From Waste to Solution: Modeling and Characterization of Grape Seed Bio-Waste for Phosphate Removal from Wastewater
Abstract
1. Introduction
2. Materials and Methods
2.1. Preparation of Adsorbents and Characterization
2.2. Phosphate Stock Solution
2.3. Phosphate Concentration Measurement
2.4. Theory
2.5. Kinetic Study
- 1.
- Pseudo first order:
- 2.
- Pseudo second order:
- 3.
- Intraparticle diffusion model, given by Equation (5):
2.6. Isotherms of Adsorption
2.7. Statistical Analysis
3. Results
3.1. Adsorbent Characterization
3.2. Adsorbent Concentration Effects
3.3. Effect of Time
3.4. Effect of pH
3.5. Effect of Temperature
3.6. Adsorption Process Kinetics
3.7. Adsorption Isotherms
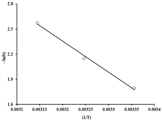
3.8. Adsorption Thermodynamics
4. Conclusions
5. Recommendations
Author Contributions
Funding
Data Availability Statement
Conflicts of Interest
References
- Yu, D.; Yan, L.; Shi, J.; Liu, Y.; Zhang, A.; Wang, Y.; Zhang, Y.; Xie, T. Phosphorus Removal and Recovery During Microalgae-Based Wastewater Treatment: A Mini-Review. Int. J. Environ. Res. 2024, 18, 34. [Google Scholar] [CrossRef]
- Rani, I.D.; Dermiyati, D.; Suharjo, R.; Niswati, A.; Pangaribuan, D.H. Soil Organisms Activities in Red Onion Cultivation with Application of Plant Extract Suspension and Compost. J. Trop. Soils 2022, 27, 89. [Google Scholar] [CrossRef]
- Tian, J.; Ge, F.; Zhang, D.; Deng, S.; Liu, X. Roles of Phosphate Solubilizing Microorganisms from Managing Soil Phosphorus Deficiency to Mediating Biogeochemical P Cycle. Biology 2021, 10, 158. [Google Scholar] [CrossRef]
- Zhang, J.; Han, X.; Su, Y.; Staehelin, C.; Xu, C. T-DNA Insertion Mutagenesis in Penicillium Brocae Results in Identification of an Enolase Gene Mutant Impaired in Secretion of Organic Acids and Phosphate Solubilization. Microbiology 2023, 169, 001325. [Google Scholar] [CrossRef]
- Pu, J.; Wang, S.; Ni, Z.; Wu, Y.; Liu, X.; Wu, T.; Wu, H. Implications of Phosphorus Partitioning at the Suspended Particle-Water Interface for Lake Eutrophication in China’s Largest Freshwater Lake, Poyang Lake. Chemosphere 2021, 263, 128334. [Google Scholar] [CrossRef] [PubMed]
- Cheng, R.; Hou, S.; Wang, J.; Zhu, H.; Shutes, B.; Yan, B. Biochar-Amended Constructed Wetlands for Eutrophication Control and Microcystin (MC-LR) Removal. Chemosphere 2022, 295, 133830. [Google Scholar] [CrossRef]
- Bowes, M.J.; Jarvie, H.P.; Halliday, S.J.; Skeffington, R.A.; Wade, A.J.; Loewenthal, M.; Gozzard, E.; Newman, J.R.; Palmer-Felgate, E.J. Characterising Phosphorus and Nitrate Inputs to a Rural River Using High-Frequency Concentration-Flow Relationships. Sci. Total Environ. 2015, 511, 608–620. [Google Scholar] [CrossRef]
- Bunce, J.T.; Ndam, E.; Ofiteru, I.D.; Moore, A.; Graham, D.W. A Review of Phosphorus Removal Technologies and Their Applicability to Small-Scale Domestic Wastewater Treatment Systems. Front. Environ. Sci. 2018, 6, 8. [Google Scholar] [CrossRef]
