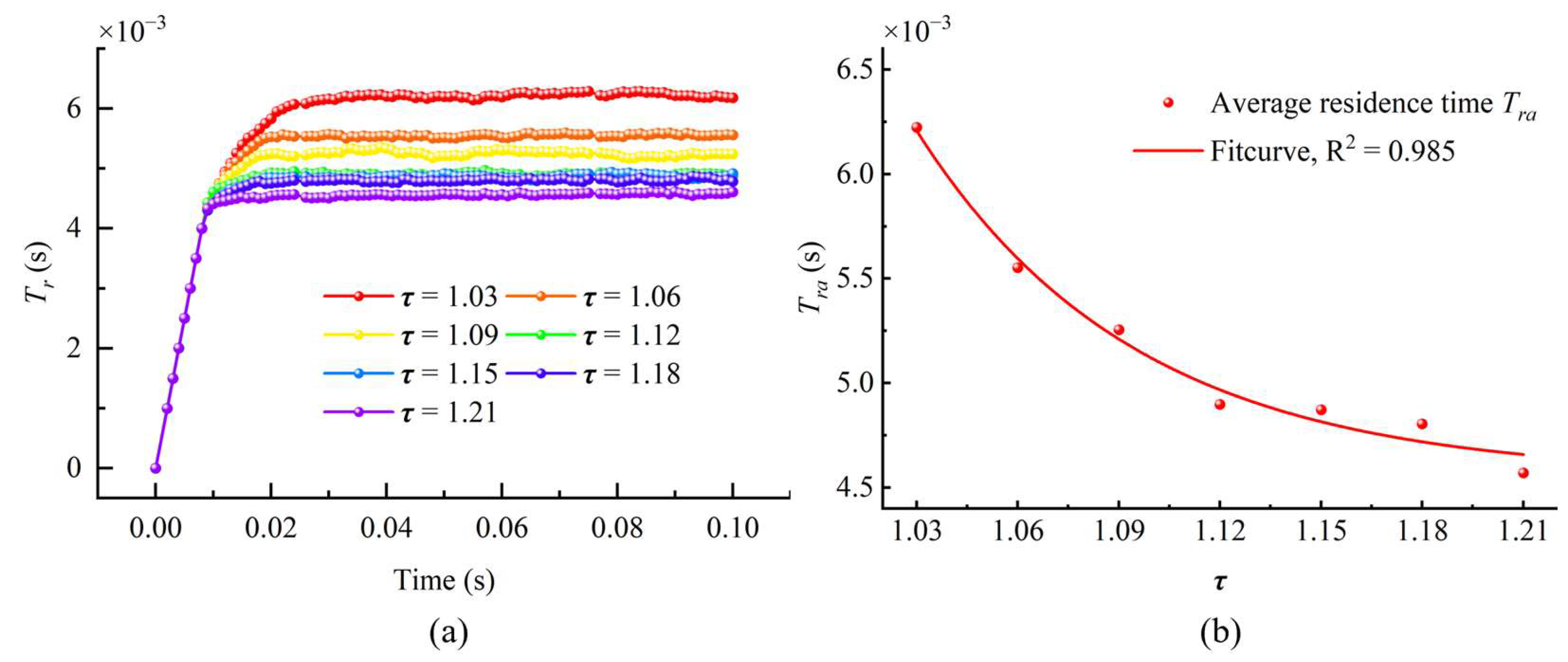
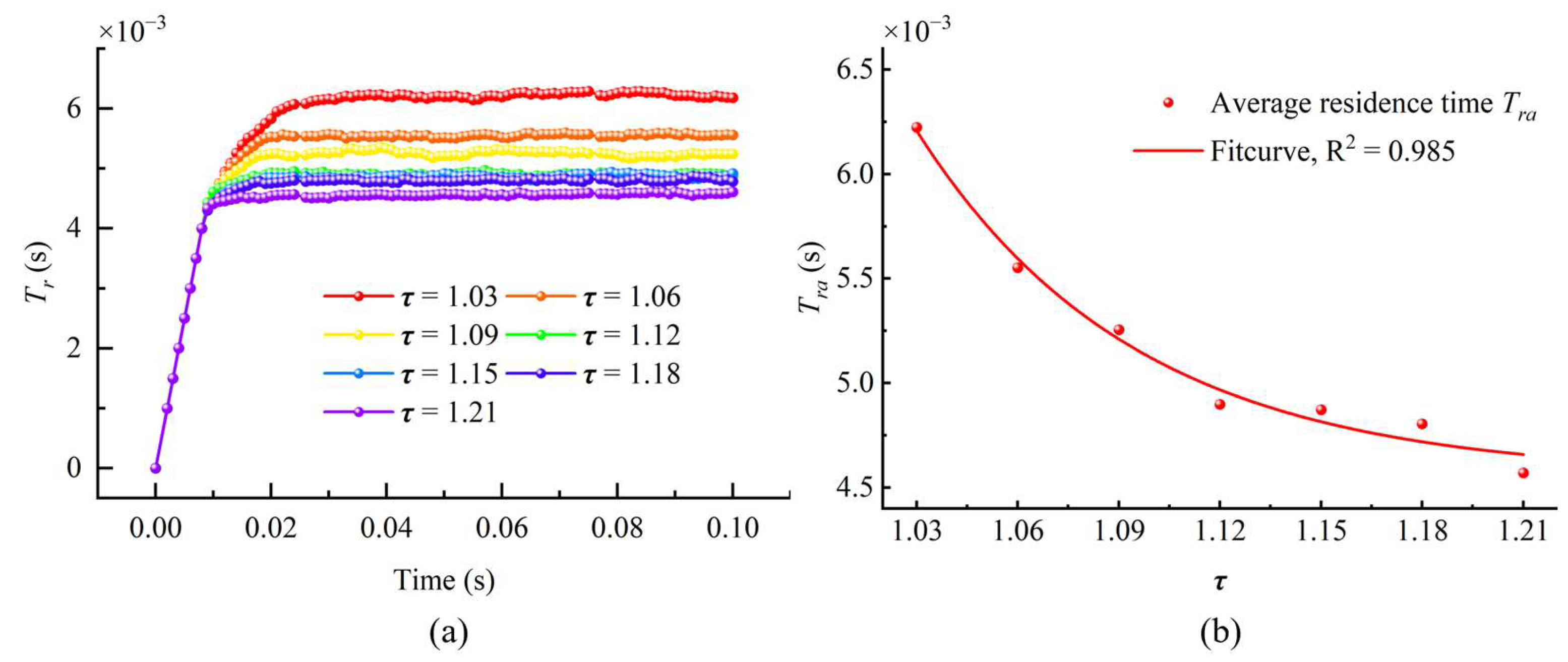
3.4. Effect of Fracture Surface Tortuosity on Particle Residence Time
4. Discussion
5. Conclusions
- (1)
- Under the action of a tortuous wall, the flow path of particle suspension in the fracture is tortuous. Contact and collision between the particles and the tortuous wall significantly affect particle transport, and the inhomogeneity of transport velocity is aggravated.
- (2)
- The increase in the degree of tortuosity raises the probability of collision between the particles and the wall, which results in significant instability in particle force states in the fracture, and exacerbates the interaction between the fluid and the particles in the fracture.
- (3)
- The transport of particles in the fracture can be divided into two stages: the initiation stage and the stable transport stage. The higher the tortuosity, the more obvious the local perturbation of the wall, and the higher the particle transport velocity; the complex path structure caused by the higher tortuosity has a stronger perturbation effect on particle x-direction velocity.
- (4)
- Higher tortuosity prolongs the time required for particles to reach the stable stage but shortens the average residence time once reached. Thus, increased tortuosity of the fracture surface is unfavorable for particle retention in the fracture.
