Fast Calculation of Thermal-Fluid Coupled Transient Multi-Physics Field in Transformer Based on Extended Dynamic Mode Decomposition
Abstract
1. Introduction
2. Fast Calculation Method of a Thermal–Fluid-Coupled Transient Multi-Physics Field Transformer Based on EDMD
2.1. Basic Principle of DMD
2.2. The EDMD Principle Based on the Koopman Approximation
2.3. EDMD Mode Selection Method
3. EDMD Decomposition and Modal Dynamic Characteristics Extraction
3.1. Multi-Physics Modeling and Snapshot Matrix Construction
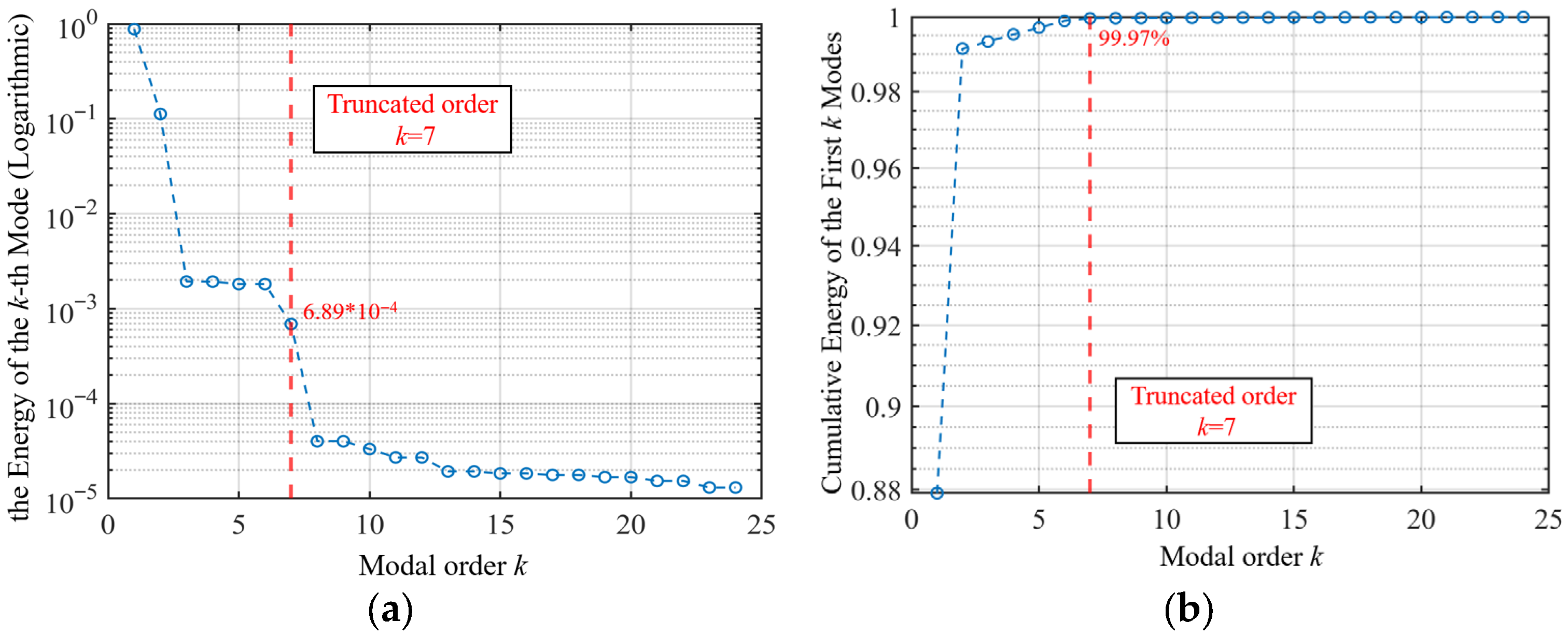
3.2. Thermal Field EDMD Decomposition and Modal Dynamic Characteristics Extraction
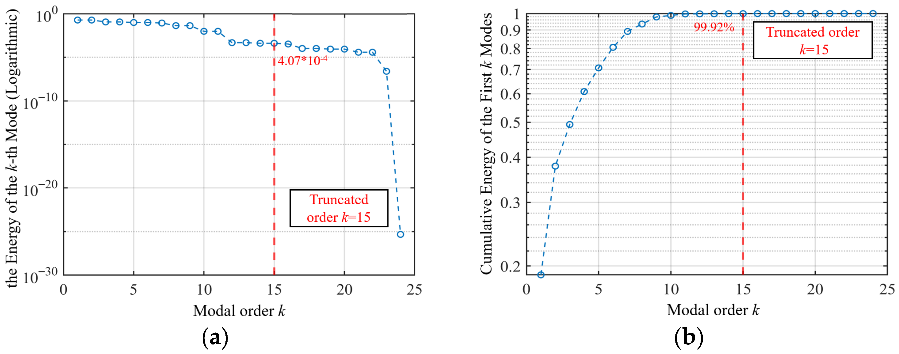
3.3. Flow Field EDMD Decomposition and Modal Dynamic Characteristics Extraction
4. Analysis and Discussion of Fast Calculation Results for Transformer Thermal-Fluid Coupling Field
4.1. Thermal Field Fast Calculation Results
4.2. Flow Field Fast Calculation Results
4.3. EDMD Calculation Accuracy and Speed
5. Conclusions
Author Contributions
Funding
Data Availability Statement
Conflicts of Interest
References
- Chen, S.; Luo, Y.; Sheng, G.; Jiang, J. Thermal Behaviour of a Transformer Mineral Oil-Tank Surface under Incipient Turn-to-Turn Short-Circuit Fault. IET Sci. Meas. Technol. 2024, 18, 310–323. [Google Scholar] [CrossRef]
- Eslamian, M.; Vahidi, B.; Eslamian, A. Thermal Analysis of Cast-Resin Dry-Type Transformers. Energy Convers. Manag. 2011, 52, 2479–2488. [Google Scholar] [CrossRef]
- Tsili, M.A.; Amoiralis, E.I.; Kladas, A.G.; Souflaris, A.T. Power Transformer Thermal Analysis by Using an Advanced Coupled 3D Heat Transfer and Fluid Flow FEM Model. Int. J. Therm. Sci. 2011, 53, 188–201. [Google Scholar] [CrossRef]
- Torriano, F.; Picher, P.; Chaaban, M. Numerical Investigation of 3D Flow and Thermal Effects in a Disc-Type Transformer Winding. Appl. Therm. Eng. 2012, 40, 121–131. [Google Scholar] [CrossRef]
- Dixit, A.; Ekanayake, C.; Ma, H.; Saha, T.K.; Ansari, M.H. Thermal Analysis of Natural Cooling Type Distribution Transformer Retrofilled with Natural Ester Oil. IEEE Trans. Dielectr. Electr. Insul. 2022, 29, 231–239. [Google Scholar] [CrossRef]
- Zhang, X.; Wang, Z.; Liu, Q.; Jarman, P.; Negro, M. Numerical Investigation of Oil Flow and Temperature Distributions for ON Transformer Windings. Appl. Therm. Eng. 2018, 130, 1–9. [Google Scholar] [CrossRef]