- Bacelo, H.; Pintor, A.M.A.; Santos, S.C.R.; Boaventura, R.A.R.; Botelho, C.M.S. Performance and Prospects of Different Adsorbents for Phosphorus Uptake and Recovery from Water. Chem. Eng. J. 2020, 381, 122566. [Google Scholar] [CrossRef]
- Myllymäki, P.; Pesonen, J.; Romar, H.; Hu, T.; Tynjälä, P.; Lassi, U. The Use of Calcined Paper Mill Sludge as a Chemical Precipitant in the Simultaneous Removal of Ammonium and Phosphate-Paper Mill Waste Recycling and Reuse. Desalination Water Treat. 2020, 194, 459–467. [Google Scholar] [CrossRef]
- Fang, L.; Shi, Q.; Nguyen, J.; Wu, B.; Wang, Z.; Lo, I.M.C. Removal Mechanisms of Phosphate by Lanthanum Hydroxide Nanorods: Investigations Using EXAFS, ATR-FTIR, DFT, and Surface Complexation Modeling Approaches. Environ. Sci. Technol. 2017, 51, 12377–12384. [Google Scholar] [CrossRef]
- Rajendran, S.; Sai Bharadwaj, A.V.S.L.; Barmavatu, P.; Palani, G.; Trilaksanna, H.; Kannan, K.; Meenakshisundaram, N. A Review on Lanthanum-Based Materials for Phosphate Removal. ChemEngineering 2024, 8, 23. [Google Scholar] [CrossRef]
- Zhu, Y.; Yue, X.; Xie, F. Adsorptive Removal of Phosphate by a Fe–Mn–La Tri-Metal Composite Sorbent: Adsorption Capacity, Influence Factors, and Mechanism. Adsorpt. Sci. Technol. 2020, 38, 254–270. [Google Scholar] [CrossRef]
- Yu, Y.; Paul Chen, J. Key Factors for Optimum Performance in Phosphate Removal from Contaminated Water by a Fe–Mg–La Tri-Metal Composite Sorbent. J. Colloid Interface Sci. 2015, 445, 303–311. [Google Scholar] [CrossRef]
- Oktor, K.; Yuzer, N.Y.; Hasirci, G.; Hilmioglu, N. Optimization of Removal of Phosphate from Water by Adsorption Using Biopolymer Chitosan Beads. Water Air Soil Pollut. 2023, 234, 271. [Google Scholar] [CrossRef]
- Pokhrel, M.R.; Poudel, B.R.; Aryal, R.L.; Paudyal, H.; Ghimire, K.N. Removal and Recovery of Phosphate from Water and Wastewater Using Metal-Loaded Agricultural Waste-Based Adsorbents: A Review. J. Inst. Sci. Technol. 2019, 24, 77–89. [Google Scholar] [CrossRef]
- Zhu, X.F.; Liu, H.Y.; Shi, P.H.; Wu, J.F.; Guo, Y.F. Removal of Phosphate from Aqueous Solution by Using Red Mud. AMR 2011, 291–294, 1804–1807. [Google Scholar] [CrossRef]
- Yue, Q.; Zhao, Y.; Li, Q.; Li, W.; Gao, B.; Han, S.; Qi, Y.; Yu, H. Research on the Characteristics of Red Mud Granular Adsorbents (RMGA) for Phosphate Removal. J. Hazard. Mater. 2010, 176, 741–748. [Google Scholar] [CrossRef] [PubMed]
- Yuan, X.L.; Xia, W.T.; An, J.; Yang, W.Q.; Yin, J.G. Removal of Phosphate Anions from Aqueous Solutions Using Dolomite as Adsorbent. AMR 2013, 864–867, 1454–1457. [Google Scholar] [CrossRef]
- Li, R.; Wang, J.J.; Zhou, B.; Awasthi, M.K.; Ali, A.; Zhang, Z.; Gaston, L.A.; Lahori, A.H.; Mahar, A. Enhancing Phosphate Adsorption by Mg/Al Layered Double Hydroxide Functionalized Biochar with Different Mg/Al Ratios. Sci. Total. Environ. 2016, 559, 121–129. [Google Scholar] [CrossRef]