Author Contributions
Funding
Data Availability Statement
Conflicts of Interest
References
- Zhu, B.; Tang, H.; Yin, S.; Chen, G.; Zhao, F.; Xu, Y. Effect of fracture roughness on transport of suspended particles in fracture during drilling. J. Pet. Sci. Eng. 2021, 207, 109080. [Google Scholar] [CrossRef]
- Barton, N. Review of a new shear-strength criterion for rock joints. Eng. Geol. 1973, 7, 287–332. [Google Scholar] [CrossRef]
- Chang, O.; Dilmore, R.; Wang, J.Y. Model development of proppant transport through hydraulic fracture network and parametric study. J. Pet. Sci. Eng. 2017, 150, 224–237. [Google Scholar] [CrossRef]
- Drew, D.; Cheng, L.; Lahey, R.T. The analysis of virtual mass effects in two-phase flow. Int. J. Multiph. Flow 1979, 5, 233–242. [Google Scholar] [CrossRef]
- Huang, H.; Zheng, Y.; Wang, Y.; Wang, H.; Ni, J.; Wang, B.; Yang, B.; Zhang, W. Characteristics of proppant transport and placement within rough hydraulic fractures. Pet. Explor. Dev. 2024, 51, 453–463. [Google Scholar] [CrossRef]
- He, X.; Liu, X.; Orlecka-Sikora, B.; Zhang, Z.; Hao, S. Influence of cavity structure on fines migration and aggregation in rock fractures. Phys. Fluids 2025, 37, 053301. [Google Scholar] [CrossRef]
- He, X.; Zhang, Z.; Wang, Y.; Liu, X.; Hao, S. Modeling the relative permeability of gas and water flow in rock fractures with surface morphology parameters. Phys. Fluids 2024, 36, 123305. [Google Scholar] [CrossRef]
- Hertz, B.H. On the contact of elastic solids. J. Für Die Reine Und Angew. Math. 1881, 92, 156–171. [Google Scholar]
- Hu, X.W.; Yang, Z.B.; Chen, Y.F. Fluid-driven particle transport patterns in a confined geometry: Effect of flow velocity and particle concentration. J. Nat. Gas. Sci. Eng. 2021, 92, 103998. [Google Scholar] [CrossRef]
- Jain, R.; Vikas, M.; Mahto, T.K. Study of the Effect of Xanthan Gum Based Graft Copolymer on Water Based Drilling Fluid. J. Macromol. Sci. Part A 2014, 51, 976–982. [Google Scholar] [CrossRef]
- Kieckhefen, P.; Pietsch, S.; Dosta, M.; Heinrich, S. Possibilities and Limits of Computational Fluid Dynamics-Discrete Element Method Simulations in Process Engineering: A Review of Recent Advancements and Future Trends. Annu. Rev. Chem. Biomol. Eng. 2020, 11, 397–422. [Google Scholar] [CrossRef]
- Knappenberger, T.; Aramrak, S.; Flury, M. Transport of barrel and spherical shaped colloids in unsaturated porous media. J. Contam. Hydrol. 2015, 180, 69–79. [Google Scholar] [CrossRef] [PubMed]
- Li, J.; Liu, P.; Kuang, S.; Yu, A. Visual lab tests: Proppant transportation in a 3D printed vertical hydraulic fracture with two-sided rough surfaces. J. Pet. Sci. Eng. 2021, 196, 107738. [Google Scholar] [CrossRef]
- Li, R.; Li, G.; Feng, Y.; Yang, X.; Teng, Y.; Hu, Y. Innovative experimental method for particle bridging behaviors in natural fractures. J. Nat. Gas Sci. Eng. 2022, 97, 104379. [Google Scholar] [CrossRef]