- Vijay, K.R.; Muralikrishnan, R.; Venkataramana, R. Reduced-Order Modeling of Conjugate Heat Transfer in Lithium-Ion Batteries. Int. J. Heat Mass Transf. 2024, 227, 125537. [Google Scholar]
- Rother, S.; Beitelschmidt, M. Model Order Reduction for Thermomechanical Problems Including Radiation. PAMM 2017, 17, 547–548. [Google Scholar] [CrossRef]
- Xie, Y.; Li, L.; Wang, S. Model Order Reduction for Quasi-Magnetostatic Problems. COMPEL 2017, 36, 1783–1791. [Google Scholar] [CrossRef]
- Xin, L.; Wu, Z.; Wang, Q.; Wu, B.; Zhao, L.; Cheng, J.; Zeng, Q.; Peng, Z. A Deep-Learning Surrogate Model for the Fast Calculation of Temperature Distribution of ±500 kV RIP Bushings. IEEE Trans. Power Deliv. 2024, 39, 3050–3060. [Google Scholar] [CrossRef]
- Peter, J.S. Dynamic Mode Decomposition of Numerical and Experimental Data. J. Fluid Mech. 2010, 656, 5–28. [Google Scholar] [CrossRef]
- Yang, F.; Wu, T.; Jiang, H.; Jiang, J.; Hao, H.; Zhang, L. A New Method for Transformer Hot-Spot Temperature Prediction Based on Dynamic Mode Decomposition. Case Stud. Therm. Eng. 2022, 37, 102268. [Google Scholar] [CrossRef]
- Zhang, L.; Lu, Y.; Tang, S.; Wang, K.L. HiDeNN-PGD: Reduced-Order Hierarchical Deep Learning Neural Networks. arXiv 2021, arXiv:2105.06363. [Google Scholar]
- Kutz, J.N.; Brunton, S.L.; Brunton, B.W.; Proctor, J.L. Dynamic Mode Decomposition: Data-Driven Modeling of Complex Systems; SIAM: Philadelphia, PA, USA, 2016. [Google Scholar]
- Williams, M.O.; Kevrekidis, I.G.; Rowley, C.W. A Data–Driven Approximation of the Koopman Operator: Extending Dynamic Mode Decomposition. J. Nonlinear Sci. 2015, 25, 1307–1346. [Google Scholar] [CrossRef]
- Li, Q.; Dietrich, F.; Bollt, E.M.; Kevrekidis, I.G. Extended Dynamic Mode Decomposition with Dictionary Learning: A Data-Driven Adaptive Spectral Decomposition of the Koopman Operator. Chaos Interdiscip. J. Nonlinear Sci. 2017, 27, 103111. [Google Scholar] [CrossRef]
- Ouala, S.; Chapron, B.; Collard, F.; Gaultier, L.; Fablet, R. Extending the Extended Dynamic Mode Decomposition with Latent Observables: The Latent EDMD Framework. Mach. Learn. Sci. Technol. 2023, 4, 025018. [Google Scholar] [CrossRef]
- Caroline, W. Orthogonal Polynomial Approximation and Extended Dynamic Mode Decomposition in Chaos. SIAM J. Numer. Anal. 2025, 63, 122–148. [Google Scholar] [CrossRef]