- Sisay, G.B.; Bezabeh, B.; Getachew, E. Copper Oxide Nanobiochar from Spent Coffee Grounds for Phosphate Removal and Its Application as an Antibacterial Activity. Res. Sq. 2023; in review. [Google Scholar] [CrossRef]
- Chansuvarn, W. Removal of Phosphate from Wastewater Using Carbonized Filter Cake. AMM 2018, 879, 125–130. [Google Scholar] [CrossRef]
- Nyakairu, G.W.; Ntale, M.; Usman, M.O. Adsorption of Phosphate by Synthesized Silver/Calcium Oxide-Activated Carbon Nanocomposite. Adv. Environ. Eng. Res. 2023, 04, 1–20. [Google Scholar] [CrossRef]
- Siwek, H.; Bartkowiak, A.; Włodarczyk, M.; Sobecka, K. Removal of Phosphate from Aqueous Solution Using Alginate/Iron (III) Chloride Capsules: A Laboratory Study. Water Air Soil Pollut. 2016, 227, 427. [Google Scholar] [CrossRef]
- Atnafu, T.; Leta, S. Plasticized Magnetic Starch-Based Fe3O4 Clay Polymer Nanocomposites for Phosphate Adsorption from Aqueous Solution. Heliyon 2021, 7, e07973. [Google Scholar] [CrossRef]
- Civan Çavuşoğlu, F.; Özçelik, G.; Bayazit, Ş.S. Comparative Investigation of Phosphate Adsorption Efficiencies of MOF-76 (Ce) and Metal Oxides Derived from MOF-76 (Ce). Langmuir 2024, 40, 4255–4266. [Google Scholar] [CrossRef]
- Tóth, A.J.; Fózer, D.; Mizsey, P.; Varbanov, P.S.; Klemeš, J.J. Physicochemical Methods for Process Wastewater Treatment: Powerful Tools for Circular Economy in the Chemical Industry. Rev. Chem. Eng. 2023, 39, 1123–1151. [Google Scholar] [CrossRef]
- Oleszkiewicz, J.; Kruk, D.; Devlin, T.; Yuan, Q.; Lashkarizadeh, M. Options for Improved Nutrient Removal and Recovery from Municipal Wastewater in the Canadian Context; Canadian Water Network: Waterloo, ON, Canada, 2015. [Google Scholar]
- Kim, M.-J.; Lee, J.-H.; Lee, C.-G.; Park, S.-J. Thermal Treatment of Attapulgite for Phosphate Removal: A Cheap and Natural Adsorbent with High Adsorption Capacity. Desalination Water Treat. 2018, 114, 175–184. [Google Scholar] [CrossRef]
- Hasan, M.N.; Altaf, M.M.; Khan, N.A.; Khan, A.H.; Khan, A.A.; Ahmed, S.; Kumar, P.S.; Naushad, M.; Rajapaksha, A.U.; Iqbal, J.; et al. Recent Technologies for Nutrient Removal and Recovery from Wastewaters: A Review. Chemosphere 2021, 277, 130328. [Google Scholar] [CrossRef]
- Isiuku, B.; Oze, N. Adsorption performance of acid-activated carbon derived from Gmelin arborea in a fixed bed column. J. Appl. Sci. Environ. Manag. 2019, 44, 1070–1079. [Google Scholar]
- Li, Z.; Sun, X.; Huang, L.; Liu, D.; Yu, L.; Wu, H.; Wei, D. Phosphate Adsorption and Precipitation on Calcite under Calco-Carbonic Equilibrium Condition. Chemosphere 2017, 183, 419–428. [Google Scholar] [CrossRef]
- Khan, S.; Ishaq, M.; Ahmad, I.; Hussain, S.; Ullah, H. Evaluation of Coal as Adsorbent for Phosphate Removal. Arab. J. Geosci. 2013, 6, 1113–1117. [Google Scholar] [CrossRef]
- Nagoya, S.; Nakamichi, S.; Kawase, Y. Mechanisms of Phosphate Removal from Aqueous Solution by Zero-Valent Iron: A Novel Kinetic Model for Electrostatic Adsorption, Surface Complexation and Precipitation of Phosphate Under Oxic Conditions. Sep. Purif. Technol. 2019, 218, 120–129. [Google Scholar] [CrossRef]
