Design and Characterization of Mn(II), Co(II), and Zn(II) Complexes with Chrysin: Spectroscopic, Antibacterial, and Anti-Biofilm Insights
Abstract
1. Introduction
2. Materials and Methods
2.1. Reagents
2.2. Complex Synthesis
2.3. Instrumentation and Methods
2.4. Bacterial Strains and Minimum Inhibitory Concentration (MIC) Evaluation
2.5. Inhibition of Biofilm Formation
3. Results and Discussion
3.1. Composition and Physicochemical Properties
3.2. Thermal Analysis
3.3. Mass Spectrometry
3.4. 1H NMR Analysis
3.5. FT-IR Spectral Analysis
3.6. UV-Vis Spectra
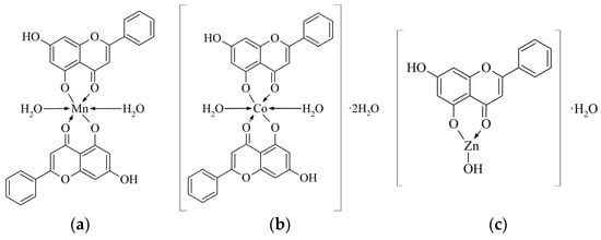
3.7. Structural Characterization of Mn(II), Co(II), and Zn(II) Complexes with Chrysin
3.8. Antibacterial Activity
3.9. Determination and Analysis of Optical Band Gap Energies
3.10. Anti-Biofilm Effects
4. Conclusions
Supplementary Materials
Author Contributions
Funding
Data Availability Statement
Acknowledgments
Conflicts of Interest
Abbreviations
| Mn-chrysin | Complex of Mn(II) ions with chrysin |
| Co-chrysin | Complex of Co(II) ions with chrysin |
| Zn-chrysin | Complex of Zn(II) ions with chrysin |
| DMSO | Dimethylsulfoxide |
| MIC | Minimum Inhibitory Concentration |
| PBS | Phosphate buffered saline |
| SALDI—MS | Surface-Assisted Laser Desorption/Ionization |
| TGA | Thermogravimetric analysis |
| 109AgLGN LDI MS | Surface-Assisted Laser Desorption/Ionization Time-of-Flight Mass Spectrometry using Silver-109 Nanoparticles generated by Fiber Laser Ablation |
References
- Salam, M.A.; Al-Amin, M.Y.; Salam, M.T.; Pawar, J.S.; Akhter, N.; Rabaan, A.A.; Alqumber, M.A.A. Antimicrobial Resistance: A Growing Serious Threat for Global Public Health. Healthcare 2023, 11, 1946. [Google Scholar] [CrossRef]
- Oliveira, M.; Antunes, W.; Mota, S.; Madureira-Carvalho, Á.; Dinis-Oliveira, R.J.; Dias da Silva, D. An Overview of the Recent Advances in Antimicrobial Resistance. Microorganisms 2024, 12, 1920. [Google Scholar] [CrossRef] [PubMed]
- Zhao, A.; Sun, J.; Liu, Y. Understanding Bacterial Biofilms: From Definition to Treatment Strategies. Front. Cell. Infect. Microbiol. 2023, 13, 1137947. [Google Scholar] [CrossRef] [PubMed]
- Olaimat, A.N.; Ababneh, A.M.; Al-Holy, M.; Al-Nabulsi, A.; Osaili, T.; Abughoush, M.; Ayyash, M.; Holley, R.A. A Review of Bacterial Biofilm Components and Formation, Detection Methods, and Their Prevention and Control on Food Contact Surfaces. Microbiol. Res. 2024, 15, 1973–1992. [Google Scholar] [CrossRef]
- Limoli, D.H.; Jones, C.J.; Wozniak, D.J. Bacterial Extracellular Polysaccharides in Biofilm Formation and Function. Microbiol. Spectr. 2015, 3, 1–30. [Google Scholar] [CrossRef] [PubMed]
- Almatroudi, A. Biofilm Resilience: Molecular Mechanisms Driving Antibiotic Resistance in Clinical Contexts. Biology 2025, 14, 165. [Google Scholar] [CrossRef]
- Mirzaei, R.; Mohammadzadeh, R.; Alikhani, M.Y.; Shokri Moghadam, M.; Karampoor, S.; Kazemi, S.; Barfipoursalar, A.; Yousefimashouf, R. The Biofilm-Associated Bacterial Infections Unrelated to Indwelling Devices. IUBMB Life 2020, 72, 1271–1285. [Google Scholar] [CrossRef]
- Zafer, M.M.; Mohamed, G.A.; Ibrahim, S.R.M.; Ghosh, S.; Bornman, C.; Elfaky, M.A. Biofilm-Mediated Infections by Multidrug-Resistant Microbes: A Comprehensive Exploration and Forward Perspectives. Arch. Microbiol. 2024, 206, 101. [Google Scholar] [CrossRef] [PubMed]
- Sharma, S.; Mohler, J.; Mahajan, S.D.; Schwartz, S.A.; Bruggemann, L.; Aalinkeel, R. Correction: Sharma et al. Microbial Biofilm: A Review on Formation, Infection, Antibiotic Resistance, Control Measures, and Innovative Treatment. Microorganisms 2023, 11, 1614. Microorganisms 2024, 12, 1961. [Google Scholar] [CrossRef]