- Kang, L.; Xiong, S.; Wu, B.; Li, C.; Ge, M.; Yuan, D.; Han, F.; Cui, W. Force Decomposition on Flapping Flexible Plate via Impulse Theory and Dynamic Mode Decomposition. Phys. Fluids 2023, 35, 101914. [Google Scholar] [CrossRef]
- Liu, G.; Hao, S.; Zhu, Z.; Gao, C.; Liu, Y. Research on Rapid Calculation Method of Transient Temperature Rise of Winding of DMD-ATS Oil-Immersed Power Transformer. Trans. China Electrotech. Soc. 2024, 39, 3895–3906. [Google Scholar]
- Zhao, Y.; Wang, Z.; Luo, D.; Chen, C.; Ji, B.; Li, G. Multitimescale Thermal Network Model of Power Devices Based on POD Algorithm. IEEE Trans. Power Electron. 2024, 39, 3906–3924. [Google Scholar] [CrossRef]
- Liu, G.; Hu, W.; Hao, S.; Jiang, X.; Gao, C.; Liu, Y.; Wang, W. Research and experimental verification of POD-QDEIM algorithm for transient temperature rise and reduced order of oil immersed transformer windings with snapshot selection strategy. Trans. China Electrotech. Soc. 2024, 44, 4998–5011. [Google Scholar]



















| Material | Parameter | Value |
|---|---|---|
| Transformer oil | Density/(kg/m3) | 1055.05 − 0.58T − 6.41 × 10−5T2 |
| Heat capacity/(J/kg·K) absolute temperature | −13,408.15 + 123.04T − 0.34T2 + 3.13 × 10−4T3 | |
| Thermal conductivity/(W/(m·K)) | 0.13 − 8.05 × 10−5T | |
| Dynamic viscosity/(Pa·s) | 91.45 − 1.33T + 0.0078T2 − 2.27 × 10−5T3 + 3.32 × 10−8T4 − 1.95 × 10−11T5 | |
| Core | Density/(kg/m3) | 8030 |
| Heat capacity (J/kg·K) | 502.48 | |
| Thermal conductivity/(W/(m·K)) | 52 | |
| Winding | Density/(kg/m3) | 8960 |
| Heat capacity/(J/kg·K) | 385 | |
| Thermal conductivity/(W/(m·K)) | 400 | |
| Structural Steel | Density/(kg/m3) | 7850 |
| Heat capacity/(J/kg·K) | 475 | |
| Thermal conductivity/(W/(m·K)) | 44.5 | |
| Insulation Paper | Density/(kg/m3) | 1100 |
| Heat capacity/(J/kg·K) | 1200 | |
| Thermal conductivity/(W/(m·K)) | 0.15 |
| Boundary Conditions | Value |
|---|---|
| Inlet velocity/(m/s) | 0.004 |
| Winding heat generation power/(W/m3) | 54,614 |
| Ambient temperature/(K) | 293.15 |
| Simulation Model | Calculation Time/s | Average Calculation Error | Improved Efficiency |
| Conventional method | 3414 | / | / |
| EDMD | 35 | 3.06% | 97 |
| Simulation Model | Calculation Time/s | Average Calculation Error | Improved Efficiency |
|---|---|---|---|
| Conventional method | 3414 | / | / |