- Aswin Kumar, I.; Viswanathan, N. Development and Reuse of Amine-Grafted Chitosan Hybrid Beads in the Retention of Nitrate and Phosphate. J. Chem. Eng. Data 2018, 63, 147–158. [Google Scholar] [CrossRef]
- Yadav, D.; Kapur, M.; Kumar, P.; Mondal, M.K. Adsorptive Removal of Phosphate from Aqueous Solution Using Rice Husk and Fruit Juice Residue. Process. Saf. Environ. Prot. 2015, 94, 402–409. [Google Scholar] [CrossRef]
- Muhmood, A.; Cui, S.; Wang, J.; Wang, D.; Pugliese, L.; Wu, S. Eco-Nano Solutions for Rapid Phosphorus Recovery: Closing the Loop for Sustainable Agriculture. Sci. Total. Environ. 2025, 964, 178477. [Google Scholar] [CrossRef]
- Xavier, G.T.M.; Nunes, R.S.; Urzedo, A.L.; Tng, K.H.; Le-Clech, P.; Araújo, G.C.L.; Mandelli, D.; Fadini, P.S.; Carvalho, W.A. Removal of Phosphorus by Modified Bentonite: Polyvinylidene Fluoride Membrane—Study of Adsorption Performance and Mechanism. Environ. Sci. Pollut. Res. 2024, 31, 53718–53728. [Google Scholar] [CrossRef]
- Odabaşioğlu, M.İ.; Gürsöz, S. Effects of Drought-Tolerant Grapevine Rootstocks on the Mineral Contents and Fatty Acid Compositions of Grape Seeds. J. Berry Res. 2022, 12, 383–400. [Google Scholar] [CrossRef]
- Ergović-Ravančić, M.; Obradović, V.; Mesić, J.; Svitlica, B.; Marčetić, H.; Prtenjača, K.; Škrabal, S. The Influence of Grape Seed Drying Temperature on the Quality of Grape Seed Oil. J. Process. Energy Agric. 2020, 24, 22–25. [Google Scholar] [CrossRef]
- Escudero, L.B.; Vanni, G.; Duarte, F.A.; Segger, T.; Dotto, G.L. Biosorption of Silver from Aqueous Solutions Using Wine Industry Wastes. Chem. Eng. Commun. 2018, 205, 325–337. [Google Scholar] [CrossRef]
- Zanini, M.; Silvestre, W.P.; Baldasso, C.; Tessaro, I.C. Valorization of Wastes Generated in Organic Grape Processing. Braz. Arch. Biol. Technol. 2024, 67, e24230183. [Google Scholar] [CrossRef]
- Alvarez-Gonzales, R.; Bejar-Aramburú, D.G.; Cama-Ortiz, F.; Gonzales-Condori, E.G.; Gonzales-Condori, J.; Gutiérrez-Delgado, J.A.; Zúñiga Torres, J.C. Valorization of Grape Seed Waste for Use in the Production of Antioxidant Soaps and as an Adsorbent for a Textile Dye. In Proceedings of the 3rd LACCEI International Multiconference on Entrepreneurship, Innovation and Regional Development (LEIRD 2023): “Igniting the Spark of Innovation: Emerging Trends, Disruptive Technologies, and Innovative Models for Business Success”, Virtual, 4–6 December 2023; Latin American and Caribbean Consortium of Engineering Institutions: Boca Raton, FA, USA, 2023. [Google Scholar] [CrossRef]
- Ma, Z.; Zhang, H. Phytochemical Constituents, Health Benefits, and Industrial Applications of Grape Seeds: A Mini-Review. Antioxidants 2017, 6, 71. [Google Scholar] [CrossRef]