- Bouchelaghem, S. Propolis Characterization and Antimicrobial Activities against Staphylococcus aureus and Candida albicans: A Review. Saudi J. Biol. Sci. 2022, 29, 1936–1946. [Google Scholar] [CrossRef]
- Zulhendri, F.; Chandrasekaran, K.; Kowacz, M.; Ravalia, M.; Kripal, K.; Fearnley, J.; Perera, C.O. Antiviral, Antibacterial, Antifungal, and Antiparasitic Properties of Propolis: A Review. Foods 2021, 10, 1360. [Google Scholar] [CrossRef]
- Otręba, M.; Marek, Ł.; Tyczyńska, N.; Stojko, J.; Kurek-Górecka, A.; Górecki, M.; Olczyk, P.; Rzepecka-Stojko, A. Propolis as Natural Product in the Oral Cavity Bacterial Infections Treatment: A Systematic Review. Appl. Sci. 2022, 12, 10123. [Google Scholar] [CrossRef]
- Kurek-Górecka, A.; Górecki, M.; Rzepecka-Stojko, A.; Balwierz, R.; Stojko, J. Bee Products in Dermatology and Skin Care. Molecules 2020, 25, 556. [Google Scholar] [CrossRef] [PubMed]
- Touzani, S.; Embaslat, W.; Imtara, H.; Kmail, A.; Kadan, S.; Zaid, H.; ElArabi, I.; Badiaa, L.; Saad, B. In Vitro Evaluation of the Potential Use of Propolis as a Multitarget Therapeutic Product: Physicochemical Properties, Chemical Composition, and Immunomodulatory, Antibacterial, and Anticancer Properties. BioMed Res. Int. 2019, 2019, 4836378. [Google Scholar] [CrossRef]
- Cushnie, T.P.T.; Lamb, A.J. Antimicrobial Activity of Flavonoids. Int. J. Antimicrob. Agents 2005, 26, 343–356. [Google Scholar] [CrossRef]
- Uzel, A.; Sorkun, K.; Onçağ, O.; Cogŭlu, D.; Gençay, O.; Salih, B. Chemical Compositions and Antimicrobial Activities of Four Different Anatolian Propolis Samples. Microbiol. Res. 2005, 160, 189–195. [Google Scholar] [CrossRef]
- Queiroga, M.C.; Laranjo, M.; Andrade, N.; Marques, M.; Costa, A.R.; Antunes, C.M. Antimicrobial, Antibiofilm and Toxicological Assessment of Propolis. Antibiotics 2023, 12, 347. [Google Scholar] [CrossRef] [PubMed]
- Mani, R.; Natesan, V. Chrysin: Sources, Beneficial Pharmacological Activities, and Molecular Mechanism of Action. Phytochemistry 2018, 145, 187–196. [Google Scholar] [CrossRef] [PubMed]
- Kamat, S.; Kumari, M.; Sajna, K.V.; Singh, S.K.; Kaushalendra; Kumar, A.; Jayabaskaran, C. Improved Chrysin Production by a Combination of Fermentation Factors and Elicitation from Chaetomium Globosum. Microorganisms 2023, 11, 999. [Google Scholar] [CrossRef]
- Stompor-Gorący, M.; Bajek-Bil, A.; Machaczka, M. Chrysin: Perspectives on Contemporary Status and Future Possibilities as Pro-Health Agent. Nutrients 2021, 13, 2038. [Google Scholar] [CrossRef] [PubMed]
- Sopjani, M.; Falco, F.; Impellitteri, F.; Guarrasi, V.; Nguyen Thi, X.; Dërmaku-Sopjani, M.; Faggio, C. Flavonoids Derived from Medicinal Plants as a COVID-19 Treatment. Phytother. Res. 2024, 38, 1589–1609. [Google Scholar] [CrossRef]
- Naz, S.; Imran, M.; Rauf, A.; Orhan, I.E.; Shariati, M.A.; Iahtisham-Ul-Haq; IqraYasmin; Shahbaz, M.; Qaisrani, T.B.; Shah, Z.A.; et al. Chrysin: Pharmacological and Therapeutic Properties. Life Sci. 2019, 235, 116797. [Google Scholar] [CrossRef]
- Garg, A.; Chaturvedi, S. A Comprehensive Review on Chrysin: Emphasis on Molecular Targets, Pharmacological Actions and Bio-Pharmaceutical Aspects. Curr. Drug Targets 2022, 23, 420–436. [Google Scholar] [CrossRef] [PubMed]
- Emerging Cellular and Molecular Mechanisms Underlying Anticancer Indications of Chrysin|Cancer Cell International. Available online: https://cancerci.biomedcentral.com/articles/10.1186/s12935-021-01906-y (accessed on 13 June 2025).