- Lin, D.; He, M.; Xu, M.; Zhou, C.; Chen, X. An updated numerical model of fracture fluid loss coupled with wellbore flow in managed pressure drilling. Phys. Fluids 2023, 35, 053110. [Google Scholar] [CrossRef]
- Lind, Y.B.; Samsykin, A.V.; Galeev, S.R. Information and analytical system for prevention of drilling fluid loss. In Proceedings of the Society of Petroleum Engineers—SPE Russian Petroleum Technology Conference, Moscow, Russia, 26–28 October 2015. [Google Scholar]
- Lu, H.; Li, G.; Dai, S.; Zhang, T.; Quan, H.; Huang, Z. Synthesis and Properties of Aminoarylsulfonic Acid-Phenol-Formaldehyde Copolymer As Drilling Fluid Loss Reducer. J. Macromol. Sci. Part A 2012, 49, 85–91. [Google Scholar] [CrossRef]
- Magsipoc, E.; Zhao, Q.; Grasselli, G. 2D and 3D Roughness Characterization. Rock Mech. Rock Eng. 2020, 53, 1495–1519. [Google Scholar] [CrossRef]
- Manoorkar, S.; Krishnan, S.; Sedes, O.; Shaqfeh, E.S.G.; Iaccarino, G.; Morris, J.F. Suspension flow through an asymmetric T-junction. J. Fluid Mech. 2018, 844, 247–273. [Google Scholar] [CrossRef]
- Mindlin, R.D.; Deresiewicz, H. Elastic Spheres in Contact Under Varying Oblique Forces. J. Appl. Mech. 1953, 20, 327–344. [Google Scholar] [CrossRef]
- Pu, H.; Xue, K.; Wu, Y.; Zhang, S.; Liu, D.; Xu, J. Estimating the permeability of fractal rough rock fractures with variable apertures under normal and shear stresses. Phys. Fluids 2025, 37, 036635. [Google Scholar] [CrossRef]
- Saffman, P.G. The lift on a small sphere in a slow shear flow. J. Fluid. Mech. 1965, 22, 385–400. [Google Scholar] [CrossRef]
- Sanchez, C.J.; McHugh, M. Drilling fluid loss events in the Denver Basin aquifers. In H2GEO: Geotechnical Engineering for Water Resources; ASCE: Reston, VA, USA, 2004; pp. 220–227. [Google Scholar]
- Schiller, L.; Naumann, A. A drag coefficient correlation. Zeit. Ver. Deutsch. Ing. 1935, 77, 318–320. [Google Scholar]
- Stroeven, P. A stereological approach to roughness of fracture surfaces and tortuosity of transport paths in concrete. Cem. Concr. Compos. 2000, 22, 331–341. [Google Scholar] [CrossRef]
- Wang, D.Y.; Qian, Q.; Zhong, A.H.; Lu, M.J.; Zhang, Z.L. Numerical modeling of micro-particle migration in channels. Adv. Geo-Energy Res. 2023, 10, 117–132. [Google Scholar] [CrossRef]
- Wang, J.; Qi, H.; You, C. Experimental study of sedimentation characteristics of spheroidal particles. Particuology 2009, 7, 264–268. [Google Scholar] [CrossRef]
- Wang, P.; Li, Q.Y.; Ma, T.F.; Ou, X.L.; Shen, Y.X.; Yang, Y.; Tian, X.F. An unresolved CFD-DEM method for studying migration and clogging of fine particles through a packed bed. Ironmak. Steelmak. 2023, 50, 1618–1630. [Google Scholar] [CrossRef]
- Wang, T.; Wang, P.; Yin, Z.Y.; Laouafa, F.; Hicher, P.Y. Hydro-mechanical analysis of particle migration in fractures with CFD-DEM. Eng. Geol. 2024, 335, 107557. [Google Scholar] [CrossRef]
- Wang, Y.; Zhang, Z.; Ranjith, P.G.; Han, X. Flow structure transition and identification of two-phase fluid flow through rough rock fractures. Eur. Phys. J. Plus 2023, 138, 376. [Google Scholar] [CrossRef]