- Fidan, M.; Erez, M.E.; ưNal, B.; Pinar, S.M.; Altintaş, S. Antioxidant Capacity and Phylogenetic Analysis of Twenty Native Grape Cultivars in Siirt Province, Turkey. Cell. Mol. Biol. 2018, 64, 14–18. [Google Scholar] [CrossRef]
- Stjepanović, M.; Velić, N.; Habuda-Stanić, M. Modified Grape Seeds: A Promising Alternative for Nitrate Removal from Water. Materials 2021, 14, 4791. [Google Scholar] [CrossRef]
- Mohammed, A.J.; Ibrahim, M.H.; Zulkifli, S.Z.; Salman, J.M. Synthesis and Characterization of a Nano-Adsorbent Derivative Derived from Grape Seeds for Cadmium Ion Removal in an Aqueous Solution. Water 2021, 13, 2896. [Google Scholar] [CrossRef]
- Purnomo, C.W.; Castello, D.; Fiori, L. Granular Activated Carbon from Grape Seeds Hydrothermal Char. Appl. Sci. 2018, 8, 331. [Google Scholar] [CrossRef]
- American Public Health Association; American Water Works Association; Water Environment Federation. Standards Methods for the Examination of Water and Wastewater, 17th ed.; American Public Health Association: Washington, DC, USA, 1989. [Google Scholar]
- Al Bsoul, A.; Hailat, M.; Abdelhay, A.; Tawalbeh, M.; Al-Othman, A.; Al-kharabsheh, I.N.; Al-Taani, A.A. Efficient Removal of Phenol Compounds from Water Environment Using Ziziphus Leaves Adsorbent. Sci. Total. Environ. 2021, 761, 143229. [Google Scholar] [CrossRef]
- Petropoulos, J.H.; Havredaki, V.I. On the fundamental concepts underlying Henry-law adsorption and adsorbed gas transport in porous solids. J. Chem. Soc. Faraday Trans. 1986, 82, 2531–2545. [Google Scholar] [CrossRef]
- Lucarini, M.; Durazzo, A.; Kiefer, J.; Santini, A.; Lombardi-Boccia, G.; Souto, E.; Romani, A.; Lampe, A.; Ferrari Nicoli, S.; Gabrielli, P.; et al. Grape Seeds: Chromatographic Profile of Fatty Acids and Phenolic Compounds and Qualitative Analysis by FTIR-ATR Spectroscopy. Foods 2019, 9, 10. [Google Scholar] [CrossRef]
- Da Silva, R.N.F.; De Azevedo Mello, P.; Penteado Holkem, A.; Silva, L.F.O.; Oliveira, M.L.S.; Nawaz, A.; Manoharadas, S.; Dotto, G.L. Recovery of Ce and La from Phosphogypsum Leachate by Adsorption Using Grape Wastes. Environ. Sci. Pollut. Res. 2023, 30, 118366–118376. [Google Scholar] [CrossRef]
- Zúñiga-Muro, N.M.; Bonilla-Petriciolet, A.; Mendoza-Castillo, D.I.; Reynel-Ávila, H.E.; Duran-Valle, C.J.; Ghalla, H.; Sellaoui, L. Recovery of Grape Waste for the Preparation of Adsorbents for Water Treatment: Mercury Removal. J. Environ. Chem. Eng. 2020, 8, 103738. [Google Scholar] [CrossRef]
- Nogales-Bueno, J.; Baca-Bocanegra, B.; Rooney, A.; Hernández-Hierro, J.M.; Byrne, H.J.; Heredia, F.J. Study of Phenolic Extractability in Grape Seeds by Means of ATR-FTIR and Raman Spectroscopy. Food Chem. 2017, 232, 602–609. [Google Scholar] [CrossRef]
- Banjanin, T.; Özcan, M.M.; Al Juhaimi, F.; Ranković-Vasić, Z.; Uslu, N.; Mohamed, I.A.; Ghafoor, K.; Babiker, E.E.; Osman, M.A.; Gassem, M.A.; et al. Effect of Varieties on Bioactive Compounds, Fatty Acids, and Mineral Contents in Different Grape Seed and Oils from Bosnia and Herzegovina. J. Food Process. Preserv. 2019, 43. [Google Scholar] [CrossRef]