- Gao, S.; Siddiqui, N.; Etim, I.; Du, T.; Zhang, Y.; Liang, D. Developing Nutritional Component Chrysin as a Therapeutic Agent: Bioavailability and Pharmacokinetics Consideration, and ADME Mechanisms. Biomed. Pharmacother. 2021, 142, 112080. [Google Scholar] [CrossRef] [PubMed]
- Suresh Babu, K.; Hari Babu, T.; Srinivas, P.V.; Hara Kishore, K.; Murthy, U.S.N.; Rao, J.M. Synthesis and Biological Evaluation of Novel C (7) Modified Chrysin Analogues as Antibacterial Agents. Bioorg. Med. Chem. Lett. 2006, 16, 221–224. [Google Scholar] [CrossRef]
- Bhowmik, S.; Anand, P.; Das, R.; Sen, T.; Akhter, Y.; Das, M.C.; De, U.C. Synthesis of New Chrysin Derivatives with Substantial Antibiofilm Activity. Mol. Divers. 2022, 26, 137–156. [Google Scholar] [CrossRef] [PubMed]
- Li, Y.; Li, Y.-P.; He, J.; Liu, D.; Zhang, Q.-Z.; Li, K.; Zheng, X.; Tang, G.-T.; Guo, Y.; Liu, Y. The Relationship between Pharmacological Properties and Structure- Activity of Chrysin Derivatives. Mini Rev. Med. Chem. 2019, 19, 555–568. [Google Scholar] [CrossRef]
- Matsia, S.; Tsave, O.; Hatzidimitriou, A.; Salifoglou, A. Chromium Flavonoid Complexation in an Antioxidant Capacity Role. Int. J. Mol. Sci. 2022, 23, 7171. [Google Scholar] [CrossRef]
- Ravishankar, D.; Salamah, M.; Attina, A.; Pothi, R.; Vallance, T.M.; Javed, M.; Williams, H.F.; Alzahrani, E.M.S.; Kabova, E.; Vaiyapuri, R.; et al. Ruthenium-Conjugated Chrysin Analogues Modulate Platelet Activity, Thrombus Formation and Haemostasis with Enhanced Efficacy. Sci. Rep. 2017, 7, 5738. [Google Scholar] [CrossRef]
- Zeng, Y.-B.; Yang, N.; Liu, W.-S.; Tang, N. Synthesis, Characterization and DNA-Binding Properties of La(III) Complex of Chrysin. J. Inorg. Biochem. 2003, 97, 258–264. [Google Scholar] [CrossRef]
- Halevas, E.; Mavroidi, B.; Pelecanou, M.; Hatzidimitriou, A.G. Structurally Characterized Zinc Complexes of Flavonoids Chrysin and Quercetin with Antioxidant Potential. Inorg. Chim. Acta 2021, 523, 120407. [Google Scholar] [CrossRef]
- Selvaraj, S.; Krishnaswamy, S.; Devashya, V.; Sethuraman, S.; Krishnan, U.M. Investigations on Membrane Perturbation by Chrysin and Its Copper Complex Using Self-Assembled Lipid Bilayers. Langmuir 2011, 27, 13374–13382. [Google Scholar] [CrossRef]
- Zhang, S.; Sadhasivam, D.R.; Soundarajan, S.; Shanmugavel, P.; Raji, A.; Xu, M. In Vitro and in Vivo Investigation of Chrysin Chelated Copper Complex as Biocompatible Materials for Bone Tissue Engineering Applications. 3 Biotech 2023, 13, 45. [Google Scholar] [CrossRef]
- Dyba, B.; Miłoś, A.; Woźnicka, E.; Rudolphi-Szydło, E.; Ciszkowicz, E. The Effects of 3-Hydroxyflavone Complexes with Transition Metal Ions on the Physicochemical and Microbial Properties of Bacterial Cell Membranes. Sci. Rep. 2025, 15, 20743. [Google Scholar] [CrossRef]
- Woźnicka, E.; Zapała, L.; Miłoś, A.; Ciszkowicz, E.; Lecka-Szlachta, K.; Woźnicki, P.; Przygórzewska, A.; Kosińska-Pezda, M.; Byczyński, Ł. Synthesis, Spectroscopic Characterization and Biological Activities of Complexes of Light Lanthanide Ions with 3-Hydroxyflavone. Spectrochim. Acta A Mol. Biomol. Spectrosc. 2024, 322, 124870. [Google Scholar] [CrossRef]
- Pusz, J.; Woźnicka, E.; Wołowiec, S.; Umbreit, M.H. New Solid Compounds of Tb(III), Ho(III), Er(III) and Yb(III) with Chrysin. J. Therm. Anal. Calorim. 2009, 97, 987–992. [Google Scholar] [CrossRef]