- Wang, Y.J.; Li, X.Y.; Zhao, B.; Zhang, Z.N. Numerical simulation of particle plugging in hydraulic fracture by element partition method. Int. J. Numer. Anal. Methods Geomech. 2020, 44, 1857–1879. [Google Scholar] [CrossRef]
- Xue, K.; Pu, H.; Li, M.; Luo, P.; Liu, D.; Yi, Q. Fractal-based analysis of stress-induced dynamic evolution in geometry and permeability of porous media. Phys. Fluids 2025, 37, 036630. [Google Scholar] [CrossRef]
- Wang, Y.K.; Zhang, Z.Y.; Ranjith, P.G.; Luo, Y. Water-gas flow in rough rock fractures: Insights from coupled triaxial compression experiments. Hydrogeol. J. 2022, 30, 1569–1581. [Google Scholar] [CrossRef]
- Xue, K.; Zhang, Z.; Zhong, C.; Jiang, Y.; Geng, X. A fast numerical method and optimization of 3D discrete fracture network considering fracture aperture heterogeneity. Adv. Water Resour. 2022, 162, 104164. [Google Scholar] [CrossRef]
- Yan, X.; Kang, Y.; You, L.; Xu, C.; Lin, C.; Zhang, J. Drill-in fluid loss mechanisms in brittle gas shale: A case study in the Longmaxi Formation, Sichuan Basin, China. J. Pet. Sci. Eng. 2019, 174, 394–405. [Google Scholar] [CrossRef]
- Yang, X.; Feng, J.; Li, G.; Li, R.; Li, Z.; Li, H. Transport behavior of particles and evolution of plugging zones in rough fractures: Insights from a novel coupled CFD-DEM model. Comput. Geotech. 2024, 173, 106553. [Google Scholar] [CrossRef]
- Yang, X.; Li, S.; Li, G.; Li, R.; Kadhim, M.M.K.; Li, H.; Duan, M.; Li, Z. Visualization experiment on dynamic migration and sealing mechanism of irregular materials in rough fractures. Geoenergy Sci. Eng. 2024, 242, 213251. [Google Scholar] [CrossRef]
- Yao, S.; Chang, C.; Hai, K.; Huang, H.; Li, H. A review of experimental studies on the proppant settling in hydraulic fractures. J. Pet. Sci. Eng. 2022, 208, 109211. [Google Scholar] [CrossRef]
- Zhang, L.; Yan, X.; Yang, X.; Tian, Z.; Yang, H. An elastoplastic model of collapse pressure for deep coal seam drilling based on Hoek-Brown criterion related to drilling fluid loss to reservoir. J. Pet. Sci. Eng. 2015, 134, 205–213. [Google Scholar] [CrossRef]
- Zheng, Y.; Wang, H.; Yang, B.; Hu, Y.; Shen, Z.; Wen, H.; Yan, W. CFD-DEM simulation of proppant transport by supercritical CO2 in a vertical planar fracture. J. Nat. Gas. Sci. Eng. 2020, 84, 103647. [Google Scholar] [CrossRef]
- Zhu, H.P.; Zhou, Z.Y.; Yang, R.Y.; Yu, A.B. Discrete particle simulation of particulate systems: Theoretical developments. Chem. Eng. Sci. 2007, 62, 3378–3396. [Google Scholar] [CrossRef]
- Wang, S.; Xu, Y.; Zhang, Y.; Yu, Q.; Wang, L. Evaluating the Influence of Fracture Roughness and Tortuosity on Fluid Seepage Based on Fluid Seepage Experiments. Appl. Sci. 2022, 12, 7661. [Google Scholar] [CrossRef]
- Songyang, T.; Mohanty, K.K. Proppant transport study in fractures with intersections. Fuel 2016, 181, 463–477. [Google Scholar] [CrossRef]
- Zhou, M.; Yang, Z.; Xu, Z.; Song, X.; Wang, B.; Zheng, Y.; Zhou, Q.; Li, G. CFD-DEM modeling and analysis study of proppant transport in rough fracture. Powder Technol. 2024, 436, 119461. [Google Scholar] [CrossRef]