- Antunes, M.; Esteves, V.I.; Guégan, R.; Crespo, J.S.; Fernandes, A.N.; Giovanela, M. Removal of Diclofenac Sodium from Aqueous Solution by Isabel Grape Bagasse. Chem. Eng. J. 2012, 192, 114–121. [Google Scholar] [CrossRef]
- Segal, L.; Creely, J.J.; Martin, A.E.; Conrad, C.M. An Empirical Method for Estimating the Degree of Crystallinity of Native Cellulose Using the X-Ray Diffractometer. Text. Res. J. 1959, 29, 786–794. [Google Scholar] [CrossRef]
- Abraham, E.; Deepa, B.; Pothan, L.A.; Jacob, M.; Thomas, S.; Cvelbar, U.; Anandjiwala, R. Extraction of Nanocellulose Fibrils from Lignocellulosic Fibres: A Novel Approach. Carbohydr. Polym. 2011, 86, 1468–1475. [Google Scholar] [CrossRef]
- Poletto, M.; Zattera, A.J.; Forte, M.M.C.; Santana, R.M.C. Thermal Decomposition of Wood: Influence of Wood Components and Cellulose Crystallite Size. Bioresour. Technol. 2012, 109, 148–153. [Google Scholar] [CrossRef]
- Babel, S. Low-Cost Adsorbents for Heavy Metals Uptake from Contaminated Water: A Review. J. Hazard. Mater. 2003, 97, 219–243. [Google Scholar] [CrossRef]
- Fu, F.; Wang, Q. Removal of Heavy Metal Ions from Wastewaters: A Review. J. Environ. Manag. 2011, 92, 407–418. [Google Scholar] [CrossRef]
- Mohan, D.; Pittman, C.U. Arsenic Removal from Water/Wastewater Using Adsorbents—A Critical Review. J. Hazard. Mater. 2007, 142, 1–53. [Google Scholar] [CrossRef]
- Al Bsoul, A. The Use of Eucalyptus Leaves as Adsorbent for Copper Ion Removal. Desalination Water Treat. 2014, 52, 7838–7844. [Google Scholar] [CrossRef]
- Bousba, S.; Meniai, A.H. Removal of Phenol from Water by Adsorption onto Sewage Sludge Based Adsorbent. Chem. Eng. Trans. 2014, 40, 235–240. [Google Scholar] [CrossRef]
- Abdelhay, A.; Al Bsoul, A.; Al-Othman, A.; Al-Ananzeh, N.M.; Jum’h, I.; Al-Taani, A.A. Kinetic and Thermodynamic Study of Phosphate Removal from Water by Adsorption onto (Arundo Donax) Reeds. Adsorpt. Sci. Technol. 2018, 36, 46–61. [Google Scholar] [CrossRef]
- Chitrakar, R.; Tezuka, S.; Sonoda, A.; Sakane, K.; Ooi, K.; Hirotsu, T. Selective Adsorption of Phosphate from Seawater and Wastewater by Amorphous Zirconium Hydroxide. J. Colloid Interface Sci. 2006, 297, 426–433. [Google Scholar] [CrossRef] [PubMed]
- Zhang, L.; Liu, P.; Li, L.; Huang, Y.; Pu, Y.; Hou, X.; Song, L. Identification and Antioxidant Activity of Flavonoids Extracted from Xinjiang Jujube (Ziziphus jujube Mill.) Leaves with Ultra-High Pressure Extraction Technology. Molecules 2019, 24, 122. [Google Scholar] [CrossRef]
- Iacomi, P.; Alabarse, F.; Appleyard, R.; Lemaire, T.; Thessieu, C.; Wang, S.; Serre, C.; Maurin, G.; Yot, P.G. Structural Insight of MOFs under Combined Mechanical and Adsorption Stimuli. Angew. Chem. Int. Ed. 2022, 61, e202201924. [Google Scholar] [CrossRef]
- Liu, Y.; Villalba, G.; Ayres, R.U.; Schroder, H. Global Phosphorus Flows and Environmental Impacts from a Consumption Perspective. J. Ind. Ecol. 2008, 12, 229–247. [Google Scholar] [CrossRef]