- Halevas, E.; Mitrakas, A.; Mavroidi, B.; Athanasiou, D.; Gkika, P.; Antoniou, K.; Samaras, G.; Lialiaris, E.; Hatzidimitriou, A.; Pantazaki, A.; et al. Structurally Characterized Copper-Chrysin Complexes Display Genotoxic and Cytotoxic Activity in Human Cells. Inorg. Chim. Acta 2021, 515, 120062. [Google Scholar] [CrossRef]
- Ciszkowicz, E.; Miłoś, A.; Łyskowski, A.; Buczkowicz, J.; Nieczaj, A.; Lecka-Szlachta, K.; Hus, K.K.; Sikora, K.; Neubauer, D.; Bauer, M.; et al. AMPEC4: Naja Ashei Venom-Derived Peptide as a Stimulator of Fibroblast Migration with Antibacterial Activity. Molecules 2025, 30, 2167. [Google Scholar] [CrossRef]
- Bocian, A.; Ciszkowicz, E.; Hus, K.K.; Buczkowicz, J.; Lecka-Szlachta, K.; Pietrowska, M.; Petrilla, V.; Petrillova, M.; Legáth, Ľ.; Legáth, J. Antimicrobial Activity of Protein Fraction from Naja Ashei Venom against Staphylococcus Epidermidis. Molecules 2020, 25, 293. [Google Scholar] [CrossRef]
- Anna Corrente, G.; Malacaria, L.; Beneduci, A.; Marino, T.; Furia, E. Quercetin and Luteolin Complexation with First-Row Transition Metals in Purely Aqueous Solutions: Stoichiometry and Binding Site Selectivity. Dalton Trans. 2025, 54, 7828–7837. [Google Scholar] [CrossRef]
- Ferenc, W.; Osypiuk, D.; Sarzyński, J.; Głuchowska, H. Complexes of Mn(II), Co(II), Ni(II), Cu(II) and Zn(II) with Ligand Formed by Condensation Reaction of Isatin with Glutamic Acid. Eclética Química 2020, 45, 12–27. [Google Scholar] [CrossRef]
- Drzewiecka-Antonik, A.; Ferenc, W.; Mirosław, B.; Osypiuk, D.; Sarzyński, J. Structure, Thermal Stability and Magnetic Behavior of Mn(II) Complexes with Phenoxyacetic Acid Herbicides. Polyhedron 2021, 207, 115370. [Google Scholar] [CrossRef]
- Lehleh, A.; Beghidja, A.; Beghidja, C.; Mentré, O.; Welter, R. Synthesis, crystal structure and thermal decomposition of Cu(II), Co(II), Mn(II) complexes with hetero-ligands containing cysteic acid, 4,4’-dimethyl-2,2’-bipyridine and azide. Comptes Rendus Chim. 2011, 14, 462–470. [Google Scholar] [CrossRef]
- Findoráková, L.; Győryová, K.; Hudecová, D.; Mudroňová, D.; Kovářová, J.; Homzová, K.; Nour El-Dien, F.A. Thermal Decomposition Study and Biological Characterization of Zinc(II) 2-Chlorobenzoate Complexes with Bioactive Ligands. J. Therm. Anal. Calorim. 2013, 111, 1771–1781. [Google Scholar] [CrossRef]
- Krupa, Z.; Nizioł, J. Fiber Laser-Generated Silver-109 Nanoparticles for Laser Desorption/Ionization Mass Spectrometry of Illicit Drugs. J. Am. Soc. Mass. Spectrom. 2024, 35, 1156–1167. [Google Scholar] [CrossRef]
- Nizioł, J.; Ruman, T. Surface-Transfer Mass Spectrometry Imaging on a Monoisotopic Silver Nanoparticle Enhanced Target. Anal. Chem. 2013, 85, 12070–12076. [Google Scholar] [CrossRef]
- Jirásko, R.; Holčapek, M. Structural Analysis of Organometallic Compounds with Soft Ionization Mass Spectrometry. Mass Spectrom. Rev. 2011, 30, 1013–1036. [Google Scholar] [CrossRef]
- Gorczko, A.J.; Szymura, J.A. The Prediction of Relative Abundance of Isotopic Clusters in Mass Spectrometry of Coordination and Organometallic Compounds. Comput. Chem. 1999, 23, 135–142. [Google Scholar] [CrossRef]