| Fracture | Length (mm) | H | Tortuosity |
|---|---|---|---|
| No.1 | 10 | 0.45 | 1.03 |
| No.2 | 10 | 0.42 | 1.06 |
| No.3 | 10 | 0.39 | 1.09 |
| No.4 | 10 | 0.37 | 1.12 |
| No.5 | 10 | 0.36 | 1.15 |
| No.6 | 10 | 0.33 | 1.18 |
| No.7 | 10 | 0.31 | 1.21 |
| Parameter | Value |
|---|---|
| DEM Phase | |
| Particle Diameter (m) | 2 × 10−5 |
| Particle Density (kg/m3) | 2500 |
| Young’s Modulus (GPa) | 1 |
| Poisson’s Ratio (-) | 0.25 |
| Coefficient of Restitution (-) | 0.5 |
| Coefficient of Static Friction (-) | 0.5 |
| Coefficient of Rolling Friction (rad) | 0.01 |
| Particle Number | 4000 |
| Inlet Velocity (m/s) | 1 |
| Time Step (s) | 1 × 10−8 |
| Fluid Phase | |
| Fluid Velocity (kg/m3) | 1000 |
| Dynamic Viscosity (Pa·s) | 0.001 |
| Inlet Velocity (m/s) | 1 |
| Time Step (s) | 1 × 10−6 |
| Parameter | Value |
|---|---|
| Computational Domain (m) | 0.01 × 0.03 × 0.01 |
| Porosity | 0.45 |
| Particle Diameter (m) | 1 × 10−3 |
| Particle Density (kg/m3) | 2500 |
| Fluid Velocity (kg/m3) | 1000 |
| Dynamic Viscosity (Pa· s) | 0.001 |
| Inlet Velocity (m/s) | 0.2–2 |
| Parameter | Value | |
|---|---|---|
| Fracture height | mm | 76.2 |
| Fracture width | mm | 2 |
| Main fracture length | mm | 381 |
| Bypass fracture length | mm | 190.5 |
| Cross corner angle | ° | 90 |
| Density of proppant | kg/m3 | 2650 |
| Proppant diameter | mm | 0.6 |
| Fluid density | kg/m3 | 998.2 |
| Fluid viscosity | Pa·s | 0.001 |
| Mixing injection velocity | m/s | 0.1 |
| Proppant injection concentration | – | 0.038 |
Disclaimer/Publisher’s Note: The statements, opinions and data contained in all publications are solely those of the individual author(s) and contributor(s) and not of MDPI and/or the editor(s). MDPI and/or the editor(s) disclaim responsibility for any injury to people or property resulting from any ideas, methods, instructions or products referred to in the content. |
© 2025 by the authors. Licensee MDPI, Basel, Switzerland. This article is an open access article distributed under the terms and conditions of the Creative Commons Attribution (CC BY) license (https://creativecommons.org/licenses/by/4.0/).
Share and Cite
Wang, Y.; Li, C.; Xue, K.; Qu, X.; Liu, Y. Effect of Surface Tortuosity on Particle Dynamics in Rock Fractures. Processes 2025, 13, 2702. https://doi.org/10.3390/pr13092702
Wang Y, Li C, Xue K, Qu X, Liu Y. Effect of Surface Tortuosity on Particle Dynamics in Rock Fractures. Processes. 2025; 13(9):2702. https://doi.org/10.3390/pr13092702
Chicago/Turabian StyleWang, Yang, Cheng Li, Kangsheng Xue, Xin Qu, and Yaling Liu. 2025. "Effect of Surface Tortuosity on Particle Dynamics in Rock Fractures" Processes 13, no. 9: 2702. https://doi.org/10.3390/pr13092702
APA StyleWang, Y., Li, C., Xue, K., Qu, X., & Liu, Y. (2025). Effect of Surface Tortuosity on Particle Dynamics in Rock Fractures. Processes, 13(9), 2702. https://doi.org/10.3390/pr13092702