- Nguyen, T.A.H.; Ngo, H.H.; Guo, W.S.; Zhou, J.L.; Wang, J.; Liang, H.; Li, G. Phosphorus Elimination from Aqueous Solution Using ‘Zirconium Loaded Okara’ as a Biosorbent. Bioresour. Technol. 2014, 170, 30–37. [Google Scholar] [CrossRef]
- Krishnan, K.A.; Haridas, A. Removal of Phosphate from Aqueous Solutions and Sewage Using Natural and Surface Modified Coir Pith. J. Hazard. Mater. 2008, 152, 527–535. [Google Scholar] [CrossRef]
- Dada, A.O.; Olalekan, A.P.; Olatunya, A.M.; Dada, O. Isotherms Studies of Equilibrium Sorption of Zn 2+ Unto Phosphoric Acid Modified Rice Husk. IOSRJAC 2012, 3, 38–45. [Google Scholar] [CrossRef]
- ALOthman, Z.A.; Naushad, M.; Ali, R. Kinetic, Equilibrium Isotherm and Thermodynamic Studies of Cr(VI) Adsorption onto Low-Cost Adsorbent Developed from Peanut Shell Activated with Phosphoric Acid. Environ. Sci. Pollut. Res. 2013, 20, 3351–3365. [Google Scholar] [CrossRef] [PubMed]
















| Adsorbent | Advantages | Disadvantages | Reference |
|---|---|---|---|
| Lanthanum Hydroxide Nanorods | High phosphate adsorption capacity (>90%), formation of stable La-phosphate complexes | Potential lanthanum leaching, complex and costly synthesis | [11,12] |
| Iron–Manganese–Lanthanum Tri-Metal Composite | Effective removal, influenced by ionic strength, multi-metal synergy | Efficiency reduced by competing ions, potential metal leaching | [13,14] |
| Chitosan Beads | Biodegradable, electrostatic attraction due to amine groups, effective at certain pH | Dependent on pH, biodegradability reduces long-term efficiency | [15,16] |
| Red Mud | Low-cost, high iron and aluminum content aids adsorption | High pH can reduce efficiency, disposal issues due to alkalinity and heavy metals | [17,18] |
| Dolomite | Effective at higher pH, calcium phosphate precipitation mechanism | Less effective at lower pH, pre-treatment required to enhance adsorption | [19] |
| Biochar | Metal-modified biochar enhances adsorption via ion exchange and electrostatic attraction | Performance varies with feedstock, difficult regeneration and saturation over time | [20,21] |
| Magnetic Nanoparticles | High adsorption capacity, easy separation due to magnetic properties | Complex and costly synthesis, stability concerns in aqueous environments | [22,23] |
| Alginate/Iron (III) Chloride Capsules | Effective adsorption with iron (III), potential use in wastewater treatment | Mechanical stability issues, degradation over time | [24,25] |
| Zeolitic Imidazolate Frameworks (ZIFs) | High surface area, tunable properties for adsorption efficiency | Expensive synthesis, potential for leaching in aqueous environments | [4,26] |
| Initial Phosphate Ion Concentration (ppm) | Pseudo First Order Model | Pseudo Second Order Model | Intraparticle Diffusion Model | |||||||
|---|---|---|---|---|---|---|---|---|---|---|