- Cerrato, V.; Volpi, G.; Priola, E.; Giordana, A.; Garino, C.; Rabezzana, R.; Diana, E. Mono-, Bis-, and Tris-Chelate Zn(II) Complexes with Imidazo[1,5-a]Pyridine: Luminescence and Structural Dependence. Molecules 2023, 28, 3703. [Google Scholar] [CrossRef] [PubMed]
- Irto, A.; Cardiano, P.; Cataldo, S.; Chand, K.; Maria Cigala, R.; Crea, F.; De Stefano, C.; Gattuso, G.; Muratore, N.; Pettignano, A.; et al. Speciation Studies of Bifunctional 3-Hydroxy-4-Pyridinone Ligands in the Presence of Zn2+ at Different Ionic Strengths and Temperatures. Molecules 2019, 24, 4084. [Google Scholar] [CrossRef]
- Pusz, J.; Wolowiec, S. Solid Compounds of Ce(III), Pr(III), Nd(III), and Sm(III) Ions with Chrysin. J. Therm. Anal. Calorim. 2012, 110, 813–821. [Google Scholar] [CrossRef]
- Ansari, A.A. Paramagnetic NMR Shift, Spectroscopic and Molecular Modeling Studies of Lanthanide(III)-Morin Complexes. J. Coord. Chem. 2008, 61, 3869–3878. [Google Scholar] [CrossRef]
- Koehler, J.; Meiler, J. Expanding the Utility of NMR Restraints with Paramagnetic Compounds: Background and Practical Aspects. Prog. Nucl. Magn. Reson. Spectrosc. 2011, 59, 360. [Google Scholar] [CrossRef]
- Ansari, A.A. DFT and 1H NMR Molecular Spectroscopic Studies on Biologically Anti-Oxidant Active Paramagnetic Lanthanide(III)-Chrysin Complexes. Main Group Chem. 2008, 7, 43–56. [Google Scholar] [CrossRef]
- Lee, V.J.; Heffern, M.C. Structure-Activity Assessment of Flavonoids as Modulators of Copper Transport. Front. Chem. 2022, 10, 972198. [Google Scholar] [CrossRef] [PubMed]
- Díaz-Cárdenas, M.Y.; Uruchurtu Chavarín, J.; Valladares Cisneros, M.G.; Lagunas-Rivera, S.; Menchaca Campos, E.C. Evidence of Metal–Organic Coordination between Fe and Flavonoid Chrysin in a Green Anticorrosion Film. Heat Treat. Surf. Eng. 2022, 4, 35–42. [Google Scholar] [CrossRef]
- Carnegie, P.D.; Bandyopadhyay, B.; Duncan, M.A. Infrared Spectroscopy of Mn+ (H2O) and Mn2+ (H2O) via Argon Complex Predissociation. J. Phys. Chem. A 2011, 115, 7602–7609. [Google Scholar] [CrossRef]
- Matsia, S.; Papadopoulos, A.; Hatzidimitriou, A.; Schumacher, L.; Koldemir, A.; Pöttgen, R.; Panagiotopoulou, A.; Chasapis, C.T.; Salifoglou, A. Hybrid Lanthanide Metal-Organic Compounds with Flavonoids: Magneto-Optical Properties and Biological Activity Profiles. Int. J. Mol. Sci. 2025, 26, 1198. [Google Scholar] [CrossRef]
- Alem, M.B.; Desalegn, T.; Damena, T.; Bayle, E.A.; Koobotse, M.O.; Ngwira, K.J.; Ombito, J.O.; Zachariah, M.; Demissie, T.B. Organic-Inorganic Hybrid Salt and Mixed Ligand Cr(III) Complexes Containing the Natural Flavonoid Chrysin: Synthesis, Characterization, Computational, and Biological Studies. Front. Chem. 2023, 11, 1173604. [Google Scholar] [CrossRef]
- Khater, M.; Ravishankar, D.; Greco, F.; Osborn, H.M. Metal Complexes of Flavonoids: Their Synthesis, Characterization and Enhanced Antioxidant and Anticancer Activities. Future Med. Chem. 2019, 11, 2845–2867. [Google Scholar] [CrossRef] [PubMed]
- Castro, G.T.; Ferretti, F.H.; Blanco, S.E. Determination of the Overlapping pK(a) Values of Chrysin Using UV-Vis Spectroscopy and Ab Initio Methods. Spectrochim. Acta A Mol. Biomol. Spectrosc. 2005, 62, 657–665. [Google Scholar] [CrossRef]
- Pusz, J.; Nitka, B.; Zielińska, A.; Wawer, I. Synthesis and Physicochemical Properties of the Al(III), Ga(III) and In(III) Complexes with Chrysin. Microchem. J. 2000, 65, 245–253. [Google Scholar] [CrossRef]