| EDMD | 41 | 3.01% | 83 |
| Calculation Method | Application Model | Average Calculation Error |
|---|---|---|
| DMD-ATS [21] | 2D Transformer Cross Section | 5.99% |
| HiDeNN-PGD [13] | 2D and 3D Poisson problems | 9.5% |
| POD-QDEIM [1] | 2D Transformer Cross Section | 2.8% |
| DMD [12] | 2D simplified model of the transformer | 0.4% |
| POD [22] | Three-dimensional MOSFET | 5% |
| EDMD | 3D Transformer | 3.06% |
| Calculation Method | Application Model | Calculation Speed Improvement |
|---|---|---|
| DMD-ATS [21] | 2D Transformer Cross Section | 89 |
| POD-QDEIM [1] | 2D Transformer Cross Section | 51.63 |
| POD [22] | Three-dimensional MOSFET | 500 |
| EDMD | 3D Transformer | 97 |
Disclaimer/Publisher’s Note: The statements, opinions and data contained in all publications are solely those of the individual author(s) and contributor(s) and not of MDPI and/or the editor(s). MDPI and/or the editor(s) disclaim responsibility for any injury to people or property resulting from any ideas, methods, instructions or products referred to in the content. |
© 2025 by the authors. Licensee MDPI, Basel, Switzerland. This article is an open access article distributed under the terms and conditions of the Creative Commons Attribution (CC BY) license (https://creativecommons.org/licenses/by/4.0/).
Share and Cite
Cao, Y.; He, K.; Shangguan, W.; Wang, Y.; Gao, C. Fast Calculation of Thermal-Fluid Coupled Transient Multi-Physics Field in Transformer Based on Extended Dynamic Mode Decomposition. Processes 2025, 13, 2282. https://doi.org/10.3390/pr13072282
Cao Y, He K, Shangguan W, Wang Y, Gao C. Fast Calculation of Thermal-Fluid Coupled Transient Multi-Physics Field in Transformer Based on Extended Dynamic Mode Decomposition. Processes. 2025; 13(7):2282. https://doi.org/10.3390/pr13072282
Chicago/Turabian StyleCao, Yanming, Kanghang He, Wenyuan Shangguan, Yuqi Wang, and Chunjia Gao. 2025. "Fast Calculation of Thermal-Fluid Coupled Transient Multi-Physics Field in Transformer Based on Extended Dynamic Mode Decomposition" Processes 13, no. 7: 2282. https://doi.org/10.3390/pr13072282
APA StyleCao, Y., He, K., Shangguan, W., Wang, Y., & Gao, C. (2025). Fast Calculation of Thermal-Fluid Coupled Transient Multi-Physics Field in Transformer Based on Extended Dynamic Mode Decomposition. Processes, 13(7), 2282. https://doi.org/10.3390/pr13072282