| k1 (min−1) | R2 | ∆q (%) | k2 × 103 (mg/g·min) | h | R2 | ∆q (%) | kp (mg/g·min1/2) | R2 | ∆q (%) | |
| 40 | 0.037 | 0.996 | 7.3 | 6.48 | 0.039 | 0.931 | 12.6 | 0.169 | 0.945 | 21.2 |
| 60 | 0.036 | 0.913 | 62.1 | 4.85 | 0.062 | 0.972 | 8.5 | 0.255 | 0.987 | 11.1 |
| 100 | 0.029 | 0.923 | 27.4 | 6.25 | 0.156 | 0.986 | 9.9 | 0.401 | 0.9317 | 46.7 |
| Adsorption Temp. (°C) | Freundlich Isotherm | Jovanovic Isotherm | Temkin Isotherm | Langmuir Isotherm | ||||||||
|---|---|---|---|---|---|---|---|---|---|---|---|---|
| KF | 1/n | R2 | KJ | qmax | R2 | KT | b × 103 | R2 | b | KL | R2 | |
| 25 | 0.135 | 1.000 | 0.977 | −0.065 | 0.858 | 0.993 | 0.207 | 1.14 | 0.938 | −15.87 | −0.45 | 0.972 |
| 35 | 0.087 | 1.000 | 0.959 | −0.054 | 0.672 | 0.975 | 0.128 | 1.07 | 0.994 | −83.33 | −0.12 | 0.964 |
| 45 | 0.053 | 0.893 | 0.95 | −0.044 | 0.594 | 0.991 | 0.116 | 1.36 | 0.991 | 15.15 | 0.78 | 0.968 |
| Adsorption Temperature (°C) | ΔG (kJ/mol) | ΔS0 (J/mol·K) | ΔH0 (kJ/mol) |
|---|---|---|---|
| 25 | −4.4 | −88.7 | −30.9 |
| 35 | −5.5 | - | - |
| 45 | −6.8 | - | - |
Disclaimer/Publisher’s Note: The statements, opinions and data contained in all publications are solely those of the individual author(s) and contributor(s) and not of MDPI and/or the editor(s). MDPI and/or the editor(s) disclaim responsibility for any injury to people or property resulting from any ideas, methods, instructions or products referred to in the content. |
© 2025 by the authors. Licensee MDPI, Basel, Switzerland. This article is an open access article distributed under the terms and conditions of the Creative Commons Attribution (CC BY) license (https://creativecommons.org/licenses/by/4.0/).
Share and Cite
Al-Bsoul, A.; Al-Qodah, Z.; Tawalbeh, M.; Bani-Melhem, K.; Al bkoor Alrawashdeh, K.; Hailat, M.; Al-Taani, A.A.; Gul, E. From Waste to Solution: Modeling and Characterization of Grape Seed Bio-Waste for Phosphate Removal from Wastewater. Processes 2025, 13, 2464. https://doi.org/10.3390/pr13082464
Al-Bsoul A, Al-Qodah Z, Tawalbeh M, Bani-Melhem K, Al bkoor Alrawashdeh K, Hailat M, Al-Taani AA, Gul E. From Waste to Solution: Modeling and Characterization of Grape Seed Bio-Waste for Phosphate Removal from Wastewater. Processes. 2025; 13(8):2464. https://doi.org/10.3390/pr13082464
Chicago/Turabian StyleAl-Bsoul, Abeer, Zakaria Al-Qodah, Muhammad Tawalbeh, Khalid Bani-Melhem, Khalideh Al bkoor Alrawashdeh, Mohammad Hailat, Ahmed A. Al-Taani, and Eid Gul. 2025. "From Waste to Solution: Modeling and Characterization of Grape Seed Bio-Waste for Phosphate Removal from Wastewater" Processes 13, no. 8: 2464. https://doi.org/10.3390/pr13082464
APA StyleAl-Bsoul, A., Al-Qodah, Z., Tawalbeh, M., Bani-Melhem, K., Al bkoor Alrawashdeh, K., Hailat, M., Al-Taani, A. A., & Gul, E. (2025). From Waste to Solution: Modeling and Characterization of Grape Seed Bio-Waste for Phosphate Removal from Wastewater. Processes, 13(8), 2464. https://doi.org/10.3390/pr13082464