- Pusz, J.; Nitka, B. Synthesis and Physicochemical Properties of the Complexes of Co(II), Ni(II), and Cu(II) with Chrysin. Microchem. J. 1997, 56, 373–381. [Google Scholar] [CrossRef]
- Elkaeed, E.B.; Mughal, E.U.; Kausar, S.; Al-ghulikah, H.A.; Naeem, N.; Altaf, A.A.; Sadiq, A. Theoretical Vibrational Spectroscopy (FT-IR), PED and DFT Calculations of Chromones and Thiochromones. J. Mol. Struct. 2022, 1270, 133972. [Google Scholar] [CrossRef]
- Zapała, L.; Ciszkowicz, E.; Kosińska-Pezda, M.; Maciołek, U.; Kozioł, A.E.; Miłoś, A.; Woźnicka, E.; Bocian, A.; Zapała, W.; Rydel-Ciszek, K.; et al. Novel Silver(I) Complexes with Fenamates: Insights into Synthesis, Spectral Characterization, and Bioactivity. J. Inorg. Biochem. 2025, 266, 112846. [Google Scholar] [CrossRef]
- Pitchumani Violet Mary, C.; Shankar, R.; Vijayakumar, S. Theoretical Insights into the Metal Chelating and Antimicrobial Properties of the Chalcone Based Schiff Bases. Mol. Simul. 2019, 45, 636–645. [Google Scholar] [CrossRef]
- Wang, G.; Jin, W.; Qasim, A.M.; Gao, A.; Peng, X.; Li, W.; Feng, H.; Chu, P.K. Antibacterial Effects of Titanium Embedded with Silver Nanoparticles Based on Electron-Transfer-Induced Reactive Oxygen Species. Biomaterials 2017, 124, 25–34. [Google Scholar] [CrossRef] [PubMed]
- Qian, X.; Zhang, J.; Gu, Z.; Chen, Y. Nanocatalysts-Augmented Fenton Chemical Reaction for Nanocatalytic Tumor Therapy. Biomaterials 2019, 211, 1–13. [Google Scholar] [CrossRef] [PubMed]
- Xu, A.; Li, X.; Ye, S.; Yin, G.; Zeng, Q. Catalyzed Oxidative Degradation of Methylene Blue by in Situ Generated Cobalt (II)-Bicarbonate Complexes with Hydrogen Peroxide. Appl. Catal. B Environ. 2011, 102, 37–43. [Google Scholar] [CrossRef]
- Oteiza, P.I. Zinc and the Modulation of Redox Homeostasis. Free Radic. Biol. Med. 2012, 53, 1748–1759. [Google Scholar] [CrossRef]
- Costa, J.C.S.; Taveira, R.J.S.; Lima, C.F.R.A.C.; Mendes, A.; Santos, L.M.N.B.F. Optical Band Gaps of Organic Semiconductor Materials. Opt. Mater. 2016, 58, 51–60. [Google Scholar] [CrossRef]
- Makuła, P.; Pacia, M.; Macyk, W. How To Correctly Determine the Band Gap Energy of Modified Semiconductor Photocatalysts Based on UV–Vis Spectra. J. Phys. Chem. Lett. 2018, 9, 6814–6817. [Google Scholar] [CrossRef] [PubMed]
- Huo, J.; Yu, D.; Li, H.; Luo, B.; Arulsamy, N. Mechanistic Investigation of Photocatalytic Degradation of Organic Dyes by a Novel Zinc Coordination Polymer. RSC Adv. 2019, 9, 39323–39331. [Google Scholar] [CrossRef]
- Chiyindiko, E.; Langner, E.H.G.; Conradie, J. Spectroscopic Behaviour of Copper(II) Complexes Containing 2-Hydroxyphenones. Molecules 2022, 27, 6033. [Google Scholar] [CrossRef]
- Ren, Y.; Liu, H.; Liu, X.; Zheng, Y.; Li, Z.; Li, C.; Yeung, K.W.K.; Zhu, S.; Liang, Y.; Cui, Z.; et al. Photoresponsive Materials for Antibacterial Applications. Cell Rep. Phys. Sci. 2020, 1, 100245. [Google Scholar] [CrossRef]
- Nandanwar, S.K.; Kim, H.J. Anticancer and Antibacterial Activity of Transition Metal Complexes. ChemistrySelect 2019, 4, 1706–1721. [Google Scholar] [CrossRef]
- Dong, H.; Yang, X.; He, J.; Cai, S.; Xiao, K.; Zhu, L. Enhanced Antioxidant Activity, Antibacterial Activity and Hypoglycemic Effect of Luteolin by Complexation with Manganese(II) and Its Inhibition Kinetics on Xanthine Oxidase. RSC Adv. 2017, 7, 53385–53395. [Google Scholar] [CrossRef]






| Compound | Color | Solubility in Water 20 ± 1 °C | Solubility in Methanol 20 ± 1 °C | ||
|---|---|---|---|---|---|
| g/100 cm3 | mol dm−3 | g/100 cm3 | mol dm−3 | ||
| Mn-chrysin | rusty-brown | 7.10 × 10−3 | 1.15 × 10−4 | 2.02 × 10−2 | 3.30 × 10−4 |
| Co-chrysin | dark yellow | 1.360 × 10−2 | 2.13 × 10−4 | 1.000 × 10−1 | 1.57 × 10−4 |
| Zn-chrysin | yellow | 5.60 × 10−3 | 1.58 × 10−4 | 1.88 × 10−2 | 5.30 × 10−4 |
| Complex | Decomposition Stages | ||||||
|---|---|---|---|---|---|---|---|
| Parameters | First | Second | Third | Fourth | Fifth | Sixth | Final Decomposition Product at 800 °C |
| Mn–chrysin | |||||||
| Temp. range (°C) | 75–100 | 110–150 | 210–320 | 320–480 | |||
| Tp (°C) | 85↓ | 121↓ | 249↑ | 395↑ | |||
| Mass losses (%) | 1.7 | 4.8 | 10.6 | 72.4 | Mn2O3 | ||
| Co-chrysin | |||||||
| Temp. range (°C) | 50–110 | 110–150 | 280–320 | 320–370 | 370–420 | 420–480 | |
| Tp (°C) | 80↓ | 117↓ | 291↑ | 341↑ | 403↑ | 465↑ | |
| Mass losses (%) | 8.4 | 2.6 | 7.8 | 10.1 | 13.4 | 44.6 | Co3O4 |
| Zn-chrysin | |||||||
| Temp. range (°C) | 25–100 | 220–260 | 280–360 | 360–480 | |||
| Tp (°C) | 58↓ | 245↓ | 285↑ | 395↑ | |||
| Mass losses (%) | 5.1 | 2.7 | 9.2 | 59.9 | ZnO | ||
| Observed m/z | Assigned Ion | Calculated m/z | Description |
|---|---|---|---|
| Mn-chrysin | |||
| 255.0651 | [C15H9O4 + H]+ | 255.0652 | Protonated chrysin |
| 277.0522 | [C15H9O4 + Na]+ | 277.0471 | Chrysin with sodium adduct |
| 293.0156 | [C15H9O4 + K]+ | 293.0211 | Chrysin with potassium adduct |
| 307.9738 | [Mn(C15H9O4)]+ | 307.9876 | Fragment with one ligand |
| 362.9609 | [C15H9O4 + 109Ag]+ | 362.9612 | Chrysin with silver adduct |
| 562.0286 | [Mn(C15H9O4)2+ H]+ | 562.0455 | Protonated 1:2 molecular ion |
| 584.0183 | [Mn(C15H9O4)2 + Na]+ | 584.0274 | Sodium adduct |
| Co-chrysin | |||
| 255.0606 | [C15H9O4 + H]+ | 255.0652 | Protonated chrysin |
| 277.0568 | [C15H9O4 + Na]+ | 277.0471 | Chrysin with sodium adduct |
| 293.0016 | [C15H9O4 + K]+ | 293.0211 | Chrysin with potassium adduct |
| 311.9635 | [Co(C15H9O4)]+ | 311.9827 | Fragment containing one ligand |
| 362.9559 | [C15H9O4 + 109Ag]+ | 362.9612 | Chrysin with silver adduct |
| 566.0284 | [Co(C15H9O4)2 + H]+ | 566.0406 | Protonated molecular complex 1:2 |
| 588.0102 | [Co(C15H9O4)2 + Na]+ | 588.0226 | Sodium adduct |
| 603.9925 | [Co(C15H9O4)2 + K]+ | 603.9965 | Potassium adduct |
| 673.9339 | [Co(C15H9O4)2 + 109Ag]+ | 673.9376 | Silver adduct |
| Zn-chrysin | |||
| 255.0633 | [C15H9O4 + H]+ | 255.0657 | Protonated chrysin |
| 293.0102 | [C15H9O4 + K]+ | 293.0211 | Chrysin with potassium adduct |
| 316.9665 | [Zn(C15H9O4)]+ | 316.9792 | Fragment after OH loss |
| 362.9630 | [C15H9O4 +109Ag]+ | 362.9621 | Chrysin with silver adduct |
| 571.0366 | [Zn(C15H9O4)2 + H]+ | 571.0366 | Silver adducts |
| 678.9477 | [Zn(C15H9O4)2 + 109Ag]+ | 678.9335 | Full dimeric complex with silver adduct |
| 787.6154 | [Zn(C15H9O4)2 + 109Ag2]+ | 787.8384 | |
| 1005.2475 | [Zn(C15H9O4)2 + 109Ag4]+ | 1005.6478 | |
| Proton/Group | 5-OH | 7-OH | H-2′, 6′ | H-3′, 4′, 5′ | H-3 | H-8 | H-6 |
|---|---|---|---|---|---|---|---|
| chrysin | 12.82 | 10.90 | 8.04 | 7.55–7.60 | 6.95 | 6.52 | 6.22 |
| Zn-chrysin | 12.71 | 10.10 | 8.04 | 7.57 | 6.83 | 6.08 | 5.90 |
| Assignment | Chrysin | Mn–Chrysin | Co–Chrysin | Zn–Chrysin |
|---|---|---|---|---|
| ν(O–H) (H-bonded), ν(C–H), | 3100–2600 | 3450–3080 | 3400–2800 | 3450–2800 |
| ν(O–H) (free/isolated) | – | 3627 | – | – |
| ν(C=O) | 1653 | 1629 | 1639 | 1637 |
| ν(C=C) aromatic | 1612 | 1599 | 1604 | 1600 |
| 1577 | 1576 | 1583 | 1580 | |
| 1555 | 1557 | 1556 | 1551 | |
| δ(O–H) C-O-H | 1449 | 1449 | 1447 | 1450 |
| ν(C-O) C-C-O, C-O-C | 1357 | 1350 | 1365 | 1354 |
| 1313 | 1312 | 1313 | 1311 | |
| ν(C-C) | 1246 | 1243 | 1251 | 1245 |
| 1168 | 1169 | 1163 | 1171 | |
| δ(O–H) phenolic in-plane bend | 1025 | - | - | - |
| δ(C–H) in-plane | 908 | 908 | - | 908 |
| 917 | 917 | 917 | ||
| δ(C–C) in-plane | 842 | 842 | 844 | 843 |
| δ(O–H) phenolic out-of-plane wag | 807 | 809 | - | 810 |
| δ(C–H) out-of-plane | 782 | 767 | 781 | 766 |
| 747 | - | - | - | |
| 693 | 677 | 687 | 681 | |
| δ(C–C) out-of-plane | 642 | 643 | 641 | 646 |
| 511 | 511 | 511 | 511 | |
| ν(M–O) | – | 489 | 492 | 478 |
| Bacterial Strains | Escherichia coli ATCC 10536 | Staphylococcus epidermidis ATCC 35984 |
|---|---|---|
| chrysin | 3.1 | 6.3 |
| Mn-chrysin | 0.8 | 1.6 |
| Co-chrysin | 1.0 | 2.1 |
| Zn-chrysin | 2.5 | NAA |
| Rifampicin | 3.9 × 10−3 | 6.3 × 10−2 |
| Oxacillin | 1.3 × 10−1 | NAA |
Disclaimer/Publisher’s Note: The statements, opinions and data contained in all publications are solely those of the individual author(s) and contributor(s) and not of MDPI and/or the editor(s). MDPI and/or the editor(s) disclaim responsibility for any injury to people or property resulting from any ideas, methods, instructions or products referred to in the content. |
© 2025 by the authors. Licensee MDPI, Basel, Switzerland. This article is an open access article distributed under the terms and conditions of the Creative Commons Attribution (CC BY) license (https://creativecommons.org/licenses/by/4.0/).
Share and Cite
Woźnicka, E.; Miłoś, A.; Zapała, L.; Kosińska-Pezda, M.; Lecka-Szlachta, K.; Byczyński, Ł. Design and Characterization of Mn(II), Co(II), and Zn(II) Complexes with Chrysin: Spectroscopic, Antibacterial, and Anti-Biofilm Insights. Processes 2025, 13, 2468. https://doi.org/10.3390/pr13082468
Woźnicka E, Miłoś A, Zapała L, Kosińska-Pezda M, Lecka-Szlachta K, Byczyński Ł. Design and Characterization of Mn(II), Co(II), and Zn(II) Complexes with Chrysin: Spectroscopic, Antibacterial, and Anti-Biofilm Insights. Processes. 2025; 13(8):2468. https://doi.org/10.3390/pr13082468
Chicago/Turabian StyleWoźnicka, Elżbieta, Anna Miłoś, Lidia Zapała, Małgorzata Kosińska-Pezda, Katarzyna Lecka-Szlachta, and Łukasz Byczyński. 2025. "Design and Characterization of Mn(II), Co(II), and Zn(II) Complexes with Chrysin: Spectroscopic, Antibacterial, and Anti-Biofilm Insights" Processes 13, no. 8: 2468. https://doi.org/10.3390/pr13082468
APA StyleWoźnicka, E., Miłoś, A., Zapała, L., Kosińska-Pezda, M., Lecka-Szlachta, K., & Byczyński, Ł. (2025). Design and Characterization of Mn(II), Co(II), and Zn(II) Complexes with Chrysin: Spectroscopic, Antibacterial, and Anti-Biofilm Insights. Processes, 13(8), 2468. https://doi.org/10.3390/pr13082468

